A Review of the Effects and Influencing Factors of Vertical Greening Systems in Wastewater Treatment
Abstract
1. Introduction
2. Materials and Methods
2.1. Studies Selected
2.2. Data Analyses
3. Results
4. Discussion
4.1. Effect of Hydraulic Loading Rate on Pollutant Removal Efficiencies of VGSs
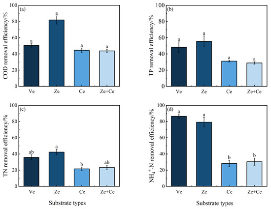
4.2. Effect of Substrate Type on Pollutant Removal Efficiencies of VGSs
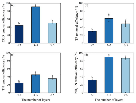
4.3. Effect of the Number of Layers on the Pollutant Removal Efficiencies of VGS
4.4. Practical Recommendations
4.5. Future Research Directions
5. Conclusions
Supplementary Materials
Author Contributions
Funding
Institutional Review Board Statement
Informed Consent Statement
Data Availability Statement
Conflicts of Interest
References
- World Water Assessment Programme. The United Nations World Water Development Report 2024: Water for Prosperity and Peace; UNESCO: Paris, France, 2024. [Google Scholar]
- Kesari, K.K.; Soni, R.; Jamal, Q.M.S.; Tripathi, P.; Lal, J.A.; Jha, N.K.; Siddiqui, M.H.; Kumar, P.; Tripathi, V.; Ruokolainen, J. Wastewater Treatment and Reuse: A Review of its Applications and Health Implications. Water Air Soil Pollut. 2021, 232, 208. [Google Scholar] [CrossRef]
- Jones, E.R.; Bierkens, M.F.P.; Wanders, N.; Sutanudjaja, E.H.; van Beek, L.P.H.; van Vliet, M.T.H. Current wastewater treatment targets are insufficient to protect surface water quality. Commun. Earth Environ. 2023, 4, 64. [Google Scholar] [CrossRef]
- Rojas, M.R.; Leung, C.; Bonk, F.; Zhu, Y.; Edwards, L.; Arnold, R.G.; Sáez, A.E.; Klecka, G. Assessment of the Effectiveness of Secondary Wastewater Treatment Technologies to Remove Trace Chemicals of Emerging Concern. Crit. Rev. Environ. Sci. Technol. 2013, 43, 1281–1314. [Google Scholar] [CrossRef]
- Sangamnere, R.; Misra, T.; Bherwani, H.; Kapley, A.; Kumar, R. A critical review of conventional and emerging wastewater treatment technologies. Sustain. Water Resour. Manag. 2023, 9, 58. [Google Scholar] [CrossRef]
- Arias, A.; Rama, M.; González-García, S.; Feijoo, G.; Moreira, M.T. Environmental analysis of servicing centralised and decentralised wastewater treatment for population living in neighbourhoods. J. Water Process Eng. 2020, 37, 101469. [Google Scholar] [CrossRef]
- Molinos-Senante, M.; Poch, M.; Rosso, D.; Garrido-Baserba, M. From wastewater treatment plants to decentralized resource factories. Npj Clean Water 2024, 7, 46. [Google Scholar] [CrossRef]
- Tenenbaum, D.J. Constructed wetlands: Borrowing a concept from nature. Environ. Health Perspect. 2004, 112, A44–A48. [Google Scholar] [CrossRef]
- Wu, H.M.; Wang, R.G.; Yan, P.H.; Wu, S.B.; Chen, Z.B.; Zhao, Y.Q.; Cheng, C.; Hu, Z.; Zhuang, L.L.; Guo, Z.Z.; et al. Constructed wetlands for pollution control. Nat. Rev. Earth Environ. 2023, 4, 218–234. [Google Scholar] [CrossRef]
- Silva, J.A. Wastewater Treatment and Reuse for Sustainable Water Resources Management: A Systematic Literature Review. Sustainability 2023, 15, 10940. [Google Scholar] [CrossRef]
- Pérez, G.; Rincón, L.; Vila, A.; González, J.M.; Cabeza, L.F. Behaviour of green facades in Mediterranean Continental climate. Energy Convers. Manag. 2011, 52, 1861–1867. [Google Scholar] [CrossRef]
- Medl, A.; Stangl, R.; Florineth, F. Vertical greening systems—A review on recent technologies and research advancement. Build. Environ. 2017, 125, 227–239. [Google Scholar] [CrossRef]
- Ghazalli, A.J.; Brack, C.; Bai, X.M.; Said, I. Alterations in use of space, air quality, temperature and humidity by the presence of vertical greenery system in a building corridor. Urban For. Urban Green. 2018, 32, 177–184. [Google Scholar] [CrossRef]
- Kim, E.S.; Yun, S.H.; Lee, D.K.; Kim, N.Y.; Piao, Z.G.; Kim, S.H.; Park, S. Quantifying outdoor cooling effects of vertical greening system on mean radiant temperature. Dev. Built Environ. 2023, 15, 100211. [Google Scholar] [CrossRef]
- Abdo, P.; Huynh, B.P.; Irga, P.J.; Torpy, F.R. Evaluation of air flow through an active green wall biofilter. Urban For. Urban Green. 2019, 41, 75–84. [Google Scholar] [CrossRef]
- Pérez, G.; Rincón, L.; Vila, A.; González, J.M.; Cabeza, L.F. Green vertical systems for buildings as passive systems for energy savings. Appl. Energy 2011, 88, 4854–4859. [Google Scholar] [CrossRef]
- Segovia-Cardozo, D.A.; Rodríguez-Sinobas, L.; Zubelzu, S. Living green walls: Estimation of water requirements and assessment of irrigation management. Urban For. Urban Green. 2019, 46, 126458. [Google Scholar] [CrossRef]
- Prenner, F.; Pucher, B.; Zluwa, I.; Pitha, U.; Langergraber, G. Rainwater Use for Vertical Greenery Systems: Development of a Conceptual Model for a Better Understanding of Processes and Influencing Factors. Water 2021, 13, 1860. [Google Scholar] [CrossRef]
- Xie, L.; Shu, X.; Kotze, D.J.; Kuoppamäki, K.; Timonen, S.; Lehvävirta, S. Plant growth-promoting microbes improve stormwater retention of a newly-built vertical greenery system. J. Environ. Manag. 2022, 323, 116274. [Google Scholar] [CrossRef]
- Pucher, B.; Zluwa, I.; Sporl, P.; Pitha, U.; Langergraber, G. Evaluation of the multifunctionality of a vertical greening system using different irrigation strategies on cooling, plant development and greywater use. Sci. Total Environ. 2022, 849, 157842. [Google Scholar] [CrossRef]
- Masi, F.; Bresciani, R.; Rizzo, A.; Edathoot, A.; Patwardhan, N.; Panse, D.; Langergraber, G. Green walls for greywater treatment and recycling in dense urban areas: A case-study in Pune. J. Water Sanit. Hyg. Dev. 2016, 6, 342–347. [Google Scholar] [CrossRef]
- Jin, Z.; Xie, X.Y.; Zhou, J.; Bei, K.; Zhang, Y.J.; Huang, X.F.; Zhao, M.; Kong, H.N.; Zheng, X.Y. Blackwater treatment using vertical greening: Efficiency and microbial community structure. Bioresour. Technol. 2018, 249, 175–181. [Google Scholar] [CrossRef]
- Pradhan, S.; Helal, M.I.; Al-Ghamdi, S.G.; Mackey, H.R. Performance evaluation of various individual and mixed media for greywater treatment in vertical nature-based systems. Chemosphere 2020, 245, 125564. [Google Scholar] [CrossRef]
- Lakho, F.H.; Vergote, J.; Khan, H.; Depuydt, V.; Depreeuw, T.; Van Hulle, S.W.H.; Rousseau, D.P.L. Total value wall: Full scale demonstration of a green wall for grey water treatment and recycling. J. Environ. Manag. 2021, 298, 113489. [Google Scholar] [CrossRef]
- Costamagna, E.; Caruso, A.; Galvao, A.; Rizzo, A.; Masi, F.; Fiore, S.; Boano, F. Impact of Biochar and Graphene as Additives on the Treatment Performances of a Green Wall Fed with Greywater. Water 2023, 15, 195. [Google Scholar] [CrossRef]
- Wang, Z.Q.; Xie, W.J.; Shi, F.; Fan, C.Z.; Wu, S.Q.; He, S.B.; Kong, H.A.; Zhao, M.; Zheng, X.Y. Performance optimization of novel multi-unit green wall system for blackwater treatment and reuse on-site. Environ. Sci. Eur. 2024, 36, 64. [Google Scholar] [CrossRef]
- Zhang, N.; Lu, D.N.; Kan, P.Y.; Yangyao, J.N.; Yao, Z.Y.; Zhu, D.Z.; Gan, H.H.; Zhu, B.Y. Impact analysis of hydraulic loading rate on constructed wetland: Insight into the response of bulk substrate and root-associated microbiota. Water Res. 2022, 216, 118337. [Google Scholar] [CrossRef]
- Shi, B.; Cheng, X.; Zhu, D.; Jiang, S.; Chen, H.; Zhou, Z.; Xie, J.; Jiang, Y.; Liu, C.; Guo, H. Impact analysis of hydraulic loading rate and antibiotics on hybrid constructed wetland systems: Insight into the response to decontamination performance and environmental-associated microbiota. Chemosphere 2024, 347, 140678. [Google Scholar] [CrossRef]
- Samal, K.; Dash, R.R.; Bhunia, P. Effect of hydraulic loading rate and pollutants degradation kinetics in two stage hybrid macrophyte assisted vermifiltration system. Biochem. Eng. J. 2018, 132, 47–59. [Google Scholar] [CrossRef]
- Decezaro, S.T.; Wolff, D.B.; Pelissari, C.; Ramírez, R.; Formentini, T.A.; Goerck, J.; Rodrigues, L.F.; Sezerino, P.H. Influence of hydraulic loading rate and recirculation on oxygen transfer in a vertical flow constructed wetland. Sci. Total Environ. 2019, 668, 988–995. [Google Scholar] [CrossRef]
- Li, X.Y.; Zhou, J.; Tang, Y.Q.; Li, Y.Q.; Jin, Z.; Kong, H.N.; Zhao, M.; Zheng, X.Y.; Bei, K. A hydroponic vertical greening system for disposal and utilization of pre-treated Blackwater: Optimization of the operating conditions. Ecol. Eng. 2022, 183, 106739. [Google Scholar] [CrossRef]
- Sami, M.; Hedström, A.; Kvarnström, E.; McCarthy, D.T.; Herrmann, I. Greywater treatment in a green wall using different filter materials and hydraulic loading rates. J. Environ. Manag. 2023, 340, 117998. [Google Scholar] [CrossRef]
- Ji, Z.H.; Tang, W.Z.; Pei, Y.S. Constructed wetland substrates: A review on development, function mechanisms, and application in contaminants removal. Chemosphere 2022, 286, 131564. [Google Scholar] [CrossRef]
- Anangadan, S.M.; Pradhan, S.; Saththasivam, J.; McKay, G.; Mackey, H.R. A kinetic evaluation of nutrient and organic matter removal in greywater for green Walls: Assessing the performance of Mineral-Based, Organic, and Waste-Derived plant support media. Sep. Purif. Technol. 2024, 349, 127517. [Google Scholar] [CrossRef]
- Prodanovic, V.; Hatt, B.; McCarthy, D.; Deletic, A. Green wall height and design optimisation for effective greywater pollution treatment and reuse. J. Environ. Manag. 2020, 261, 110173. [Google Scholar] [CrossRef]
- Sbahi, S.; Mandi, L.; Masunaga, T.; Ouazzani, N.; Hejjaj, A. Multi-Soil-Layering, the Emerging Technology for Wastewater Treatment: Review, Bibliometric Analysis, and Future Directions. Water 2022, 14, 3653. [Google Scholar] [CrossRef]
- Aicher, A.; Boermel, M.; Londong, J.; Beier, S. Vertical green system for gray water treatment: Analysis of the VertiKKA-module in a field test. Front. Environ. Sci. 2022, 10, 976005. [Google Scholar] [CrossRef]
- Wang, W.; Zhou, X.L.; Wu, S.Q.; Zhao, M.; Jin, Z.; Bei, K.; Zheng, X.Y.; Fan, C.Z. Vertical Green Wall Systems for Rainwater and Sewage Treatment. Sustainability 2024, 16, 7593. [Google Scholar] [CrossRef]
- Galvao, A.; Rodrigues, M.; Mata, J.; Silva, C.M. Green walls for greywater treatment: A comprehensive review of operational parameters and climate influence on treatment performance. Water Res. 2025, 272, 122948. [Google Scholar] [CrossRef]
- Yadav, R.K.; Sahoo, S.; Yadav, A.K.; Patil, S.A. Green wall system coupled with slow sand filtration for efficient greywater management at households. Npj Clean Water 2023, 6, 73. [Google Scholar] [CrossRef]
- Lakho, F.H.; Qureshi, A.; Novelli, L.D.; Depuydt, V.; Depreeuw, T.; Van Hulle, S.W.H.; Rousseau, D.P.L. Performance of a green wall (Total Value WallTM) at high greywater loading rates and Life Cycle Impact Assessment. Sci. Total Environ. 2022, 821, 153470. [Google Scholar] [CrossRef]
- Zhang, R.A.; Li, K.X.; Yi, L.Q.; Su, X.; Liu, C.Y.; Rong, X.Y.; Ran, H.X.; Wei, Y.J.; Wan, L.; Han, R.; et al. Nitrogen Removal from Polluted Water by an Integrated Constructed Wetland-Microbial Electrolysis Cell System. Water 2024, 16, 2368. [Google Scholar] [CrossRef]
- Boano, F.; Caruso, A.; Costamagna, E.; Ridolfi, L.; Fiore, S.; Demichelis, F.; Galvao, A.; Pisoeiro, J.; Rizzo, A.; Masi, F. A review of nature-based solutions for greywater treatment: Applications, hydraulic design, and environmental benefits. Sci. Total Environ. 2020, 711, 134731. [Google Scholar] [CrossRef]
- Boano, F.; Costamagna, E.; Caruso, A.; Fiore, S.; Chiappero, M.; Galvao, A.; Pisoeiro, J.; Rizzo, A.; Masi, F. Evaluation of the influence of filter medium composition on treatment performances in an open-air green wall fed with greywater. J. Environ. Manag. 2021, 300, 113646. [Google Scholar] [CrossRef]
- Bulánek, R. Investigation of IR vibrational band of C-O bond of carbonyl species in Cu+-MFI zeolites. Phys. Chem. Chem. Phys. 2004, 6, 4208–4214. [Google Scholar] [CrossRef]
- Boano, F.; Caruso, A.; Costamagna, E.; Fiore, S.; Demichelis, F.; Galvao, A.; Pisoeiro, J.; Rizzo, A.; Masi, F. Assessment of the Treatment Performance of an Open-Air Green Wall Fed with Graywater under Winter Conditions. ACS EsT Water 2021, 1, 595–602. [Google Scholar] [CrossRef]
- Prodanovic, V.; McCarthy, D.; Hatt, B.; Deletic, A. Designing green walls for greywater treatment: The role of plants and operational factors on nutrient removal. Ecol. Eng. 2019, 130, 184–195. [Google Scholar] [CrossRef]
- Dong, W.; Xing, J.; Chen, Q.; Huang, Y.; Wu, M.; Yi, P.; Pan, B.; Xing, B.S. Hydrogen bonds between the oxygen-containing functional groups of biochar and organic contaminants significantly enhance sorption affinity. Chem. Eng. J. 2024, 499, 156654. [Google Scholar] [CrossRef]
- Zhang, M.; Song, G.; Gelardi, D.L.; Huang, L.B.; Khan, E.; Masek, O.; Parikh, S.J.; Ok, Y.S. Evaluating biochar and its modifications for the removal of ammonium, nitrate, and phosphate in water. Water Res. 2020, 186, 116303. [Google Scholar] [CrossRef]
- Galvao, A.; Martins, D.; Rodrigues, A.; Manso, M.; Ferreira, J.; Silva, C.M. Green walls with recycled filling media to treat greywater. Sci. Total Environ. 2022, 842, 156748. [Google Scholar] [CrossRef]
- Costamagna, E.; Fiore, S.; Boano, F. Influence of the number of levels and system age on greywater treatment in a green wall. Ecol. Eng. 2022, 183, 106755. [Google Scholar] [CrossRef]
- Latrach, L.; Ouazzani, N.; Hejjaj, A.; Zouhir, F.; Mahi, M.; Masunaga, T.; Mandi, L. Optimization of hydraulic efficiency and wastewater treatment performances using a new design of vertical flow Multi-Soil-Layering (MSL) technology. Ecol. Eng. 2018, 117, 140–152. [Google Scholar] [CrossRef]
- Wang, P.Y.; Wong, Y.H.; Tan, C.Y.; Li, S.; Chong, W.T. Vertical Greening Systems: Technological Benefits, Progresses and Prospects. Sustainability 2022, 14, 12997. [Google Scholar] [CrossRef]
- Arden, S.; Ma, X. Constructed Wetlands for Greywater Recycle and Reuse: A Review. Sci. Total Environ. 2018, 630, 587–599. [Google Scholar] [CrossRef]
- Parei, A.N.; Naeeni, S.T.O.; Akbari, Z. Application of Hybrid Vertical Flow Constructed Wetland Systems to Treatment of Greywater for Their Use to Irrigation in Rural Areas. J. Clean. Prod. 2023, 412, 137368. [Google Scholar] [CrossRef]
- Saeed, T.; Sun, G.Z. A Review on Nitrogen and Organics Removal Mechanisms in Subsurface Flow Constructed Wetlands: Dependency on Environmental Parameters, Operating Conditions and Supporting Media. J. Environ. Manag. 2012, 112, 429–448. [Google Scholar] [CrossRef]
- Dunne, E.J.; Coveney, M.F.; Hoge, V.R.; Conrow, R.; Naleway, R.; Lowe, E.F.; Battoe, L.E.; Wang, Y.P. Phosphorus Removal Performance of a Large-Scale Constructed Treatment Wetland Receiving Eutrophic Lake Water. Ecol. Eng. 2015, 79, 132–142. [Google Scholar] [CrossRef]
- Rahman, M.E.; Bin Halmi, M.I.E.; Samad, M.Y.B.; Uddin, M.K.; Mahmud, K.; Abd Shukor, M.Y.; Abdullah, S.R.S.; Shamsuzzaman, S.M. Design, Operation and Optimization of Constructed Wetland for Removal of Pollutant. Int. J. Environ. Res. Public Health 2020, 17, 8339. [Google Scholar] [CrossRef]
- Jin, Z.; Zheng, Y.F.; Li, X.Y.; Dai, C.J.; Xu, K.Q.; Bei, K.; Zheng, X.Y.; Zhao, M. Combined Process of Bio-Contact Oxidation-Constructed Wetland for Blackwater Treatment. Bioresour. Technol. 2020, 316, 123891. [Google Scholar] [CrossRef]
- Li, L.; Zhang, Z.; Shen, Y.; He, B.; Fu, Y.; Kou, S.S.; Gao, J.Q. Optimized Design of Modular Constructed Wetland for Treating Rural Black-Odorous Water. Water 2024, 16, 2492. [Google Scholar] [CrossRef]
- Pan, X.Q.; Gu, Z.P.; Chen, W.M.; Li, Q.B. Preparation of biochar and biochar composites and their application in a Fenton-like process for wastewater decontamination: A review. Sci. Total Environ. 2021, 754, 142104. [Google Scholar] [CrossRef]
- Wang, L.Y.; Ma, L.H.; Wang, J.K.; Zhao, X.; Jing, Y.S.; Liu, C.Q.; Xiao, Y.H.; Li, C.; Jiao, C.; Xu, M.C. Research Progress on the Removal of Contaminants from Wastewater by Constructed Wetland Substrate: A Review. Water 2024, 16, 1848. [Google Scholar] [CrossRef]
- Saleem, M.H.; Mfarrej, M.F.B.; Khan, K.A.; Alharthy, S.A. Emerging trends in wastewater treatment: Addressing microorganic pollutants and environmental impacts. Sci. Total Environ. 2024, 913, 169755. [Google Scholar] [CrossRef]
- Wang, B.Q.; Xu, Z.X.; Dong, B. Occurrence, fate, and ecological risk of antibiotics in wastewater treatment plants in China: A review. J. Hazard. Mater. 2024, 469, 133925. [Google Scholar] [CrossRef]
- Liu, Y.; Wu, N.N.; Xu, R.; Li, Z.H.; Xu, X.R.; Liu, S. Phthalates released from microplastics can’t be ignored: Sources, fate, ecological risks, and human exposure risks. Trac-Trends Anal. Chem. 2024, 179, 117870. [Google Scholar] [CrossRef]
- Espartero, L.J.L.; Yamada, M.; Ford, J.; Owens, G.; Prow, T.; Juhasz, A. Health-related toxicity of emerging per- and polyfluoroalkyl substances: Comparison to legacy PFOS and PFOA. Environ. Res. 2022, 212, 113431. [Google Scholar] [CrossRef]
- Fowdar, H.S.; Hatt, B.E.; Breen, P.; Cook, P.L.M.; Deletic, A. Designing living walls for greywater treatment. Water Res. 2017, 110, 218–232. [Google Scholar] [CrossRef]
- Dal Ferro, N.; De Mattia, C.; Gandini, M.A.; Maucieri, C.; Stevanato, P.; Squartini, A.; Borin, M. Green walls to treat kitchen greywater in urban areas: Performance from a pilot-scale experiment. Sci. Total Environ. 2021, 757, 144189. [Google Scholar] [CrossRef]







Disclaimer/Publisher’s Note: The statements, opinions and data contained in all publications are solely those of the individual author(s) and contributor(s) and not of MDPI and/or the editor(s). MDPI and/or the editor(s) disclaim responsibility for any injury to people or property resulting from any ideas, methods, instructions or products referred to in the content. |
© 2025 by the authors. Licensee MDPI, Basel, Switzerland. This article is an open access article distributed under the terms and conditions of the Creative Commons Attribution (CC BY) license (https://creativecommons.org/licenses/by/4.0/).
Share and Cite
Zhu, W.; Zheng, X.; Zhao, M.; Xiang, H.; Zhang, S.; Han, W. A Review of the Effects and Influencing Factors of Vertical Greening Systems in Wastewater Treatment. Sustainability 2025, 17, 6138. https://doi.org/10.3390/su17136138
Zhu W, Zheng X, Zhao M, Xiang H, Zhang S, Han W. A Review of the Effects and Influencing Factors of Vertical Greening Systems in Wastewater Treatment. Sustainability. 2025; 17(13):6138. https://doi.org/10.3390/su17136138
Chicago/Turabian StyleZhu, Wencong, Xiangyong Zheng, Min Zhao, Huijun Xiang, Suyang Zhang, and Wenjuan Han. 2025. "A Review of the Effects and Influencing Factors of Vertical Greening Systems in Wastewater Treatment" Sustainability 17, no. 13: 6138. https://doi.org/10.3390/su17136138
APA StyleZhu, W., Zheng, X., Zhao, M., Xiang, H., Zhang, S., & Han, W. (2025). A Review of the Effects and Influencing Factors of Vertical Greening Systems in Wastewater Treatment. Sustainability, 17(13), 6138. https://doi.org/10.3390/su17136138

