You are currently viewing a new version of our website. To view the old version click .
Sustainability
  • Article
  • Open Access

8 June 2025

Interruption Risk Propagation and Resilience Evaluation of Supply Chain of Emergency Medical Supplies Under Information Sharing Mechanism

,
and
1
Economic and Management College, Yanshan University, Qinhuangdao 066004, China
2
Xinjiang Key Laboratory of Green Construction and Smart Traffic Control of Transportation Infrastructure, Xinjiang University, Wulumuqi 830017, China
*
Author to whom correspondence should be addressed.

Abstract

In the new context of information sharing to reshape the supply chain’s interruption risk propagation mechanism, this paper focuses on the interruption risk propagation and resilience of the supply chain of emergency medical supplies in the background of emergencies. Firstly, an emergency supply chain’s risk propagation model under information sharing is proposed by combining the information sharing mechanism with the supply chain’s risk propagation theory. Secondly, an interruption risk propagation model for the supply chain of emergency medical supplies based on a Bayesian Network is constructed, and the do-calculus technique is introduced to transform the intervention effect of information sharing into the quantification of the supply chain’s risk probability. Thirdly, a system dynamics method is used to construct a supply chain model for emergency medical supplies, which takes into account different interruption scenarios caused by emergencies and evaluates the supply chain’s resilience through the key variable “demand fulfillment rate” in the model. The results of the study indicate that the impact of different types of interruption scenarios on supply chain resilience varies significantly. Information sharing can effectively reduce the negative impact of interruption risk. This study provides theoretical basis and practical guidance for improving the resilience of the supply chain of emergency medical supplies, which is of great significance for maintaining social stability and promoting the sustainable development of the public health system.

1. Introduction

Nowadays, the occurrence of emergencies shows an increasing trend in number, intensity, and scope year by year in the world, including natural disasters and some human epidemics, which have caused great casualties and economic losses to human society. Natural disasters, such as earthquakes and hurricanes, have caused nearly three trillion dollars in global economic losses in the 21st century. In China, all kinds of public health emergencies and major natural disasters occur frequently. For example, in early 2020, the COVID-19 epidemic broke out in Wuhan, Hubei Province and rapidly spread to the whole country and even globally. In June 2022, Yulong Harbor, Longsheng Town, Guangxi Province, experienced days of heavy rainfall and mudslides and other geologic disasters. And in December 2023, the 6.2 magnitude earthquake occurred in Jieshishan County, Linxia Prefecture, Gansu Province. These events have all caused our people serious health hazards and economic property losses. In order to minimize the harm brought by such incidents to the people, it is necessary to provide sufficient emergency supplies to the disaster areas and ensure that key supplies, such as medical supplies, food, rescue equipment, etc., can be delivered to the disaster areas in time to guarantee the basic needs of the affected people and the smooth progress of the rescue work; the emergency supply chain is an effective carrier that can guarantee the supply of emergency supplies. As an important part of the emergency supply chain, the efficiency and stability of its operation is directly related to whether the lives and health of the people in the disaster area can be saved in a timely and effective manner. Natural disasters, as well as public health emergencies, can expose supply chains to the risk of interruption due to factors such as surges in demand for materials, supply interruptions, and transportation interruptions and cause that risk to propagate throughout the supply chain. The resilience of a supply chain determines its ability to effectively mitigate the impact of internal and external changes on it. A resilience assessment of the emergency supply chain can help to better understand and respond to the various risks and challenges in the supply chain, ensure the stability and sustainability of the supply chain, and thus improve the emergency response capability. There is abundant research on the evaluation methods of supply chain resilience; for example, Wu Anbo [1] combined interval type-2 fuzzy prospect theory and an approximate ideal solution ranking technique to comprehensively evaluate the elasticity level of the coal industry supply chain. Zhiwen Zeng [2] evaluated the resilience of the medical supplies’ supply chain during the COVID-19 epidemic through the entropy weight method combined with the approximate ideal solution sorting technology. From a research methodology perspective, the above studies on supply chain resilience evaluation mostly use static methods for analysis, with a small number considering factors such as supply chain interruption risk from a dynamic perspective. Compared to conventional supply chains, the operational environment of emergency medical supply chains is more uncertain, and these uncertainties require a more dynamic evaluation of the supply chain resilience.
With the development of the Internet and communication technology and the widespread use of information systems, information transmission among supply chain members has become more convenient, promoting information sharing among upstream and downstream members of the supply chain. Information sharing can avoid the phenomenon of “information islands” in the supply chain, so that members can make timely adjustments in accordance with external changes, thus effectively reducing the spread of risk and controlling the spread of risk within a small range. In this new situation of information sharing, is the supply chain of emergency medical supplies capable of responding when faced with the risk of possible interruptions caused by emergencies?
This paper highlights the interruption risk propagation and resilience evaluation of the supply chain of emergency medical supplies under an information sharing mechanism. Firstly, the risk propagation model of the supply chain of emergency medical material under an information sharing mechanism is established based on a Bayesian network, which enriches the theoretical framework of the risk propagation of the emergency supply chain under the new situation. Then, the supply chain model for emergency medical supplies is constructed by using system dynamics, and the dynamic resilience evaluation of the supply chain is carried out through simulation and analysis, which provides a new perspective and method for the in-depth study of sustainable supply chain management.
The remainder of this paper is organized as follows. Section 2 presents a literature review. In Section 3, the risk scenario of an interruption in the supply chain of emergency medical supplies under a sudden public health emergency is described and analyzed. In Section 4, a Bayesian network-based model for the propagation of interruption risk in the supply chain of emergency medical supplies is constructed. In Section 5, we establish a system dynamics model for the supply chain of emergency medical supplies and evaluate its resilience. In Section 6, we conduct model simulations taking the 2020 Wuhan epidemic as an example to analyze the changing trends in key variables in the supply chain under different interruption risks and information-sharing scenarios. Finally, Section 7 offers a comprehensive conclusion and implications and introduces the limitations of this paper and future research.

2. Literature Review

This paper is closely related to the following several research areas: (1) the emergency supply chain, (2) the risk of supply chain interruption and its propagation mechanism, (3) supply chain resilience and its evaluation methods, and (4) information sharing in the supply chain. We briefly review the relevant literature in these areas.

2.1. Emergency Supply Chain

The emergency supply chain refers to a relief network composed of material flow, information flow, and financial flow among donors, disaster victims, suppliers, and various participating parties in order to provide material assistance to disaster areas. Currently, research on the emergency supply chain mostly focuses on coordination contracts, material allocation, and emergency decision-making in the supply chain. Hu Zhongquan et al. [3] introduced a put option contract into relief supply management and built an emergency material reserve model. Wang et al. [4] proposed an emergency material allocation model with multiple rescue sites, multiple affected sites and multiple periods, which satisfied the timeliness of emergency rescue distribution. Singh et al. [5] constructed a network model of public distribution system under the impact of an epidemic and developed a resilient supply chain. Liu et al. [6] established a multi-objective mathematical model for urban emergency material allocation during an epidemic period, optimized the delivery capacity of transportation vehicles, and ensured the sustainable operation of the emergency supply chain. Pan et al. [7] established a demand forecasting model and a medical material allocation model to address the shortage of supplies during an epidemic period and obtained the optimal allocation strategy. Chen Yangyu et al. [8] developed response strategies for port logistics systems in response to sudden disaster events abroad, coordinating and optimizing the path positioning of emergency rescue vehicles.
In the context of sudden public health emergencies, the supply chain of emergency medical supplies may face the following challenges: (1) The demand for emergency medical supplies sharply increases and is difficult to accurately predict, making it difficult for the emergency supply chain to respond to the dynamic changes in demand in a timely manner [9]. (2) Sudden events may lead to production shutdowns or disruptions in raw material transportation for manufacturing enterprises. Additionally, some production enterprises may have limited production capacity and may not be able to operate at full capacity, which can further result in an insufficient supply of medical supplies. (3) After an emergency occurs, traffic control and other factors can affect the transportation of emergency medical supplies, resulting in longer transit times and increased supply uncertainty [10]. (4) The supply chain of emergency medical supplies involves multiple links and numerous participating entities. During sudden public health emergencies and major natural disasters, information transmission may be hindered, leading to information asymmetry between various links and affecting collaborative efficiency [11]. (5) In the event of an emergency, the surge in material demand, slow settlement, and financing difficulties may lead to funding shortages, affecting the stable operation of the supply chain of emergency medical supplies.

2.2. The Risk of Supply Chain Interruption and Its Propagation Mechanism

According to the definition of emergency supply chain, it is necessary to integrate material flow, financial flow, and information flow. Any problem in any link may pose a risk of interruption in the supply chain and cause the risk to spread throughout the entire supply chain [12]. Farradia [13] believes that in the context of emergencies, demand shocks can lead to stock-outs, which in turn may cause supply chain interruptions. Ding et al. [14] used the worst–best method to evaluate key factors in the logistics process. Chen Lihua et al. [15] proposed establishing a financial system for the supply chain of emergency supplies, providing financial support to production enterprises engaged in emergency supplies, including masks, to prevent the risk of capital chain breakage. Teng et al. [16] provided a new method for assessing and identifying supply chain finance risks. After identifying the financial risks in the supply chain, Chen et al. [17] believed that there was a possibility of a capital chain rupture, which could have an impact on the entire supply chain. Gao et al. [18] argue that under the constraints of bounded rationality and information asymmetry, companies in the supply chain will only provide some of the information they possess in order to maximize their own interests. Dai et al. [19] believe that the main data of the supply chain of emergency medical supplies should be publicly disclosed, so that the government and hospitals can accurately assess the supply chain interruption risk of each medical supply manufacturer.
The risk of supply chain interruption and its propagation mechanism are key issues of concern in the academic world. Kalpana et al. [20] used a fuzzy-set qualitative comparative analysis to study the factors influencing the supply chain risk and their interdependence. Weiting Sun et al. [21] studied the transmission mechanism of supply chain risks in sudden public health emergencies from the reliability perspective. Wang Liang et al. [22] analyzed the risk propagation mechanism of a project’s supply chain from the perspective of complex networks in order to improve its risk response capacity. Yao Qianyi et al. [23] proposed a new supply chain risk diffusion model based on a partial mapping relationship between two-layer complex networks, which aimed to study the impact of risk awareness and risk information disclosure awareness. Zhu Jianjun et al. [24] proposed a SITR (susceptible–infected–temporarily removed–completely removed) risk propagation model using weighted networks based on the characteristics of a complex supply chain with a complex structure and large risk consequences. Hosseini et al. [25] combined discrete-time Markov chains with dynamic Bayesian networks to analyze supply chain disruptions and their impact on performance. Ivanov [26] analyzed the key nodes and propagation paths of supply chain interruption risk propagation through simulation models. Li L et al. [27] conducted research on the risk propagation path of multi-level supply chains and found that node redundancy can reduce the propagation probability by 40–60%. Kamalahmadi et al. [28] believed that when a supplier interrupts deliveries, it may affect other active suppliers. Therefore, they used decision trees to depict different interruption scenarios and evaluated different supply chain interruption mitigation solutions. Li Y et al. [29] studied the impact of forward or backward propagation of supply chain network disruption risk on the supply chain network structure, network health, and enterprise vulnerability and put forward different decision-making suggestions for different propagation directions. Ojha et al. [30] used Bayesian network theory to evaluate the chain reaction of supply chain interruptions, providing a feasible method for predicting the complex behavior of supply chain risk propagation. Pavlov et al. [31] proposed a new method for detecting supply chain interruption scenarios and ripple effect diffusion and for reconstructing recovery paths based on structural genomics. Hao et al. [32] constructed a multi-layer risk transmission network based on the lithium industry chain, analyzed the risk propagation mechanism in the lithium industry chain’s trade network system, simulated the dynamic process of risk transmission on the industry chain, and evaluated the degree and path of risk transmission. Wang et al. [33] used an epidemic model to study the transmission of supply chain risks and discussed the mechanisms and evolution of risk transmission in complex supply chain networks. Guo et al. [34] proposed a new model for supply chain risk transmission based on the herd mentality and risk preference under multiple network warning information. Hongchun W et al. [35] constructed an improved SIRS model as a supply chain risk propagation model, based on the actual situation where node enterprises are eliminated in the supply chain network. Jianhua et al. [36] first obtained the initial risk value of 0.4 using the fuzzy comprehensive evaluation approach and then built an improved SIR model based on a complex network to investigate the risk propagation law of the emergency supply chain. Brasil L A C et al. [37] combined cellular automata and an SIR model for the study of supply chain risk propagation. Wang et al. [38] established a risk transmission model that considered a recurrent SEAIR model, systematically analyzed the risks in the supply chain, and calculated the risk balance point to conclude that the risks could exist in the supply chain for a long time.

2.3. Supply Chain Resilience and Its Evaluation Methods

The ability to respond effectively and recover quickly from the risk of interruption in the supply chain, known as supply chain resilience, greatly affects the stable and sustainable development of the supply chain. The concept of supply chain resilience was first proposed by Professors Rice and Caniato in 2003 and formally defined by Christopher and Peck in 2004 as “the ability of a supply chain to recover to its original or more ideal state after being disrupted.” The resilience of a supply chain can be reflected through three abilities: absorptive capacity, adaptive capacity, and restorative capacity [39]. Zhao et al. [40] used the ratio of production capacity after and before a supply chain interruption as a quantitative indicator of supply chain resilience. Ponomarov et al. [41] defined supply chain resilience as the adaptive ability of the supply chain to prepare in advance for unexpected events, respond quickly to interruptions, and recover from them. Torabi et al. [42] proposed an indicator for evaluating supply chain resilience based on resilience, which was a function of absorption capacity, adaptability, and recovery capacity. Chowdhury et al. [43] defined supply chain resilience as the ability to prevent supply chain interruptions by increasing flexibility levels, and to respond agilely to and recover from disruptions. Scholten et al. [44] believe that the specific manifestations of supply chain resilience mainly focus on the preparation, response, and recovery stages before and after interruption time and propose six learning mechanisms to enable the supply chain to maintain structural stability and quickly adjust to a stable state after an emergency event causes interruption. Darouich et al. [45] suggest that supply chain resilience has proactive capabilities, which can control the structure and function of the system before an interruption occurs, prepare for the interruption, and quickly adjust to a stable state when an interruption occurs. Melnyk et al. [46] focused on the passivity of supply chain resilience, believing that the resistance and recovery capabilities that arise after a supply chain interruption are a passive response capability. Shekarian [47] believes that supply chain resilience is the ability to quickly respond to interruptions and restore to its original or even a more ideal state through the development of strategies. Andreas Wieland [48] defines supply chain resilience as the ability of a supply chain to withstand, adapt, or change in the face of change. Narayanamurthy et al. [49] believe that resilience refers to the ability to withstand, adapt, and expand during turbulent times, which can help supply chains cope with difficulties brought by uncertain and dynamic environments.
When facing the risk of interruption, improving resilience can enhance the sustainability of the supply chain. “Sustainability” refers to the ability to maintain a process or state at a sustained and specific level, encompassing human sustainability, economic sustainability, and environmental sustainability [50]. Resilience has become one of the sources of supply chain sustainability, driving the supply chain to spiral upwards from the “growth stage” to the “maturity stage” towards the sustainable stage, thereby promoting the sustained growth of supply chain sustainability. On the one hand, the construction of a resilient supply chain helps enterprises cope with uncertainty, reduce resource waste, improve operational efficiency, and lay the foundation for sustainable development. On the other hand, the concept of sustainable development guides enterprises to focus on environmental and social responsibility while pursuing economic benefits, which helps to enhance the long-term competitiveness and resilience of the supply chain. Eltantawy [51] emphasizes that “resilience” is a necessary capability for achieving sustainable supply chain management, enabling organizations to adapt to constantly changing environments and achieve their sustainable development goals. Shin et al. [52] found that enhancing supply chain resilience could gain competitive advantages and improve the sustainability of traditional supply chain networks. Akbari Kasgari et al. [53] designed a resilient and sustainable closed-loop supply chain network that utilized backup suppliers to reduce the impact of external uncertainties on the supply chain. Cheraghalipour et al. [54] enhanced the response and recovery capabilities of the supply chain in the face of interruptions through a multi-source procurement strategy, which helped to ensure the stable operation of the supply chain. In a broader sense, sustainability not only focuses on the stable and sustainable operation of a certain aspect but also on environmental protection and social and economic factors. In the long run, resilience can optimize the cost structure of the supply chain by reducing additional costs caused by interruptions. Gholami Zanjani et al. [55] found that multi-source procurement and facility redundancy strategies not only improved the resilience of the supply chain but also reduced lost sales costs. Hasani et al. [56] adopted a facility decentralization strategy to reduce supply chain centralization, thereby achieving the goal of reducing risks and lowering costs. Khezeli et al. [57] found that setting up safety stock and facility redundancy improved the resilience of the supply chain while optimizing cost management. In addition, resilience has also played a positive role in environmental protection. Sabouhi et al. [58] argue that a multi transportation route strategy can reduce reliance on a single route, avoid additional transportation and emergency allocation costs caused by a single route interruption, and thus reduce carbon emissions. Olfati et al. [59] believe that by improving resilience, the impact of supply chain disruptions can be avoided, employment opportunities for employees can be guaranteed, and value can be brought to social stability. Therefore, the improvement of resilience helps enterprises’ supply chains and various aspects of society achieve their sustainable goals.
Evaluating the resilience of emergency supply chains helps to better understand and respond to various risks and challenges in the supply chain, ensure the stability and sustainability of the supply chain, and thereby enhance emergency response capabilities. In order to evaluate the level of supply chain resilience, Maximilian et al. [60] used the Delphi method to measure global supply chain resilience and discussed how long-term resilience of global supply chains should develop in the post-pandemic era. Dong [61] used the AHP-FCE method to conduct a fuzzy comprehensive evaluation of the resilience of agricultural product supply chains through a qualitative analysis and quantitative calculation. Feng et al. [62] established a risk assessment model based on a BP neural network, trained the neural network model using survey data, and evaluated the resilience of an enterprise supply chain from the perspective of sustainable development. Moosavi et al. [63] developed a quantitative resilience assessment method derived from simulation, which could simulate and measure supply chain resilience in the event of supply chain interruptions. Hosseini S et al. [64] developed a Bayesian network-based method to evaluate the resilience of the automotive manufacturing supply chain in the event of a chain reaction, which could quantitatively analyze the degree of resilience of the supply chain. Liuguo Shao et al. [65] used system dynamics to evaluate the resilience of the lithium supply chain under the impact of demand shocks and supply interruptions in new-energy vehicles. Rajesh [66] introduced statistical techniques such as probability analysis and grey systems in his research to quantitatively measure the resilience level of the supply chain and reveal how the supply chain effectively responds to emergencies. Ayyildiz [67] integrated the SCOR model into the evaluation system, established a three-level performance indicator system, and used an intuitive fuzzy evaluation method based on interval evaluation to evaluate the resilience of the supply chain. Ramezankhani et al. [68] identified the twenty-five critical sustainable and resilience factors using MCDM techniques. Subsequently, they used a paradigm based on data envelopment analysis (DEA) for the dynamic evaluation of supply chains. Ni et al. [69] employed a Monte Carlo simulation to evaluate resilience while considering two resilience measures, including the resilience rate that reflected the changes in supply chain’s performance and the satisfaction rate that showed the ratio of actual supply to total demand. A summary of papers that evaluated supply chain resilience approaches is provided in Table 1.
Table 1. Summary of papers that evaluated supply chain resilience approaches.

2.4. Information Sharing in the Supply Chain

As a complex network, the supply chain generates a large amount of information at each node during its operation. Nowadays, with the development of the Internet and communication technology and the wide use of information systems, information transmission among members of the supply chain has become more convenient, which promotes information sharing between upstream and downstream members of the supply chain. Regarding the issue of supply chain information sharing, Titah et al. [70] analyzed the impact of information sharing on supply chain performance. Ha et al. [71] considered manufacturers selling products through platforms and analyzed the manufacturer’s intrusion and platform’s information-sharing decisions. Zhou Rui et al. [72] studied the problem of supply chain channel selection under asymmetric information in the context of online retailer delivery services. Khan et al. [73] viewed information sharing as a strategic form of cooperation adopted by enterprises to improve collaboration efficiency and reduce operating costs from the perspective of efficient operation of the supply chain. Dubey et al. [74] proposed that information sharing is a strategic tool that can accelerate the sensitivity of various enterprises in the supply chain to market changes and enhance the coordination ability among enterprises. Lixin et al. [75] constructed an incentive mechanism and supply chain management framework for information sharing to address issues such as the “bullwhip effect” and “opportunistic behavior” in supply chain information management. Richa et al. [76] pointed out that through information sharing in the supply chain, companies could achieve better profitability. The above literature studied the role of information sharing in supply chains under different backgrounds but did not consider the impact of information sharing on supply chain resilience in emergency situations. With the rapid development of information technology, the emergency supply chain is bound to achieve a high degree of information sharing for emergencies (such as the COVID-19 epidemic) and the operating environment of the supply chain will change accordingly.
Compared with the existing literature, the main contributions of this study are as follows:
(1)
An information sharing mechanism for a supply chain of emergency medical supplies is constructed. After considering the information transfer relationship of each node in the supply chain of emergency medical supplies, this paper constructs an information sharing mechanism for the supply chain of emergency medical supplies.
(2)
A Bayesian risk propagation model for an emergency supply chain under information sharing mechanism is proposed. In this paper, a risk propagation model for an interruption in the supply chain of emergency medical supplies based on a Bayesian network is constructed, the propagation process of the risk in the supply chain network and its impact on the overall sustainability are studied, and the do-calculus technique is introduced to transform the intervention effect of information sharing into the quantification of supply chain risk probability, which enriches the theoretical framework of emergency supply chain risk propagation under the new situation and provides theoretical support for supply chain resilience optimization under the perspective of information empowerment.
(3)
From a dynamic perspective, a dynamic model of the supply chain system of emergency medical supplies is constructed, and its resilience is evaluated through the variable of “demand fulfillment rate” in the model. The impact of different interruption scenarios and the presence or absence of information sharing on the resilience of the supply chain is analyzed. This model can reflect the changing trends of material production and effective supply in the face of emergencies in the supply chain, thus comprehensively evaluating the resilience level of the supply chain and providing a new perspective and method for in-depth research on sustainable supply chain management.

3. Risk Scenario Analysis of Interruption in Supply Chain of Emergency Medical Supplies Under Sudden Public Health Emergencies

3.1. Operation Process of Supply Chain of Emergency Medical Supplies

In the context of major public health emergencies, the supply chain of emergency medical supplies is a complex and efficient system designed to ensure timely and effective delivery of critical supplies to disaster areas. As shown in Figure 1, its operational process mainly includes three parts.
Figure 1. Emergency medical supplies’ supply chain operation process.
The first is the source of emergency medical supplies. After the outbreak of public health emergencies, the demand for medical supplies in disaster areas surges. However, the disaster areas themselves do not have sufficient material reserves to meet sustained demand, so external support is needed. There are three main sources of emergency medical supplies: one is the government’s reserve system of emergency supplies, which includes central reserve supplies and provincial and municipal reserve supplies. The government, as the main body of control, establishes a material distribution center to provide material assistance to disaster areas by calling on materials from the national material reserve. The second is the takeover-type production factories, where enterprises temporarily expand production in the event of emergencies, and the national emergency reserve production units or the government’s use of administrative means to take over or supervise production in emergency situations. There are also some collaborative production factories based on the assumption of “social human beings” and the influence of social moral responsibility. The third is the system of material assistance, which includes the government, enterprises, and the public.
After the collection of emergency supplies is completed, the emergency management center makes comprehensive and focused material arrangements based on the severity of the disaster and the urgency of the emergency needs of the disaster areas. The logistics party transports the materials through various transportation methods such as land, sea, and air. For general emergency needs, the supplies are transported to the emergency supply center warehouse or temporary warehouse first, and then to the disaster areas. For particularly urgent material needs, medical supplies are sent directly from the source of the medical supplies in order to quickly meet the needs of the disaster areas.
After the supplies arrive at the disaster areas, relevant personnel distribute them according to the actual needs of each disaster area to ensure the effective utilization of the materials. The entire operation process of the supply chain of emergency medical supplies is coordinated by the government.

3.2. Risk Propagation of Supply Chain Interruption Under Information Sharing Mechanism

With the development of information technology, accurate transmission and sharing of information in various links of the supply chain are achieved. Through technologies such as big data and the Internet of Things, the nodes in the supply chain are able to obtain more comprehensive data, effectively reducing supply chain risks caused by information asymmetry. This helps to monitor risk factors in the supply chain in real time, take timely measures once risks arise, and improve the resilience of the supply chain.
The information sharing mechanism of the emergency supply chain refers to the sharing of emergency event information, resource demand and supply information, and relevant information of supply chain operation among various links in the supply chain when responding to emergencies, in order to better cope with the challenges brought by emergencies, as shown in Figure 2.
Figure 2. Risk propagation of supply chain interruption under information sharing mechanism.
From the demand point, when a public health emergency occurs, the demand point puts forward unconventional supply demands. At that time, the demand point releases emergency information to the emergency management center, prompting the emergency management center or emergency supplier to activate emergency plans and start the operation of material flow. In the process of logistics operation, various types of information are gradually transmitted along the chain to the emergency management center and demand points along with the production, fundraising, distribution, transportation, and other processing of materials. After the logistics is completed, the demand point sends supply and demand information to the front-end of the supply chain again and apply for new material assistance or request to suspend material assistance.
Major emergencies can have various negative impacts on the supply, transportation, and distribution of medical supplies, which are reflected in the specific scenarios of supply chain interruption, such as varying degrees of production capacity interruption and logistics transportation obstruction of enterprises producing emergency medical supplies. Interruption events in the supply chain network not only damage the operational capabilities of individual members on the network but also spread the risk of interruption throughout the supply chain due to the partnership relationships between members, thereby affecting the smooth and sustainable operation of the entire supply chain.
In addition, problems such as rapid changes in material demand, logistics delays and stagnation, technical barriers in the supply chain, unstable cooperation relationships between enterprises, and inadequate information sharing mechanisms can all affect information sharing, leading to a lack of timeliness and accuracy in the information transmission. Moreover, during the operation of the supply chain, members may reduce their willingness to share information with upstream and downstream enterprises in order to protect their own interests, further aggravating the problem of information asymmetry.

4. Risk Propagation Model of Interruption in Supply Chain of Emergency Medical Supplies Based on Bayesian Network

The Bayesian network model is a causal relationship model based on probabilistic inference, which effectively integrates prior experience and objective evidence, and can more accurately reflect the conditional correlation between network nodes [77]. In the context of emergencies, the occurrence of various risk factors in the supply chain is uncertain, and Bayesian networks can clearly express these uncertainties in the form probability. Meanwhile, the various links in the supply chain are closely interconnected, and Bayesian networks can visualize causal relationships between nodes through directed acyclic graphs [78]. Therefore, this section of the study analyzes the risk factors in the operation process of the supply chain of emergency medical supplies and construct an interruption risk propagation model through a Bayesian network.

4.1. Identification of Factors Influencing the Risk of Interruption in the Supply Chain of Emergency Medical Supplies

According to the structural characteristics of the supply chain of emergency medical supplies, we analyzed the risk factors that may lead to the failure of the whole system from each part of the supply chain. The main source of interruption risk in the supply chain is a supply interruption or a transportation interruption. Supply chain interruptions are also caused by different interruption events. The factors affecting the risk of interruption in the supply chain of emergency medical supplies are shown in Table 2.
Table 2. Factors affecting the risk of interruption in the supply chain of emergency medical supplies.
The fault tree starts from accidents or faults, reverses the cause and effect, deduces the cause and event of the accident step by step until the basic event, and uses various logical gates to connect the related cause and event [79]. Therefore, we utilized a fault tree analysis to study the impact of various factors in the supply chain on its operation. The method took the three-level supply chain as the research object, analyzed the reasons for interruptions in the supply chain, and established a general model for supply chain interruption diagnosis by drawing on a diagnostic analysis method for machine component interruptions and combining the principle of fault tree analysis.

4.2. Bayesian Network Construction of Interruption Risk in Supply Chain of Emergency Medical Supplies

This paper ultimately identified 6 risk factors, namely, the identification of factors affecting the interruption risk of the supply chain of emergency medical supplies in Section 4.1, as the risk nodes of the Bayesian network in this paper, forming a three-level hierarchical network structure. In the Bayesian network presented in this paper, each node had only two possible impacts on supply chain interruptions: 0 means that the fault did not occur, and 1 means that the fault occurred.
To address the issue of supply chain resilience evaluation considering the spread of interruption risk, it was necessary to first construct a Bayesian network for the supply chain risk. The process of constructing the Bayesian network was essentially a layer-by-layer analysis and identification of various risk events that may cause interruptions in the supply chain from child nodes to parent nodes. According to the triplet representation of Bayesian networks, N = ( I , E , P ) is a Bayesian network with N nodes, G ( I , E ) represents a directed acyclic graph, where I = I 1 , , I n is the set of variables in the network, representing various risk events in the supply chain and the risk factors that cause them. E is the set of directed edges between two variables with causal relationships, representing the “causal relationship” between risks. P is the probability set of each variable in the network, representing the conditional probability between each risk. For any random variable, given the prior probabilities and conditional probability distributions of all root nodes, the joint distribution containing all nodes can be obtained as follows:
P I 1 , I 2 , , I n = r N P ( I r | p a I r )
where p a ( I r ) is the parent node of the variable I r in the directed acyclic graph G. Thus, by identifying the risk factors that cause supply chain interruptions and identifying the causal relationships between these risk factors, a Bayesian network can be constructed.
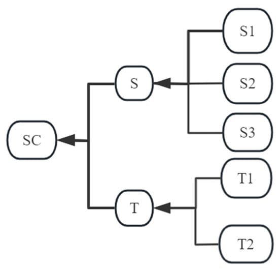
By analyzing the structure of the supply chain of emergency medical supplies under the background of sudden events, abstracting the entire supply chain, and identifying the nodes with significant impact as the research focus, a Bayesian network model was constructed as shown in Figure 3.
Figure 3. Bayesian network model for supply chain risk diagnosis.
SC represents the probability of supply chain interruption, S represents the probability of supply interruption, and T represents the probability of transportation interruption. S j represents the probability of the cause j ( j = 1,2 , 3,4 ) causing a supply interruption, and T j represents the probability of the cause j ( j = 1,2 ) causing a transportation interruption, where S C , S , T , S j , T j [ 0,1 ] .
The real supply chain of emergency medical supplies is a complex network. In order to simplify the model of supply chain interruption risk propagation, the following assumptions were made:
(1)
The risk factors of each root node (such as insufficient supply of raw materials, traffic interruption, etc.) are independent of each other, and there is no direct causal relationship or coupling effect [80].
(2)
Risk propagation is unidirectional, only transmitted from higher-level nodes to lower-level nodes (such as insufficient supply of raw materials → supply interruption nodes), without considering the situation of risk transmission from same-level nodes and lower-level nodes to higher-level nodes [81].
(3)
There is no circular loop in the risk propagation path of the supply chain, that is, the risk will not form a closed-loop propagation through multiple nodes (such as supply interruption → transportation interruption → supply interruption) [80].
(4)
If at least one type of interruption occurs in supply or transportation, it will lead to the supply chain interruption.

4.2.1. Probability Calculation of Supply Chain Interruption Risk Based on Bayesian Network

After determining the Bayesian network structure, the conditional probability table for each risk node and the prior probability of root node risk were obtained through historical data and expert evaluation. The conditional probability table of each risk node should include the probability that the node is in a certain state under different combinations of states of all its parent nodes. Therefore, the probability of risk occurrence at each node in the supply chain and the probability of supply chain interruption when a node in the supply chain experiences interruption risk and transmits it to downstream nodes can be calculated [82] as shown in Table 3.
Table 3. Calculation results of the interruption probability of the supply chain of emergency medical supplies.

4.2.2. Probability Calculation of Supply Chain Interruption Risk Under Information Sharing Mechanism

With the development of modern information technologies such as big data analysis, Internet of Things technology, and artificial intelligence technology, supply chains can better cope with uncertain events such as supply interruptions, logistics delays, and sudden changes in demand, reducing the probability of interruption risks.
This study utilized the do-calculus technique [83] to quantify the impact of information sharing on the propagation of supply chain interruption risk through the do operator (denoted as do (−)).
Assuming there are n nodes in the supply chain, the probability of node i being in state s i before information sharing is P ( s i ) , and the probability of being in state s i after information sharing is P ( s i ) . The impact of information sharing on the supply chain can be reflected by measuring the change in the probability of each node’s state on the overall supply chain risk.
Assuming the supplier node is S, its probability of being completely interrupted before information sharing is P ( S s d i s t u p t ) , and after information sharing it becomes P ( S s d i s t u p t ) . We define the Information Sharing Impact Indicator ISI as follows.
I S I = P S s d i s r u p t P ( S s d i s r u p t ) P ( S s d i s r u p t )
Furthermore, considering the interrelationships between nodes, let the set of parent nodes for node i be γ i . Before information sharing, the probability of node i being in state s i is calculated based on the state probability P ( s j )   ( j γ i ) and conditional probability G s i | γ i of its parent nodes.
P s i = s γ i G s i | γ i j γ i P ( s j )
After information sharing, the conditional probability becomes G s i | γ i , and the probability of node i being in state s i is updated to
P s i = s γ i G s i | γ i j γ i P ( s j )
According to Equations (2)–(4), we calculated the interruption risk probability of each node in the supply chain under information sharing as shown in Table 4.
Table 4. Calculation results of interruption risk probability for each node in the supply chain under information sharing.

5. Resilience Evaluation of Supply Chain of Emergency Medical Supplies Based on System Dynamics

Professor Forrester from MIT pioneered system dynamics, which describes the dynamic complexity of a system through causal feedback relationships and establishes quantitative models to simulate the behavior patterns of real-world systems under different strategies using computer simulation methods [84]. Due to its dynamic simulation capability, it can effectively present the characteristics of supply chain changes over time in the event of emergencies and can simulate the evolution trend of supply chain changes over time in different scenarios. Therefore, system dynamics was used for evaluating the dynamic resilience of a supply chain under interruption risk propagation scenarios.
This study selected the “demand fulfillment rate” in the supply chain of emergency medical supplies as the resilience evaluation index, because it was highly consistent with the goals of the supply chain of emergency medical supplies and could directly reflect the degree of fulfillment of supply chain material demand under emergencies. At the same time, it could reflect the supply chain’s response ability to sudden changes in material demand and the collaborative operation ability of various links from supply to distribution of materials. When the supply chain maintains a high demand fulfillment rate, it means that it can maintain stable material supply in the face of external disturbances, fully demonstrating the resilience of the supply chain.
This section mainly takes the supply chain system of emergency medical supplies under the background of emergencies as the research object, with the collection of emergency medical supplies as the left boundary and the demand for medical supplies from disaster areas as the right boundary. It was assumed that medical supplies flowed between supply entities, medical supplies distribution points, and disaster areas through collection, transportation, and distribution. In addition, considering feasibility and practicality, we selected a representative medical product from various medical supplies in order to discover general patterns. The emergency allocation process can be abstracted as the following steps: collecting required materials from various supply entities → gathering materials and transporting them to emergency material reserve points in disaster areas → coordinating the allocation of materials by the government to various hospitals, pharmacies, and communities.

5.1. Model Assumptions

(1)
The stronger the resilience of the supply chain, the higher the supply ratio. Therefore, the total demand fulfillment rate of emergency medical supplies was selected to indirectly measure the resilience of the supply chain. The total demand fulfillment rate is represented by the ratio of the total amount of emergency supplies obtained by all demand areas in all scenarios to the total demand of all demand areas [82].
(2)
After a sudden public health emergency occurs, the charity organization that receives donated materials is located in the vicinity of the disaster area, and its transportation delay is mainly reflected in the donation transportation process [82].
(3)
Considering the disaster situation, the disaster area has a basic demand for medical supplies, and unexpected events can cause demand fluctuations. Therefore, a combination of basic demand and random numbers was used to represent it.
(4)
To simulate the impact of information sharing on various variables in the supply chain, the information disturbance α was introduced to represent incomplete information transmission.

5.2. Causal Relationship Construction

According to the causal analysis of the three-level nodes in the supply chain, the logical relationship between the variables in the entire supply chain was obtained and is shown in Figure 4.
Figure 4. Causal relationship between demand and supply of emergency medical supplies.
There are two types of loops in the causal relationship diagram: positive feedback loops and negative feedback loops. And in the Figure 4, + represents positive feedback and − represents negative feedback. The positive feedback loops continuously strengthen the trend of the variable, while the negative feedback loops self-regulate.

5.3. Construction of Stock Flow Diagram

Based on the causal relationship diagram of the above model, the stocks, flows, constants, and auxiliary variables in the model were distinguished according to the principles of system dynamics:
(1)
Stock: the government dispatches inventory of materials in transit, material production volume, transit warehouse inventory, and charitable organization inventory.
(2)
Flow: delivery rate of government material distribution center, material arrival rate, charity organization supply rate, donation rate, productivity, delivery rate, transportation rate.
(3)
Constant: government inventory adjustment time, delivery cycle, inventory adjustment time for charitable organizations, productive time, number of production enterprises, production qualification rate, transportation delay, information disturbance, infrastructure construction.
(4)
Auxiliary: government shipment volume, government shipping decision, feedback on inventory in transit, the quantity of orders received by the supplier, the supply of feedback, feedback on the arrival quantity of materials, feedback on the supply of charitable organizations, required fulfillment rate, feedback on the demand for disaster areas, expected inventory.
After clarifying the properties of each variable in the system, the stock flow diagram of the above model was plotted using the system dynamics modeling software Vensim PLE, as shown in Figure 5.
Figure 5. Dynamic stock flow diagram of the chain system of emergency medical supplies.

5.4. Establishment of Model Equations

In order to further simulate the simulation system using Vensim PLE software and analyze the interrelationships between variables, it was necessary to quantify the interrelationships between variables into mathematical relationships. The mathematical equations between the variables are shown below.
D 2 = 1 α × D
In Equation (5), D 2 represents the feedback demand for disaster areas, α represents information disturbance, and D represents the demand for medical supplies.
According to the literature [82], the demand for random disturbance x can be set as a function with a mean of 0 and a variance of 1.
x = R a n d o m   n o r m a l   ( 0,1 , 0,1 , 1 )
In Equation (6), random normal is the functional symbol of a function in system dynamics, which refers to the generation of random values in the range (0,1) and depends on a normal distribution.
C = I n t e g   ( C 1 C 2 ,   I n i t i a l   i n v e n t o r y )
C is the inventory of charitable organizations, C 1 is the donation rate, and C 2 is the replenishment rate of charitable organizations.
S = I n t e g ( G 2 + C 2 + T r )
S represents the effective supply of emergency medical supplies, G 2 represents the arrival rate of supplies, C 2 represents the supply rate of charitable organizations, and T r represents the transportation rate.
G = I n t e g ( G 1 G 2 )
G represents the inventory of government-dispatched materials in transit, and G 1 represents the delivery rate of government’s material distribution centers.
P = I n t e g ( P 1 P 2 )
P is the production volume of materials, P 1 is the production efficiency, and P 2 is the delivery rate.
T = I n t e g ( P 2 T r )
T is the inventory of the transit warehouse, and T r is the transportation rate.
G 1 = max G 3 , 0 / t 1
G 3 represents the government’s shipment volume, and t 1 represents the government’s inventory adjustment time.
G 2 = d e l a y   m a t e r i a l ( G 1 , T d , 0 )
T d represents the transportation delay.
C 1 = d e l a y   m a t e r i a l ( C o + C p , C d , 0 )
C o = r a n d o m   n o r m a l ( m i n , m a x , 1 )
C p = r a n d o m   n o r m a l ( m i n , m a x , 1 )
C o represents group donations, C p represents individual donations, and C d is a delay in the transportation of donated materials. Random uniform is a functional symbol in system dynamics, referring to the generation of random values in the range (min, max).
C 2 = i f   t h e n   e l s e ( O > 0 , min O t 2 , C o + C p t 2 , 0 )
O is the order quantity received by the supplier, and t 2 is the inventory adjustment time of the charity organization.
P 1 = i f   t h e n   e l s e ( O > 0 , m i n ( O t 3 , n q r t 3 , 0 )
In Equation (18), n is the daily production capacity limit, q is the number of production enterprises, r is the production qualification rate, and t 3 is the production time.
P 2 = i f   t h e n   e l s e ( P > 0 , P t 4 , 0 )
In Equation (19), t 4 is the time for material collection.
T r = i f   t h e n   e l s e ( T > 0 , T t 5 , 0 )
In Equation (20), t 5 is the transportation time.
G 3 = G 4 × p u l s e   t r a i n ( 1,0 , t 6 , e n d )
G 4 represents the government’s shipping decision, and t 6 represents the shipping cycle.
G 4 O F G F C F T t 6
F G is the feedback on inventory in transit, F C is the feedback on charity supply volume, and F T is the feedback on material arrival volume.
α = r a n d o m   n o r m a l ( 0,1 , 0,1 , 1 )
α is the information disturbance.
O = E I F s
F s = S × ( 1 α )
EI is the expected inventory, and F s is the effective supply feedback.
ε = S / D
ε is the demand fulfillment rate.

6. Model Simulation and Decision Analysis

6.1. Simulation Background and Parameter Settings

In 2020, the COVID-19 pandemic swept across the globe, posing a serious threat to people’s life safety and health and a persistent obstacle to economic development. Under the leadership of the central government, China initially curbed the spread of the epidemic within more than a month of its outbreak, achieving phased results in the fight against the epidemic. This section takes the spread, prevention, and control of the COVID-19 pandemic in Wuhan, Hubei Province as the background, considers that masks are emergency medical supplies, takes 46 d (15 January–29 February 2020) as the simulation run time, and makes the initial time = 0, time step = 1, using Vensim PLE software to simulate the model, clarifies the inherent connections between emergency medical supplies allocation, and evaluates the resilience of the supply chain of emergency medical supplies considering interruptions of propagation in the context of major public health emergencies and the impact of information sharing on supply chain resilience.
In the early stage of the epidemic, the Ministry of Industry and Information Technology coordinated emergency procurement to provide Wuhan with a supply of 3 million masks, so the initial inventory level of the disaster areas was set at that value. Based on official data and empirical inference (the data were sourced from the official website of the Hubei Provincial Health Commission, the Wuhan Municipal Government Affairs Open Platform, and the Wuhan Emergency Management Bureau in Hubei Province, China), the remaining values are shown in Table 5.
Table 5. Constant parameters.

6.2. Model Simulation Analysis

6.2.1. Model Verification

In order to verify the validity of the model, after comprehensively comparing the commonly used model testing methods in system dynamics, the fitting test was selected to verify whether the trend of the simulation results was consistent with the actual situation. In the fitting test, the validity and rationality of system dynamics are judged by examining whether the trend of simulation results can reflect the changing pattern in the actual situation. In this test, the inventory of the transit warehouse was selected as the observation indicator under the condition of continuous and stable operation of the supply chain without interruption. The results are shown in Figure 6.
Figure 6. Changes in inventory of the transit warehouse under different transportation times.
The change in the trend of the transmit warehouse’s inventory under different transportation time parameter values was analyzed and compared with the actual situation. The simulation results were found to be consistent with objective laws, verifying the validity and rationality of the system dynamics model. By changing the transportation time to 4 days, 14 days, 24 days, and 34 days, the inventory of the transit warehouse gradually decreased with the increase in transportation time, which is in line with objective laws.

6.2.2. Simulation Results and Analysis of Different Interruption Risks

Four different scenarios are presented in this section, namely: normal operation of the supply chain (normal), occurrence of supply interruption, transportation interruption, and coexistence of supply and transportation interruption risks. Figure 7 shows the trends in the effective supply of emergency medical supplies in four different scenarios.
Figure 7. Trends in effective supply of emergency medical supplies under four scenarios.
Under normal circumstances, the supply chain maintained a high effective supply of materials, with an average daily growth of about 50 units. Within 40 days, the effective supply reached a level close to 2000, indicating that the emergency medical material supply chain could supply materials stably and sustainably without external interference. To achieve the goal of supply chain sustainability, it is advisable to consider building a dynamic demand and capacity adaptation mechanism, using big data for demand forecasting, predicting the turning point of demand fluctuations in advance, and meeting the changing needs of disaster areas.
When there was only a risk of supply interruption in the supply chain, the daily growth rate decreased to 22 units, with a relatively small increase. The effective supply on the 40th day was also lower than the “normal” curve, indicating that the risk of supply interruption had a significant negative impact on the effective supply of materials, and this impact persisted from the beginning. When there was only a risk of transportation interruption in the supply chain, the change in initial effective supply showed a lag phenomenon. With the accumulation of transportation delays, although material production was not directly affected, this delay limited the growth of the effective supply of emergency medical supplies. When there was a dual interruption risk in the supply chain, the effective supply on the 40th day only reached 600 units, which was lower than the total supply under a single-interruption scenario. This suggests that the coexistence of dual risks poses greater challenges to the resilience of the supply chain of emergency medical supplies. At this point, it is necessary to timely cut off the transmission chain of supply and transportation risks, set up redundant inventory on the supply side, reserve key raw materials to ensure the continuous operation of the core production line, and seek backup warehouses and transportation routes on the transportation side to improve the supply chain’s ability to resist risks.
Figure 8 shows the trend in demand fulfillment rate under different interruption risks. When the supply chain was normal, the demand fulfillment rate continued to rise, reaching one for the first time on the 28th day. Due to the development of the epidemic at different stages, the types and quantities of material needs in the disaster areas changed. Although the demand fulfillment rate fluctuated, it was always able to meet the needs of the people in the disaster areas. This suggests that the supply chain not only responded to demand fluctuations but also had a certain degree of flexibility. The normal supply chain could effectively integrate resources to meet the demand for medical supplies in disaster areas, which is a direct manifestation of the resilience of the supply chain.
Figure 8. Demand fulfillment rate under different interruption risks.
After the transportation interruption in the supply chain, the demand fulfillment rate reached one for the first time on the 42th day. Initially, due to the reserve of certain materials in the disaster area, these inventories could meet some of the demand in the short term, so the demand fulfillment rate did not show a downward trend. However, compared to normal circumstances, the timeliness and effectiveness of material supply were significantly affected. In that situation, the government may consider opening temporary transportation routes to shorten the recovery time from transportation interruptions and reduce the impact of this risk on the demand fulfillment rate of the supply chain.
When there was a risk of supply interruption in the supply chain, the demand for medical supplies was no longer met. During the supply interruption period, relevant departments sought alternative supply sources, resulting in a slight recovery in demand fulfillment rate. However, the production capacity of enterprises could not reach normal levels, and there was always a supply gap that could not fully meet the needs of disaster areas, resulting in a significant decrease in supply chain resilience. In that situation, the government needs to collaborate with enterprises to quickly activate idle production capacity and transform it into medical supplies, coordinate upstream and downstream enterprises to resume production, and ensure raw material supply, while accurately distinguishing between rigid and non-rigid demands, prioritizing the protection of rigid supplies, and adapting to non-rigid demands through delaying and social donations to alleviate supply pressure and maximize the supply chain’s material support for disaster areas.
Compared to transportation interruptions, supply interruptions had a greater impact on the resilience of the supply chain. This is because it is relatively difficult to find alternative production capacity after a supply interruption occurs, and it takes a long time to rebuild production lines or restore production capacity. After a transportation interruption occurs, there are many alternative transportation solutions available.

6.2.3. Model Simulation and Analysis Considering Information Sharing Mechanism

Nowadays, the rapid development of communication technology has created many favorable conditions for emergency response. After an emergency occurs, each department uploads the collected relevant data to the emergency information sharing platform through the information management system, enabling real-time information to exchange among members and providing support for collaborative cooperation among all parties. To be more realistic, in this section, we simulated the impact of the supply chain demand fulfillment rate under different interruption scenarios under information sharing.
Figure 9 and Figure 10 show the trend of the impact of information sharing on the production volume of medical supplies and the effective supply of emergency medical supplies after the occurrence of supply interruption risk, respectively.
Figure 9. The impact of information sharing on production volume under supply interruption risk.
Figure 10. Impact of information sharing on effective supply of emergency medical supplies under supply interruption risk.
Figure 9 reflects the dynamic changes in medical material production and the moderating effect of information sharing under a supply interruption risk by comparing three scenarios: normal and supply interruption risk with and without information sharing. Under normal circumstances, due to the initial surge in demand, the output of medical supplies reached up to 400 units and then fluctuated with the dynamic changes in demand, reflecting the strong flexibility and adaptability of the supply chain without interruption risk. After the risk of supply interruption occurred, production volume remained at a low level without information sharing, making it almost impossible to sustain production. With information sharing, the production volume was significantly lower than normal levels, fluctuating around 100 units, indicating that information sharing enabled production enterprises to achieve dynamic capacity allocation through real-time data exchange, thereby reducing the impact of interruption risks. When facing the risk of supply interruption, the impact of information sharing on the supply chain was mainly reflected in the following two aspects: on the one hand, real-time data interactions drove production enterprises to dynamically configure production capacity, avoiding blind production or stagnation caused by information asymmetry, reducing waste caused by resource mismatch from the source, and aligning with the core concept of “resource efficient utilization” in sustainable supply chains; on the other hand, by maintaining basic supply and providing continuous support for medical security in disaster areas, the sustainability of the supply chain was reflected from a social perspective, avoiding secondary social costs caused by supply interruptions.
Figure 10 shows the impact of information sharing on the effective supply of emergency medical supplies under a supply interruption risk. Under normal circumstances, the supply chain could efficiently and sustainably ensure the supply of emergency medical supplies. When facing the risk of supply interruption, the supply chain without information sharing experienced slow growth in effective supply volume and reached the lowest supply volume in the same period of time. When there was information sharing, although the effective supply growth rate of the supply chain was lower than normal, it still had a higher growth rate compared to the situation without information sharing. This indicates that when there is a risk of supply interruption, information sharing enables timely and effective communication and collaboration among the supply side, which can effectively enhance the level of protection of the supply chain in the face of risk shocks.
Figure 11 shows the changing trend of the impact of information sharing on demand fulfillment rate under supply interruption. Under normal circumstances, the demand fulfillment rate of the supply chain showed an overall upward trend. Although there were fluctuations due to unstable demand, the supply chain could still meet the demand well. This reflected the adaptability and resilience of the supply chain in a risk-free state, which could flexibly adjust according to demand fluctuations and maintain a high level of fulfillment rate. When there was a risk of supply interruption and no information sharing, the demand fulfillment rate was at a low level, and although it slowly increased over time, it did not fully meet the demand of the disaster area throughout the entire time period. When there was information sharing among members, it was also impacted by supply interruptions in the early stage, but the demand fulfillment rate gradually increased in the later stage and approached the normal level of demand fulfillment but never reaching the original level. Compared with the situation without information sharing, the demand fulfillment rate significantly improved. Information sharing enabled suppliers to timely obtain demand dynamics and adjust production and supply strategies. Even under the unfavorable conditions of supply interruption, it could maximize the guarantee of material supply, narrow the gap in fulfillment rate with normal conditions, and enhance the resilience and ability of supply chain to handle short-term crises in real time. However, during the supply interruption period, even with the addition of information sharing, the needs of the disaster area were not met. This requires decision-makers to balance short-term response efficiency with long-term sustainable goals and adopt alternative strategies such as backup suppliers as soon as possible on the basis of participating in information sharing to ensure the supply of materials.
Figure 11. The impact of information sharing on demand fulfillment rate under supply interruption.
Figure 12 shows the impact of information sharing on the demand fulfillment rate of medical supplies after the occurrence of a transportation interruption risk. Under normal circumstances, the demand fulfillment rate showed an upward trend accompanied by fluctuations, indicating that the supply chain could flexibly respond to changes in demand, effectively integrate resources to meet the needs of disaster areas, and demonstrate good adaptability and resilience. After the risk of transportation interruption occurred, the fulfillment rate of supply chain demand without information sharing increased slowly and the overall level was low. This is because after the transportation interruption, there is a lack of information communication in various links, which makes it difficult to adjust transportation strategies or find alternative transportation solutions in a timely manner, resulting in delayed material distribution and difficulty in meeting the needs of the disaster area. Supply chains with information sharing mechanisms were also affected in the early stages of transportation disruptions, but over time, the demand fulfillment rate significantly increased and could better meet the needs of disaster areas in the later stage. Information sharing plays an important role in improving demand fulfillment rate in transportation interruption risk scenarios. It is not only about data transmission, but also the foundation for achieving rapid response, collaborative decision-making, and resource optimization. It promotes collaborative cooperation among various links in the supply chain, optimizes resource allocation and transportation strategies, effectively reduces the negative impact of transportation interruptions on material supply, and enables the sustainable operation of the supply chain. When facing the risk of transportation interruption, it is necessary to ensure the efficiency, transparency, and sharing of information, and dynamically adjust based on this, using an information sharing platform to shorten the time for route and capacity adjustments to achieve full tracking from the supply location to the disaster areas.
Figure 12. The impact of information sharing on demand fulfillment rate under transportation interruption risk.
Compared with Figure 11, it can be seen that information sharing after transportation interruption was more conducive to restoring the supply chain to its original state. This is because restoring after a supply interruption generally involves production processes, such as finding new raw material suppliers, adjusting production lines, etc., which are complex and time-consuming. Due to the characteristics of the production process itself, it may take a long time for the supply chain to recover to its original state after an interruption, and even if there is information sharing, it is difficult to make significant improvements. Relatively speaking, after a transportation interruption occurs, logistics providers can quickly adjust transportation routes and change transportation methods through timely and effective information sharing. These adjustments can be completed quickly, faster than restoring the supply chain. Therefore, in the short term, timely information sharing after a transportation interruption is more beneficial for the resilience and sustainability of the supply chain.

7. Conclusions, Implications and Limitations

Based on the analysis of the operation process of the supply chain of emergency medical supplies, this paper established an information sharing mechanism, combined it with the theory of supply chain risk propagation, and proposed a risk propagation model for the emergency supply chain under information sharing mechanism. Next, a risk propagation model for an interruption in the supply chain of emergency medical supplies based on Bayesian network was constructed, and the do-calculus technique was introduced to transform the intervention effect of information sharing into the quantification of supply chain risk probability. Then, a model of the supply chain of emergency medical supplies was established through system dynamics, and the changes in supply chain operation under different interruption scenarios were simulated and analyzed, as well as the impact of information sharing on key variables in the supply chain. The results showed that the impacts of different interruption scenarios on the supply chain were significantly different. After the supply interruption, the demand fulfillment rate decreased, and it was difficult to recover to the normal level even if information sharing was introduced, indicating that this risk had a persistent impact on the resilience of the supply chain, whereas the transportation interruption had a greater impact on the resilience of the supply chain in the early stage, but the resilience of the supply chain was able to recover gradually with the implementation of information sharing. A further analysis showed that information sharing could effectively improve the resilience of the supply chain, especially in the transportation interruption scenario, which could shorten the time for the demand fulfillment rate to return to the normal level by about 24%; in the supply interruption scenario, although information sharing could improve the demand fulfillment rate, it was still unable to return to the normal level due to the actual capacity.
Therefore, in order to enhance the resilience and sustainability of the supply chain of emergency medical supplies and to guarantee the timely and sustainable supply of emergency supplies, it is advisable to optimize the supply, transportation, and information-sharing levels. The government can guide enterprises to reserve redundant inventory through policy subsidies and innovatively design a supply chain financial system to provide financial support for enterprises. The government can also build a cross-regional production capacity coordination system, forming a dual mode of “regional self-sufficiency + national deployment” to ensure the effective supply of materials. At the transportation level, relying on big data and other technologies to establish an efficient distribution system, the government can implement dynamic transportation solutions, enhance risk resistance by developing multiple transportation routes, reduce emergency deployment costs, and improve the resilience and sustainability of the supply chain. At the same time, the government should take the lead in building an informatization platform for the supply chain of emergency supplies, collecting data from multiple parties, and guiding enterprises to open up their operational data through policy incentives, so as to form a collaborative ecosystem of risk sharing and benefit sharing.
This study provides theoretical reference and decision-making support for the optimization of the supply chain of emergency medical supplies, which will help to improve the risk-resistant ability of the supply chain and enhance the resilience of the supply chain. The improvement of supply chain resilience helps enterprises cope with uncertainty, reduce cost increases and resource waste caused by unexpected events, enhance operational efficiency, and lay the foundation for sustainable development. In addition, during emergencies, a resilient and well-functioning supply chain can ensure the safety and health of people, prevent large-scale unemployment and economic shocks in society, and is a manifestation of social responsibility, which is the factor of sustainability concern.
The theoretical contributions of this study mainly include theoretical expansion and methodological innovation. In terms of theoretical expansion, existing research on supply chain information sharing has mostly focused on its impact on supply chain performance and collaboration efficiency in routine scenarios, and less on the impact of information sharing on supply chains in emergency contexts. In this paper, an emergency supply chain risk propagation model under the information sharing mechanism was proposed by combining the information sharing mechanism with the theory of supply chain interruption risk propagation, which enriched the theoretical framework of emergency supply chain risk propagation in the new situation. In terms of the innovation of supply chain resilience evaluation methods, existing research mostly adopts static evaluation methods, which have difficulty revealing the dynamic changes in the supply chain under unexpected events. In this paper, a system dynamics model was used to construct a model of a supply chain of emergency medical supplies. Through a simulation analysis, the interaction and feedback mechanism between various factors were revealed, and a dynamic resilience evaluation was carried out, providing a new perspective and method for in-depth research on sustainable supply chain management.
However, this paper still has limitations. When constructing the Bayesian network, this paper simplified the supply chain structure to a certain extent and did not fully consider the coupling effect and risk loop propagation that may exist in the real supply chain. Future research can further explore the modeling of complex systems. In addition, this paper only focused on the role of the material flow and information flow in the supply chain of emergency medical supplies and neglected the influence of the financial flow. Future research can incorporate financial-flow-related indicators into the supply chain system of emergency medical supplies to provide more comprehensive theoretical support.

Author Contributions

Conceptualization, J.B.; methodology, J.W.; software, validation, writing—review and editing, J.W.; supervision, J.B.; project administration, X.L.; funding acquisition, X.L. All authors have read and agreed to the published version of the manuscript.
All authors have read and agreed to the published version of the manuscript.

Funding

This research was supported by the Young Doctor Project of the Xinjiang “Tianchi” Talent Attraction Plan; National Social Science Foundation of China under Grant 21CJY051; and Research Project on Social Science Development of Qinhuangdao City, Hebei Province under grant 2024LX016.

Institutional Review Board Statement

Not applicable.

Data Availability Statement

The data presented in this study are available on request from the corresponding author.

Conflicts of Interest

The authors declare that they have no conflicts of interest.

References

  1. Anbo, W.; Yue, S.; Huiling, Z.; Sun, L.; Wang, X.; Li, B. Research on Resilience Evaluation of Coal Industrial Chain and Supply Chain Based on Interval Type-2F-PT-TOPSIS. Processes 2023, 11, 566. [Google Scholar]
  2. Zeng, Z.; Xi, L.; Liu, X. Influencing Factors and Evaluation of Medical Supplies Supply Chain Resilience under the COVID-19 Epidemic. Soc. Secur. Adm. Manag. 2023, 4, 19–31. [Google Scholar] [CrossRef]
  3. Hu, Z.; Tian, J.; Feng, G. A relief supplies purchasing model based on a put option contract. Comput. Ind. Eng. 2018, 127, 253–262. [Google Scholar] [CrossRef]
  4. Wang, S.L.; Sun, B.Q. Model of multi-period emergency material allocation for large-scale sudden natural disasters in humanitarian logistics: Efficiency, effectiveness and equity. Int. J. Disaster Risk Reduct. 2023, 85, 103530. [Google Scholar] [CrossRef]
  5. Singh, S.; Kumar, R.; Panchal, R.; Tiwari, M.K. Impact of COVID-19 on logistics systems and disruptions in food supply chain. Int. J. Prod. Res. 2021, 59, 1993–2008. [Google Scholar] [CrossRef]
  6. Haishi, L.; Yuxuan, S.; Nan, P.; Yi, L.; Yuqiang, A.; Dilin, P. Study on the optimization of urban emergency supplies distribution paths for epidemic outbreaks. Comput. Oper. Res. 2022, 146, 105912. [Google Scholar]
  7. Yuqing, P.; Cheng, T.C.E.; Yuxuan, H.; To, N.C.; Sethi Suresh, P. Foresighted medical resources allocation during an epidemic outbreak. Transp. Res. Part E 2022, 164, 102762. [Google Scholar]
  8. Chen, Y.; Zheng, W.; Li, W.; Huang, Y. The Robustness and Sustainability of Port Logistics Systems for Emergency Supplies from Overseas. J. Adv. Transp. 2020, 2020, 8868533. [Google Scholar] [CrossRef]
  9. Vipul, J.; Sameer, K.; Umang, S.; Chandra, C. Supply chain resilience: Model development and empirical analysis. Int. J. Prod. Res. 2017, 55, 6779–6800. [Google Scholar]
  10. Luo, L.; Li, X.; Zhao, Y. A two-stage stochastic-robust model for supply chain network design problem under disruptions and endogenous demand uncertainty. Transp. Res. Part E 2025, 196, 104013. [Google Scholar] [CrossRef]
  11. Tao, Y.; Lai, X.; Zhou, S. Information sharing in a transparent supply chain with transportation disruptions and supplier competition. Ann. Oper. Res. 2020, 329, 307–329. [Google Scholar] [CrossRef]
  12. Alexandre, D.; Dmitry, I.; Maxim, R. Does the ripple effect influence the bullwhip effect? An integrated analysis of structural and operational dynamics in the supply chain. Int. J. Prod. Res. 2020, 58, 1285–1301. [Google Scholar]
  13. Farradia, Y. Toward Firm Sustainability Through Green Supply Chain Management and Green Marketing in the New Norm. In Proceedings of the 1st International Conference on Sustainable Management and Innovation, Bogor, Indonesia, 14–16 September 2020. [Google Scholar]
  14. Ding, J.F.; Weng, J.H.; Chou, C.C. Assessment of key risk factors in the cold chain logistics operations of container carriers using best worst method. Int. J. Refrig. 2023, 153, 116–126. [Google Scholar] [CrossRef]
  15. Lihua, C.; Lu, W.; Huaqing, H. Thoughts on the Construction of Public Service System for Emergency Supply Chain of Major Epidemic Relief Materials. Logist. Technol. 2020, 39, 1–6. (In Chinese) [Google Scholar]
  16. Teng, Y.; Zhou, L.G.; Chen, J.L. The Research on Supply Chain Portfolio Default Risk of Financial Enterprises Based on Architectonic No. 12 Copula. In Proceedings of the 2015 IEEE International Conference on Industrial Engineering and Engineering Management (IEEM), Singapore, 6–9 December 2015; IEEE: Piscataway, NJ, USA, 2016; pp. 99–104. [Google Scholar]
  17. Chen, H.; Wen, J. Financing Model Analysis and Risk Management of Supply Chain Finance Based on Gray Evaluation. Res. Gate 2017, 19, 9–16. [Google Scholar] [CrossRef] [PubMed]
  18. Gao, Y.; Feng, Z.; Zhang, S. Managing supply chain resilience in the era of VUCA. Front. Eng. Manag. 2021, 8, 465. [Google Scholar] [CrossRef]
  19. Dai, T.; Bai, G.; Anderson, G.F. PPE Supply Chain Needs Data Transparency and Stress Testing. J. Gen. Intern. Med. 2020, 35, 2748–2749. [Google Scholar] [CrossRef]
  20. Ganesh, D.A.; Kalpana, P. Factors influencing proactiveness in supply chain risk identification: A fuzzy-set qualitative comparative analysis. Int. J. Disaster Risk Reduct. 2023, 88, 103614. [Google Scholar]
  21. Sun, W.; Liao, W. Risk propagation in emergency supply chain during public health events—From a reliability perspective. Heliyon 2025, 11, e41423. [Google Scholar] [CrossRef]
  22. Liang, W.; Yiming, C.; Yuanxin, Z. Exploring the risk propagation mechanisms of supply chain for prefabricated building projects. J. Build. Eng. 2023, 74, 106771. [Google Scholar]
  23. Yao, Q.; Fan, R.; Chen, R.; Qian, R. A model of the enterprise supply chain risk propagation based on partially mapping two-layer complex networks. Phys. A Stat. Mech. Its Appl. 2023, 613, 128506. [Google Scholar] [CrossRef]
  24. Jianjun, Z.; Yamin, C.; Yuhuai, Z. Risk Propagation Mechanism Research Based on SITR Model of Complex Supply Networks. Int. J. Inf. Syst. Supply Chain Manag. 2021, 14, 18–38. [Google Scholar]
  25. Hosseini, S.; Ivanov, D.; Dolgui, A. Ripple effect modelling of supplier disruption: Integrated Markov chain and dynamic Bayesian network approach. Int. J. Prod. Res. 2020, 58, 3284–3303. [Google Scholar] [CrossRef]
  26. Dmitry, I. Correction to: Viable supply chain model: Integrating agility, resilience and sustainability perspectives-lessons from and thinking beyond the COVID-19 pandemic. Ann. Oper. Res. 2022, 319, 1411–1431. [Google Scholar]
  27. Yi, L.; Rui, Z.; Ju’e, G. Managing disruption risk in competing multitier supply chains. Int. Trans. Oper. Res. 2022, 29, 3622–3656. [Google Scholar]
  28. Kamalahmadi, M.; Parast, M.M. An assessment of supply chain disruption mitigation strategies. Int. J. Priduction Econ. 2017, 184, 210–230. [Google Scholar] [CrossRef]
  29. Li, Y.; Chen, K.; Collignon, S.; Ivanov, D. Ripple Effect in the Supply Chain Network: Forward and Backward Disruption Propagation, Network Health and Firm Vulnerability. Eur. J. Oper. Res. 2021, 291, 1117–1131. [Google Scholar] [CrossRef]
  30. Ojha, R.; Ghadge, A.; Tiwari, K.M.; Bititci, U.S. Bayesian network modelling for supply chain risk propagation. Int. J. Prod. Res. 2018, 56, 5795–5819. [Google Scholar] [CrossRef]
  31. Pavlov, A.; Ivanov, D.; Werner, F.; Dolgui, A.; Sokolov, B. Integrated detection of disruption scenarios, the ripple effect dispersal and recovery paths in supply chains. Ann. Oper. Res. 2019, 319, 609–631. [Google Scholar] [CrossRef]
  32. Hao, H.; Xing, W.; Wang, A.; Song, H.; Han, Y.; Zhao, P.; Xie, Z.; Chen, X. Multi-layer networks research on analyzing supply risk transmission of lithium industry chain. Resour. Policy 2022, 79, 102933. [Google Scholar] [CrossRef]
  33. Wang, J.; Zhou, H.; Jin, X. Risk transmission in complex supply chain network with multi-drivers. Chaos Solitons Fractals 2021, 143, 110259. [Google Scholar] [CrossRef]
  34. Guo, H.; Cheng, Y.; Xie, X. A new model for supply chain risk propagation considering herd mentality and risk preference under warning information on multiplex networks. Phys. A Stat. Mech. Its Appl. 2020, 545, 123506. [Google Scholar]
  35. Hongchun, W.; Xinyan, Z. Research on Supply Chain Risk Transmission Mechanism Based on Improved SIRS Model. Math. Probl. Eng. 2022, 2022, 9502793. [Google Scholar]
  36. Jianhua, C.; Ting, Y. Transmission Mechanism of Post-COVID-19 Emergency Supply Chain Based on Complex Network: An Improved SIR Model. Sustainability 2023, 15, 3059. [Google Scholar] [CrossRef]
  37. Brasil, L.A.C.; Faria, D.P.L.B.; Costa, D.A.M.L.; de Farias, M.M.; Carvalho, H.S. Modelling the spread of COVID-19 in the capital of Brazil using numerical solution and cellular automata. Comput. Biol. Chem. 2021, 94, 107554. [Google Scholar]
  38. Wang, Y.; Sun, R.; Ren, L.; Geng, X.; Wang, X.; Lv, L. Risk Propagation Model and Simulation of an Assembled Building Supply Chain Network. Buildings 2023, 13, 981. [Google Scholar] [CrossRef]
  39. Christopher, M.; Peck, H. Building the resilient supply chain. Int. J. Logist. Manag. 2004, 15, 1–14. [Google Scholar] [CrossRef]
  40. Zhao, S.; You, F. Resilient supply chain design and operations with decision-dependent uncertainty using a data-driven robust optimization approach. AIChE J. 2019, 65, 1006–1021. [Google Scholar] [CrossRef]
  41. Ponomarov, Y.S.; Holcomb, C.M. Understanding the concept of supply chain resilience. Int. J. Logist. Manag. 2009, 20, 124–143. [Google Scholar] [CrossRef]
  42. Torabi, S.; Baghersad, M.; Mansouri, S. Resilient supplier selection and order allocation under operational and disruption risks. Transp. Res. Part E 2015, 79, 22–48. [Google Scholar] [CrossRef]
  43. Chowdhury, M.M.H.; Quaddus, M. Supply chain readiness, response and recovery for resilience. Supply Chain Manag. Int. J. 2016, 21, 709–731. [Google Scholar] [CrossRef]
  44. Scholten, K.; Sharkey, S.P.; Fynes, B. Building routines for non-routine events: Supply chain resilience learning mechanisms and their antecedents. Supply Chain Manag. Int. J. 2019, 24, 430–442. [Google Scholar] [CrossRef]
  45. Darouich, C.; Dhiba, Y. Supply chain resilience strategies: The case of pharmaceutical firms in Morocco. Int. J. Account. Financ. Audit. Manag. Econ. 2020, 1, 136–165. [Google Scholar]
  46. Melnyk, S.A.; Closs, D.J.; Griffis, S.E.; Zobel, C. Understanding supply chain resilience. Supply Chain. Manag. Rev. 2014, 18, 34–41. [Google Scholar]
  47. Shekarian, M.; Parast, M.M. An Integrative approach to supply chain disruption risk and resilience management: A literature review. Int. J. Logist. Res. Appl. 2020, 24, 427–455. [Google Scholar] [CrossRef]
  48. Durach, F.C.; Kembro, H.J.; Wieland, A. How to advance theory through literature reviews in logistics and supply chain management. Int. J. Phys. Distrib. Logist. Manag. 2021, 51, 1090–1107. [Google Scholar] [CrossRef]
  49. Gopalakrishnan, N.; Guilherme, T. Impact of COVID-19 outbreak on employee performance—Moderating role of industry 4.0 base technologies. Int. J. Prod. Econ. 2021, 234, 108075. [Google Scholar]
  50. Leung, T. Key Advantages of Sustainable Manufacturing. 2020. Available online: https://www.winman.com/blog/key-advantages-of-sustainable-manufacturing (accessed on 23 October 2020).
  51. Eltantawy, R. Towards sustainable supply management: Requisite governance and resilience capabilities. J. Strateg. Mark. 2016, 24, 118–130. [Google Scholar] [CrossRef]
  52. Shin, N.; Park, S. Evidence-based resilience management for supply chain sustainability: An interpretive structural modelling approach. Sustainability 2019, 11, 484. [Google Scholar] [CrossRef]
  53. Akbari-Kasgari, M.; Khademi-Zare, H.; Fakhrzad, M.B.; Hajiaghaei-Keshteli, M.; Honarvar, M. Designing a resilient and sustainable closed-loop supply chain network in copper industry. Clean Technol. Environ. Policy 2022, 24, 1553–1580. [Google Scholar] [CrossRef]
  54. Cheraghalipour, A.; Farsad, S. A bi-objective sustainable supplier selection and order allocation considering quantity discounts under disruption risks: A case study in plastic industry. Comput. Ind. Eng. 2018, 118, 237–250. [Google Scholar] [CrossRef]
  55. Gholami-Zanjani, S.M.; Jabalameli, M.S.; Pishvaee, M.S. A resilient-green model for multi-echelon meat supply chain planning. Comput. Ind. Eng. 2021, 152, 107018. [Google Scholar] [CrossRef]
  56. Hasani, A.; Mokhtari, H.; Fattahi, M. A multi-objective optimization approach for green and resilient supply chain network design: A real-life case study. J. Clean. Prod. 2021, 278, 123199. [Google Scholar] [CrossRef]
  57. Khezeli, M.; Najafi, E.; Molana, M.H.; Seidi, M. A sustainable and resilient supply chain (RS-SCM) by using synchronisation and load-sharing approach: Application in the oil and gas refinery. Int. J. Syst. Sci. Oper. Logist. 2023, 10, 2198055. [Google Scholar] [CrossRef]
  58. Sabouhi, F.; Jabalameli, M.S.; Jabbarzadeh, A. An optimization approach for sustainable and resilient supply chain design with regional considerations. Comput. Ind. Eng. 2021, 159, 107510. [Google Scholar] [CrossRef]
  59. Olfati, M.; Paydar, M.M. Towards a responsive-sustainable-resilient tea supply chain network design under uncertainty using big data. Socio-Econ. Plan. Sci. 2023, 88, 101646. [Google Scholar] [CrossRef]
  60. Gebhardt, M.; Spieske, A.; Kopyto, M.; Birkel, H. Increasing global supply chains’ resilience after the COVID-19 pandemic: Empirical results from a Delphi study. J. Bus. Res. 2022, 150, 59–72. [Google Scholar] [CrossRef]
  61. Wenyu, D. Research on Supply Chain Resilience of Agricultural Products Based on AHP-FCE Model. Learn. Educ. 2020, 25, 325–334. [Google Scholar]
  62. Feng, J.; Yuan, B.; Li, X.; Tian, D.; Mu, W. Evaluation on risks of sustainable supply chain based on optimized BP neural networks in fresh grape industry. Comput. Electron. Agric. 2021, 183, 105988. [Google Scholar]
  63. Moosavi, J.; Hosseini, S. Simulation-based assessment of supply chain resilience with consideration of recovery strategies in the COVID-19 pandemic context. Comput. Ind. Eng. 2021, 160, 107593. [Google Scholar] [CrossRef]
  64. Hosseini, S.; Ivanov, D. A new resilience measure for supply networks with the ripple effect considerations: A Bayesian network approach. Ann. Oper. Res. 2019, 319, 581–607. [Google Scholar] [CrossRef]
  65. Shao, L.; Jin, S. Resilience assessment of the lithium supply chain in China under impact of new energy vehicles and supply interruption. J. Clean. Prod. 2020, 252, 119624. [Google Scholar] [CrossRef]
  66. Rajesh, R. A novel advanced grey incidence analysis for investigating the level of resilience in supply chains. Ann. Oper. Res. 2020, 308, 441–490. [Google Scholar] [CrossRef]
  67. Ayyildiz, E. Interval valued intuitionistic fuzzy analytic hierarchy process-based green supply chain resilience evaluation methodology in post COVID-19 era. Environ. Sci. Pollut. Res. 2021, 30, 42476–42494. [Google Scholar] [CrossRef]
  68. Ramezankhani, M.; Torabi, A.S.; Vahidi, F. Supply Chain Performance Measurement and Evaluation: A Mixed Sustainability and Resilience Approach. Comput. Ind. Eng. 2018, 126, 531–548. [Google Scholar] [CrossRef]
  69. Weilong, N.; Yongtu, L.; Zhengbing, L.; Liao, Q.; Cai, S.; Wang, B.; Zhang, H.; Wang, Y. Resilience assessment of the downstream oil supply chain considering the inventory strategy in extreme weather events. Comput. Chem. Eng. 2022, 163, 107831. [Google Scholar]
  70. Titah, R.; Shuraida, S.; Rekik, Y. Integration breach: Investigating the effect of internal and external information sharing and coordination on firm profit. Int. J. Prod. Econ. 2016, 181, 34–47. [Google Scholar] [CrossRef]
  71. Ha, A.Y.; Huajiang, L.; Weixin, S. Supplier encroachment, information sharing, and channel structure in online retail platforms. Prod. Oper. Manag. 2022, 31, 1235–1251. [Google Scholar] [CrossRef]
  72. Zhou, R.; Liao, Y.; Shen, W.; Yang, S. Channel selection and fulfillment service contracts in the presence of asymmetric service information. Int. J. Prod. Econ. 2020, 222, 107504. [Google Scholar] [CrossRef]
  73. Khan, M.; Hussain, M.; Saber, M.H. Information sharing in a sustainable supply chain. Int. J. Prod. Econ. 2016, 181, 208–214. [Google Scholar] [CrossRef]
  74. Dubey, R.; Altay, N.; Gunasekaran, A.; Blome, C.; Papadopoulos, T.; Childe, S.J. Supply chain agility, adaptability and alignment Empirical evidence from the Indian auto components industry. Int. J. Oper. Prod. Manag. 2018, 38, 129–148. [Google Scholar] [CrossRef]
  75. Lixin, W.; Xiaolong, J.; Qian, H. Modeling the Incentive Mechanism of Information Sharing in a Dual-Channel Supply Chain. Discret. Dyn. Nat. Soc. 2021, 2021, 2769353. [Google Scholar]
  76. Richa, N.; Arunava, M.; Mowmita, M. A multi-retailer sustainable supply chain model with information sharing and quality deterioration. RAIRO Oper. Res. 2021, 55, S2773–S2794. [Google Scholar]
  77. Fu, L.; Yang, Q.; Liu, X.; He, L. Risk assessment of infectious disease epidemic based on fuzzy Bayesian network. Risk Anal. Off. Publ. Soc. Risk Anal. 2023, 44, 40–53. [Google Scholar] [CrossRef] [PubMed]
  78. Chen, P.; Zhang, Z.; Huang, Y.; Dai, L.; Hu, H. Risk assessment of marine accidents with Fuzzy Bayesian Networks and causal analysis. Ocean. Coast. Manag. 2022, 228, 106323. [Google Scholar] [CrossRef]
  79. Yazdi, M.; Mohammadpour, J.; Li, H.; Huang, H.Z.; Zarei, E.; Pirbalouti, R.G.; Adumene, S. Fault tree analysis improvements: A bibliometric analysis and literature review. Qual. Reliab. Eng. Int. 2023, 39, 1639–1659. [Google Scholar] [CrossRef]
  80. Niels, B.; Rainer, L. Analyzing upstream and downstream risk propagation in supply networks by combining Agent-based Modeling and Bayesian networks. J. Bus. Econ. 2023, 93, 859–889. [Google Scholar]
  81. Nicknezhad, J.; Zegordi, H.S. Petroleum supply chain dynamic risk assessment using Bayesian network. Comput. Chem. Eng. 2024, 189, 108771. [Google Scholar] [CrossRef]
  82. Shi, W.; He, J.; Wang, M. System dynamics model of emergency medical materials supply chain considering decision maker’s confidence bias. J. Saf. Environ. 2023, 23, 1545–1555. (In Chinese) [Google Scholar]
  83. Liu, M.; Ding, Y.; Chu, F.; Dolgui, A.; Zheng, F. Robust actions for improving supply chain resilience and viability. Omega 2023, 123, 102972. [Google Scholar] [CrossRef]
  84. Forrester, J.W. Industrial dynamics. J. Oper. Res. Soc. 1997, 48, 1037–1041. [Google Scholar] [CrossRef]
Disclaimer/Publisher’s Note: The statements, opinions and data contained in all publications are solely those of the individual author(s) and contributor(s) and not of MDPI and/or the editor(s). MDPI and/or the editor(s) disclaim responsibility for any injury to people or property resulting from any ideas, methods, instructions or products referred to in the content.

Article Metrics

Citations

Article Access Statistics

Multiple requests from the same IP address are counted as one view.