Indoor Environmental Quality in Aged Housing and Its Impact on Residential Satisfaction Among Older Adults: A Case Study of Five Clusters in Sichuan, China
Abstract
1. Introduction
- Benchmark current IEQ conditions in aged housing;
- Quantify linkages between IEQ factors and elderly satisfaction;
- Inform targeted retrofitting strategies aligned with aging-in-place objectives, promoting urban renewal and sustainable development.
2. Literature Review
2.1. Aging-in-Place Challenges in Existing Housing Stock
2.2. Residential Satisfaction for the Older Adults
2.3. Indoor Environment Quality (IEQ)
3. Materials and Methods
3.1. Selecting the Research Area
3.2. Test Parameters
4. Discussion and Results
4.1. Demographic Characteristics of Respondents
4.2. Indoor Environmental Quality in Aged Residential Buildings
4.2.1. Thermal Environment
4.2.2. Lighting Environment
4.2.3. Acoustic Environment
4.2.4. Air Quality
4.3. Residential Satisfaction
4.3.1. Overall and Sub-Item Indicator Satisfaction
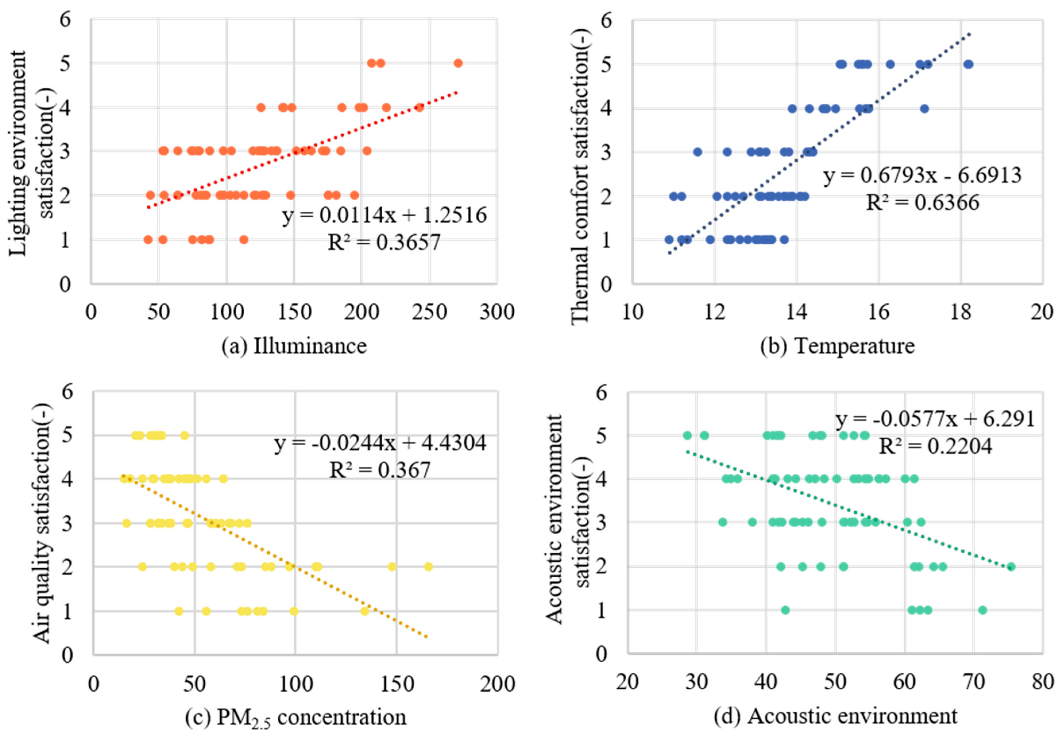
4.3.2. Indoor Perceptions and Measured Data
4.3.3. Multinomial Ordered Logistic Regression
4.3.4. Entropy Weight Method
5. Conclusions
5.1. Priority Order of Indoor Environment Renovation
5.2. Retrofitting Cost Estimates
5.3. Financial Sustainability and Implementation
5.4. Limitations and Future Directions
Author Contributions
Funding
Institutional Review Board Statement
Informed Consent Statement
Data Availability Statement
Acknowledgments
Conflicts of Interest
Appendix A

References
- World Social Report 2023: Leaving No One Behind in an Ageing World. Available online: https://desapublications.un.org/publications/world-social-report-2023-leaving-no-one-behind-ageing-world (accessed on 26 August 2024).
- Wu, Y.; Li, J. Problems in the Development of Home—Based Elderly Care Services in China and Their Countermeasures. Adm. Reform 2024, 12. [Google Scholar]
- China Aging Science Research Centre (CARSC). The Fifth National Sample Survey on the Living Conditions of the Elderly in Urban and Rural China: Key Findings Report. 2024. Available online: http://www.crca.cn/index.php/19-data-resource/life/1117-2024-10-17-08-01-05.html (accessed on 3 March 2025).
- Van Hees, S.; Horstman, K.; Jansen, M.; Ruwaard, D. Photovoicing the Neighbourhood: Understanding the Situated Meaning of Intangible Places for Ageing-in-Place. Health Place 2017, 48, 11–19. [Google Scholar] [CrossRef] [PubMed]
- Yao, Z.; Qin, L. Research Progress and Review on Age-Friendly Renovation of Aging Residential Communities in China. Urban Probl. 2021, 6, 95–102. [Google Scholar] [CrossRef]
- Van Hoof, J.; Marston, H.R.; Kazak, J.K.; Buffel, T. Ten Questions Concerning Age-Friendly Cities and Communities and the Built Environment. Build. Environ. 2021, 199, 107922. [Google Scholar] [CrossRef]
- Li, Y.; Lin, X.; Li, S.; Huang, M.; Ren, Z.; Song, Q. Restorative Environment Design Drives Well-Being in Sustainable Elderly Day Care Centres. Buildings 2025, 15, 757. [Google Scholar] [CrossRef]
- Pittana, I.; Morandi, F.; Cappelletti, F.; Gasparella, A.; Tzempelikos, A. ASHRAE Understanding the Effects of Environmental Factors on Human Perception by Means of Surveys and in Field Measurements. In Proceedings of the 41st AIVC/ASHRAE IAQ—9th TightVent—7th venticool Conference, Athens, Greece, 4–6 May 2022. [Google Scholar]
- Zhang, R.; Kong, D.; Li, H. Strategies for Aging-Friendly Renovation of Old Residential Communities Under the Community-Based Home Care Model. Planners 2024, 40, 61–68. [Google Scholar]
- Klepeis, N.E.; Nelson, W.C.; Ott, W.R.; Robinson, J.P.; Tsang, A.M.; Switzer, P.; Behar, J.V.; Hern, S.C.; Engelmann, W.H. The National Human Activity Pattern Survey (NHAPS): A Resource for Assessing Exposure to Environmental Pollutants. J. Expo. Sci. Environ. Epidemiol. 2001, 11, 231–252. [Google Scholar] [CrossRef]
- Liu, Z. Optimization Strategy for Energy-Saving Reconstruction of Existing Buildings in Hot Summer and Cold Winter Areas. Master’s Thesis, Sichuan Normal University, Chengdu, China, 2021. [Google Scholar]
- Wang, T. Research on the Design of Residential Kitchen and Bathroom Light Environment Based on the Behavioral Demand of the Elderly. Master’s Thesis, Tianjin University, Tianjin, China, 2021. [Google Scholar]
- Li, Y.; Wang, Y.; Zou, Y. Research on Acoustic Environment Planning and Design for Renovation of Old Residential Communities—Taking Beijing’s Baiwanzhuang Community as an Example. Urban Probl. 2008, 3, 43–47. [Google Scholar]
- Babisch, W. Road Traffic Noise and Cardiovascular Risk. Noise Health 2008, 10, 27. [Google Scholar] [CrossRef]
- Fisk, W.J.; Lei-Gomez, Q.; Mendell, M.J. Meta-Analyses of the Associations of Respiratory Health Effects with Dampness and Mold in Homes. Indoor Air 2007, 17, 284–296. [Google Scholar] [CrossRef]
- Ministry of Housing and Urban-Rural Development. Progress in the Transformation of Old Urban Neighbourhoods Across the Country in 2024. Available online: https://www.gov.cn/lianbo/bumen/202409/content_6975305.htm (accessed on 19 September 2024).
- Chen, Y.; Li, M.; Lu, J.; Chen, B. Influence of Residential Indoor Environment on Quality of Life in China. Build. Environ. 2023, 232, 110068. [Google Scholar] [CrossRef]
- Ganesh, G.A.; Sinha, S.L.; Verma, T.N.; Dewangan, S.K. Investigation of Indoor Environment Quality and Factors Affecting Human Comfort: A Critical Review. Build. Environ. 2021, 204, 108146. [Google Scholar] [CrossRef]
- Office of the National Working Committee on Aging. Fourth Sample Survey on the Living Conditions of Older Persons in Urban and Rural China. 2024. Available online: https://www.cncaprc.gov.cn/llxw/177118.jhtml (accessed on 19 September 2024).
- Qin, L. Research on the Practice Framework and Method of Home Modification for the Elderly. Ph.D. Thesis, Tsinghua University, Beijing, China, 2021. [Google Scholar]
- Yu, Y.; Chen, J. Senior Residents’ Wishes and Demand in Elderly-adaptiveRehabilitation of Existing Residential Area in Shanghai. Shanghai Urban Plan. Rev. 2014, 5, 98–105. [Google Scholar]
- Bergefurt, L.; Kemperman, A.; Van Den Berg, P.; Borgers, A.; Van Der Waerden, P.; Oosterhuis, G.; Hommel, M. Loneliness and Life Satisfaction Explained by Public-Space Use and Mobility Patterns. Int. J. Environ. Res. Public Health 2019, 16, 4282. [Google Scholar] [CrossRef]
- Wahl, H.-W.; Iwarsson, S.; Oswald, F. Aging Well and the Environment: Toward an Integrative Model and Research Agenda for the Future. Gerontologist 2012, 52, 306–316. [Google Scholar] [CrossRef]
- Fernández-Carro, C.; Módenes, J.A.; Spijker, J. Living Conditions as Predictor of Elderly Residential Satisfaction. A Cross-European View by Poverty Status. Eur. J. Ageing 2015, 12, 187–202. [Google Scholar] [CrossRef]
- Mouratidis, K. Urban Planning and Quality of Life: A Review of Pathways Linking the Built Environment to Subjective Well-Being. Cities 2021, 115, 103229. [Google Scholar] [CrossRef]
- Mu, J.; Kang, J. Indoor Environmental Quality of Residential Elderly Care Facilities in Northeast China. Front. Public Health 2022, 10, 860976. [Google Scholar] [CrossRef]
- Frontczak, M.; Andersen, R.V.; Wargocki, P. Questionnaire Survey on Factors Influencing Comfort with Indoor Environmental Quality in Danish Housing. Build. Environ. 2012, 50, 56–64. [Google Scholar] [CrossRef]
- Xu, L.; Zhang, Z. Effects of Residential Indoor Environments on Occupant Satisfaction and Performance. J. Asian Archit. Build. Eng. 2024, 23, 282–293. [Google Scholar] [CrossRef]
- World Health Organization. Global Age-Friendly Cities: A Guide. Available online: https://www.who.int/publications/i/item/9789241547307 (accessed on 27 August 2024).
- Tsuchiya-Ito, R.; Slaug, B.; Ishibashi, T. The Physical Housing Environment and Subjective Well-Being Among Older People Using Long-Term Care Services in Japan. J. Hous. Elder. 2019, 33, 413–432. [Google Scholar] [CrossRef]
- Ambrose, A.F.; Paul, G.; Hausdorff, J.M. Risk Factors for Falls among Older Adults: A Review of the Literature. Maturitas 2013, 75, 51–61. [Google Scholar] [CrossRef] [PubMed]
- Haans, A. The Natural Preference in People’s Appraisal of Light. J. Environ. Psychol. 2014, 39, 51–61. [Google Scholar] [CrossRef]
- Braubach, M. Residential Conditions and Their Impact on Residential Environment Satisfaction and Health: Results of the WHO Large Analysis and Review of European Housing and Health Status (LARES) Study. Int. J. Environ. Pollut. 2007, 30, 384. [Google Scholar] [CrossRef]
- Esfandiari, M.; Mohamed Zaid, S.; Ismail, M.A.; Reza Hafezi, M.; Asadi, I.; Mohammadi, S.; Vaisi, S.; Aflaki, A. Occupants’ Satisfaction toward Indoor Environment Quality of Platinum Green-Certified Office Buildings in Tropical Climate. Energies 2021, 14, 2264. [Google Scholar] [CrossRef]
- Aslanoğlu, R.; Pracki, P.; Kazak, J.K.; Ulusoy, B.; Yekanialibeiglou, S. Short-Term Analysis of Residential Lighting: A Pilot Study. Build. Environ. 2021, 196, 107781. [Google Scholar] [CrossRef]
- Battista, G.; Serroni, S.; Martarelli, M.; Arnesano, M.; Revel, G.M. Innovative Measurements for Indoor Environmental Quality (IEQ) Assessment in Residential Buildings. In Proceedings of the 2022 IEEE International Workshop on Metrology for Living Environment (MetroLivEn), Cosenza, Italy, 25–27 May 2022; IEEE: Piscataway, NJ, USA, 2022; pp. 170–173. [Google Scholar]
- Zhang, Y.; Liu, X.; Meng, Q.; Li, B.; Caneparo, L. Physical Environment Research of the Family Ward for a Healthy Residential Environment. Front. Public Health 2022, 10, 1015718. [Google Scholar] [CrossRef]
- You, L.; Deans, C.; Liu, K.; Zhang, M.F.; Zhang, J. Raising Awareness of FALL RISK Among Chinese Older Adults: USE OF THE HOME FALL HAZARDS ASSESSMENT TOOL. J. Gerontol. Nurs. 2004, 30, 35–42. [Google Scholar] [CrossRef]
- Ministry of Housing and Urban-Rural Development of the People’s Republic of China. The Guidance Manual for Urban Home Ageing Retrofit. Available online: https://www.gov.cn/lianbo/bumen/202305/P020230531277245356328.pdf (accessed on 27 August 2024).
- (China) National Bureau of Statistics. The Seventh National Population Census. Available online: https://www.stats.gov.cn/zt_18555/zdtjgz/zgrkpc/dqcrkpc/ggl/202302/t20230215_1904004.html (accessed on 29 August 2024).
- Department of Aging and Health. The Elderly Population and the Development of Ageing Health in Chengdu in 2020. Available online: https://caoss.org.cn/UploadFile/news/file/20221026/20221026162611111111.pdf (accessed on 26 April 2024).
- Chengdu Municipal Housing and Urban-Rural Development Bureau. Chengdu Urban Old Courtyard Renovation “The 14th Five-Year” Implementation Plan. Available online: https://cdzj.chengdu.gov.cn/cdzj/c131886/2022-02/10/content_064db3929ae14882ba67ad7b95f5564a.shtml (accessed on 25 January 2025).
- JGJ/T 346-2014. Available online: https://www.bzxz.net/bzxz/161942.html#google_vignette (accessed on 11 April 2025).
- GB/T 50785-2012; Evaluation standard for indoor thermal environment in civil buildings. Chinese Standard: Beijing, China, 2012.
- GB 55016-2021; Standard for daylighting design of buildings. Chinese Standard: Beijing, China, 2021.
- GB 50340-2016; Code for design of residential building for the aged. Chinese Standard: Beijing, China, 2021.
- Wu, Y. The Method to Predict Thermal Sensation Based on Physiological Acclimatization in Winter in Hot Summer and Cold Winter Climate Zone. Ph.D. Thesis, Chongqing University, Chongqing, China, 2020. [Google Scholar]
- ASHRAE-55 2017 Standard. Available online: https://www.ashrae.org/file%20library/technical%20resources/standards%20and%20guidelines/standards%20addenda/55_2017_d_20200731.pdf (accessed on 11 April 2025).
- ISO 7730:2005; Interpretation of Thermal Comfort Using Calculation of the PMV and PPD Indices and Local Thermal Comfort Criteria. ISO: Geneva, Switzerland, 2005.
- Zheng, W.; Shao, T.; Lin, Y.; Wang, Y.; Dong, C.; Liu, J. A Field Study on Seasonal Adaptive Thermal Comfort of the Elderly in Nursing Homes in Xi’an, China. Build. Environ. 2022, 208, 108623. [Google Scholar] [CrossRef]
- Li, Z.; Hong, X.; Su, X.; Li, F. Study on Winter Therma Sensation Model of the Elderly in Hot Summer and Warm Winter Zone. Build. Energy Environ. 2022, 41, 11–16. [Google Scholar]
- ISO 9920:2007; Ergonomics of the Thermal Environment—Estimation of Thermal Insulation and Water Vapour Resistance of a Clothing Ensemble. ISO: Geneva, Switzerland, 2008.
- Fan, S.; Xu, X. Temperature Based on Thermal Comfort and Thermal Health for Residential Buildings in Hot Summer and Cold Winter Zone. Heat. Vent. Air Cond. 2024, 54, 1–9. [Google Scholar] [CrossRef]
- GB/T 50034-2024; Standard for lighting design of buildings. Chinese standard: Beijing, China, 2024.
- JGJ 450-2018; Standard for design of care facilities for the aged. Chinese standard: Beijing, China, 2018.
- GB 50118-2010; Code for sound insulation design of civil buildings. Chinese standard: Beijing, China, 2010.
- Yuan, Y.; Luo, Z.; Liu, J.; Wang, Y.; Lin, Y. Health and Economic Benefits of Building Ventilation Interventions for Reducing Indoor PM2.5 Exposure from Both Indoor and Outdoor Origins in Urban Beijing, China. Sci. Total Environ. 2018, 626, 546–554. [Google Scholar] [CrossRef] [PubMed]
- Al-Kindi, S.G.; Brook, R.D.; Biswal, S.; Rajagopalan, S. Environmental Determinants of Cardiovascular Disease: Lessons Learned from Air Pollution. Nat. Rev. Cardiol. 2020, 17, 656–672. [Google Scholar] [CrossRef]
- Ni, R.; Su, H.; Burnett, R.T.; Guo, Y.; Cheng, Y. Long-Term Exposure to PM2.5 Has Significant Adverse Effects on Childhood and Adult Asthma: A Global Meta-Analysis and Health Impact Assessment. One Earth 2024, 7, 1953–1969. [Google Scholar] [CrossRef]
- GB/T 18883-2022; Standards for indoor air quality. Chinese standard: Beijing, China, 2022.
- Akar-Ghibril, N.; Phipatanakul, W. The Indoor Environment and Childhood Asthma. Curr. Allergy Asthma Rep. 2020, 20, 43. [Google Scholar] [CrossRef]
- Zhao, Y.; Zhao, B. Guidelines for Protection against PM2.5 from Home Cooking. Chin. J. Epidemiol. 2020, 41, 290–292. [Google Scholar]
- Hussainzad, E.A.; Gou, Z. Exploring the Impact of Demographic, Architectural, and Well-Being Factors on Health Outcomes in Informal Settlements: The Role of Daylight, Window Depth, and Building Orientation. Wellbeing Space Soc. 2025, 8, 100242. [Google Scholar] [CrossRef]
- Fyhri, A.; Aasvang, G.M. Noise, Sleep and Poor Health: Modeling the Relationship between Road Traffic Noise and Cardiovascular Problems. Sci. Total Environ. 2010, 408, 4935–4942. [Google Scholar] [CrossRef]
- Muzet, A. Environmental Noise, Sleep and Health. Sleep Med. Rev. 2007, 11, 135–142. [Google Scholar] [CrossRef]
- Li, Z.; Zou, Y.; Xia, H.; Jin, C. Multi-Objective Optimization Design of Residential Area Based on Microenvironment Simulation. J. Clean. Prod. 2023, 425, 138922. [Google Scholar] [CrossRef]
- Yang, Y. Characteristics and Influencing Factors of Household PM2.5 in Typical Cities in China; Chinese Center for Disease Control and Prevention: Beijing, China, 2021. [Google Scholar]
- GB3095-2012; Ambient air quality standards. Chinese standard: Beijing, China, 2012.
- GB 50189-2015; Design standard for ener efficiency of public buildings. Chinese standard: Beijing, China, 2015.
- Chengdu Housing and Urban-Rural Development Bureau. Chengdu Existing Building Decoration and Remodeling Management Measures. 2023. Available online: http://www.scwygl.com/News_Show.php?theId=9545 (accessed on 30 April 2025).
- GB 55038-2025. Available online: https://www.sohu.com/a/878082308_121123813 (accessed on 11 April 2025).
- Zhan, Z.; Tian, L. Singapore’s Experiences in Building Innovative City and Their Implications for China. Stud. Sci. Sci. 2011, 29, 627–633. [Google Scholar]
- Ministry of Housing and Urban-Rural Development. Solidly Promoting the Renovation of Old Urban Residential Areas in 2023. Available online: https://www.gov.cn/lianbo/bumen/202307/content_6892957.htm (accessed on 19 July 2024).








| Evaluation Category | Parameter | Unit | Instrument Model | Range and Accuracy |
|---|---|---|---|---|
| Thermal–humidity Environment | Air Temperature | °C | DECEMTHM01 | Range: −20 to 60 °C; Accuracy: ±0.3 °C |
| Relative Humidity | % | DECEMTHM01 | Range: 0–100%; Accuracy: ±3% | |
| Lighting Environment | Illuminance | lx | DLX-LSK2304 | Range: 0.1–200,000 lx; Accuracy: ±4% |
| Acoustic Environment | Ambient Noise Level | dB | DLX-PSO2303 | Range: 5–130 dB; Accuracy: ±1.5 dB |
| Indoor Air Quality | PM2.5 Concentration | μg/m3 | HT-9600 | Range: 0–1000 μg/m3; Accuracy: ±3% |
| PM10 Concentration | μg/m3 | HT-9600 | Range: 0–1000 μg/m3; Accuracy: ±3% |
| Community ID | Year Built | Total Households | Apartment Type | Living Area (m2) |
|---|---|---|---|---|
| A | 1992 | 649 | 2 bedrooms, 1 living room, 1 bathroom | 72 |
| B | 1990 | 839 | 2 bedrooms, 1 living room, 1 bathroom | 65 |
| C | 1999 | 244 | 2 bedrooms, 1 living room, 1 bathroom | 78 |
| D | 1998 | 308 | 2 bedrooms, 1 living room, 1 bathroom | 64 |
| E | 2000 | 325 | 2 bedrooms, 1 living room, 1 bathroom | 67 |
| Characteristic | Classification | Sample Size | Percentage/% |
|---|---|---|---|
| Gender | Male | 32 | 44.44% |
| Female | 40 | 55.56% | |
| Age | 60~69 years old | 35 | 48.61% |
| 70~79 years old | 21 | 29.17% | |
| Above 80 years old | 16 | 22.22% | |
| Marital status | Married | 45 | 62.50% |
| Unmarried | 5 | 6.94% | |
| Divorced | 2 | 2.78% | |
| Widowed | 20 | 27.78% | |
| Physical condition | Poor | 15 | 20.83% |
| Average | 27 | 37.50% | |
| Better | 30 | 41.67% | |
| Family members | Living alone | 12 | 16.67% |
| Older partner | 26 | 36.11% | |
| Children | 12 | 16.67% | |
| Other | 22 | 30.56% | |
| Literacy | Junior high school and below | 47 | 65.28% |
| High school or junior college | 20 | 27.78% | |
| University and above | 5 | 6.94% | |
| Economic source | Pension | 45 | 62.50% |
| Social insurance | 15 | 20.83% | |
| Children’s responsibility | 5 | 6.94% | |
| Other | 7 | 9.72% |
| Measurement Points | Mean Value with Window Open | Mean Value with Window Closed | Reduction Ratio | Window Opening Ratio |
|---|---|---|---|---|
| Living room | 54.9 ± 4.9 | 40.7 ± 3.9 | 25.9% | 94.40% |
| Kitchen | 54.8 ± 8.9 | 40.3 ± 7.3 | 26.5% | 86.10% |
| Bedroom | 51.2 ± 5.2 | 41.1 ± 4.3 | 19.7% | 68.10% |
| Bathroom | 47.6 ± 4.3 | 36.3 ± 5.4 | 23.7% | 43.10% |
| Variable | Regression Coefficient | Standard Error | z-Value | Significance | OR | 95% CI for OR |
|---|---|---|---|---|---|---|
| Thermal comfort | ||||||
| <12 °C | −1.691 | 0.366 | −4.63 | 0.000 | 0.18 | 0.09–0.38 |
| 12–16 °C | −0.760 | 0.335 | −2.27 | 0.023 | 0.47 | 0.24–0.90 |
| >16 °C | 0 * | – | – | – | – | – |
| Lighting environment | ||||||
| <75 lx | −1.777 | 0.408 | −4.36 | 0.000 | 0.17 | 0.08–0.38 |
| 75–150 lx | −0.950 | 0.395 | −2.40 | 0.016 | 0.39 | 0.18–0.84 |
| >150 lx | 0 * | – | – | – | – | – |
| Acoustic environment | ||||||
| >50 dB | −0.573 | 0.292 | −1.97 | 0.049 | 0.56 | 0.32–1.00 |
| 40–50 dB | −0.226 | 0.245 | −0.92 | 0.356 | 0.80 | 0.49–1.29 |
| <40 dB | 0 * | – | – | – | – | – |
| Air quality | ||||||
| Moderate pollution or worse | −2.664 | 0.479 | −5.56 | 0.000 | 0.07 | 0.03–0.18 |
| Good | −0.850 | 0.227 | −3.74 | 0.000 | 0.43 | 0.27–0.67 |
| Excellent | 0 * | – | – | – | – | – |
| Window status | ||||||
| Closed | −1.209 | 0.238 | −5.08 | 0.000 | 0.30 | 0.19–0.48 |
| Open | 0 * | – | – | – | – | – |
| Appliance usage | ||||||
| No appliance use | −0.687 | 0.212 | −3.24 | 0.001 | 0.50 | 0.33–0.76 |
| Appliance use | 0 * | – | – | – | – | – |
| Item | Information Entropy Value e | Information Utility Value d | Weight (%) |
|---|---|---|---|
| Lighting environment satisfaction | 0.953 | 0.047 | 21.85 |
| Air quality satisfaction | 0.951 | 0.049 | 22.62 |
| Acoustic environment satisfaction | 0.965 | 0.035 | 16.19 |
| Thermal comfort satisfaction | 0.915 | 0.085 | 39.33 |
| Retrofitting Measures | Technical Requirements | Unit Cost |
|---|---|---|
| Thermal retrofitting | ||
| Exterior wall insulation | EPS board, U-value ≤ 0.45 W/m2·K | CNY 350/m2 |
| Double-glazed windows | Airtightness ≤ 1.5 m3/h·m2 | CNY 800/m2 |
| Lighting upgrades | ||
| LED task lighting | Kitchens/bathrooms (≥150 lx) | CNY 120/room |
| Smart dimming systems | Bedrooms (uniformity ≥0.5) | CNY 300/unit |
| Air quality interventions | ||
| Kitchen exhaust systems | 300 m3/h capacity | CNY 2500/unit |
| Mechanical ventilation (MVHR) | Heat recovery efficiency ≥ 75% | CNY 8000/household |
| Acoustic improvements | ||
| Window insulation seals | Noise reduction ≤ 45 dB(A) | CNY 40/m |
| Quiet-hour enforcement | Community-wide infrastructure | CNY 15,000/community |
Disclaimer/Publisher’s Note: The statements, opinions and data contained in all publications are solely those of the individual author(s) and contributor(s) and not of MDPI and/or the editor(s). MDPI and/or the editor(s) disclaim responsibility for any injury to people or property resulting from any ideas, methods, instructions or products referred to in the content. |
© 2025 by the authors. Licensee MDPI, Basel, Switzerland. This article is an open access article distributed under the terms and conditions of the Creative Commons Attribution (CC BY) license (https://creativecommons.org/licenses/by/4.0/).
Share and Cite
Yang, S.; Bai, T.; Feng, L.; Zhang, J.; Jiang, W. Indoor Environmental Quality in Aged Housing and Its Impact on Residential Satisfaction Among Older Adults: A Case Study of Five Clusters in Sichuan, China. Sustainability 2025, 17, 5064. https://doi.org/10.3390/su17115064
Yang S, Bai T, Feng L, Zhang J, Jiang W. Indoor Environmental Quality in Aged Housing and Its Impact on Residential Satisfaction Among Older Adults: A Case Study of Five Clusters in Sichuan, China. Sustainability. 2025; 17(11):5064. https://doi.org/10.3390/su17115064
Chicago/Turabian StyleYang, Siqi, Taoping Bai, Lin Feng, Jialu Zhang, and Wentao Jiang. 2025. "Indoor Environmental Quality in Aged Housing and Its Impact on Residential Satisfaction Among Older Adults: A Case Study of Five Clusters in Sichuan, China" Sustainability 17, no. 11: 5064. https://doi.org/10.3390/su17115064
APA StyleYang, S., Bai, T., Feng, L., Zhang, J., & Jiang, W. (2025). Indoor Environmental Quality in Aged Housing and Its Impact on Residential Satisfaction Among Older Adults: A Case Study of Five Clusters in Sichuan, China. Sustainability, 17(11), 5064. https://doi.org/10.3390/su17115064
