Next Article in Journal
Time-Varying Effects of China’s Agricultural OFDI on the Sustainability of Bilateral Agricultural Trade Within RCEP Countries: Multiple Analyses Based on the Model of Trade Gravity and TVP-VAR
Previous Article in Journal
Urban Forestry in Sub-Saharan Africa: Challenges, Contributions, and Future Directions for Combating Climate Change and Restoring Forest Landscapes
 
 
Font Type:
Arial Georgia Verdana
Font Size:
Aa Aa Aa
Line Spacing:
Column Width:
Background:
Article

Comparative Life Cycle Assessment of Traditional and Modern Materials in Heritage Building Restoration: A Case Study from Ushaiger Village

SALab Sustainable Architecture Lab, Architecture Department of Architecture, Prince Sultan University, Riyadh 12435, Saudi Arabia
Sustainability 2025, 17(1), 25; https://doi.org/10.3390/su17010025
Submission received: 8 October 2024 / Revised: 22 November 2024 / Accepted: 5 December 2024 / Published: 24 December 2024

Abstract

This paper presents a comparative life cycle assessment (LCA) of the traditional and modern materials used in heritage building restoration, focusing on mud, limestone, decorative plaster, blended hydraulic cement, and ready-mix concrete. The analysis examines key environmental impact categories, including global warming potential (GWP), ozone depletion potential (ODP), acidification potential (AP), eutrophication potential (EP), and water use across multiple life cycle stages. The results reveal that mud and limestone, while having lower initial environmental impacts in production, contribute significantly to ODP and GWP during transportation due to their heavy weight. Modern materials like blended hydraulic cement and ready-mix concrete exhibit the highest overall environmental impacts, particularly in GWP, AP, and water use, due to their energy-intensive production processes. Decorative plaster, while lower in initial impacts, gains higher environmental burdens over time due to its frequent replacement. This study highlights the need to optimize transportation and improve recycling practices for traditional materials, while also encouraging the exploration of alternative materials for reducing the environmental footprint of heritage restoration.

1. Introduction

Heritage conservation is important for preserving the cultural identity and architectural heritage of communities, particularly in historically significant sites like Ushaiger village in Saudi Arabia [1]. Known for its traditional Najdi architecture [2,3,4], Ushaiger has undergone extensive restoration efforts to protect its historic structures while adapting to contemporary needs [5,6,7]. Traditional materials, such as mud, limestone, and palm trunks, have been favored due to their historical significance, availability, and suitability for the local climate [8,9]. These materials play a key role in maintaining the original character and structural soundness of heritage buildings, preserving both their architectural styles and cultural value [5,10,11].
With sustainability concerns becoming increasingly important, the environmental impacts of these traditional materials need closer examination. Life cycle assessment (LCA) offers a structured approach to evaluating the environmental performance of materials across various stages, from extraction and production to usage and disposal [12]. While LCA is commonly used to assess modern construction materials, its application to traditional materials in heritage restoration projects remains underexplored [13]. This gap is important, as traditional materials, though locally sourced and culturally significant, may lead to higher environmental impacts over time due to the need for frequent maintenance and replacement [14].
This study addresses this gap by conducting a comparative LCA of the traditional materials used in the restoration of Ushaiger village, focusing on mud and limestone, along with modern alternatives such as decorative plaster, blended hydraulic cement, and ready-mix concrete. The analysis examines key environmental indicators like global warming potential (GWP), ozone depletion potential (ODP), acidification potential (AP), eutrophication potential (EP), and water use [15]. This paper aims to conduct a comparative life cycle assessment (LCA) of the traditional and modern materials used in heritage building restoration, focusing on key environmental impact categories. By examining the trade-offs between environmental sustainability and cultural heritage preservation, the study seeks to inform material selection for future restoration projects, particularly in historically and environmentally sensitive sites like Ushaiger village. The insights provided will guide decision-making processes, balancing the need to minimize environmental impacts with the goal of preserving architectural authenticity. This paper is organized into several key sections, aligning with the methodological sequence illustrated in Figure 1; the introduction outlines the significance of heritage conservation, the materials used in traditional restoration, and the need for evaluating their environmental impacts through LCA. The literature review investigates previous studies on both traditional and modern construction materials. Following this, the gap identification section highlights the need for further exploration into heritage material sustainability. The methodology explains the LCA framework used in this study. A solution proposal is then presented through the application of the life cycle assessment (LCA) framework. This is followed by the design of the comparison approach, which establishes a structured methodology for evaluating materials. The case study selection focuses on Ushaiger village, a site known for its traditional Najdi architecture. The results quantify and analyze the environmental impacts of each material, while the discussion interprets these findings in the context of sustainable heritage restoration. Finally, the paper concludes with a summary of key insights and implications for future conservation projects.

2. Literature Review

The rising global focus on sustainability has drawn attention to the need to evaluate modern construction materials and the environmental footprint of the traditional materials used in heritage projects [16,17]. Life cycle assessment (LCA) offers a comprehensive methodology to assess the environmental performance of materials over their entire life cycle, from raw material extraction through production, use, and disposal [12,18]. In the context of modern construction, LCA is frequently employed to identify and minimize the environmental impacts of materials, particularly in terms of resource consumption and carbon emissions [19]. For example, materials like blended hydraulic cement and ready-mix concrete have been found to contribute significantly to global greenhouse gas emissions due to their energy-intensive production processes [20]. The extensive use of water in their production also contributes to their environmental burden, making them less desirable in regions where water conservation is crucial [21].
Energy consumption is a critical factor when assessing the environmental performance of materials used in both modern construction and heritage conservation [22]. Traditional materials such as mud and limestone typically have low embodied energy due to their minimal processing and local sourcing [23]. However, their frequent need for maintenance and replacement can lead to higher cumulative energy use over time [24]. For example, mud-based structures, while low in initial energy demands, require continuous upkeep, contributing to an overall increase in energy consumption during their lifecycle [25,26]. Conversely, modern materials, though energy-intensive in their production phases, offer greater durability and less frequent maintenance, which can offset their initial high energy costs over a building’s lifespan [27]. Blended cements, in particular, have been shown to reduce energy use by incorporating industrial by-products such as fly ash, but their manufacturing processes still contribute to significant carbon emissions due to the high-temperature kilns required for production [28].
Water consumption is another significant environmental concern, especially in the production of materials like cement and concrete, which require vast amounts of water for mixing and curing [29]. The production of ready-mix concrete, for instance, involves substantial water use, exacerbating water scarcity issues in arid regions such as the Middle East [30]. In contrast, traditional materials like mud often require less water during production [31]. However, the frequent reapplication of mud in heritage structures, particularly in areas prone to erosion and weathering, can result in cumulative water use that rivals or even exceeds that of modern materials over the long term [32]. This highlights the need for a detailed LCA of water use, not just in production but throughout the entire lifecycle of materials, from maintenance to end-of-life considerations [33].
In addition, acidification, eutrophication, and ozone depletion are significant environmental impacts associated with material production [34]. Acidification, caused by emissions of sulfur dioxide [SO2] and nitrogen oxides [NOx], can lead to soil and water acidification, affecting ecosystems [35]. The production of cement and concrete is a major contributor to acidification due to the energy-intensive processes that release these pollutants into the atmosphere. Eutrophication, resulting from the runoff of nitrogen and phosphorus, leads to harmful algal blooms and disrupts aquatic ecosystems [36]. The water-intensive production processes of concrete, combined with nutrient leaching, exacerbate this issue [21]. Ozone depletion, though less common in modern construction materials due to reduced use of ozone-depleting substances, remains a concern through emissions of nitrogen oxides during cement production, which contribute to the breakdown of stratospheric ozone [37].

Gap Indetification

However, the environmental assessment of traditional materials in heritage conservation remains limited. These materials are often perceived as inherently sustainable because of their local sourcing and minimal processing [38]. However, recent literature challenges this assumption, noting that frequent maintenance and replacement, required to preserve the integrity of traditional materials like mud, can lead to higher long-term environmental impacts [39]. Mud, for instance, while offering low embodied energy during production, often requires frequent reapplication due to its susceptibility to weathering, which increases its cumulative environmental costs [40]. Similarly, limestone, despite its durability and long history of use, may carry hidden environmental impacts due to the quarrying process and the transportation involved, particularly when local sourcing is not an option [38].
Modern materials such as decorative plaster, blended hydraulic cement, and ready-mix concrete present alternatives with different environmental profiles [29,41,42]. While these materials are often used to improve the durability and longevity of restoration projects, their production processes are associated with significant environmental impacts [41,43,44]. Cement, for instance, is known for its high global warming potential (GWP) and significant contributions to ozone depletion potential (ODP), acidification potential (AP), and eutrophication potential (EP) [19,45]. On the other hand, these modern materials require less frequent maintenance, which could make them more environmentally efficient over the long term in comparison with traditional materials that need continual upkeep [46,47,48].
In recent years, advancements in sustainable materials for heritage restoration have led to the exploration of alternative options beyond traditional and modern materials. Biocomposite materials, such as those made from hemp, flax, and sisal, have gained attention for their low environmental impact, renewable nature, and ability to provide thermal and acoustic insulation. For example, hempcrete, a bio-based composite made from hemp fibers and lime, has been shown to have a significantly lower carbon footprint, when compared with traditional materials like concrete, due to its lower embodied energy and carbon sequestration potential during the growth phase of hemp plants [49,50,51]. Additionally, bio-based composites are biodegradable and can be easily recycled at the end of their life, offering advantages in terms of circular economy principles. The use of these materials in heritage conservation could help reduce reliance on energy-intensive construction materials while maintaining structural integrity and promoting sustainability [52,53,54].
Further research into these emerging materials, including their durability and compatibility with existing heritage structures, is necessary to evaluate their long-term performance in diverse environmental conditions. Additionally, sustainable innovations such as low-carbon concrete alternatives, made from industrial by-products like fly ash or blast furnace slag, have shown promise in reducing the environmental footprint of cement-based products [55]. These alternatives could offer viable solutions for modern heritage restoration projects, contributing to both the preservation of cultural heritage and the reduction of environmental impacts. Moreover, the integration of these materials with traditional techniques could offer a balanced approach that enhances sustainability without compromising the authenticity of heritage buildings. The tension between preserving historical accuracy and minimizing environmental impact is becoming increasingly pronounced in the field of heritage conservation [49,50,51]. Scholars and practitioners are beginning to advocate for a more integrated approach that considers both cultural and environmental sustainability [52,53]. The application of LCA in heritage restoration projects remains underutilized, despite its potential to guide material selection in ways that reduce environmental impacts without compromising historical authenticity [54,55]. Several studies have proposed the use of sustainable innovations, such as low-carbon concrete alternatives and biocomposite materials, which could offer viable substitutes for conventional materials in heritage projects [56,57].
This literature review confirms the need for a balanced approach in material selection for heritage conservation.
Traditional materials, while essential for preserving cultural integrity, often carry hidden environmental costs when viewed through the lens of their full life cycle. Meanwhile, modern materials, although more environmentally taxing in terms of production, may offer sustainability benefits in the long run due to their durability and lower maintenance requirements. The environmental profiles of these materials, when evaluated through life cycle assessment, provide critical insights into the trade-offs between maintaining cultural authenticity and reducing long-term environmental impact in heritage conservation projects [58]. To provide a more balanced discussion of the environmental impacts across multiple categories, including global warming potential (GWP), acidification potential (AP), and eutrophication potential (EP), it is essential to recognize the varied contributions of each indicator in assessing the overall sustainability of materials used in heritage conservation [59,60]. While GWP remains a primary focus due to its significant implications for climate change, other indicators, such as AP and EP, also offer valuable insights into the broader environmental effects of material selection. Acidification potential, which relates to the emission of acidifying substances like sulfur dioxide and nitrogen oxides, can contribute to soil and water pollution, affecting biodiversity and ecosystem health. Similarly, eutrophication potential, which measures the risk of excessive nutrient runoff leading to algal blooms and water quality degradation, is an important consideration, especially when materials are sourced or disposed of near sensitive water bodies. For example, while materials like blended hydraulic cement and ready-mix concrete may present higher GWP due to their production processes, their impact on AP and EP may be comparatively lower, as these materials typically have fewer emissions of acidifying or nutrient-loading substances when compared with other alternatives. In contrast, traditional materials such as mud and limestone, though exhibiting lower GWP, may have environmental costs in terms of AP and EP due to the agricultural or extraction processes involved in sourcing these materials, as well as the more frequent maintenance required to preserve their structural integrity. A holistic approach that considers all of these categories in tandem allows for a more nuanced understanding of the environmental performance of materials in heritage conservation projects, ensuring a well-rounded evaluation that balances the long-term sustainability of both cultural heritage and environmental integrity [13,14].
The choice of materials for the restoration of Ushaiger village was guided by both environmental and cultural considerations, ensuring that sustainability was balanced with the preservation of heritage. Mud and limestone, historically used in the region, were selected due to their local availability, low embodied energy, and thermal performance, making them well-suited for the harsh climate of Saudi Arabia. These materials also align with the traditional building techniques [61] of the Najdi architecture, maintaining the cultural authenticity of the site [2,62,63,64]. However, while traditional materials like mud and limestone offer significant environmental advantages in terms of energy and water use, their frequent maintenance requirements can lead to higher cumulative impacts over time. In contrast, modern materials like blended hydraulic cement and ready-mix concrete were considered for their durability, which reduces the need for frequent repairs. Although their production processes contribute significantly to environmental impacts, these materials were included to evaluate their potential long-term sustainability benefits [10,65]. Decorative plaster was chosen for its aesthetic and functional properties, offering durability and ease of application on interior and exterior surfaces. These materials represent a balance between heritage conservation needs and environmental sustainability, with their selection informed by both traditional use and contemporary sustainability criteria.

3. Methodology

3.1. Solution Proposal: LCA Framework

This study utilizes the LCA framework in accordance with the ISO 14040 [66] and 14044 [67] standards to systematically evaluate the environmental impacts of materials used in heritage building restoration. The LCA comprises four phases: goal and scope definition, life cycle inventory (LCI), life cycle impact assessment (LCIA), and interpretation (Figure 2).
In the goal and scope definition phase, a cradle-to-gate and end-of-life stages scope was established, including the life cycle stages of raw material extraction, production, transportation, maintenance, and end-of-life, to ensure a holistic assessment of each material’s environmental impact, from sourcing to final disposal or recycling [68].
The life cycle inventory (LCI) phase involves collecting quantitative data on material extraction, processing, transportation, use, and disposal. For traditional materials like mud and limestone, data are sourced from local suppliers and past restoration efforts in Ushaiger village, focusing on energy and resource inputs. For modern materials such as ready-mix concrete, decorative plaster and blended hydraulic cement, environmental product declarations (EPDs) [69] compliant with EN15804+A2 standards [70] were used to obtain standardized, verifiable data on environmental impacts such as those of CO2 emissions, energy use, and resource consumption. The calculation is based on a surface area of 80 m2 and covers a 100-year period, focusing specifically on the external walls of the buildings The functional unit used in this study is defined as an external wall surface area of 80 m2, assessed over a 100-year building lifespan, to ensure the consistent and comparable evaluation of the environmental impacts of all materials. The 80 m2 surface area represents the external wall surface of a typical restored building in Ushaiger village. This dimension was chosen based on field measurements of average wall sizes within the village. Ushaiger village is characterized by traditional buildings that typically consist of a maximum of two to three floors, reflecting the vernacular architectural style and historical construction practices of the region. As a result, the external wall surfaces of these structures are not highly extensive, and the selected area of analysis aligns with the modest scale and proportions of these buildings. By focusing on this representative surface area, the study ensures relevance to the unique architectural features of Ushaiger village and provides a realistic basis for evaluating the environmental impacts of restoration materials.
In the life cycle impact assessment (LCIA) phase, OneClick LCA software 2307.06.001 (July 2023) [71] is utilized to quantify the environmental impacts across various life cycle stages by integrating the environmental product declaration (EPDs) and other data sources [72,73]. Environmental categories such as global warming potential GWP, acidification, eutrophication, energy consumption, and water usage are calculated to enable a detailed comparison between the materials under consideration. These comparisons are summarized in Table 1, which provides an overview of LCA stages, transportation distances, energy use, and recyclability for each material considered in the restoration of Ushaiger village. The table also highlights the assumptions made where specific data was unavailable.
The interpretation phase involves analyzing these LCA results to evaluate trade-offs between traditional materials like mud and limestone, and modern alternatives such as blended hydraulic cement and ready-mix concrete. The results are intended to guide material selection for future heritage conservation projects, balancing the need for environmental sustainability with the goal of preserving cultural heritage. The LCA methodology applied in this study adheres strictly to the ISO 14040 and 14044 standards, ensuring consistency, transparency, and comparability of results. The cradle-to-gate and end-of-life scope provides a comprehensive framework that captures all relevant life cycle stages of the materials analyzed, from raw material extraction to final disposal or recycling. The standardized approach ensures that the same functional unit—a surface area of 80 m2 for external walls over a 100-year period—is used for all materials, facilitating a meaningful comparison. Additionally, the integration of environmental product declarations (EPDs), compliant with EN15804+A2 standards [70], ensures that the data used in the assessment are both reliable and standardized across different materials. The use of OneClick LCA software further enhances the validity of the results by enabling precise calculations of environmental impacts across multiple categories. Key assumptions, such as transportation distances and energy consumption, are clearly outlined in Table 1 to maintain transparency. This structured methodology aligns with internationally recognized standards, providing a robust foundation for comparing the environmental impacts of traditional and modern materials in the context of heritage restoration.

3.2. The Comparison Approach Design: LCA Stages

In the study, the comparison across various materials involves assessing environmental impacts through multiple LCA stages, including cradle-to-gate and end-of-life stages. Where data were unavailable, assumptions were made based on industry standards and comparable material characteristics.
For ready-mix concrete C16/20 XD3, the LCA stages included cradle-to-gate, covering material extraction, production, and transportation. Due to the lack of specific energy data, an assumption of 500–700 MJ/ton for energy use was made, based on typical energy consumption in concrete manufacturing, including processes like mixing and material extraction. Similarly, water use is assumed to be 0.15–0.2 m3/ton, a standard value for concrete production, particularly in mixing operations. The concrete is assumed to have a maintenance frequency of 20–25 years, reflecting its durability, with approximately 50% recyclability based on the ability to reuse concrete as aggregate in new construction.
For blended hydraulic cement, the LCA focuses on cradle-to-gate stages as well, with energy consumption estimated at 4770 MJ/ton, typical of cement production and due to the high energy requirements for clinker production and grinding. Water use is assumed to be 0.2–0.25 m3/ton, reflecting the significant water demand for cooling and dust suppression in cement production.
Limestone (CEM-II/A-LL) also includes cradle-to-gate stages, and energy use is estimated between 500–700 MJ/ton, based on the energy-intensive processes of quarrying and processing. For transportation, an assumed distance of 1500–2000 km is applied for imported materials from neighboring countries like the UAE.
For mud (clay products), the LCA includes cradle-to-gate and end-of-life stages (C1–C4), as well as benefits beyond the life cycle (D). Energy use is assumed to be 676 MJ/ton, derived from typical values for clay extraction and brick manufacturing. Water use is estimated at 0.28 m3/ton, based on the requirements for shaping and firing clay products. Given the local sourcing, transportation distances of less than 10 km are assumed for this material, and its recyclability is considered 0%, as mud-based structures typically return to the earth upon demolition.
For decorative plaster, the LCA stages include cradle-to-gate and transportation (A4–A5). Energy use is assumed to be 1.87 MJ/kg, based on production data, and water use is estimated at 1.34 m3/ton, reflecting the water-intensive nature of plaster mixing and application. A transportation distance of 500 km is assumed within Saudi Arabia for this material.
Table 2 summarizes the LCA stages, including energy use, water consumption, transportation distances, and recyclability for the materials considered in this study. Assumptions were applied where specific data were unavailable, as detailed in the previous section.

3.3. Case Study Description

This study adopts a case study approach to evaluate the conservation and adaptive reuse of Ushaiger village, a historic settlement located approximately 200 km northwest of Riyadh, Saudi Arabia, and a UNESCO recognized heritage site (Figure 3). Ushaiger village is an exemplary representation of traditional Najdi architecture, built with locally sourced materials. These materials were historically favored for their availability, structural performance, and compatibility with the local climate, providing benefits like thermal insulation and durability. However, the village was abandoned during the rapid urbanization following the 1970s oil boom. Recent restoration efforts, led by both private owners and governmental bodies, have revitalized the site, making it a critical case study for understanding heritage conservation and reuse strategies in the kingdom.
Ushaiger village stands out as one of the most prominent examples of heritage conservation and adaptive reuse in Saudi Arabia, particularly in light of the ongoing efforts by the Saudi Commission for Tourism and National Heritage (SCTH) to preserve and revitalize the country’s cultural landmarks. The village, known for its exceptional representation of Najdi architecture, has become a focal point for sustainable heritage management, as it was selected for a national project aimed at preserving traditional settlements while promoting eco-friendly and sustainable practices. This project, which is part of a broader initiative to support the kingdom’s Vision 2030 goals, emphasizes the integration of traditional building techniques with modern sustainable approaches to restore historical villages in a way that respects both cultural and environmental values. As such, Ushaiger village represents a rare convergence of heritage, sustainability, and revitalization, making it an ideal subject for a case study on the challenges and opportunities of sustainable heritage restoration.
This research relied on both primary and secondary sources, including archival documents, maps, photographs, and articles from governmental and private institutions, to provide a foundation for understanding the village’s historical context and the extent of its deterioration before restoration. Additionally, fieldwork was conducted to gather primary data through site visits, during which a small area survey was conducted with participants such as instructors, students, residents, visitors, tour guides, and government representatives. This approach allowed for a comprehensive evaluation of both the cultural significance and environmental performance of the restoration efforts in Ushaiger village.

4. Results—Life Cycle Impact Assessment

To ensure the results are meaningful and reliable, careful attention has been given to the selection and comparison of data sources, which play a critical role in shaping the outcomes of the LCA.
The discrepancy in the sources of LCA data between traditional and modern materials is acknowledged. Traditional material data, derived from local suppliers, reflect region-specific practices and conditions, which are crucial for accurately representing their environmental performance in local contexts. On the other hand, modern material data, based on standardized environmental product declarations (EPDs), ensures consistency and comparability across global studies. This methodological difference can potentially introduce bias; however, efforts were made to align the functional units, boundaries, and impact categories across both datasets. Sensitivity analyses were conducted to validate the robustness of the results, ensuring that the comparative assessment fairly represents the environmental impacts of traditional and modern materials. Moreover, the localized data for traditional materials highlight their contextual relevance, offering insights that standardized global data for modern materials might overlook.

4.1. LCA Impact Assessment for Mud

To evaluate the environmental impact of mud comprehensively, the results from the life cycle assessment [LCA] are compared against benchmarks from typical construction materials and other alternatives. These benchmarks include the average global warming potential [GWP], acidification potential [AP], and other indicators for widely used materials such as concrete or brick. For example, GWP values for concrete production typically range between 100–200 kg CO2-eq per cubic meter for similar functional units. Such comparisons help contextualize the results, allowing for the clearer identification of areas where mud demonstrates lower or higher impacts relative to conventional materials. The following sections elaborate on the specific indicators across different LCA stages for mud, using these benchmarks as a point of reference.
The life cycle impact assessment (LCIA) for mud (Figure 4) reveals significant environmental contributions across various stages, with the GWP and other key indicators showing notable trends. The GWP from fossil fuel sources during the materials stage (A1–A3, see Figure 2 to connect to the scheme) is relatively high, amounting to 169.22 kg CO2-eq. This reflects the energy-intensive processes involved in extracting and processing mud. Transportation (A4, see Figure 2 to connect to the scheme) adds 9.57 kg CO2-eq, while the construction phase (A5) introduces a slightly lower contribution of 9.52 kg CO2-eq. At the waste transport stage (C2), the GWP increases to 10.45 kg CO2-eq, primarily due to the movement of discarded materials, while waste processing (C3) contributes a relatively minor 1.23 kg CO2-eq.
In terms of land use and land-use change (GWP-LULUC), mud exhibits a GWP-LULUC of 165.59 kg CO2-eq during the materials stage. This reflects the inherent carbon footprint tied to the land required for mud extraction. Transportation (A4) and waste transport (C2) add small contributions to this category, with values of 1.91 kg CO2-eq and 2.08 kg CO2-eq, respectively.
The ozone depletion potential (ODP) during the material production stage (A1–A3) is 0.0024 kg CFC-11-eq and sees a notable increase during the transport and waste stages, indicating that emissions during these stages could contribute to ozone layer depletion. Acidification potential (AP) and eutrophication potential (EP) are both high during the materials stage (A1–A3), with AP reaching 178.69 kg SO2-eq and EP-Freshwater standing at 4.87 kg PO43−-eq. These values indicate that mud extraction and processing have significant impacts on air and water quality, mainly due to emissions during the material production stage. Water use during the materials stage also stands at 187.08 m3, driven by the significant water requirements during processing.

4.2. LCA Impact Assessment for Limestone

For limestone, the LCIA results (Figure 5) indicate that the GWP from fossil fuels in the materials stage (A1–A3) is 94.46 kg CO2-eq, reflecting a lower impact compared with mud. This can be attributed to the nature of limestone extraction and processing, which, while energy-intensive, generally results in fewer emissions than mud. The transportation stage (A4) has a minimal GWP impact of 0.35 kg CO2-eq due to the relatively short distances involved in the case study, while construction (A5) adds 4.76 kg CO2-eq. Waste transport (C2) adds 0.38 kg CO2-eq, with waste processing (C3) contributing an almost negligible 0.04 kg CO2-eq.
Limestone’s GWP from land use and land-use change (GWP-LULUC) in the materials stage is 93.74 kg CO2-eq, similar to its fossil fuel GWP. As with mud, the transportation and waste stages contribute minimally to this category. The ozone depletion potential (ODP) during the materials stage (A1–A3) is relatively high at 83.70 kg CFC-11-eq, largely due to emissions from quarrying and processing operations.
In terms of acidification potential (AP), limestone has a value of 94.83 kg SO2-eq during the materials stage, which, while lower than mud, still indicates a significant contribution to air pollution. The eutrophication potential (EP-Freshwater) is similarly high, at 91.80 kg PO43−-eq, suggesting that water pollution due to runoff and waste from limestone extraction is a major concern. Water use is also significant, reaching 94.66 m3 during the materials stage, indicating substantial water consumption during the production of limestone-based products.
The comparison between mud and limestone (Figure 6) demonstrates that, while mud has a higher overall GWP, limestone shows a substantial impact in other areas such as water use, acidification, and eutrophication. Both materials exhibit significant environmental impacts across their life cycles, but their profiles differ markedly depending on the specific category considered. Mud has a higher carbon footprint and resource use during the materials and waste stages, while limestone’s environmental burden is more pronounced in terms of acidification, eutrophication, and ozone depletion during the extraction and production stages.
While traditional materials, such as mud and limestone, often require more frequent maintenance compared with modern alternatives, this aspect has significant implications for both environmental and economic costs over the life cycle. Frequent maintenance increases resource consumption, energy use, and associated CO2 emissions, thus affecting the overall sustainability of these materials. For instance, the periodic reapplication of mud for repairs could result in higher material usage, increased energy consumption during restoration processes, and additional transportation emissions for sourcing local raw materials. From an economic perspective, frequent maintenance can raise long-term costs, particularly when considering the labor and material resources needed for regular upkeep. In contrast, materials like concrete or cement, which have longer maintenance intervals, may incur higher initial costs but offer reduced maintenance expenditure over time, potentially lowering their life-cycle costs. Thus, a more detailed analysis of maintenance frequencies and their impacts on both environmental and economic outcomes could further enhance the understanding of the true sustainability of traditional versus modern materials in heritage building restoration.

4.3. LCA Impact Assessment for Decorative Plaster for Interior and Exterior Surfaces

The environmental assessment of decorative plaster reveals varying impacts across different life cycle stages. In the materials stage (A1–A3), the global warming potential (GWP) from fossil sources is 46.48 kg CO2-eq, with a global warming potential (GWP) land use and land-use change (GWP-LULUC) of 48.38 kg CO2-eq. The total GWP is slightly lower at 44.77 kg CO2-eq, indicating that the land use impacts are not a significant driver of carbon emissions in the material production process. The ozone depletion potential (ODP) is relatively high at 43.34 kg CFC-11-eq, suggesting the presence of ozone-depleting substances in the manufacturing process. Acidification potential (AP) and eutrophication potential (EP) are also notable, with AP reaching 43.55 kg SO2-eq and EP-Freshwater at 42.79 kg PO43−-eq. Water use during the materials phase stands at 48.33 m3, reflecting the water-intensive nature of plaster production.
Transportation (A4) adds only a small GWP of 0.64 kg CO2-eq and minimal impacts across other categories. The construction phase (A5) contributes a GWP of 6.30 kg CO2-eq. Notably, replacement (B4–B5) has a significant environmental impact, with GWP-Fossil and GWP-LULUC both at 145.28 kg CO2-eq, suggesting that the material requires frequent replacement over its life cycle, contributing heavily to its overall environmental footprint.
At the waste transport stage (C2), the GWP from fossil sources is 0.69 kg CO2-eq, with minimal ODP, AP, and EP contributions. The final waste disposal phase (C4) adds 0.62 kg CO2-eq to the total GWP, but this stage shows increased acidification and eutrophication impacts, particularly in marine and terrestrial ecosystems, with values of 4.82 kg SO2-eq and 4.89 kg PO43−-eq, respectively (Figure 7).
The inclusion of the replacement phase (B4–B5) in the LCA for decorative plaster reflects its relatively short lifespan and the need for periodic replacement within a building’s typical 100-year life span. In this study, it is assumed that the decorative plaster requires replacement multiple times over this period due to its material properties and durability. This assumption aligns with standard practices in LCA methodology, where materials prone to degradation or which require regular maintenance are assessed for their cumulative environmental impacts over the building’s life cycle. The exclusion of this phase for other materials in this study suggests that they either have longer lifespans or require less frequent replacement, reducing their overall contribution to environmental burdens.

4.4. LCA Impact Assessment for Blended Hydraulic Cement

Blended hydraulic cement exhibits one of the highest global warming potentials (GWP) across all materials assessed, with GWP-Fossil reaching 189.03 kg CO2-eq during the materials stage (A1–A3). The total GWP is slightly lower at 187.76 kg CO2-eq, with a GWP-LULUC of 186.46 kg CO2-eq. The ozone depletion potential (ODP) is particularly significant, at 151.12 kg CFC-11-eq, reflecting the energy-intensive nature of cement production. Acidification potential (AP) and eutrophication potential (EP) are also high, with values of 189.49 kg SO2-eq and 144.79 kg PO43−-eq, respectively. Water use during the materials stage is substantial, at 189.43 m3, indicating the significant water demands of cement production.
Transportation (A4) adds a relatively small GWP impact of 0.65 kg CO2-eq, but the contribution to ODP, AP, and EP is considerable, with ODP at 18.36 kg CFC-11-eq and AP at 0.38 kg SO2-eq. The construction phase (A5) introduces 9.52 kg CO2-eq in GWP-Fossil, alongside consistent contributions across other categories.
Waste transport (C2) and waste processing (C3) contribute relatively minor GWP impacts of 0.71 kg CO2-eq and 0.08 kg CO2-eq, respectively, but introduce increased acidification and eutrophication impacts. Waste transport has an AP value of 20.03 kg SO2-eq, while waste processing adds 4.38 kg PO43−-eq in EP-Freshwater (Figure 8).

4.5. LCA Impact Assessment for Ready-Mix Concrete C16/20 XD3

Ready-mix concrete exhibits high global warming potential (GWP) across its life cycle. The materials stage (A1–A3) alone contributes 170 kg CO2-eq, with a significant GWP-LULUC of 184.93 kg CO2-eq. Total GWP is 170 kg CO2-eq, reflecting the high carbon intensity of concrete production. Ozone depletion potential (ODP) is also substantial at 134.58 kg CFC-11-eq, while acidification potential (AP) reaches 181.08 kg SO2-eq, and eutrophication potential (EP-Freshwater) is 107.52 kg PO43−-eq. Water use is similarly high at 189.34 m3.
Transportation (A4) adds the highest GWP impact among all assessed materials, with a contribution of 16.41 kg CO2-eq due to the heavy weight and long distances associated with concrete transport. AP and EP during the transport phase are also substantial, with AP at 41.96 kg SO2-eq and EP-Marine at 59.24 kg PO43−-eq.
The construction stage (A5) adds a further 7.69 kg CO2-eq in GWP, with consistent impacts across other categories. Waste transport (C2) adds 5.28 kg CO2-eq to the total GWP, while waste processing (C3) contributes an additional 0.62 kg CO2-eq. Both stages contribute moderate acidification and eutrophication impacts (Figure 9).

4.6. Comparative LCA Impact Assessment: Mud, Limestone, Decorative Plaster, Blended Hydraulic Cement, and Ready-Mix Concrete

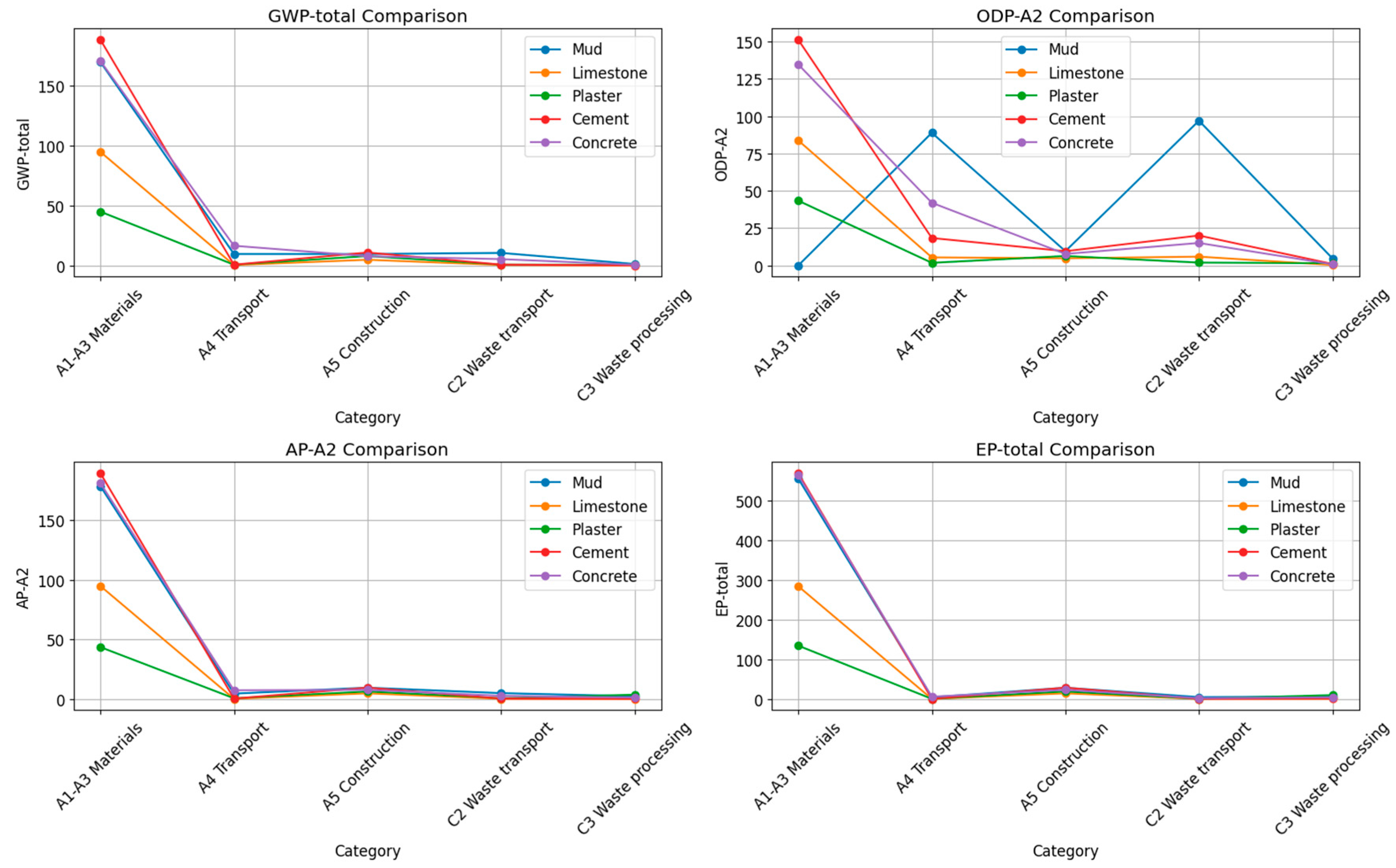
The comparison of mud, limestone, decorative plaster, blended hydraulic cement, and ready-mix concrete based on their LCA impacts across multiple categories (Figure 10), including global warming potential (GWP), ozone depletion potential (ODP), acidification potential (AP), eutrophication potential (EP), and water use, reveals distinct differences in their environmental profiles.

4.6.1. Global Warming Potential (GWP)

Mud exhibits the second-highest GWP from fossil sources, at 169.22 kg CO2-eq during the materials stage (A1–A3), with blended hydraulic cement topping the chart at 189.03 kg CO2-eq. Ready-mix concrete follows closely behind mud, with a GWP of 170.00 kg CO2-eq. Limestone has a considerably lower GWP, at 94.46 kg CO2-eq, and decorative plaster is the least impactful in this category, with a GWP of 46.48 kg CO2-eq.
The total GWP for mud, including transportation and waste stages, reaches a significant 200 kg CO2-eq, influenced by higher emissions during material extraction and frequent maintenance. Blended hydraulic cement, on the other hand, surpasses this with a total GWP of around 210 kg CO2-eq, driven by its energy-intensive production and long transportation distances. Ready-mix concrete also has a high total GWP, largely due to the transportation stage (A4), where it incurs the largest GWP increase (16.41 kg CO2-eq) among the materials assessed.

4.6.2. Ozone Depletion Potential (ODP)

The ODP is most pronounced for blended hydraulic cement, with 151.12 kg CFC-11-eq in the materials stage (A1–A3), far exceeding the other materials. Ready-mix concrete follows, with an ozone depletion potential (ODP) of 134.58 kg CFC-11-eq. Mud and limestone have much lower ODP values, with 0.0024 kg and 83.70 kg CFC-11-eq, respectively. Decorative plaster, while exhibiting lower GWP, has a moderately high ODP of 43.34 kg CFC-11-eq.
The large ODP in blended hydraulic cement and ready-mix concrete can be attributed to the energy-intensive processes in their production, which involve emissions of ozone-depleting substances. This makes them less favorable from an ozone depletion perspective when compared with natural materials like mud and limestone.

4.6.3. Acidification Potential (AP)

Blended hydraulic cement also leads in acidification potential, with 189.49 kg SO2-eq, followed by ready-mix concrete at 181.08 kg SO2-eq, and mud with 178.69 kg SO2-eq. Limestone and decorative plaster have lower AP values, with limestone standing at 94.83 kg SO2-eq and decorative plaster at 43.55 kg SO2-eq.
The high AP values for blended hydraulic cement and ready-mix concrete reflect their significant contributions to air pollution, largely due to emissions from cement processing and transportation. Mud, while showing higher GWP, demonstrates more moderate AP and could be a preferable option in projects where air quality is a priority.

4.6.4. Eutrophication Potential (EP)

In terms of eutrophication potential, ready-mix concrete has the highest EP-Freshwater level, at 107.52 kg PO43−-eq, which is driven by nutrient emissions during cement production. Blended hydraulic cement closely follows, with 144.79 kg PO43−-eq. Mud, at 4.87 kg PO43−-eq, and limestone, at 91.80 kg PO43−-eq, exhibit more moderate impacts. Decorative plaster, though relatively lower in overall environmental impacts, shows a considerable EP-Freshwater value of 42.79 kg PO43−-eq.
The high EP values for ready-mix concrete and blended hydraulic cement suggest they are more likely to contribute to water pollution and algal blooms, making them less suitable for projects where water quality preservation is important. Mud’s lower EP reflects its less harmful effect on freshwater ecosystems, although its vulnerability to weathering and degradation over time necessitates frequent maintenance.

4.6.5. Water Use

Water use is a critical factor in assessing the sustainability of materials, particularly in arid regions like Saudi Arabia. Blended hydraulic cement and ready-mix concrete stand out with the highest water usage values during the materials stage (A1–A3), at 189.43 m3 and 189.34 m3, respectively. Mud also shows significant water consumption, at 187.08 m3, largely due to the extraction and processing requirements. Decorative plaster uses 48.33 m3 of water, and limestone has the lowest water usage at 94.66 m3.
Water use is an important consideration for projects in water-scarce environments, and, while limestone offers lower water consumption, its other environmental impacts (such as ozone depletion potential (ODP) and acidification potential (AP)) make it less favorable. Conversely, mud, despite its high water use, can be advantageous in contexts where carbon reduction is the priority.
The radar chart for mud (Figure 11) highlights that its most significant environmental impact is on ozone depletion, as shown by the prominent spike in the ODP-A2 category. This suggests that mud, while relatively moderate in other categories, like GWP, acidification, and eutrophication, has a disproportionately large effect on the ozone layer. The notable contribution to ODP reflects the presence of ozone-depleting substances during the extraction or processing phases of mud, making it a critical environmental concern despite its lower impacts in other areas.
The high ozone depletion potential (ODP) seen in the transportation phases (A4—transport and C2—waste transport) for mud is likely attributed to the fuel used for transportation rather than the mud material itself. The diesel and gasoline used in transportation vehicles release ozone-depleting substances (ODS) like nitrous oxide (NOx) and volatile organic compounds (VOCs), which can contribute to ozone layer degradation. The impact is not directly tied to the nature of the mud material but rather to the emissions from fuel combustion during the transportation of materials and waste.

5. Discussion

The life cycle assessment (LCA) results for mud, limestone, decorative plaster, blended hydraulic cement, and ready-mix concrete in the context of heritage building restoration reveal distinct environmental trade-offs across the materials’ life cycle stages. Throughout the analysis, mud, limestone, and decorative plaster demonstrated lower initial environmental impacts compared with blended hydraulic cement and ready-mix concrete, which had significantly higher global warming potential (GWP) and ozone depletion potential (ODP). However, the sustainability of these traditional materials is challenged by their transportation and recyclability issues.
To address the practicality of implementing electric vehicles (EVs) for material transportation in rural or developing regions, it is important to acknowledge the challenges associated with EV infrastructure. In areas where charging stations and the availability of electric vehicles are limited, transitioning to electric transport may not be feasible without significant investment in infrastructure development. While EVs can offer environmental benefits, the practicality of their widespread adoption in such regions requires careful consideration of local infrastructure limitations and the need for targeted policy and investment to support these transitions. Therefore, while the use of electric vehicles is an effective solution for reducing emissions, its implementation should be contextualized based on the specific infrastructure and resources available in each region.
Global warming potential (GWP) was highest for blended hydraulic cement and ready-mix concrete, particularly during the materials stage. The production processes for these materials are energy-intensive, contributing heavily to carbon emissions. In contrast, mud, though natural and locally sourced, exhibited a substantial GWP due to energy use in its extraction and preparation. However, the significant impact of transportation for mud was highlighted, as the GWP from waste transport was notably higher than other materials. This shows that, while mud itself may have a lower carbon footprint, the logistics of transporting such heavy materials can contribute significantly to its overall environmental burden.
Ozone depletion potential (ODP) was another area where transportation played a critical role. For mud, ODP was relatively low during production, but spikes during transport and waste transport stages. This indicates that, while the material itself may not release ozone-depleting substances, the emissions associated with the fuel used in transportation contribute substantially to ozone layer degradation. This pattern was also observed with other materials, though concrete and cement had higher ODP during their production phases, linked to industrial emissions from manufacturing processes.
In terms of acidification potential (AP) and eutrophication potential (EP), blended hydraulic cement and ready-mix concrete had the highest impacts. The production of these materials releases large quantities of sulfur dioxide (SO2) and nitrogen oxide (NOx), which contribute to air and water pollution. By comparison, mud and limestone exhibited lower AP and EP values, reflecting their more natural origins and simpler processing. However, frequent transportation of mud and limestone due to their weight and local sourcing can add to their long-term environmental impact, emphasizing the importance of logistical considerations in material selection.
One point to consider is that the selected materials may influence the thermal loads of the building. Consequently, the associated environmental impact of the energy required for conditioning the space could be affected. While this might be outside the scope of the paper, including some discussion on this topic would help clarify the issue for readers. The thermal load of the materials can significantly impact energy consumption, particularly in heritage buildings located in regions with extreme climates. Materials such as mud and limestone, with their high thermal mass, may help moderate indoor temperatures, reducing the need for active heating or cooling. On the other hand, modern materials, like cement-based products, may have lower thermal mass, potentially leading to higher energy consumption for temperature regulation.
Water use was another critical factor, with blended hydraulic cement and ready-mix concrete again showing the highest levels of consumption. This is particularly concerning in arid regions, where water is scarce, making these materials less sustainable in such contexts. Mud also requires significant water for preparation and construction, but local sourcing can help mitigate some of this water usage. Limestone and decorative plaster, by contrast, demonstrated lower water use, making them more attractive options for water-constrained projects.
Material recyclability and end-of-life impacts further differentiate these materials. Mud, being biodegradable, presents fewer challenges in terms of waste processing, though its recyclability is minimal. Limestone and concrete can be crushed and reused, though the energy and infrastructure required to do so are significant. The recycling impact analysis revealed that, while concrete offers potential for reuse, the energy involved in crushing and reprocessing limits its overall sustainability. Decorative plaster, while showing relatively low environmental impacts initially, has the drawback of requiring frequent replacement, which cumulatively raises its environmental footprint over the building’s life cycle.
When compared with findings from similar studies cited in the state of the art, the results of this LCA align with established trends in material sustainability for heritage restoration. For instance, the GWP values for blended hydraulic cement and ready-mix concrete in this study, which exceed 150 kg CO2-eq per cubic meter, are consistent with previous research indicating GWP values ranging from 140 to 200 kg CO2-eq per cubic meter for cement-based materials under similar production conditions [18,19,20]. Likewise, the relatively lower GWP and ODP values observed for mud and limestone correspond to studies that report GWP values of approximately 50–70 kg CO2-eq for natural, minimally processed materials [12,69,74]. The findings regarding decorative plaster’s replacement frequency and cumulative impact also align with research that highlights the environmental trade-offs of maintenance-intensive materials in heritage restoration projects [55,58,59,75]. This consistency underscores the robustness of the LCA methodology applied in this study and situates the results within the broader discourse on sustainable material use in restoration practices.
To provide a more direct comparison of the total life cycle assessment (LCA) results across the materials, it is essential to consolidate the environmental impacts for each material and present a summary of the overall performance. While the previous analysis has broken down the results for each stage of the materials’ life cycle, a final comparison can offer clearer insights into the materials’ relative sustainability. In this study, blended hydraulic cement and ready-mix concrete exhibited the highest total environmental impacts, particularly due to their energy-intensive production processes and significant contributions to global warming potential (GWP) and ozone depletion potential (ODP). In contrast, traditional materials, such as mud and limestone, while presenting lower GWP and ODP, were found to be impacted by transportation and recyclability challenges, which contributed to their overall environmental burden. Decorative plaster showed moderate impacts across multiple categories, although its frequent replacement over time increased its cumulative environmental footprint. These comparisons underscore the trade-offs between material durability, energy use, and environmental impacts, providing a clearer picture of the total LCA for each material and offering valuable guidance for future material selection in heritage restoration projects.

6. Conclusions

Moving forward, there are several areas where future research and practical innovations could further enhance the sustainability of heritage building restoration. First, efforts should be made to optimize transportation logistics for heavy materials like mud and limestone, reducing the GWP and ODP associated with long-distance transport. The use of electric or hybrid vehicles in material transport could significantly lower emissions. Additionally, local sourcing and on-site processing could be expanded to minimize the need for heavy transport altogether.
The development of new recycling technologies for concrete and cement is also crucial. While these materials currently have high environmental impacts, improving their end-of-life recyclability could significantly reduce their overall footprint. Circular economy principles, such as reusing construction waste and enhancing the recyclability of materials, should be integrated into future restoration projects.
Exploring alternative materials is another key avenue for reducing environmental impacts. Biocomposites, cross-laminated timber (CLT), and other emerging sustainable materials offer lower GWP and improved recyclability, making them viable options for heritage projects. Further research into how these materials can be integrated into restoration projects without compromising historical authenticity is needed.
Finally, considering the importance of water conservation, future restoration efforts in arid regions should prioritize materials with low water consumption. This may involve using materials like limestone or exploring water-efficient construction practices for mud and plaster. The theoretical contribution of this research lies in its comprehensive approach to comparing the environmental impacts of both traditional and modern materials in heritage restoration using life cycle assessment (LCA). By filling a gap in the current literature, this study provides a robust framework for evaluating the sustainability of materials in culturally and environmentally sensitive contexts, like that of Ushaiger village. The findings contribute to a deeper understanding of the trade-offs between environmental sustainability and the preservation of cultural heritage.
Future research should explore the impact of materials on thermal loads in heritage buildings, especially in extreme climates like that of Ushaiger village. While this study focused on environmental impacts via LCA, examining materials’ thermal performance can reveal their influence on energy demands for heating, cooling, and ventilation. Developing integrated models that combine LCA and thermal performance could offer more comprehensive insights into sustainable material selection, helping minimize both embodied and operational environmental impacts in heritage conservation.
It is important to note that the specific conditions of Ushaiger village, including its arid climate, rural setting, and local material availability, may limit the generalizability of the findings to other heritage projects. For instance, the effectiveness of traditional materials such as mud and limestone are closely tied to their abundance and compatibility with the regional climate. In other geographic or climatic contexts, traditional materials may not perform as sustainably, and their environmental impacts could differ significantly due to variations in sourcing, processing, or transport.
Practically, the research offers actionable insights for architects, engineers, and policymakers, guiding material selection and decision-making processes for future heritage restoration projects. It emphasizes the importance of optimizing transportation, improving recyclability, and exploring alternative materials, thus providing a foundation for more sustainable and contextually appropriate restoration practices.

Funding

This research was funded by Prince Sultan University, RIC Research and Initiative Center, Grant number: Seed project n. 112, 2022–2023. The APC is funded by RIC Research and Initiative Center, Prince Sultan University, Riyadh, Saudi Arabia.

Institutional Review Board Statement

The study was conducted following the Declaration of Helsinki and approved by the Institutional Review Board of Prince Sultan University RIC Seed Project n. 112, 2022–2023 (1/09/2022).

Informed Consent Statement

Informed consent was obtained from all subjects involved in the study.

Data Availability Statement

Data are available at prince Sultan University, P.I. responsible Dr. Silvia Mazzetto.

Acknowledgments

The author gratefully acknowledges Prince Sultan University for covering the article processing charges (APC) and providing financial incentives. Special thanks are also extended to the Prince Sultan College of Architecture and Design, the Department of Architecture, and the Sustainable Architecture Laboratory (SA Lab) for fostering a collaborative research environment.

Conflicts of Interest

The author declares no conflict of interest.

References

  1. Mazzetto, S.; Vanini, F. Urban Heritage in Saudi Arabia: Comparison and Assessment of Sustainable Reuses. Sustainability 2023, 15, 9819. [Google Scholar] [CrossRef]
  2. Azouqah, H.; Alomar, N.; Kaadan, L.; Sonbul, M.; Abdulaziz, H.; Labib, W. Sustainable Local Materials: A Study of Adobe Bricks in Saudi Arabia. Mater. Sci. Forum 2021, 1047, 163–173. [Google Scholar] [CrossRef]
  3. Dwidar, S.I.; Metwally, W.; Abbas Abdelsattar, A. Analytical study of heritage residential buildings in the central region of Saudi Arabia. JES J. Eng. Sci. 2020, 48, 82–93. [Google Scholar] [CrossRef]
  4. Moscatelli, M. Rethinking the Heritage through a Modern and Contemporary Reinterpretation of Traditional Najd Architecture, Cultural Continuity in Riyadh. Buildings 2023, 13, 1471. [Google Scholar] [CrossRef]
  5. Mazzetto, S. Urban Heritage Conservation in Saudi Arabia Toward Sustainable Reuses. Adv. Sci. Technol. 2024, 137, 79–86. [Google Scholar]
  6. Mazzetto, S. Heritage Restoration as a Tool to Promote Architectural Identity in the Gulf Regions. Preserv. Digit. Technol. Cult. 2018, 47, 3–11. [Google Scholar] [CrossRef]
  7. Mazzetto, S.; Petruccioli, A. Methods and Techniques Used in Significant Restoration Projects in Qatar. Stud. Conserv. 2018, 63, 303–314. [Google Scholar] [CrossRef]
  8. Alorf, A.; Al-Ansi, N. Enhancing the heritage conservation by Sustaining Historical Buildings: Hail Palace, as a case study. Environ.-Behav. Proc. J. 2021, 6, 211–217. [Google Scholar] [CrossRef]
  9. Moussa, R.A. A Responsive Approach for Designing Shared Urban Spaces in Tourist Villages. Sustainability 2023, 15, 7549. [Google Scholar] [CrossRef]
  10. Munarim, U.; Ghisi, E. Environmental feasibility of heritage buildings rehabilitation. Renew. Sustain. Energy Rev. 2016, 58, 235–249. [Google Scholar] [CrossRef]
  11. Eman Sabry Abowardah, S.D. Contemporary Islamic Architecture Towards preserving Islamic heritage. In Proceedings of the ARCHDESIGN’ 14 on Design Methodologies (Architectural Design Conference), Istanbul, Turkey, 8–10 May 2014. [Google Scholar]
  12. Vieira, D.R.; Calmon, J.L.; Coelho, F.Z. Life cycle assessment (LCA) applied to the manufacturing of common and ecological concrete: A review. Constr. Build. Mater. 2016, 124, 656–666. [Google Scholar] [CrossRef]
  13. Settembre Blundo, D.; Ferrari, A.M.; Fernández del Hoyo, A.; Riccardi, M.P.; García Muiña, F.E. Improving sustainable cultural heritage restoration work through life cycle assessment based model. J. Cult. Herit. 2018, 32, 221–231. [Google Scholar] [CrossRef]
  14. Endo, Y.; Takamura, H. Evaluation of Life-Cycle Assessment Analysis: Application to Restoration Projects and New Construction in Alpine Climate, Japan. Sustainability 2021, 13, 3608. [Google Scholar] [CrossRef]
  15. Bueno, C.; Hauschild, M.Z.; Rossignolo, J.A.; Ometto, A.R.; Mendes, N.C. Sensitivity analysis of the use of Life Cycle Impact Assessment methods: A case study on building materials. J. Clean. Prod. 2016, 112, 2208–2220. [Google Scholar] [CrossRef]
  16. Ding, G.K.C. Sustainable construction—The role of environmental assessment tools. J. Environ. Manag. 2008, 86, 451–464. [Google Scholar] [CrossRef]
  17. Mazzetto, S. Comparing the Sustainable Reuse of Historical Buildings. Ekistics 2022, 81, 22–32. [Google Scholar] [CrossRef]
  18. Hosamo, H.; Coelho, G.B.A.; Buvik, E.; Drissi, S.; Kraniotis, D. Building sustainability through a novel exploration of dynamic LCA uncertainty: Overview and state of the art. Build. Environ. 2024, 264, 111922. [Google Scholar] [CrossRef]
  19. Mohammadi, J.; South, W. Life cycle assessment (LCA) of benchmark concrete products in Australia. Int. J. Life Cycle Assess 2017, 22, 1588–1608. [Google Scholar] [CrossRef]
  20. Habibi, A.; Tavakoli, H.; Esmaeili, A.; Golzary, A. Comparative life cycle assessment (LCA) of concrete mixtures: A critical review. Eur. J. Environ. Civ. Eng. 2023, 27, 1285–1303. [Google Scholar] [CrossRef]
  21. Kim, T.; Tae, S.; Chae, C.U. Analysis of Environmental Impact for Concrete Using LCA by Varying the Recycling Components, the Compressive Strength and the Admixture Material Mixing. Sustainability 2016, 8, 389. [Google Scholar] [CrossRef]
  22. Campos, H.F.; Klein, N.S.; Marques Filho, J.; Bianchini, M. Low-cement high-strength concrete with partial replacement of Portland cement with stone powder and silica fume designed by particle packing optimization. J. Clean. Prod. 2020, 261, 121228. [Google Scholar] [CrossRef]
  23. Udawattha, C.; Halwatura, R. Embodied energy of mud concrete block (MCB) versus brick and cement blocks. Energy Build. 2016, 126, 28–35. [Google Scholar] [CrossRef]
  24. Reis, R.; Malheiro, R.; Camões, A.; Ribeiro, M. Carbonation Resistance of High Volume Fly Ash Concrete. Key Eng. Mater. 2015, 634, 288–299. [Google Scholar] [CrossRef]
  25. JEze, C.; AObaje, J.; NZubairu, S. Evaluation of Traditional Methods in the Maintenance of MudHouses for Environmental Sustainability in Northern Nigeria. Available online: https://www.semanticscholar.org/paper/Evaluation-of-Traditional-Methods-in-the-of-for-in-J.Eze-A.Obaje/fc4f0ca665bc2c7f74c29be0529c5871df9f14d5 (accessed on 25 September 2024).
  26. Rahman, S.; Wah, L.Y.; Nargis, N. A study of vernacular building materials in Bangladesh based on embodied energy and environmental performance. IOP Conf. Ser. Earth Environ. Sci. 2023, 1274, 012041. [Google Scholar] [CrossRef]
  27. Yu, J.; Mishra, D.K.; Hu, C.; Leung, C.K.Y.; Shah, S.P. Mechanical, environmental and economic performance of sustainable Grade 45 concrete with ultrahigh-volume Limestone-Calcined Clay (LCC). Resour. Conserv. Recycl. 2021, 175, 105846. [Google Scholar] [CrossRef]
  28. Bentz, D.; Peltz, M.; Durán-Herrera, A.; Valdez, P.; Juárez, C. Thermal properties of high-volume fly ash mortars and concretes. J. Build. Phys. 2011, 34, 263–275. [Google Scholar] [CrossRef]
  29. Petroche, D.M.; Ramirez, A.D. The Environmental Profile of Clinker, Cement, and Concrete: A Life Cycle Perspective Study Based on Ecuadorian Data. Buildings 2022, 12, 311. [Google Scholar] [CrossRef]
  30. Hannah, B.; Martin, L.; Uriarte, M.; Haase, T.; Ganapathi, G.; Labarca, F. Water Usage Optimization During Concrete Operations. In Proceedings of the World Environmental and Water Resources Congress 2013: Showcasing the Future, Cincinnati, OH, USA, 19–23 May 2013; pp. 3114–3121. [Google Scholar]
  31. Arrigoni, A.; Opher, T.; Spatari, S.; Arosio, V.; MacLean, H.L.; Panesar, D.K.; Dotelli, G. Environmental impacts of using desalinated water in concrete production in areas affected by freshwater scarcity. Acta Polytech. CTU Proc. 2022, 33, 27–31. [Google Scholar] [CrossRef]
  32. Bahraman, M.; Asadollahfardi, G.; Salehi, A.M.; Yahyaei, B. Feasibility study of using wash water from ready mixed concrete plant and synthetic wastewater based on tap water with different total dissolved solid to produce self-compacting concrete. J. Build. Eng. 2021, 41, 102781. [Google Scholar] [CrossRef]
  33. Ding, C.; Dong, W.; Zhang, A.; Wang, Z.; Zhao, N.; Chen, R.; Fu, H. Life cycle water footprint assessment of concrete production in Northwest China. Water Policy 2021, 23, 1211–1229. [Google Scholar] [CrossRef]
  34. Kim, T.H.; Chae, C.U. Environmental Impact Analysis of Acidification and Eutrophication Due to Emissions from the Production of Concrete. Sustainability 2016, 8, 578. [Google Scholar] [CrossRef]
  35. Chen, W.; Hong, J.; Xu, C. Pollutants generated by cement production in China, their impacts, and the potential for environmental improvement. J. Clean. Prod. 2015, 103, 61–69. [Google Scholar] [CrossRef]
  36. Kurda, R.; Silvestre, J.D.; de Brito, J. Toxicity and environmental and economic performance of fly ash and recycled concrete aggregates use in concrete: A review. Heliyon 2018, 4, e00611. [Google Scholar] [CrossRef] [PubMed]
  37. Ige, O.E.; Duffy, K.J.; Olanrewaju, O.A.; Collins, O.C. An Integrated System Dynamics Model and Life Cycle Assessment for Cement Production in South Africa. Atmosphere 2022, 13, 1788. [Google Scholar] [CrossRef]
  38. Kittipongvises, S.S. Environmental and Climate Technologies. J. Riga Tech. Univ. 2017, 20, 67–83. [Google Scholar]
  39. Bendouma, S.; Serradj, T.; Vapur, H. A case study of the life cycle impact of limestone quarrying on the environment. Int. J. Glob. Warm. 2020, 22, 432–447. [Google Scholar] [CrossRef]
  40. Giuffrida, A.; Ciliberto, E. Syracuse Limestone: From the Past a Prospect for Contemporary Buildings. Geosciences 2013, 3, 159–175. [Google Scholar] [CrossRef]
  41. Melià, P.; Ruggieri, G.; Sabbadini, S.; Dotelli, G. Environmental impacts of natural and conventional building materials: A case study on earth plasters. J. Clean. Prod. 2014, 80, 179–186. [Google Scholar] [CrossRef]
  42. Sánchez-Pantoja, N.; Lázaro, C.; Vidal, R. Parameterized environmental impacts of ready-mixed concrete in Spain. J. Sustain. Cem.-Based Mater. 2023, 12, 751–770. [Google Scholar] [CrossRef]
  43. Naik, T.R. Sustainability of Concrete Construction. Pract. Period. Struct. Des. Construction. 2008, 13, 98–103. [Google Scholar] [CrossRef]
  44. Glavind, M. Innovations in concrete for sustainable infrastructure constructions. Struct. Concr. 2014, 15, 439–440. [Google Scholar] [CrossRef]
  45. Lee, J.; Lee, T.; Jeong, J.; Jeong, J. Engineering, Durability, and Sustainability Properties Analysis of High-Volume, PCC Ash-Based Concrete. Sustainability 2020, 12, 3520. [Google Scholar] [CrossRef]
  46. Slaton, D. Challenges of modern materials: Assessment and repair. J. Archit. Conserv. 2017, 23, 47–61. [Google Scholar] [CrossRef]
  47. Hertwich, E.G.; Ali, S.; Ciacci, L.; Fishman, T.; Heeren, N.; Masanet, E.; Asghari, F.N.; Olivetti, E.; Pauliuk, S.; Tu, Q.; et al. Material efficiency strategies to reducing greenhouse gas emissions associated with buildings, vehicles, and electronics—A review. Environ. Res. Lett. 2019, 14, 043004. [Google Scholar] [CrossRef]
  48. Tavares, V.; Soares, N.; Raposo, N.; Marques, P.; Freire, F. Prefabricated versus conventional construction: Comparing life-cycle impacts of alternative structural materials. J. Build. Eng. 2021, 41, 102705. [Google Scholar] [CrossRef]
  49. Ingrao, C.; Giudice, A.L.; Bacenetti, J.; Tricase, C.; Dotelli, G.; Fiala, M.; Siracusa, V.; Mbohwa, C. Energy and environmental assessment of industrial hemp for building applications: A review. Renew. Sustain. Energy Rev. 2015, 51, 29–42. [Google Scholar] [CrossRef]
  50. Jami, T.; Karade, S.; Singh, L. A review of the properties of hemp concrete for green building applications. J. Clean. Prod. 2019, 239, 117852. [Google Scholar] [CrossRef]
  51. Yadav, M.; Saini, A. Opportunities & challenges of hempcrete as a building material for construction: An overview. Mater. Today Proc. 2022, 65, 2021–2028. [Google Scholar]
  52. Romano, A.; Bras, A.; Grammatikos, S.; Shaw, A.; Riley, M. Dynamic behaviour of bio-based and recycled materials for indoor environmental comfort. Constr. Build. Mater. 2019, 211, 730–743. [Google Scholar] [CrossRef]
  53. Le, D.L.; Salomone, R.; Nguyen, Q.T. Circular bio-based building materials: A literature review of case studies and sustainability assessment methods. Build. Environ. 2023, 244, 110774. [Google Scholar] [CrossRef]
  54. Yadav, M.; Agarwal, M. Biobased building materials for sustainable future: An overview. Mater. Today Proc. 2021, 43, 2895–2902. [Google Scholar] [CrossRef]
  55. Campos Teixeira, A.H.; Soares, P.R.R., Jr.; Silva, T.H.; Barreto, R.R.; da Silva Bezerra, A.C. Low-carbon concrete based on binary biomass ash–silica fume binder to produce eco-friendly paving blocks. Materials 2020, 13, 1534. [Google Scholar] [CrossRef] [PubMed]
  56. Havinga, L.; Colenbrander, B.; Schellen, H. Heritage significance and the identification of attributes to preserve in a sustainable refurbishment. J. Cult. Herit. 2020, 43, 282–293. [Google Scholar] [CrossRef]
  57. Baker, D.; Chitty, G. (Eds.) Managing Historic Sites and Buildings: Reconciling Presentation and Preservation; Routledge: London, UK, 1999; 208p. [Google Scholar]
  58. Altadonna, A.; Cucinotta, F.; Raffaele, M.; Salmeri, F.; Sfravara, F. Environmental Impact Assessment of Different Manufacturing Technologies Oriented to Architectonic Recovery and Conservation of Cultural Heritage. Sustainability 2023, 15, 13487. [Google Scholar] [CrossRef]
  59. Bribián, I.Z.; Capilla, A.V.; Usón, A.A. Life cycle assessment of building materials: Comparative analysis of energy and environmental impacts and evaluation of the eco-efficiency improvement potential. Build. Environ. 2011, 46, 1133–1140. [Google Scholar] [CrossRef]
  60. Vandenbroucke, M.; Galle, W.; De Temmerman, N.; Debacker, W.; Paduart, A. Using life cycle assessment to inform decision-making for sustainable buildings. Buildings 2015, 5, 536–559. [Google Scholar] [CrossRef]
  61. Mazzetto, S. Adaptive reuse: Safeguarding the heritage values. In Proceedings of International Structural Engineering and Construction; Askarinejad, H., Singh, A., Yazdani, S., Eds.; ISEC Press: Fargo, ND, USA, 2020; Available online: https://www.isec-society.org/ISEC_PRESS/ASEA_SEC_05/xml/SUS-03.xml (accessed on 7 October 2024).
  62. Bertolin, C. Preservation of Cultural Heritage and Resources Threatened by Climate Change. Geosciences 2019, 9, 250. [Google Scholar] [CrossRef]
  63. Avrami, E. Making Historic Preservation Sustainable. J. Am. Plan. Assoc. 2016, 82, 104–112. [Google Scholar] [CrossRef]
  64. Dwidar, S.; Sirror, H.; Derbali, A.; Abdelgawad, D.; Abdelsattar, A. Importance if internal courtyards in designing historical and contemporary Masjid. J. Islam. Archit. 2022, 7, 356–363. [Google Scholar] [CrossRef]
  65. Šekularac, N.; Debljović Ristić, N.; Mijović, D.; Cvetković, V.; Barišić, S.; Ivanović-Šekularac, J. The use of natural stone as an authentic building material for the restoration of historic buildings in order to test sustainable refurbishment: Case study. Sustainability 2019, 11, 4009. [Google Scholar] [CrossRef]
  66. ISO 14040:2006; Environmental Management—Life Cycle Assessment—Principles and Framework. ISO: Geneva, Switzerland, 2006. Available online: https://www.iso.org/standard/37456.html (accessed on 25 September 2024).
  67. ISO 14044:2006; Environmental Management—Life Cycle Assessment—Requirements and Guidelines. ISO: Geneva, Switzerland, 2006. Available online: https://www.iso.org/standard/38498.html (accessed on 25 September 2024).
  68. Bienvenido-Huertas, D.; León-Muñoz, M.; Martín-del-Río, J.J.; Rubio-Bellido, C. Analysis of climate change impact on the preservation of heritage elements in historic buildings with a deficient indoor microclimate in warm regions. Build. Environ. 2021, 200, 107959. [Google Scholar] [CrossRef]
  69. Lucchi, E. Review of preventive conservation in museum buildings. J. Cult. Herit. 2018, 29, 180–193. [Google Scholar] [CrossRef]
  70. EN 15804+A2 Update and What It Means for EPDs. Circular Ecology. Available online: https://circularecology.com/en-15804-a2-epd-update.html (accessed on 25 September 2024).
  71. Franzoni, E.; Volpi, L.; Bonoli, A.; Spinelli, R.; Gabrielli, R. The environmental impact of cleaning materials and technologies in heritage buildings conservation. Energy Build. 2018, 165, 92–105. [Google Scholar] [CrossRef]
  72. What is EPD?—LCA.no. 2022. Available online: https://lca.no/en/what-is-epd/ (accessed on 25 September 2024).
  73. LCA & EPDs for Construction & Manufacturing | One Click LCA. Available online: https://oneclicklca.com (accessed on 25 September 2024).
  74. Sonia, P.; Sravanthi, G.; Khan, I.; Pahwa, S.; Salman, Z.N.; Sethi, G. Sustainable Utilization of Natural Stone Resources: Environmental Impacts and Preservation of Cultural Heritage. E3S Web Conf. 2023, 430, 01106. [Google Scholar] [CrossRef]
  75. Cai, Y.K.; Xie, H.R.; Ma, Y.; Hokoi, S.; Li, Y.H. Active Environmental Control Strategies for Brick Historical Buildings, Combining Heritage Conservation and Thermal Comfort. J. Phys. Conf. Ser. 2021, 2069, 012080. [Google Scholar] [CrossRef]
Figure 1. Research method diagrammatic structure.
Figure 1. Research method diagrammatic structure.
Sustainability 17 00025 g001
Figure 2. LCA framework used in this paper for building materials, structured according to the ISO 14040 and 14044 standards [66,67].
Figure 2. LCA framework used in this paper for building materials, structured according to the ISO 14040 and 14044 standards [66,67].
Sustainability 17 00025 g002
Figure 3. Ushaiger village.
Figure 3. Ushaiger village.
Sustainability 17 00025 g003
Figure 4. The environmental impacts of mud across various life cycle stages.
Figure 4. The environmental impacts of mud across various life cycle stages.
Sustainability 17 00025 g004
Figure 5. The environmental impacts of limestone across various life cycle stages.
Figure 5. The environmental impacts of limestone across various life cycle stages.
Sustainability 17 00025 g005
Figure 6. Comparison of environmental impacts between mud and limestone.
Figure 6. Comparison of environmental impacts between mud and limestone.
Sustainability 17 00025 g006
Figure 7. The environmental impacts of decorative plaster across various life cycle stages.
Figure 7. The environmental impacts of decorative plaster across various life cycle stages.
Sustainability 17 00025 g007
Figure 8. The environmental impacts of blended hydraulic cement across various life cycle stages.
Figure 8. The environmental impacts of blended hydraulic cement across various life cycle stages.
Sustainability 17 00025 g008
Figure 9. The environmental impacts of ready-mix concrete across various life cycle stages.
Figure 9. The environmental impacts of ready-mix concrete across various life cycle stages.
Sustainability 17 00025 g009
Figure 10. Comparative analysis of environmental impacts for mud, limestone, plaster, cement, and concrete across multiple categories.
Figure 10. Comparative analysis of environmental impacts for mud, limestone, plaster, cement, and concrete across multiple categories.
Sustainability 17 00025 g010
Figure 11. Radar chart of environmental impacts for mud.
Figure 11. Radar chart of environmental impacts for mud.
Sustainability 17 00025 g011
Table 1. Overview of materials, EPD information, and country of origin for LCA analysis of building restoration.
Table 1. Overview of materials, EPD information, and country of origin for LCA analysis of building restoration.
MaterialEPD NameStandardCountry of Origin
MudClay products (handmade bricks, soft mud bricks, extruded bricks, solid and extruded blocks) (Prayag Clay Products Limited, Jawalpatti, India)EN 15804+A2India (considered local in Saudi Arabia due to lack of local environmental product declaration (EPD) data—10 km away)
Decorative plasterDecorative plaster for interior and exterior surfaces, 1750 kg/m3, Webercal palm (Weber-Sodamco Saudi Arabia, Jeddah, Saudi Arabia)EN 15804+A2Saudi Arabia
Blended hydraulic cementBlended hydraulic cement (Tabuk Cement Company, Tabuk, Philippines)EN 15804+A2Saudi Arabia
Ready-mix concrete C16/20 XD3Ready-mix concrete, C16/20 XD3, 14 MPa, 2337 kg/m3 (Saudi Readymix Concrete Co., Joint Stock Company Unlisted, City of Industry, CA, USA)EN 15804+A2Saudi Arabia
LimestonePortland limestone cement, CEM-II/A-LL, One Cem (Lafarge Emirates Cement LLC, Dubai, United Arab Emirates)EN 15804+A2United Arab Emirates
Table 2. LCA Stages, assumptions, and material comparison for the Ushaiger village restoration project (N/A Not Applicable).
Table 2. LCA Stages, assumptions, and material comparison for the Ushaiger village restoration project (N/A Not Applicable).
MaterialLCA Stages IncludedDistance to Ushaiger Village (km)Density (kg/m3)Total Energy Use (A1–A3) (MJ/Ton)Water Use (m3/Ton)Maintenance Frequency (Years)Recyclability (%)
Mud (clay products)Cradle to gate, C1–C4, D<10 km (local)1600676 MJ/ton0.28 m3/ton5–100%
Decorative plasterCradle to gate, A4–A5500 km (Saudi Arabia)17501.87 MJ/kg1.34 m3/ton10–200%
Blended hydraulic cementCradle to gate150 km (Saudi Arabia)N/A4770 MJ/ton1.97 m3/ton20+Low
Ready-mix concrete C16/20 XD3Cradle to gate150 km (Saudi Arabia)2337Data not availableData not available20+Moderate
Limestone (CEM-II/A-LL)Cradle to gate (A1–A3)2000 km (UAE to Ushaiger)N/A1390 kWh/ton0.63 m3/ton20+Low
Disclaimer/Publisher’s Note: The statements, opinions and data contained in all publications are solely those of the individual author(s) and contributor(s) and not of MDPI and/or the editor(s). MDPI and/or the editor(s) disclaim responsibility for any injury to people or property resulting from any ideas, methods, instructions or products referred to in the content.

Share and Cite

MDPI and ACS Style

Mazzetto, S. Comparative Life Cycle Assessment of Traditional and Modern Materials in Heritage Building Restoration: A Case Study from Ushaiger Village. Sustainability 2025, 17, 25. https://doi.org/10.3390/su17010025

AMA Style

Mazzetto S. Comparative Life Cycle Assessment of Traditional and Modern Materials in Heritage Building Restoration: A Case Study from Ushaiger Village. Sustainability. 2025; 17(1):25. https://doi.org/10.3390/su17010025

Chicago/Turabian Style

Mazzetto, Silvia. 2025. "Comparative Life Cycle Assessment of Traditional and Modern Materials in Heritage Building Restoration: A Case Study from Ushaiger Village" Sustainability 17, no. 1: 25. https://doi.org/10.3390/su17010025

APA Style

Mazzetto, S. (2025). Comparative Life Cycle Assessment of Traditional and Modern Materials in Heritage Building Restoration: A Case Study from Ushaiger Village. Sustainability, 17(1), 25. https://doi.org/10.3390/su17010025

Note that from the first issue of 2016, this journal uses article numbers instead of page numbers. See further details here.

Article Metrics

Back to TopTop