Time-Varying Effects of China’s Agricultural OFDI on the Sustainability of Bilateral Agricultural Trade Within RCEP Countries: Multiple Analyses Based on the Model of Trade Gravity and TVP-VAR
Abstract
1. Introduction
2. Theoretical Analysis and Research Hypothesis
3. Basic Situation of Bilateral Agricultural Trade
3.1. China’s Agricultural OFDI Has Developed Rapidly
3.2. Trade in Agricultural Products Between China and RCEP Countries Has Expanded Significantly
4. Analysis Based on Trade Gravity Model
4.1. Model Setting
4.2. Description of Variables and Data Sources
4.3. Baseline Regression Results
4.4. Robustness Analysis
4.5. Heterogeneity Analysis
5. Analysis Based on TVP-VAR Model
5.1. Model Setting
5.2. Parameter Simulation Test
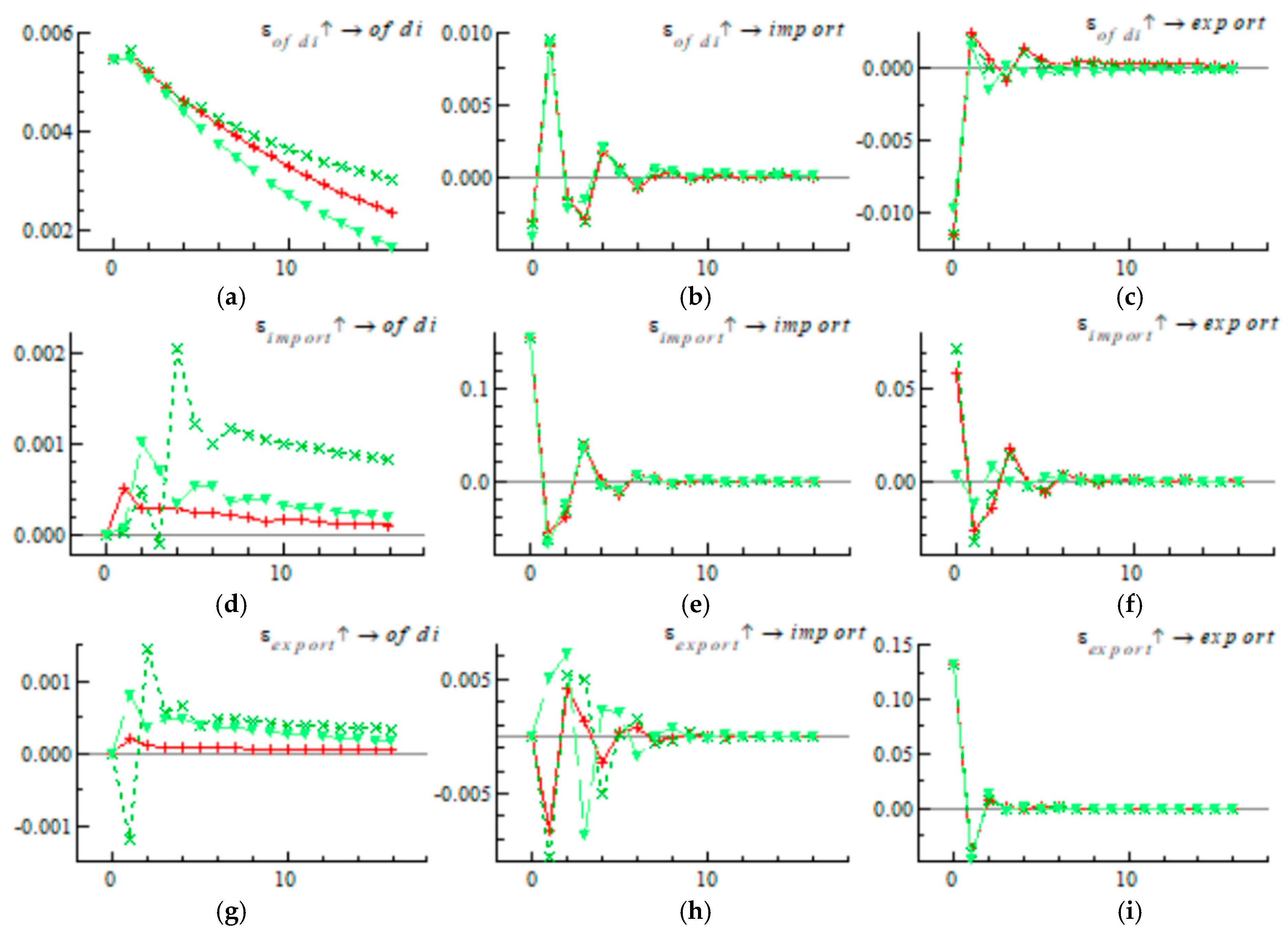
5.3. Analysis of Time-Varying Characteristics of Lower Equal Interval Pulse Response in Different Lag Periods
5.4. Impulse Response at Different Time Points
5.5. Heterogeneity Analysis of Impulse Response
5.5.1. Impulse Response to RCEP Countries’ Agricultural Imports
5.5.2. Impulse Response of Agricultural Exports to RCEP Countries
6. Conclusions and Implications
6.1. Conclusions
6.2. Implication
Author Contributions
Funding
Institutional Review Board Statement
Informed Consent Statement
Data Availability Statement
Conflicts of Interest
References
- Mundell, R.A. International trade and factor mobility. Am. Econ. Rev. 1957, 47, 321–335. [Google Scholar]
- Kojima, K. International Trade and Foreign Investment: Substitutes or Complements. Hitotsubashi J. Econ. 1975, 75, 1–12. [Google Scholar]
- Dunning, J.H. The eclectic paradigm of international production: A restatement and some possible extensions. J. Int. Bus. Stud. 1988, 19, 1–31. [Google Scholar] [CrossRef]
- Benwu, X. The Effects of Outward Foreign Direct Investment on International Trade: Evidence from China. Financ. Trade Econ. 2009, 4, 77–82. [Google Scholar]
- Niu, R.; Zhou, X. China’s Overseas Direct Investment and its Influence on Trade: An Empirical Study Based on Panel Gravity Model. Int. Econ. Trade Res. 2012, 28, 69–81. [Google Scholar]
- Han, J.; Xu, Y.-Y. RCEP and the Integration of Asia-Pacific Trade Agreements—A Quantitative Study on the Agreement Text. China Ind. Econ. 2021, 7, 81–99. [Google Scholar]
- Lin, G.; Chen, T. The Impact of Outward FDI on the Improvement of Resource Allocation Efficiency: Analysis Based on Agricultural Processing Industry. World Econ. Stud. 2020, 7, 46–59. [Google Scholar]
- Wang, Y.; Xie, L.; Zhang, Y.; Wang, C.; Yu, K. Does FDI promote or inhibit the high-quality development of agriculture in China? An agricultural GTFP perspective. Sustainability 2019, 11, 4620. [Google Scholar] [CrossRef]
- Morea, D.; Balzarini, M. Financial sustainability of a public-private partnership for an agricultural development project in Sub-Saharan Africa. Zemed. Ekon. 2018, 64, 389–398. [Google Scholar] [CrossRef]
- Jiang, X.; Chen, Y. The Impact of Agricultural Foreign Investment Outflow on Home Countries’ Participation in Global Value Chains—From the Perspective of Social Network Analysis. J. Huazhong Agric. Univ. 2023, 3, 44–53. [Google Scholar]
- Fan, S.; Zhu, Y.; Fang, X. Big Food Vision and food security in China. Agric. Rural Stud. 2023, 1, 0001. [Google Scholar] [CrossRef]
- Lu, Y.; Lu, Y.; Zeng, K.; Li, Y. China’s Outward Foreign Direct Investment and the Margins of Trade: Empirical Evidence from “One Belt, One Road” Countries. China Int. J. 2018, 16, 129–151. [Google Scholar] [CrossRef]
- Osabuohien-Irabor, O.; Drapkin, I.M. Outward FDI and international trade: The study of causal effects. In Proceedings of the Economics and Finance Conferences, Prague, Czech Republic, 29 July 2021; No. 12513347. International Institute of Social and Economic Sciences: London, UK, 2021. [Google Scholar]
- Amanor, K.S.; Chichava, S. South–south cooperation, agribusiness, and African agricultural development: Brazil and China in Ghana and Mozambique. World Dev. 2016, 81, 13–23. [Google Scholar] [CrossRef]
- Santangelo, G.D. The impact of FDI in land in agriculture in developing countries on host country food security. J. World Bus. 2018, 53, 75–84. [Google Scholar] [CrossRef]
- Du, Y.; Zhang, X.; Liang, T. National Food Security and the Construction of New Agricultural Development Paradigm. Issues Agric. Econ. 2022, 4–10. [Google Scholar]
- Hsiao, F.S.T.; Hsiao, M.C.W. FDI, exports, and GDP in East and Southeast Asia—Panel data versus time-series causality analyses. J. Asian Econ. 2006, 17, 1082–1106. [Google Scholar] [CrossRef]
- Li, J.; Strange, R.; Ning, L.; Sutherland, D. Outward foreign direct investment and domestic innovation performance: Evidence from China. Int. Bus. Rev. 2016, 25, 1010–1019. [Google Scholar] [CrossRef]
- Zhou, Y.; Jiang, J.; Ye, B.; Hou, B. Green spillovers of outward foreign direct investment on home countries: Evidence fromChina’s province-level data. J. Clean. Prod. 2019, 215, 829–844. [Google Scholar] [CrossRef]
- Tang, B.; Chang, Y. The Measurement and Development of China’s Agriculture Value Chain: Based on the Empirical Analysis of Asia-Pacific Region. Issues Agric. Econ. 2019, 10, 50–62. [Google Scholar]
- Tianbao, G.; Xiaolin, W.; Yunfeng, W. Regional Comparison and Development Strategy of Technical Complexity in Exporting China’s Agricultural Products. Rural Econ. 2022, 1, 10–19. [Google Scholar]
- Chichava, S.; Duran, J.; Cabral, L.; Shankland, A.; Buckley, L.; Lixia, T.; Yue, Z. Brazil and China in Mozambican agriculture: Emerging insights from the field. Ids Bull. 2013, 44, 101–115. [Google Scholar] [CrossRef]
- Qiang, Y. How does OFDI affect trade development in developing countries? J. Chin. Econ. Foreign Trade Stud. 2013, 6, 85–90. [Google Scholar] [CrossRef]
- Huangfu, S.; Zhu, J.; Zou, H.; Wang, Y. Decomposition of Extensive and Intensive Trade Margin Impacts of China’s Agricultural OFDI. Adv. Econ. Manag. Political Sci. 2024, 67, 240–251. [Google Scholar]
- Badu-Prah, C.; Agyeiwaa-Afrane, A.; Gidiglo, F.K.; Srofenyoh, F.Y.; Agyei-Henaku, K.A.A.; Djokoto, J.G. Trade, Foreign Direct Investment and Agriculture in Developing Countries. Res. World Agric. Econ. 2023, 4, 1–14. [Google Scholar] [CrossRef]
- Chen, Q.; Guo, P. Outward foreign direct investment in agriculture by Chinese companies: Land grabbing or win–win? Econ. Political Stud. 2017, 5, 404–420. [Google Scholar] [CrossRef]
- Kaarhus, R. Land, investments and public-private partnerships: What happened to the Beira Agricultural Growth Corridor in Mozambique? J. Mod. Afr. Stud. 2018, 56, 87–112. [Google Scholar] [CrossRef]
- Benhai, G.U.; Zixing, W.A.G.; Fei, W.A.G. Research on China’s Export Trade Efficiency of RCEP Agricultural Products from the Perspective of FTA Depth. World Agric. 2023, 9–23. [Google Scholar]
- Anderson, J.E. A theoretical foundation for the gravity equation. Am. Econ. Rev. 1979, 69, 106–116. [Google Scholar]
- Tang, H.; Zhang, H. International Intra-product Specialization and Developing Countries’ Upgrading Value Chain. Econ. Res. J. 2009, 44, 81–93. [Google Scholar]
- Fang, Y.; Fan, Z.; Li, X. The Impact of Trade Facilitation on Global Agricultural Trade and Its Implications for China. Issues Agric. Econ. 2022, 122–133. [Google Scholar]
- Silva, J.M.C.S.; Tenreyro, S. The log of gravity. Rev. Econ. Stat. 2006, 88, 641–658. [Google Scholar] [CrossRef]
- Liu, J.; Xiong, Y. Energy Price Difference, Comparative Advantage and Chinese Export Trade: On PPML Model with International Panel Data. Financ. Trade Res. 2018, 76–87. [Google Scholar]
- Petri, P.A. The regional clustering of foreign direct investment and trade. Transnatl. Corp. 1995, 3, 1–24. [Google Scholar]
- Lin, C.-W.; Tan, N.; He, C.-T. A Study on Trade Effect of China’s Outward Foreign Direct Investment in ASEAN. Int. Econ. Trade Res. 2019, 35, 60–79. [Google Scholar]
- Nakajima, J. Time-varying parameter VAR model with stochastic volatility: An overview of methodology and empirical applications. Monet. Econ. Stud. 2011, 12, 107–142. [Google Scholar]
- Qing, X. Analysis on Location Choice of China’s OFDI in RCEP Countries. Highlights Bus. Econ. Manag. 2023, 11, 302–307. [Google Scholar] [CrossRef]
- Deng, X.; Tang, W.; Zhu, H.; Xing, Z. Influencing factors of China’s direct investment in RCEP countries: Evidence from panel quantile regression. Appl. Econ. 2022, 55, 3347–3364. [Google Scholar] [CrossRef]
- Galluzzo, N. Emigration and common Agricultural policy in Romanian Rural Areas: An analysis of Patterns of Inefficiency. Agric. Rural Stud. 2023, 1, 0003. [Google Scholar] [CrossRef]
- Zhong, X. Study on the Influencing Factors of China’s Outward FDI in RCEP Member Countries. Adv. Econ. Manag. Political Sci. 2023, 51, 12–24. [Google Scholar] [CrossRef]
- Jorgenson, A.K.; Kuykendall, K.A. Globalization, Foreign Investment Dependence and Agriculture Production: Pesticide and Fertilizer Use in Less-Developed Countries, 1990–2000. Soc. Forces 2008, 87, 529–560. [Google Scholar] [CrossRef]








| Variables | Meaning |
|---|---|
| IMPORT | The annual value of China’s agricultural imports to RCEP members. |
| EXPORT | China’s annual agricultural exports to RCEP member countries. |
| OFDI | Annual flow of China’s agricultural direct investment in RCEP member countries |
| GDP | GDP of RCEP member countries, reflecting the level of economic development of the host country. |
| DIST | The straight-line distance between Beijing, China, and the capitals of RCEP member countries. Distance is generally considered to reflect the cost of trade. It is calculated by multiplying the straight-line distance between two capitals by the price of Brent crude oil in each year. |
| CONTIG | Dummy variable, indicating whether China borders the territory of the host country. Yes = 1, no = 0. |
| COMLANG | Dummy variable that indicates whether the host country shares an official language with China. Yes = 1, no = 0. |
| MARKET | The proportion of RCEP member countries’ agricultural trade with China in the member countries’ total agricultural trade. |
| FTA | Dummy variable, indicating whether an RCEP member has joined the WTO. Yes = 1, no = 0. |
| Model (1) | Model (2) | Model (3) | Model (4) | Model (5) | Model (6) | |
|---|---|---|---|---|---|---|
| Variables | Import | Export | ||||
| lnOFDI | 0.799 *** | 0.718 *** | 0.723 *** | 0.532 *** | 0.263 *** | 0.273 *** |
| (0.076) | (0.066) | (0.067) | (0.061) | (0.049) | (0.048) | |
| InGDP | 0.982 *** | 1.007 *** | 1.144 *** | 1.134 *** | ||
| (0.071) | (0.072) | (0.052) | (0.052) | |||
| lnDIST | 0.483 *** | 0.719 *** | 0.883 *** | 1.136 *** | ||
| (0.134) | (0.157) | (0.099) | (0.113) | |||
| CONTIG | 1.048 *** | 1.145 *** | 0.306 * | 0.193 | ||
| (0.233) | (0.236) | (0.173) | (0.170) | |||
| COMLANG | 0.607 * | 0.741 ** | −0.380 | −0.312 | ||
| (0.360) | (0.369) | (0.270) | (0.266) | |||
| MARKET | 14.06 *** | 13.09 *** | 4.630 *** | 4.149 *** | ||
| (1.747) | (1.811) | (1.295) | (1.307) | |||
| FTA | 2.214 *** | 2.157 *** | 1.156 *** | 1.291 *** | ||
| (0.249) | (0.253) | (0.184) | (0.183) | |||
| year | no | no | yes | no | no | yes |
| Constant | 1.247 | 55.14 *** | 53.80 *** | 4.506 *** | 1.010 | −4.910 |
| (0.8880) | (9.1600) | (11.6900) | (0.7180) | (6.7870) | (8.4310) | |
| Observations | 224 | |||||
| R-squared | 0.3320 | 0.8520 | 0.8610 | 0.2520 | 0.8610 | 0.8760 |
| Model (7) | Model (8) | Model (9) | Model (10) | Model (11) | Model (12) | |
|---|---|---|---|---|---|---|
| Variables | Import | Export | ||||
| LNOFDI | 0.081 *** | 0.090 *** | 0.090 *** | 0.052 *** | 0.029 *** | 0.030 *** |
| (0.012) | (0.015) | (0.015) | (0.005) | (0.005) | (0.004) | |
| LnGDP | 0.109 *** | 0.110 *** | 0.113 *** | 0.112 *** | ||
| (0.008) | (0.008) | (0.004) | (0.004) | |||
| LnDIST | 0.029 * | 0.039 ** | 0.073 *** | 0.095 *** | ||
| (0.016) | (0.019) | (0.010) | (0.011) | |||
| CONTIG | 0.137 *** | 0.143 *** | 0.041 ** | 0.031 * | ||
| (0.025) | (0.025) | (0.017) | (0.016) | |||
| COMLANG | −0.059 | −0.061 | −0.024 | −0.020 | ||
| (0.039) | (0.038) | (0.025) | (0.025) | |||
| MARKET | 1.433 *** | 1.400 *** | 0.338 *** | 0.295 ** | ||
| (0.229) | (0.221) | (0.121) | (0.119) | |||
| FTA | 0.243 *** | 0.240 *** | 0.126 *** | 0.140 *** | ||
| (0.029) | (0.027) | (0.017) | (0.017) | |||
| Constant | 1.399 *** | 9.022 *** | 2.480 *** | 1.758 *** | 1.870 *** | 0.181 |
| (0.153) | (1.719) | (0.370) | (0.070) | (0.578) | (0.157) | |
| R-squared | 0.297 | 0.761 | 0.862 | 0.236 | 0.826 | 0.873 |
| Log pseudolikelihood | −492.8 | −477.9 | ||||
| Wald chi2 | 436.5 | 1 479.0 | ||||
| Prob > chi2 | 0.000 | 0.000 | ||||
| (1) | (2) | (3) | (4) | (5) | (6) | (7) | (8) | (9) | |
|---|---|---|---|---|---|---|---|---|---|
| Variables | 10% | 20% | 30% | 40% | 50% | 60% | 70% | 80% | 90% |
| LnOFDI | 0.356 *** | 0.285 *** | 0.202 *** | 0.181 *** | 0.200 *** | 0.265 *** | 0.122 | 0.137 * | 0.236 ** |
| (0.088) | (0.081) | (0.075) | (0.067) | (0.075) | (0.093) | (0.086) | (0.071) | (0.104) | |
| LnGDP | 0.792 *** | 0.804 *** | 1.037 *** | 1.128 *** | 1.159 *** | 1.134 *** | 1.144 *** | 1.162 *** | 1.156 *** |
| (0.056) | (0.094) | (0.117) | (0.088) | (0.082) | (0.079) | (0.073) | (0.064) | (0.057) | |
| LnDIST | 0.931 *** | 0.910 *** | 0.794 *** | 0.782 *** | 0.832 *** | 0.990 *** | 0.806 *** | 0.795 *** | 0.703 *** |
| (0.070) | (0.178) | (0.172) | (0.137) | (0.132) | (0.127) | (0.108) | (0.111) | (0.196) | |
| CONTIG | 0.708 * | −0.361 | 0.307 | 0.349 | 0.445 | 0.322 | 0.476 *** | 0.502 *** | 0.399 *** |
| (0.360) | (0.382) | (0.333) | (0.301) | (0.313) | (0.242) | (0.181) | (0.133) | (0.113) | |
| COMLANG | 0.221 | 0.347 | 0.065 | 0.008 | −0.215 | −0.395 | −0.301 | 0.815 | 0.742 |
| (0.237) | (0.287) | (0.303) | (0.266) | (0.298) | (0.432) | (0.675) | (0.745) | (0.540) | |
| MARKET | 0.003 | −0.038 | 0.713 * | 1.041 *** | 1.313 *** | 1.524 *** | 1.484 *** | 1.670 *** | 1.850 *** |
| (0.467) | (0.459) | (0.394) | (0.284) | (0.287) | (0.340) | (0.328) | (0.248) | (0.266) | |
| FTA | 9.293 | 10.14 | 3.850 | −3.921 | −3.730 | 4.631 | −8.635 | −7.148 | 2.728 |
| (15.38) | (14.52) | (12.71) | (10.19) | (9.662) | (10.84) | (10.48) | (9.215) | (10.59) | |
| Observations | 224 | ||||||||
| (1) | (2) | (3) | (4) | (5) | (6) | (7) | (8) | (9) | |
|---|---|---|---|---|---|---|---|---|---|
| Variables | 10% | 20% | 30% | 40% | 50% | 60% | 70% | 80% | 90% |
| LnOFDI | 1.151 *** | 1.002 *** | 0.703 *** | 0.5270 *** | 0.492 ** | 0.431 ** | 0.366 ** | 0.450 *** | 0.137 |
| (0.171) | (0.228) | (0.218) | (0.1890) | (0.200) | (0.175) | (0.154) | (0.161) | (0.211) | |
| LnGDP | 1.204 *** | 1.181 *** | 1.283 *** | 1.3080 *** | 1.299 *** | 1.241 *** | 1.143 *** | 1.040 *** | 1.086 *** |
| (0.105) | (0.085) | (0.072) | (0.0820) | (0.102) | (0.108) | (0.116) | (0.091) | (0.058) | |
| LnDIST | 0.283 | 0.556 ** | 0.905 *** | 0.9520 *** | 0.834 *** | 0.742 *** | 0.721 *** | 0.806 *** | 0.406 |
| (0.190) | (0.237) | (0.257) | (0.2160) | (0.171) | (0.144) | (0.154) | (0.229) | (0.272) | |
| CONTIG | 1.535 *** | 1.449 *** | 1.596 *** | 1.5040 *** | 1.198 *** | 0.780 ** | 0.584 ** | 0.325 * | 0.115 |
| (0.328) | (0.265) | (0.265) | (0.3300) | (0.369) | (0.353) | (0.266) | (0.195) | (0.174) | |
| COMLANG | 2.082 *** | 2.159 *** | 2.151 *** | 1.956 *** | 1.784 ** | 2.218 *** | 1.813 * | −0.812 | 1.121 * |
| (0.372) | (0.474) | (0.469) | (0.6010) | (0.755) | (0.848) | (1.011) | (0.861) | (0.623) | |
| MARKET | 2.841 *** | 2.879 *** | 2.326 *** | 2.1910 *** | 2.275 *** | 2.297 *** | 2.099 *** | 1.973 *** | 1.385 ** |
| (0.500) | (0.472) | (0.565) | (0.5840) | (0.661) | (0.581) | (0.497) | (0.623) | (0.581) | |
| FTA | 77.23 *** | 66.16 *** | 32.53 * | 16.86 | 10.66 | −3.441 | −3.215 | 3.235 | −14.88 |
| (16.11) | (20.24) | (19.39) | (15.61) | (18.55) | (15.79) | (12.23) | (13.19) | (16.55) | |
| Observations | 224 | ||||||||
| Variable | ADF Statistics | 1% Critical Value | 5% Critical Value | 10% Threshold | p Value | Smoothness |
|---|---|---|---|---|---|---|
| LNOFDI | −1.813 | −4.992 | −3.875 | −3.388 | 0.633 | Non-smooth |
| DLNOFDI | −5.767 | −4.004 | −3.098 | −2.690 | 0.000 | Smooth |
| LNIMPORT | −1.236 | −3.461 | −2.874 | −2.574 | 0.658 | Non-smooth |
| DLNIMPORT | −15.65 | −3.461 | −2.874 | −2.575 | 0.000 | Smooth |
| LNEXPORT | −1.859 | −3.464 | −2.876 | −2.574 | 0.351 | nonstationarity |
| DLNEXPORT | −8.761 | −2.577 | −1.942 | −1.615 | 0.000 | Smooth |
| Parameter | Mean | Stdev | 95%L | 95%U | Geweke | Inef. |
|---|---|---|---|---|---|---|
| sb1 | 0.021 | 0.002 | 0.018 | 0.027 | 0.135 | 10.20 |
| sb2 | 0.018 | 0.001 | 0.015 | 0.021 | 0.654 | 8.990 |
| sa1 | 0.087 | 0.062 | 0.042 | 0.202 | 0.215 | 122.7 |
| sa2 | 0.085 | 0.045 | 0.040 | 0.214 | 0.771 | 110.5 |
| sh1 | 0.736 | 0.139 | 0.510 | 1.032 | 0.576 | 183.6 |
| Sh2 | 0.655 | 0.117 | 0.446 | 0.905 | 0.492 | 47.96 |
Disclaimer/Publisher’s Note: The statements, opinions and data contained in all publications are solely those of the individual author(s) and contributor(s) and not of MDPI and/or the editor(s). MDPI and/or the editor(s) disclaim responsibility for any injury to people or property resulting from any ideas, methods, instructions or products referred to in the content. |
© 2024 by the authors. Licensee MDPI, Basel, Switzerland. This article is an open access article distributed under the terms and conditions of the Creative Commons Attribution (CC BY) license (https://creativecommons.org/licenses/by/4.0/).
Share and Cite
Mai, Q.; Wang, X. Time-Varying Effects of China’s Agricultural OFDI on the Sustainability of Bilateral Agricultural Trade Within RCEP Countries: Multiple Analyses Based on the Model of Trade Gravity and TVP-VAR. Sustainability 2025, 17, 26. https://doi.org/10.3390/su17010026
Mai Q, Wang X. Time-Varying Effects of China’s Agricultural OFDI on the Sustainability of Bilateral Agricultural Trade Within RCEP Countries: Multiple Analyses Based on the Model of Trade Gravity and TVP-VAR. Sustainability. 2025; 17(1):26. https://doi.org/10.3390/su17010026
Chicago/Turabian StyleMai, Qiangsheng, and Xiaoyan Wang. 2025. "Time-Varying Effects of China’s Agricultural OFDI on the Sustainability of Bilateral Agricultural Trade Within RCEP Countries: Multiple Analyses Based on the Model of Trade Gravity and TVP-VAR" Sustainability 17, no. 1: 26. https://doi.org/10.3390/su17010026
APA StyleMai, Q., & Wang, X. (2025). Time-Varying Effects of China’s Agricultural OFDI on the Sustainability of Bilateral Agricultural Trade Within RCEP Countries: Multiple Analyses Based on the Model of Trade Gravity and TVP-VAR. Sustainability, 17(1), 26. https://doi.org/10.3390/su17010026

