Enhancing the Quality of Tomato Straw Waste Composting: The Role of Earthworm Stocking Density in Composting–Vermicomposting Integrated Systems
Abstract
1. Introduction
2. Materials and Methods
2.1. Method of Compost, Vermicompost, and Sampling
2.2. Physicochemical Analysis
2.3. Seed Germination Test
2.4. DNA Extraction and Sequencing Analysis
2.5. Statistical Analysis
3. Results and Discussion
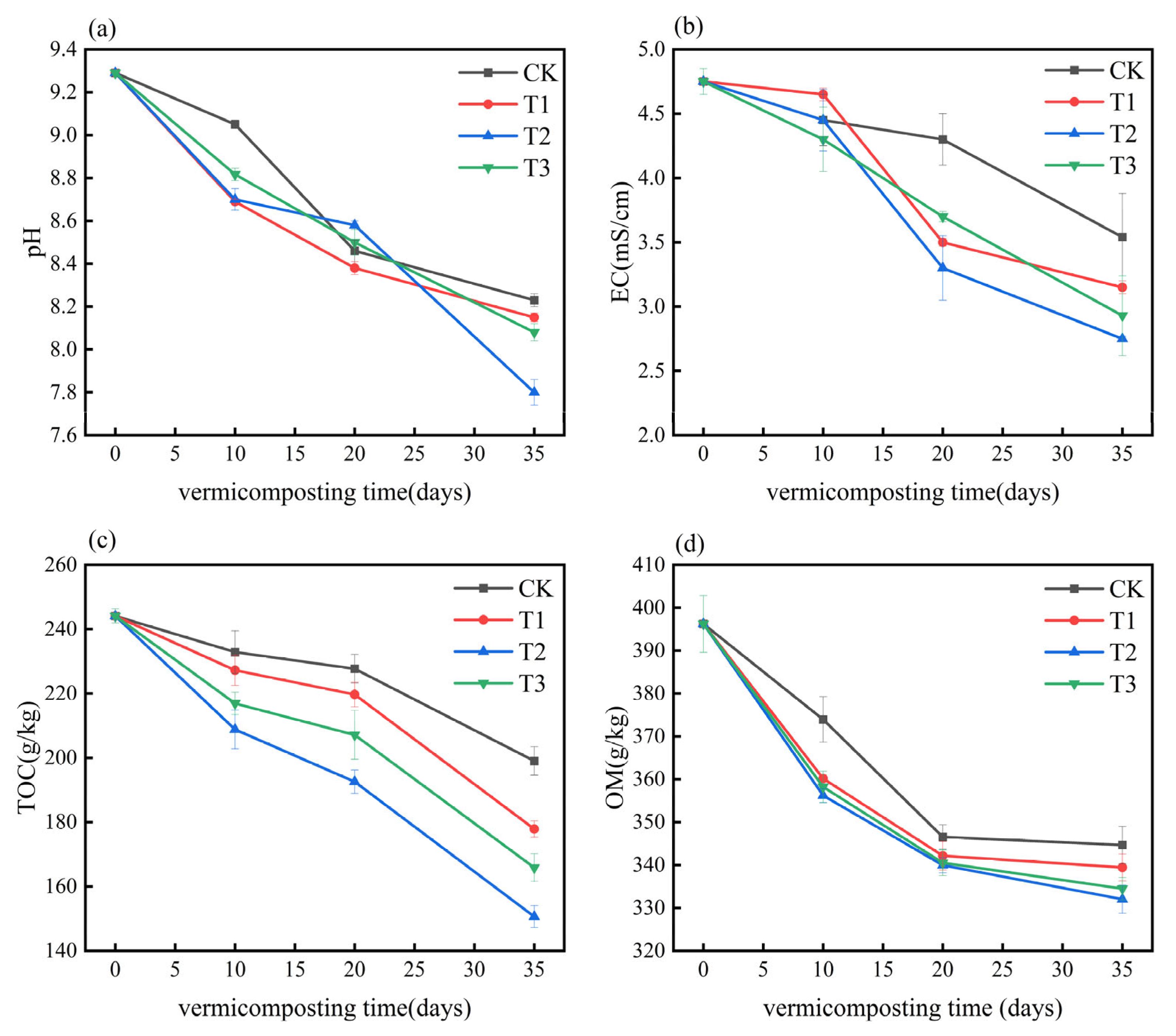
3.1. Changes in Physicochemical Properties During Composting–Vermicomposting
3.1.1. Values of pH and Electric Conductivity (EC)
3.1.2. Total Organic Carbon (TOC) and Organic Matter (OM)
3.1.3. Contents of Total Nitrogen (TN), Total Phosphorus (TP), and Total Potassium (TK)
3.1.4. Lignocellulose Contents
3.1.5. HA/FA Ratio
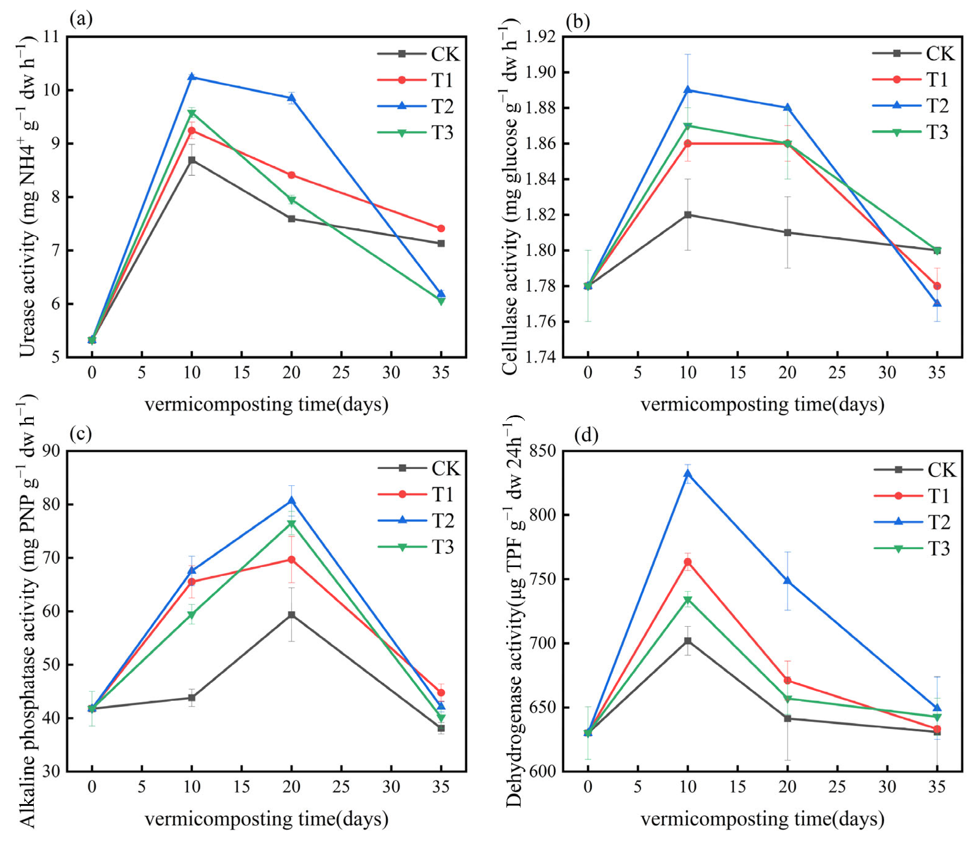
3.2. Enzyme Activity
3.3. Germination Assay
3.4. Richness and Diversity of the Microbial Community
3.5. Composition of the Microbial Community
4. Conclusions
Author Contributions
Funding
Institutional Review Board Statement
Informed Consent Statement
Data Availability Statement
Conflicts of Interest
References
- Tikoria, R.; Kaur, A.; Ohri, P. Physiological, Biochemical and Structural Changes in Tomato Plants by Vermicompost Application in Different Exposure Periods under Glass House Conditions. Plant Physiol. Biochem. 2023, 197, 107656. [Google Scholar] [CrossRef] [PubMed]
- Yatoo, A.M.; Ali, M.N.; Baba, Z.A.; Alsohim, A.S.; Muthukumaran, M.; Sayyed, R.Z. Effect of Macrophyte Biomass-Based Vermicompost and Vermicompost Tea on Plant Growth, Productivity, and Biocontrol of Fusarium Wilt Disease in Tomato. Biocatal. Agric. Biotechnol. 2024, 60, 103320. [Google Scholar] [CrossRef]
- Zhang, X.; Zhu, Y.; Li, J.; Zhu, P.; Liang, B. Exploring Dynamics and Associations of Dominant Lignocellulose Degraders in Tomato Stalk Composting. J. Environ. Manag. 2021, 294, 113162. [Google Scholar] [CrossRef] [PubMed]
- Domingo, J.L.; Nadal, M. Domestic Waste Composting Facilities: A Review of Human Health Risks. Environ. Int. 2009, 35, 382–389. [Google Scholar] [CrossRef] [PubMed]
- Zhou, Y.; Xiao, R.; Klammsteiner, T.; Kong, X.; Yan, B.; Mihai, F.-C.; Liu, T.; Zhang, Z.; Kumar Awasthi, M. Recent Trends and Advances in Composting and Vermicomposting Technologies: A Review. Bioresour. Technol. 2022, 360, 127591. [Google Scholar] [CrossRef] [PubMed]
- Zhang, W.; Yu, C.; Wang, X.; Hai, L. Increased Abundance of Nitrogen Transforming Bacteria by Higher C/N Ratio Reduces the Total Losses of N and C in Chicken Manure and Corn Stover Mix Composting. Bioresour. Technol. 2020, 297, 122410. [Google Scholar] [CrossRef] [PubMed]
- Li, Y.; Zhang, G.; Xu, P.; Zhou, S.; Li, Y.; Ma, L.; Yang, Z.; Wu, Y. Effects of Exogenous Bacterial Agents on Material Transformation and Microbial Community Composition during Composting of Tomato Stalks. Sustainability 2022, 14, 16284. [Google Scholar] [CrossRef]
- Lazcano, C.; Gómez-Brandón, M.; Domínguez, J. Comparison of the Effectiveness of Composting and Vermicomposting for the Biological Stabilization of Cattle Manure. Chemosphere 2008, 72, 1013–1019. [Google Scholar] [CrossRef]
- Soobhany, N.; Mohee, R.; Garg, V.K. Recovery of nutrient from Municipal Solid Waste by composting and vermicomposting using earthworm Eudrilus eugeniae. J. Environ. Chem. Eng. 2015, 3, 2931–2942. [Google Scholar] [CrossRef]
- El-Haddad, M.E.; Zayed, M.S.; El-Sayed, G.A.M.; Hassanein, M.K.; Abd El-Satar, A.M. Evaluation of Compost, Vermicompost and Their Teas Produced from Rice Straw as Affected by Addition of Different Supplements. Ann. Agric. Sci. 2014, 59, 243–251. [Google Scholar] [CrossRef]
- Fornes, F.; Mendoza-Hernández, D.; García-de-la-Fuente, R.; Abad, M.; Belda, R.M. Composting versus Vermicomposting: A Comparative Study of Organic Matter Evolution through Straight and Combined Processes. Bioresour. Technol. 2012, 118, 296–305. [Google Scholar] [CrossRef]
- Fernández-Gómez, M.J.; Romero, E.; Nogales, R. Feasibility of Vermicomposting for Vegetable Greenhouse Waste Recycling. Bioresour. Technol. 2010, 101, 9654–9660. [Google Scholar] [CrossRef] [PubMed]
- Hait, S.; Tare, V. Transformation and Availability of Nutrients and Heavy Metals during Integrated Composting–Vermicomposting of Sewage Sludges. Ecotoxicol. Environ. Saf. 2012, 79, 214–224. [Google Scholar] [CrossRef]
- Yadav, K.D.; Tare, V.; Ahammed, M.M. Integrated Composting–Vermicomposting Process for Stabilization of Human Faecal Slurry. Ecol. Eng. 2012, 47, 24–29. [Google Scholar] [CrossRef]
- Maňáková, B.; Kuta, J.; Svobodová, M.; Hofman, J. Effects of Combined Composting and Vermicomposting of Waste Sludge on Arsenic Fate and Bioavailability. J. Hazard. Mater. 2014, 280, 544–551. [Google Scholar] [CrossRef] [PubMed]
- Ning, J.-Y.; Zhu, X.-D.; Liu, H.-G.; Yu, G.-H. Coupling Thermophilic Composting and Vermicomposting Processes to Remove Cr from Biogas Residues and Produce High Value-Added Biofertilizers. Bioresour. Technol. 2021, 329, 124869. [Google Scholar] [CrossRef]
- Yu, X.; Li, X.; Ren, C.; Wang, J.; Wang, C.; Zou, Y.; Wang, X.; Li, G.; Li, Q. Co-Composting with Cow Dung and Subsequent Vermicomposting Improve Compost Quality of Spent Mushroom. Bioresour. Technol. 2022, 358, 127386. [Google Scholar] [CrossRef] [PubMed]
- Wang, J.; Hu, Z.; Xu, X.; Jiang, X.; Zheng, B.; Liu, X.; Pan, X.; Kardol, P. Emissions of Ammonia and Greenhouse Gases during Combined Pre-Composting and Vermicomposting of Duck Manure. Waste Manag. 2014, 34, 1546–1552. [Google Scholar] [CrossRef] [PubMed]
- Zaman, A.B.; Rahman, A.; Mahmud, I.; Roy, H.; Hoque, S.; Uddin, J.; Rahman, M. Vermicomposting of Solid Textile Sludge Spiked with Cow Dung by Epigeic Earthworm Eisenia fetida in Variable Population Density. Environ. Prog. Sustain. Energy 2023, 42, e14136. [Google Scholar] [CrossRef]
- Mupambwa, H.A.; Mnkeni, P.N.S. Eisenia fetida Stocking Density Optimization for Enhanced Bioconversion of Fly Ash Enriched Vermicompost. J. Environ. Qual. 2016, 45, 1087–1095. [Google Scholar] [CrossRef]
- Devi, J.; Deb, U.; Barman, S.; Das, S.; Sundar Bhattacharya, S.; Fai Tsang, Y.; Lee, J.-H.; Kim, K.-H. Appraisal of Lignocellusoic Biomass Degrading Potential of Three Earthworm Species Using Vermireactor Mediated with Spent Mushroom Substrate: Compost Quality, Crystallinity, and Microbial Community Structural Analysis. Sci. Total Environ. 2020, 716, 135215. [Google Scholar] [CrossRef] [PubMed]
- Unuofin, F.O.; Mnkeni, P.N.S. Optimization of Eisenia fetida Stocking Density for the Bioconversion of Rock Phosphate Enriched Cow Dung–Waste Paper Mixtures. Waste Manag. 2014, 34, 2000–2006. [Google Scholar] [CrossRef] [PubMed]
- Yadav, A.; Garg, V.K. Influence of Stocking Density on the Vermicomposting of an Effluent Treatment Plant Sludge Amended with Cow Dung. Environ. Sci. Pollut. Res. 2016, 23, 13317–13326. [Google Scholar] [CrossRef] [PubMed]
- Devi, J.; Pegu, R.; Mondal, H.; Roy, R.; Sundar Bhattacharya, S. Earthworm Stocking Density Regulates Microbial Community Structure and Fatty Acid Profiles during Vermicomposting of Lignocellulosic Waste: Unraveling the Microbe-Metal and Mineralization-Humification Interactions. Bioresour. Technol. 2023, 367, 128305. [Google Scholar] [CrossRef] [PubMed]
- Chen, Y.; Li, J.; Zhao, T.; Zhang, Y.; Zhang, L.; Xu, L. The Temporal Profile of GH1 Gene Abundance and the Shift in GH1 Cellulase-Producing Microbial Communities during Vermicomposting of Corn Stover and Cow Dung. Environ. Sci. Pollut. Res. 2023, 30, 84035–84045. [Google Scholar] [CrossRef]
- Zhang, L.; Sun, X. Evaluation of Maifanite and Silage as Amendments for Green Waste Composting. Waste Manag. 2018, 77, 435–446. [Google Scholar] [CrossRef] [PubMed]
- Cucina, M.; Tacconi, C.; Sordi, S.; Pezzolla, D.; Gigliotti, G.; Zadra, C. Valorization of a Pharmaceutical Organic Sludge through Different Composting Treatments. Waste Manag. 2018, 74, 203–212. [Google Scholar] [CrossRef]
- Zhang, L.; Sun, X. Effects of Bean Dregs and Crab Shell Powder Additives on the Composting of Green Waste. Bioresour. Technol. 2018, 260, 283–293. [Google Scholar] [CrossRef] [PubMed]
- Yang, W.; Zhang, L. Addition of Mature Compost Improves the Composting of Green Waste. Bioresour. Technol. 2022, 350, 126927. [Google Scholar] [CrossRef]
- Qi, L.; Ma, Z.; Chang, S.X.; Zhou, P.; Huang, R.; Wang, Y.; Wang, Z.; Gao, M. Biochar Decreases Methanogenic Archaea Abundance and Methane Emissions in a Flooded Paddy Soil. Sci. Total Environ. 2021, 752, 141958. [Google Scholar] [CrossRef] [PubMed]
- Gong, X.; Zhang, Z.; Wang, H. Effects of Gleditsia Sinensis Pod Powder, Coconut Shell Biochar and Rice Husk Biochar as Additives on Bacterial Communities and Compost Quality during Vermicomposting of Pig Manure and Wheat Straw. J. Environ. Manag. 2021, 295, 113136. [Google Scholar] [CrossRef] [PubMed]
- Yu, K.; Li, S.; Sun, X.; Cai, L.; Zhang, P.; Kang, Y.; Yu, Z.; Tong, J.; Wang, L. Application of Seasonal Freeze-Thaw to Pretreat Raw Material for Accelerating Green Waste Composting. J. Environ. Manag. 2019, 239, 96–102. [Google Scholar] [CrossRef]
- Chen, Y.; Zhang, Y.; Zhang, Q.; Xu, L.; Li, R.; Luo, X.; Zhang, X.; Tong, J. Earthworms Modify Microbial Community Structure and Accelerate Maize Stover Decomposition during Vermicomposting. Environ. Sci. Pollut. Res. 2015, 22, 17161–17170. [Google Scholar] [CrossRef]
- Cai, L.; Gong, X.; Ding, H.; Li, S.; Hao, D.; Yu, K.; Ma, Q.; Sun, X.; Muneer, M.A. Vermicomposting with Food Processing Waste Mixtures of Soybean Meal and Sugarcane Bagasse. Environ. Technol. Innov. 2022, 28, 102699. [Google Scholar] [CrossRef]
- Fraser, T.; Lynch, D.H.; Entz, M.H.; Dunfield, K.E. Linking Alkaline Phosphatase Activity with Bacterial phoD Gene Abundance in Soil from a Long-Term Management Trial. Geoderma 2015, 257–258, 115–122. [Google Scholar] [CrossRef]
- Gómez-Brandón, M.; Lazcano, C.; Domínguez, J. The Evaluation of Stability and Maturity during the Composting of Cattle Manure. Chemosphere 2008, 70, 436–444. [Google Scholar] [CrossRef]
- Pramanik, P.; Ghosh, G.K.; Ghosal, P.K.; Banik, P. Changes in Organic—C, N, P and K and Enzyme Activities in Vermicompost of Biodegradable Organic Wastes under Liming and Microbial Inoculants. Bioresour. Technol. 2007, 98, 2485–2494. [Google Scholar] [CrossRef] [PubMed]
- Xu, P.; Tripathi, P.; Mishra, S.; Shu, L.; Li, X.; Zhao, S.; Verma, S.; Verma, R.; Wu, Y.; Yang, Z. Brown Sugar as a Carbon Source Can Make Agricultural Organic Waste Compost Enter the Secondary Thermophilic Stage and Promote Compost Decomposition. Environ. Monit. Assess. 2024, 196, 113. [Google Scholar] [CrossRef]
- Duan, Z.; Zhu, Y.; Xia, H.; Huang, K.; Peng, L. A Novel Strategy for Eliminating Antibiotic Resistance Genes during Fertilization of Dewatered Sludge by Earthworms: Vermicomposting Practice Using Chinese Herbal Residues Derived from Lianhua Qingwen as a Bulking Material. J. Environ. Manag. 2024, 349, 119444. [Google Scholar] [CrossRef]
- Xu, P.; Shu, L.; Yang, Y.; Kumar, S.; Tripathi, P.; Mishra, S.; Qiu, C.; Li, Y.; Wu, Y.; Yang, Z. Microbial Agents Obtained from Tomato Straw Composting Effectively Promote Tomato Straw Compost Maturation and Improve Compost Quality. Ecotoxicol. Environ. Saf. 2024, 270, 115884. [Google Scholar] [CrossRef] [PubMed]
- Patra, R.K.; Behera, D.; Mohapatra, K.K.; Sethi, D.; Mandal, M.; Patra, A.K.; Ravindran, B. Juxtaposing the Quality of Compost and Vermicompost Produced from Organic Wastes Amended with Cow Dung. Environ. Res. 2022, 214, 114119. [Google Scholar] [CrossRef]
- Villar, I.; Alves, D.; Pérez-Díaz, D.; Mato, S. Changes in Microbial Dynamics during Vermicomposting of Fresh and Composted Sewage Sludge. Waste Manag. 2016, 48, 409–417. [Google Scholar] [CrossRef] [PubMed]
- Masó, M.A.; Blasi, A.B. Evaluation of Composting as a Strategy for Managing Organic Wastes from a Municipal Market in Nicaragua. Bioresour. Technol. 2008, 99, 5120–5124. [Google Scholar] [CrossRef]
- Esmaeili, A.; Khoram, M.R.; Gholami, M.; Eslami, H. Pistachio Waste Management Using Combined Composting-Vermicomposting Technique: Physico-Chemical Changes and Worm Growth Analysis. J. Clean. Prod. 2020, 242, 118523. [Google Scholar] [CrossRef]
- Sharma, K.; Garg, V.K. Comparative analysis of vermicompost quality produced from rice straw and paper waste employing earthworm Eisenia fetida (Sav.). Bioresour. Technol. 2018, 250, 708–715. [Google Scholar] [CrossRef]
- Swarnam, T.P.; Velmurugan, A.; Pandey, S.K.; Dam Roy, S. Enhancing Nutrient Recovery and Compost Maturity of Coconut Husk by Vermicomposting Technology. Bioresour. Technol. 2016, 207, 76–84. [Google Scholar] [CrossRef]
- Zhong, L.; Wu, T.; Ding, J.; Xu, W.; Yuan, F.; Liu, B.-F.; Zhao, L.; Li, Y.; Ren, N.-Q.; Yang, S.-S. Co-Composting of Faecal Sludge and Carbon-Rich Wastes in the Earthworm’s Synergistic Cooperation System: Performance, Global Warming Potential and Key Microbiome. Sci. Total Environ. 2023, 857, 159311. [Google Scholar] [CrossRef]
- Mago, M.; Gupta, R.; Yadav, A.; Kumar Garg, V. Sustainable Treatment and Nutrient Recovery from Leafy Waste through Vermicomposting. Bioresour. Technol. 2022, 347, 126390. [Google Scholar] [CrossRef]
- Huang, G.F.; Wong, J.W.C.; Wu, Q.T.; Nagar, B.B. Effect of C/N on Composting of Pig Manure with Sawdust. Waste Manag. 2004, 24, 805–813. [Google Scholar] [CrossRef] [PubMed]
- Gong, X.; Li, S.; Carson, M.A.; Chang, S.X.; Wu, Q.; Wang, L.; An, Z.; Sun, X. Spent Mushroom Substrate and Cattle Manure Amendments Enhance the Transformation of Garden Waste into Vermicomposts Using the Earthworm Eisenia fetida. J. Environ. Manag. 2019, 248, 109263. [Google Scholar] [CrossRef]
- Srivastava, V.; Goel, G.; Thakur, V.K.; Singh, R.P.; Ferreira De Araujo, A.S.; Singh, P. Analysis and Advanced Characterization of Municipal Solid Waste Vermicompost Maturity for a Green Environment. J. Environ. Manag. 2020, 255, 109914. [Google Scholar] [CrossRef]
- Yadav, A.; Garg, V.K. Biotransformation of Bakery Industry Sludge into Valuable Product Using Vermicomposting. Bioresour. Technol. 2019, 274, 512–517. [Google Scholar] [CrossRef]
- Hallam, J.; Hodson, M.E. Impact of Different Earthworm Ecotypes on Water Stable Aggregates and Soil Water Holding Capacity. Biol. Fertil. Soils 2020, 56, 607–617. [Google Scholar] [CrossRef]
- Ma, L.; Zhang, L.; Feng, X. Optimization of Eisenia fetida Stocking Density for Biotransformation during Green Waste Vermicomposting. Waste Manag. 2024, 187, 188–197. [Google Scholar] [CrossRef]
- Karwal, M.; Kaushik, A. Co-Composting and Vermicomposting of Coal Fly-Ash with Press Mud: Changes in Nutrients, Micro-Nutrients and Enzyme Activities. Environ. Technol. Innov. 2020, 18, 100708. [Google Scholar] [CrossRef]
- Negi, R.; Suthar, S. Degradation of paper mill wastewater sludge and cow dung using brown-rot fungi Oligoporus placenta and Eisenia fetida during vermicomposting. J. Clean. Prod. 2018, 201, 842–852. [Google Scholar] [CrossRef]
- Ruangjanda, S.; Iwai, C.B.; Greff, B.; Chang, S.W.; Ravindran, B. Valorization of Spent Mushroom Substrate in Combination with Agro-Residues to Improve the Nutrient and Phytohormone Contents of Vermicompost. Environ. Res. 2022, 214, 113771. [Google Scholar] [CrossRef]
- Gusain, R.; Suthar, S. Vermicomposting of Invasive Weed Ageratum Conyzoids: Assessment of Nutrient Mineralization, Enzymatic Activities, and Microbial Properties. Bioresour. Technol. 2020, 312, 123537. [Google Scholar] [CrossRef] [PubMed]
- Gong, X.; Shi, W.; Zhang, Z.; Luo, M.; Zhang, B.; Wan, S.; Huang, J. Exploring the Effects of Zeolite, Biochar, and Diatomite as Additives for Enhancing Heavy Metals Passivation and Eliminating Antibiotic Resistance Genes in Composts during Vermicomposting of Dewatered Sludge and Green Waste. J. Environ. Chem. Eng. 2024, 12, 112201. [Google Scholar] [CrossRef]
- Bhat, S.A.; Singh, J.; Vig, A.P. Effect on Growth of Earthworm and Chemical Parameters during Vermicomposting of Pressmud Sludge Mixed with Cattle Dung Mixture. Procedia Environ. Sci. 2016, 35, 425–434. [Google Scholar] [CrossRef]
- Fu, X.; Huang, K.; Chen, X.; Li, F.; Cui, G. Feasibility of vermistabilization for fresh pelletized dewatered sludge with earthworms Bimastus parvus. Bioresour. Technol. 2015, 175, 646–650. [Google Scholar] [CrossRef] [PubMed]
- Kumar, R.; Verma, D.; Singh, B.L.; Kumar, U.; Shweta, S. Composting of Sugar-Cane Waste by-Products through Treatment with Microorganisms and Subsequent Vermicomposting. Bioresour. Technol. 2010, 101, 6707–6711. [Google Scholar] [CrossRef]
- Pandit, L.; Sethi, D.; Pattanayak, S.K.; Nayak, Y. Bioconversion of Lignocellulosic Organic Wastes into Nutrient Rich Vermicompost by Eudrilus eugeniae. Bioresour. Technol. Rep. 2020, 12, 100580. [Google Scholar] [CrossRef]
- Singh, S.; Singh, J.; Kaur, A.; Kaur, J.; Vig, A.P.; Bhat, S.A. Nutrient Recovery from Pigeon Dropping by Using Exotic Earthworm Eisenia fetida. Sustain. Chem. Pharm. 2019, 12, 100126. [Google Scholar] [CrossRef]
- Suthar, S. Recycling of Agro-Industrial Sludge through Vermitechnology. Ecol. Eng. 2010, 36, 1028–1036. [Google Scholar] [CrossRef]
- Aira, M.; Monroy, F.; Domínguez, J. Eisenia fetida (Oligochaeta, Lumbricidae) Activates Fungal Growth, Triggering Cellulose Decomposition during Vermicomposting. Microb. Ecol. 2006, 52, 738–747. [Google Scholar] [CrossRef] [PubMed]
- Gong, X.; Zou, L.; Wang, L.; Zhang, B.; Jiang, J. Biochar Improves Compost Humification, Maturity and Mitigates Nitrogen Loss during the Vermicomposting of Cattle Manure-Maize Straw. J. Environ. Manag. 2023, 325, 116432. [Google Scholar] [CrossRef] [PubMed]
- Raj, D.; Antil, R.S. Evaluation of Maturity and Stability Parameters of Composts Prepared from Agro-Industrial Wastes. Bioresour. Technol. 2011, 102, 2868–2873. [Google Scholar] [CrossRef]
- Hanc, A.; Dume, B.; Hrebeckova, T. Differences of Enzymatic Activity during Composting and Vermicomposting of Sewage Sludge Mixed with Straw Pellets. Front. Microbiol. 2022, 12, 801107. [Google Scholar] [CrossRef]
- Karapantzou, I.; Mitropoulou, G.; Prapa, I.; Papanikolaou, D.; Charovas, V.; Kourkoutas, Y. Physicochemical Changes and Microbiome Associations during Vermicomposting of Winery Waste. Sustainability 2023, 15, 7484. [Google Scholar] [CrossRef]
- Sharma, S.B.; Sayyed, R.Z.; Trivedi, M.H.; Gobi, T.A. Phosphate Solubilizing Microbes: Sustainable Approach for Managing Phosphorus Deficiency in Agricultural Soils. SpringerPlus 2013, 2, 587. [Google Scholar] [CrossRef]
- Karthika, A.; Seenivasagan, R.; Kasimani, R.; Babalola, O.O.; Vasanthy, M. Cellulolytic Bacteria Isolation, Screening and Optimization of Enzyme Production from Vermicompost of Paper Cup Waste. Waste Manag. 2020, 116, 58–65. [Google Scholar] [CrossRef] [PubMed]
- Gong, X.; Li, S.; Chang, S.X.; Wu, Q.; Cai, L.; Sun, X. Alkyl Polyglycoside and Earthworm (Eisenia fetida) Enhance Biodegradation of Green Waste and Its Use for Growing Vegetables. Ecotoxicol. Environ. Saf. 2019, 167, 459–466. [Google Scholar] [CrossRef] [PubMed]
- Chen, Y.; Chang, S.K.C.; Chen, J.; Zhang, Q.; Yu, H. Characterization of Microbial Community Succession during Vermicomposting of Medicinal Herbal Residues. Bioresour. Technol. 2018, 249, 542–549. [Google Scholar] [CrossRef] [PubMed]
- Lei, X.; Cui, G.; Sun, H.; Hou, S.; Deng, H.; Li, B.; Yang, Z.; Xu, Q.; Huo, X.; Cai, J. How Do Earthworms Affect the Pathway of Sludge Bio-Stabilization via Vermicomposting? Sci. Total Environ. 2024, 916, 170411. [Google Scholar] [CrossRef] [PubMed]
- Huang, K.; Li, F.; Wei, Y.; Chen, X.; Fu, X. Changes of bacterial and fungal community compositions during vermicomposting of vegetable wastes by Eisenia foetida. Bioresour. Technol. 2013, 150, 235–241. [Google Scholar] [CrossRef] [PubMed]
- Cai, L.; Gong, X.; Sun, X.; Li, S.; Yu, X. Comparison of Chemical and Microbiological Changes during the Aerobic Composting and Vermicomposting of Green Waste. PLoS ONE 2018, 13, e0207494. [Google Scholar] [CrossRef] [PubMed]
- Moody, S.A.; Briones, M.J.I.; Piearce, T.G.; Dighton, J. Selective Consumption of Decomposing Wheat Straw by Earthworms. Soil Biol. Biochem. 1995, 27, 1209–1213. [Google Scholar] [CrossRef]
- Yang, J.; Huang, K.; Peng, L.; Li, J.; Liu, A. Fate of Functional Bacterial and Eukaryotic Community Regulated by Earthworms during Vermicomposting of Dewatered Sludge, Studies Based on the 16S rDNA and 18S rDNA Sequencing of Active Cells. Int. J. Environ. Res. Public Health 2021, 18, 9713. [Google Scholar] [CrossRef] [PubMed]
- Li, Y.; Yang, X.; Gao, W.; Qiu, J.; Li, Y. Comparative Study of Vermicomposting of Garden Waste and Cow Dung Using Eisenia fetida. Environ. Sci. Pollut. Res. 2020, 27, 9646–9657. [Google Scholar] [CrossRef]
- Awasthi, M.K.; Li, J.; Kumar, S.; Awasthi, S.K.; Wang, Q.; Chen, H.; Wang, M.; Ren, X.; Zhang, Z. Effects of Biochar Amendment on Bacterial and Fungal Diversity for Co-Composting of Gelatin Industry Sludge Mixed with Organic Fraction of Municipal Solid Waste. Bioresour. Technol. 2017, 246, 214–223. [Google Scholar] [CrossRef] [PubMed]
- Baldrian, P.; Valášková, V. Degradation of Cellulose by Basidiomycetous Fungi. FEMS Microbiol. Rev. 2008, 32, 501–521. [Google Scholar] [CrossRef] [PubMed]
- Schmidt-Dannert, C. Biocatalytic Portfolio of Basidiomycota. Curr. Opin. Chem. Biol. 2016, 31, 40–49. [Google Scholar] [CrossRef]






| Physical and Chemical Properties | TS | TSCP |
|---|---|---|
| pH | 6.80 ± 0.02 | 9.39 ± 0.01 |
| EC (mS/cm) | 12.05 ± 0.10 | 4.75 ± 0.10 |
| TOC (g/kg) | 332.61 ± 5.03 | 244.10 ± 2.17 |
| OM (g/kg) | 520.17 ± 17.56 | 396.22 ± 6.61 |
| TN (g/kg) | 19.77 ± 1.77 | 15.64 ± 0.51 |
| TP (g/kg) | 2.46 ± 0.03 | 5.67 ± 0.04 |
| TK (g/kg) | 33.82 ± 0.35 | 42.06 ± 0.58 |
| Cellulose (%) | 32.12 ± 1.59 | 19.86 ± 0.96 |
| Hemicellulose (%) | 9.34 ± 0.31 | 4.17 ± 0.01 |
| Lignin (%) | 7.27 ± 1.29 | 15.54 ± 0.03 |
| Parameters | CK | T1 | T2 | T3 |
|---|---|---|---|---|
| pH | 8.23 ± 0.03 a | 8.15 ± 0.02 b | 7.80 ± 0.06 c | 8.08 ± 0.04 b |
| EC (mS/cm) | 3.54 ± 0.34 a | 3.15 ± 0.05 ab | 2.75 ± 0.02 b | 2.93 ± 0.31 b |
| TOC (g/kg) | 199.03 ± 4.40 a | 177.85 ± 2.53 b | 150.65 ± 3.42 d | 165.87 ± 4.30 c |
| OM (g/kg) | 344.67 ± 4.35 a | 339.43 ± 3.12 ab | 332.04 ± 3.26 c | 334.48 ± 2.62 bc |
| TN (g/kg) | 24.41 ± 0.37 c | 25.19 ± 0.59 bc | 26.99 ± 0.76 a | 26.16 ± 0.12 ab |
| TP (g/kg) | 7.88 ± 0.06 d | 8.14 ± 0.03 c | 8.88 ± 0.06 a | 8.34 ± 0.01 b |
| TK (g/kg) | 53.25 ± 1.54 b | 54.66 ± 1.58 ab | 57.2 ± 1.68 a | 55.93 ± 1.70 ab |
| HA/FA | 1.67 ± 0.02 c | 2.03 ± 0.05 b | 2.18 ± 0.02 a | 2.13 ± 0.00 a |
| Cellulose (%) | 15.18 ± 0.21 a | 12.71 ± 0.58 b | 11.84 ± 0.29 c | 12.39 ± 0.21 bc |
| Hemicellulose (%) | 3.78 ± 0.04 a | 3.48 ± 0.03 b | 3.16 ± 0.04 c | 3.20 ± 0.04 c |
| Lignin (%) | 14.88 ± 0.12 a | 14.01 ± 0.08 b | 13.03 ± 0.06 c | 13.23 ± 0.30 c |
| Treatment | OTUs | Shannon | Simpson | Chao1 | Goods_Coverage |
|---|---|---|---|---|---|
| Bacterial | |||||
| TSCP | 1315.15 ± 201.76 c | 8.32 ± 0.22 c | 0.99 ± 0.00 b | 1315.00 ± 106.33 c | 1 ± 0.00 a |
| CK | 1627.33 ± 178.53 b | 8.84 ± 0.31 b | 0.99 ± 0.00 b | 1650.30 ± 66.72 b | 1 ± 0.01 a |
| T1 | 1991.22 ± 88.61 a | 9.51 ± 0.06 a | 1.00 ± 0.01 a | 2022.70 ± 201.36 a | 1 ± 0.00 a |
| T2 | 2203.18 ± 33.72 a | 9.75 ± 0.15 a | 1.00 ± 0.00 a | 2240.90 ± 52.61 a | 1 ± 0.00 a |
| T3 | 2153.44 ± 100.52 a | 9.75 ± 0.39 a | 1.00 ± 0.00 a | 2178.40 ± 131.76 a | 1 ± 0.00 a |
| Fungi | |||||
| TSCP | 150.00 ± 18.11 b | 2.89 ± 0.09 b | 0.79 ± 0.01 a | 150.00 ± 10.01 b | 1 ± 0.00 a |
| CK | 184.11 ± 10.27 a | 3.11 ± 0.10 a | 0.79 ± 0.00 a | 184.00 ± 5.32 a | 1 ± 0.00 a |
| T1 | 148.26 ± 8.97 b | 2.44 ± 0.16 c | 0.69 ± 0.00 b | 148.00 ± 6.12 b | 0.99 ± 0.01 a |
| T2 | 92.00 ± 5.36 c | 2.29 ± 0.03 c | 0.69 ± 0.00 b | 92.00 ± 3.19 c | 1 ± 0.00 a |
| T3 | 140.16 ± 6.25 b | 2.41 ± 0.08 c | 0.69 ± 0.02 b | 140.14 ± 7.36 b | 1 ± 0.00 a |
Disclaimer/Publisher’s Note: The statements, opinions and data contained in all publications are solely those of the individual author(s) and contributor(s) and not of MDPI and/or the editor(s). MDPI and/or the editor(s) disclaim responsibility for any injury to people or property resulting from any ideas, methods, instructions or products referred to in the content. |
© 2024 by the authors. Licensee MDPI, Basel, Switzerland. This article is an open access article distributed under the terms and conditions of the Creative Commons Attribution (CC BY) license (https://creativecommons.org/licenses/by/4.0/).
Share and Cite
Yang, Y.; Shu, L.; Lin, Y.; Li, L.; Cao, Q.; Wu, Y.; Yang, Z. Enhancing the Quality of Tomato Straw Waste Composting: The Role of Earthworm Stocking Density in Composting–Vermicomposting Integrated Systems. Sustainability 2025, 17, 175. https://doi.org/10.3390/su17010175
Yang Y, Shu L, Lin Y, Li L, Cao Q, Wu Y, Yang Z. Enhancing the Quality of Tomato Straw Waste Composting: The Role of Earthworm Stocking Density in Composting–Vermicomposting Integrated Systems. Sustainability. 2025; 17(1):175. https://doi.org/10.3390/su17010175
Chicago/Turabian StyleYang, Yuanyuan, Luolin Shu, Yuqin Lin, Lei Li, Qianqian Cao, Yongjun Wu, and Zhenchao Yang. 2025. "Enhancing the Quality of Tomato Straw Waste Composting: The Role of Earthworm Stocking Density in Composting–Vermicomposting Integrated Systems" Sustainability 17, no. 1: 175. https://doi.org/10.3390/su17010175
APA StyleYang, Y., Shu, L., Lin, Y., Li, L., Cao, Q., Wu, Y., & Yang, Z. (2025). Enhancing the Quality of Tomato Straw Waste Composting: The Role of Earthworm Stocking Density in Composting–Vermicomposting Integrated Systems. Sustainability, 17(1), 175. https://doi.org/10.3390/su17010175

