Next Article in Journal
The Impact of Green Mergers and Acquisitions on Corporate Environmental Performance: Evidence from China’s Heavy-Polluting Industries
Previous Article in Journal
A Comparison between Powder Bed Fusion of Polyamide 12 and Aluminum Computer Numeric Control Machining: A Carbon Footprint and Energy Assessment
 
 
Font Type:
Arial Georgia Verdana
Font Size:
Aa Aa Aa
Line Spacing:
Column Width:
Background:
Article

Analysis of the Cooperation of a Compressor Heat Pump with a PV System

by
Krzysztof Tomczuk
* and
Paweł Obstawski
Institute of Mechanical Engineering, Warsaw University of Life Sciences, Nowoursynowska St. 164, 02-787 Warszawa, Poland
*
Author to whom correspondence should be addressed.
Sustainability 2024, 16(9), 3797; https://doi.org/10.3390/su16093797
Submission received: 25 March 2024 / Revised: 26 April 2024 / Accepted: 27 April 2024 / Published: 30 April 2024
(This article belongs to the Section Energy Sustainability)

Abstract

The decarbonization of heating systems is one of the present political and legislative directions of the European Union and its Member States. The main activities concern the energy performance of buildings and energy efficiency. The mentioned UE directives are the basis for the financial support of high-emission fossil fuel thermal energy source replacement with emission-free ones, in particular heat pumps. Other aspects are the support of PV installations and the thermal insulation of buildings. 85% of EU buildings were built before 2000, and among those, 75% have poor energy performance. Therefore, a significant number of buildings have only high-temperature wall radiators, and this was a motivation to prepare this article. The main innovation of this research was a new theoretical design of a high-temperature heat pump based on ecological refrigerants. The presented solution allows wall radiators to receive a hot water supply with temperatures of up to 85 °C during external temperatures of up to −20 °C. Typical heat pumps do not have these kinds of parameters, so the authors decided to verify the possibility of operating this device in such a wide temperature range. Another important aspect was the analysis of PV support. Finally, this paper investigates the possibility of heating an energy-efficient house with the newly designed high-temperature heat pump. Depending on the location in Poland, i.e., Suwałki, Warsaw, and Wrocław, the total electric energy supplied to the compressors was 2538–3364 kWh. The energy provided by the PV to supply power to the compressors is 482–570 kWh. The achieved PV energy self-consumption is 16.9–19.0%. The Seasonal Coefficient of Performance (SCOP) of the heat pump is 1.825–2.038 without PV and 2.515–2.970 with PV.

1. Introduction

Significant CO2 emissions have influenced the world’s climate change and negatively affect many aspects of human life. The main issues are unpredictable weather anomalies, such as intensive floods, hurricanes, strong and sudden wind gusts, and long-term droughts. Climate change reduces agricultural yields and increases material losses in industry, forcing people to migrate and causing social tensions in destination countries. The consequence of climate change is an urgent need for a reduction in fossil fuel consumption to prevent further increases in average Earth temperature.
This paper investigates the possibility of the application of a newly designed high-temperature heat pump for the heating purposes of an energy-efficient house with an area of 200 m2 and a peak power demand of 15 W/m2. To achieve the required energy consumption, ventilation energy recuperation and deep thermoinsulation of the building are required. Energy performance of buildings [1], energy efficiency [2] for most buildings requiring insulation [3] is one of the main goals of the European Union.
One of the assumptions made during this study is the impossibility of heat pump operation during the night, in order to reduce noise generated by the compressor unit. To fulfil this requirement, an additional buffer of thermal energy is applied for this application.
For this study, a proprietary heat pump design, using low GWP (Global Warming Potential) and ODP (Ozone Depletion Potential) refrigerants, was developed. This solution fulfils the European Commission’s far-reaching objective of using environmentally friendly refrigerants in this type of equipment [4].
The variability of the designed heat pump parameters, such as cooling power, heating power, coefficient of performance, and electrical power as a function of lower and upper heat source temperatures, were determined. The obtained parameters were applied to the Matlab Simulink 2022b simulation model to calculate the key parameters of the heating system over an entire year, including PV energy autoconsumption.
Some of the legal acts concerning the mentioned issues are the Regulations of the European Parliament and the Council [4], as well as Polish legal acts, among others [5]. The documents enforce specific actions regarding stationary heat pumps and impose that, as of 1 January 2025, no new types of equipment containing refrigerants with GWP ≥ 150 can be placed on the market.
In accordance with the EU regulations regarding CO2 reduction from emissions from fossil fuels in buildings (so-called ETS 2), from January 2027, the costs for the emission of carbon dioxide will be added to the cost of energy carriers. Therefore, the heating costs of buildings using traditional fossil fuel energy sources will increase.
The main aim of this article is the presentation of a new design of a high-temperature, two-stage heat pump using environmentally friendly refrigerants, which is one of the requirements of the EU [6]. The device is dedicated to being used in central heating systems, supplying temperatures of up to 85 °C and making it possible to supply heat to traditional wall radiators.
From 1 July 2024, electric energy consumers in Poland will be able to settle under dynamic tariffs, where the price changes every 15 min. In the case of large renewable energy production during the daytime, it can be expected to be cheap. The first assumption of this research is the verification of heat pump operation during specific time periods, when energy costs are low. The second assumption is the requirement to switch off the heat pump at night to prevent noise generation. In both cases, a thermal energy storage bank is required.
Finally, this article presents the results of a theoretical analysis of the cooperation between the heat pump and PV. The values of electric energy for the analysed cases are presented. It is worth mentioning that a battery energy bank was not included in the simulations.
Issues relating to heat pumps are being analysed by many researchers around the world [7]. It is possible to provide heating energy or air-conditioning without a negative impact on the environment.
In the article in [8], the authors analysed the possibility of replacing gas boilers with heat pumps. The aim of such an analysis was to determine the optimal share of these two heating systems in order to minimise CO2 emissions. The impact of different scenarios was analysed in terms of primary energy consumption, carbon dioxide emissions, and energy prices. The results show that the Italian electric energy market allows the use of heat pumps for heating between 29% and 57% of the country’s buildings with a COP between 2 and 4.
The paper in [9] presents an analysis of the coefficient of performance of the heat pump components, separately for the unit and separately for the heating/cooling system. A mathematical model with parameters for the concentrated state was created. For the analysis, mathematical models of the efficiency coefficients were used for the heat pump and separately for the heat pump heating/cooling system. For the analysis, an optimised graph analytics method was used.
The management of the heating needs of multifunctional office and residential buildings is presented in [10]. The building is heated by a public district heating network and heat pumps operating in bivalent states. Optimization calculations for primary energy consumption, operating costs, and CO2 emissions were carried out to determine the bivalent states.
The aim of the article in [11] is to determine the requirements for an autonomous heat pump control system in order to model an optimal heating profile for a building. In Europe, about 11% of buildings already have heat pumps installed, but proper optimisation in terms of maintaining thermal comfort and equipment efficiency is still lacking. Additionally, buildings with photovoltaic systems render finding the optimal heating profile a real challenge. The authors point out that knowledge of temperature changes in a building can influence energy consumption by using data in modelling and optimising buildings for electricity consumption.
The authors of the paper in [12] point out that the increasing number of heat pumps installed can cause a significant load on the existing power grid infrastructure if they are operated at the same time. Heat pumps can be considered as electric energy consumers that can improve flexibility in the use of the grid with thermal energy storage. The article assesses the flexibility potential of heat pumps for the low-voltage grid in cooperation with a PV system. It includes a study of cases where there is a large imbalance between energy generation and consumption. The model used determined the electric energy demand of the heat pump, taking into account the heat store, and analysed the potential to increase network flexibility and improve integration with RES.
The analysis concerning changes in the tilt angles of PV panels during the winter to ensure greater availability of electric energy to supply power to the heat pump is presented in [13]. The main objective of the research presented in the paper is to determine the feasibility of replacing fossil fuel energy with PV panel energy. The paper in [14] investigated the possibilities of locally distributed heat pumps connected to a central battery energy storage bank for demand management in an existing urban distribution network in Germany. A simulation model of a heating system containing an air-to-water heat pump connected to an energy storage bank was developed to simulate the dynamic load on the power grid. Two different control criteria were used, i.e., the state of charge of the energy storage bank and demand-side management. The average transformer load for these operating modes was calculated and compared. The results show that heat pumps, even at low levels of equipment utilisation, provide significant load reduction potential, which is important for peak load reduction. In addition, it was shown that the use of thermal energy storage further increases the flexibility of the impact on the power system. Lower ambient temperatures have also been shown to reduce the demand management potential of heat pumps.
The aim of the articles in [15,16] was to assess the main factors influencing the management flexibility of compressor heat pumps for space heating. In a Smart Grid, Demand Response and Demand-Side Management algorithms are considered crucial to achieve efficient grid operation. A classic example of a flexible load that can be used to manage a Smart Grid is a heat pump. The analysis carried out identifies indicators to determine the flexibility of the device’s operation and shows how customers’ thermal comfort requirements affect its ability to limit the peak power occurring in the power grid. The use of the defined indicators to verify the flexibility of customer preferences is investigated and discussed, and the potential benefits offered by the adopted demand response algorithm are estimated.
The aim of the paper in [17] is to investigate the savings in electric energy costs used to heat domestic hot water associated with the replacement of conventional 140 kW and 180 kW electric boilers with heat pumps in a residential complex containing 153 flats in Johannesburg (South Africa). As part of the modernisation, calculations were carried out to enable the selection of heat pumps while maintaining the demand for domestic hot water. The hours of operation of the equipment affecting electric energy demand and costs were also determined. These measures resulted in a lower load on the power grid, with tangible financial and environmental benefits. As a result of the use of new energy carriers, the monthly cost of electricity bills and emissions was reduced.
Similar issues are presented in the articles in [18,19], where the application of a smart heating system built on the basis of heat pumps enabling the reduction in electric energy consumption costs in a household is discussed. The system consists of a heat pump, a hot water tank, measuring instruments, and a programmable logic controller (PLC) that is used to control the pump. The PLC records measurement data, which it uses to calculate the COP and predict its value in the next few hours. Different methods of calculating COP were evaluated for implementation in a real-time system. Various approaches for predicting ambient temperature, water temperature, and energy consumption patterns were investigated. An algorithm using calculated COP values and the household’s water consumption pattern determines at what time of day it is most cost-effective to switch on the heat pump. Using the new control algorithm reduced energy costs by 51.6% compared with the factory control algorithm for the heat pump alone.
One of the research works presented in the literature is the cooperation of a PV installation with a heat pump. The article in [20] presents the test results of a clean water public delivery system as a heat source for heat pumps. The performance coefficient COP without PV installation was 10.4, while with the use of PV, it was 16.1. An interesting result of the cooperation of a PV installation and a heat pump for a residential house was presented in [21]. The studies included in [22,23,24,25,26,27] present the results of PV/T collectors and a heat pump attached to one heating installation. The solution makes it possible to reduce the temperature of the collector surfaces, thereby increasing work efficiency. The articles in [28,29] discuss the energy and financial aspects of the use of heat pumps. Four heating systems with heat pumps supported by solar energy are presented. Simulations were carried out and the most interesting solution was determined.
The paper in [29] presents an overview of research conducted over the last twenty years in the field of compressor heat pumps supported by solar energy.
The articles in [30,31,32] present energy control methods in buildings. They concern production possibilities and energy demand from a technical and economic point of view. According to the results, it is possible to save 13–25% of the annual costs of electric energy for houses in Finland, Italy, and the USA. The articles in [33,34,35] present the use of a thermal energy storage bank for building energy management. The solution allows one to save 22% of energy costs because of different billing tariffs for electric energy.
An interesting direction of research is design modifications of heat pumps’ main circuits, which enables their operation in different thermodynamic parameters. The research presented in [36,37] describes a solution with direct evaporation of the working medium using modules containing microchannels acting as evaporators. The solution allows one to achieve efficiency levels of 56.6%, 15.4%, and 69.7% under specific operating conditions, while the average COP of the system was 4.7.
The main aim of the articles in [38,39,40] is to present the impact of heat pumps on a low-voltage distribution network used to supply power for residential buildings. Building load profiles were analysed, indicating a high probability of network overload by 30%, and thus voltage drops below permissible levels. Building performance has been shown to have a high correlation with power quality in the power grid, which has promising potential for further modelling of these issues.
The study in [41] presents a cost analysis of a heating system containing hybrid PV/T photovoltaic panels in accordance with separate PV installation and solar collectors. It was determined that the performance of both systems is almost identical and requires the same investment costs. The papers in [42,43] present a developed model of RES based on linear programming for the optimal selection of 100% renewable power systems in terms of total system costs and external evaluation. The energy and economic efficiency of heating systems were assessed in the articles in [43,44,45]. The research concerned house designs included in a free-access database of house projects that do not require a building permit.

2. Description of the Research Problem

Most currently used heat pumps achieve a coefficient of performance (COP) ranging from 2.7 to 5.0, which depends on the temperature difference between the lower and upper heat source. With a large temperature difference, low values are obtained, and for a small temperature difference, a COP is satisfactory.
Typical heat pump efficiency is usually tested at temperatures of −7 °C, +2 °C, and +7 °C for the bottom heat source and +35 °C for the upper heat source. It can be noticed that the lowest testing temperature of the bottom heat source does not cover the entire required range for outdoor temperatures, which in Poland ranges from −16 °C to −24 °C.
The operation of a single-stage heat pump at such temperatures is inefficient, and at extremely low temperatures, the activation of additional heaters powered by a power grid is required. Such a solution is not a proper way of heating a building, but a certain engineering trick and a way of dealing with the lack of production of the required amount of thermal energy.
Customers expect heat sources to operate effectively at temperatures of up to −25 °C. Present solutions of air-to-water heat pump designs are more suited to the Mediterranean climate than the humid continental climate zone in which Poland is located. Satisfactory COP values of heat pumps, with an upper heat source temperature of max. 35 °C, are sufficient for underfloor heating, while they are too low to supply wall radiators. Using wall radiators requires a supply temperature of up to 70 °C. In this case, the COP decreases drastically, which makes heat pumps not a reasonable solution.
As mentioned in this article, the EU policy concerning the withdrawal of harmful refrigerants is gradually being implemented and more and more gases are being eliminated for use. One of the currently popular refrigerant gases is R32, which is intended for specially designed systems due to its high operating pressure requiring suitable design solutions, and it has a GWP = 675.
At the time of preparing this article, the R32 gas is permitted for use, but the key arrangements for the heat pump industry regarding the withdrawal of fluorinated gases relate to two dates:
-
1 January 2032, when monobloc air conditioners and heat pumps (including ground source) with up to 12 kW rated output power containing f-gases will be forbidden for new installations.
-
1 January 2035, when air conditioners and heat pumps (split type) with a rated output power of up to 12 kW containing f-gases will be forbidden for new installations.
Realistic deadlines have appeared on the time horizon beyond which the use of HFC and HCFC fluorinated gases will be forbidden for widespread use. Special consideration should be given to refrigerants that have been developed during natural processes and synthetic refrigerants with similar operating properties and negligible impact on the greenhouse effect or the ozone layer. The most popular of these are as follows:
-
R717—ammonia (GWP = 0);
-
R744—carbon dioxide (GWP = 1);
-
R290—propane (GWP = 3);
-
R600a—isobutane (GWP = 3);
-
R1270—propylene (GWP = 3);
-
R1234ze(e)—synthetic refrigerant (GWP = 7).

3. Description of the Heat Pump Design

The two-stage high-temperature heat pump is designed as an air-to-water unit to achieve a flow temperature of 70 °C for the heating circuits and a lower source temperature of −20 °C for the ambient air. The nominal heating power of the unit for boundary operating conditions is 10 kW. A schematic diagram of the unit’s refrigeration system is shown in Figure 1.
The device is based on two refrigeration circuits, between which a heat exchanger is used as a separator. The heat exchanger between the stages is a condenser for stage one of the heat pump and an evaporator for stage two. Both stages of the unit are operated with environmentally friendly refrigerants. The first stage uses the refrigerant R290 (propane), with ODP = 0 and GWP = 3. The second stage uses R1234ze(e) refrigerant, with ODP = 0 and GWP = 7.
The lower stage of the unit is based on a compressor, whose operating envelope is shown in Figure 2. The operating envelope shows that the minimum refrigerant saturation temperature is −40 °C, and the minimum refrigerant condensation temperature is 10 °C. The maximum refrigerant saturation temperature is 10 °C, and the minimum condensation temperature is 30 °C. The minimum and maximum refrigerant temperatures resulting from the compressor operating envelope were the design boundary conditions for the lower stage of the designed heat pump.
The red dot indicates the heat pump operation point. The yellow zone in the compressor operation envelope (Figure 2) means that in this range of refrigerant saturation and condensation temperatures, the heat pump system must operate with refrigerant superheat OR subcooling ≤ 20 K.
The blue zone in the compressor operating envelope (Figure 2) means that in this range of refrigerant saturation and condensation temperatures, the heat pump system must operate with refrigerant superheat and subcooling ≤ 20 K.
The compressors used for the heat pump are semihermetic units, driven by one of two types of electric motors. According to the compressor manufacturer’s documentation, which is as follows:
-
Motor 1 (M1)—basic for air conditioning at high ambient temperatures;
-
Motor 2 (M2)—universal motor for medium- and low-temperature applications and air conditioning.
The operating envelopes are given using Motor 1 and Motor 2. For this study’s purposes, Motor 2 was used.
The operating envelope of the compressor used in the lower stage of the high-temperature heat pump provided the design requirements for the selection of the refrigerant and compressor used in the upper stage.
Figure 3 shows the operating envelope of the compressor used in the upper stage and supplied with refrigerant R1234ze(e). The operating envelope shows that the minimum refrigerant saturation temperature is −15 °C, and the maximum refrigerant condensation temperature is 80 °C, while the maximum refrigerant saturation temperature is 35 °C, and the maximum refrigerant condensation temperature is 95 °C.
The operating parameters of the compressors used in the first and second stages coincide with the ranges of refrigerant condensation temperature of the lower stage and refrigerant saturation temperature of the upper stage. From a design point of view, it is important that the heating power of the first stage for the individual refrigerant condensation temperatures is equal to or greater than the cooling power of the second stage adequately enough for the individual refrigerant saturation temperatures.
The main criterion for compressor selection was the assumed nominal heating power of the designed unit of 10 kW for an assumed upper source temperature of 70 °C and a lower source temperature of −20 °C.
Based on the R1234ze(e) refrigerant parameters shown in Figure 3 for an assumed maximum refrigerant saturation temperature of 35 °C and a maximum condensation temperature of 85 °C by reading the enthalpy value of the individual points and using relationship 1, the refrigerant mass flow value was calculated.
m   [ k g s ] = Q g [ k W ] h 2 h 3 [ k J k g ]
where
  • m—mass flow of the refrigerant [kg/s];
  • Qg—heating power [kW];
  • h2—enthalpy of refrigerant discharge [kJ/kg];
  • h3—enthalpy of refrigerant condensation [kJ/kg].
With the refrigerant mass flow rate and the specific volume of the refrigerant at the suction port for the design operating point, the compressor volumetric capacity of 13.2 m3/h was deducted using relationship No. 2.
V [ m 3 s ] = m k g s · v [ m 3 k g ]
where
  • V—compressor volumetric efficiency [m3/s];
  • m—mass flow of the refrigerant [kg/s];
  • v—specific volume of the refrigerant at the suction connection [m3/kg].
The volumetric capacity of the first stage compressor was calculated in the same way and is 26.84 m3/h. The higher volumetric efficiency of the first-stage compressor is due to the fact that with a greater difference between the lower and upper source temperatures, the heating power and thus the cooling power of the system decreases, and the electric energy consumption of the compressor increases.
Figure 4, Figure 5, Figure 6, Figure 7, Figure 8, Figure 9, Figure 10 and Figure 11 show the performance of the individual stages of the refrigeration system of a high-temperature two-stage compressor heat pump. The performance of the first stage is shown for condensing temperatures of 20–30 °C and the second stage for condensing temperatures of 40–85 °C.
Operating parameters are shown at maximum compressor volumetric capacity. Depending on the saturation and condensation temperature of the refrigerant, the heating power of stage one varies between 25.6 kW and 3.7 kW, while stage two varies between 12.9 kW and 5.7 kW.
In order to reduce the electrical energy consumed by the compressor, a frequency converter should be used to regulate the volumetric capacity of the compressor of stages one and two, which will consequently enable the heating power of the unit to be matched to the current heat load of the building.

4. Test Object Description and Boundary Conditions

Simulation studies were carried out for a building with a surface area S = 200 m2 and a design heat load of 15 W/m2, located in three different climatic zones in Poland (Suwałki—zone V, Warsaw—zone III, Wrocław—zone II), differing in terms of design temperature for buildings and average monthly temperatures. The data used in the analyses were acquired during a typical meteorological year [46].
An analysis of the prevailing temperatures at the locations analysed was carried out using measurements of external temperatures. Figure 12, Figure 13 and Figure 14 below show the following temperatures: monthly averages and minimum and maximum temperatures for each month of the year.
Table 1 presents the values of the average annual, minimum, and maximum temperatures in mentioned cities. Suwałki is the coldest city, Warsaw and Wrocław have similar values for average annual temperatures and average minimum temperatures, while Warsaw has the highest maximum average temperature.
Figure 15, Figure 16 and Figure 17 show graphs of the most common temperatures for the locations mentioned above. For Suwałki, the most common temperatures are between 0 °C ÷ 1 °C for 483 h a year and 12 °C ÷ 13 °C for 384 h a year. For Warsaw, the most common temperatures are between 0 °C ÷ 1 °C for 723 h a year. The distribution of temperatures for Wrocław contains ranges with similar times of occurrence. The most frequent values are shown below in Table 2.

5. Description of the Simulation Model and its Functional Modules

Figure 18 shows a view of the simulation model developed in Matlab-Simulink 2022b, used to assess the feasibility of using a two-stage heat pump for the heating purposes of the selected building in cooperation with a PV system.
It was decided to use this software due to the number of interesting functionalities. Matlab-Simulink 2022b allows one to use the measurement of real-time data of external temperature and PV production as a Lookup Table. Using “Time” as a table input, required values can be obtained at the table output for every moment of the year. Output values are used for calculations in the next modules of the simulation model. Another interesting function is the easy implementation of mathematical formulas describing the control object, including the full possibility of formula transformations, operations, and calculations.
The model includes seven interconnected modules, which are designed to calculate the necessary values and time waveforms of the heating system under computer simulation conditions. The operation of the individual modules is described below.
It is worth mentioning that the simulation model does not include all possible losses that may occur in the heating system. Therefore, the final performance may be slightly lower. At this stage of the project, theoretical analyses were performed that have not been verified on a working prototype.

5.1. Module “Building Power”

The module determines the instantaneous heating power requirement of the building based on the external temperature determined in Module No. 1 “External temperature”. The waveform of the required heating power of the building under consideration is shown in Figure 19.
The required heating power was determined based on the heat transfer coefficients of the materials used in the building structure and their thickness. The internal temperature inside the building is +22 °C. The calculated values were entered into the simulation model in the form of a Look-up Table.
Figure 19 represents the worst heating condition without any additional heat sources, i.e., the house is in the shade (no direct sunshine irradiation), cooking heat, human body heat, and transient loads. Additional energy requirements depend on the individual energy habits of each person staying in the house, which are difficult to estimate and repeat in real conditions.

5.2. Module “External Temperature”

The task of this module is to determine the instantaneous external temperature in every moment of the year according to [46], used for the calculations in the other model blocks. The data for the module were entered in the form of a Look-up Table.

5.3. Module “PV Energy”

One of the issues analysed in this work is the possibility of using the electric energy generated by a PV system to supply power directly to heat pumps without any battery energy storage bank. For this purpose, actual data on the power generated by grid-connected 1.55 kWp PV installation were used. The system is located in Warsaw (Poland) and is shown in Figure 20.
Figure 21a shows actual measurements of the AC power transferred into the power grid taken at 15 min intervals throughout the year, which were placed into the simulation model in the form of a Look-up Table.

5.4. Module “Heat Pumps Data”

This module contains the operating parameters of the heat pump, separately for stage one and for stage two. The data included in this module are heating power, cooling power, electric power, and COP (coefficient of performance).
The analysed parameters were calculated in a simulation model to test the building heating system with the developed heat pump. The results are described in another section of this article.

5.5. Module “Energy Calculator”

This model calculates energy values at several points of the heating system according to the following mathematical relationships:
E p v = P p v ( t ) · d t
E g = P g t P p v ( t ) · d t
E c = P c t · d t
E b = P b t · d t
where
  • Epv—energy produced by the PV system [Wh];
  • Eg—energy taken from the power grid [Wh];
  • Ec—energy consumed by the heat pump [Wh];
  • Eb—energy required to heat the building [Wh];
  • Ppv—instantaneous power generated by the PV system [W];
  • Pg—instantaneous power taken from the power grid [W];
  • Pc—instantaneous heat pump power supply [W];
  • Pb—instantaneous power required to heat the building [W].

5.6. Module “Water Tank”

The purpose of this module is the calculation of the temporary temperature in the thermal energy storage bank (hot water buffer). Temperature value is obtained on the temporary values of heat production in the heat pump, PV system power generation, and heat demand of the building.
P x = P p v P c
E w = P x t + P h t P b ( t ) · d t
E w = c w · m · ( T 2 T 1 )
T 2 = E w c w · m T 1
where
  • Px—unused instantaneous electric power from PV system [W];
  • Ppv—instantaneous power generated by the PV system [W];
  • Pc—instantaneous power supply for heat pump compressors [W];
  • Ph—instantaneous heating power supplying the water buffer [W];
  • Pb—instantaneous power required to heat the building [W];
  • Ew—thermal energy stored in the water buffer [J];
  • T1—resting water temperature [°C];
  • T2—instantaneous value of the water temperature in the water buffer [°C].

5.7. Module “Control Block”

This is the module responsible for the control of the heat pump. According to this issue, five input signals were implemented and are presented below:
-
Time used for the simulation to determine the external temperature;
-
Instantaneous value of the external (ambient) temperature;
-
Instantaneous value of the power generated by the PV system;
-
Instantaneous value of the total electrical power consumed by the first and second stages of compressors;
-
Instantaneous value of the temperature in the thermal energy storage bank.
Three signals come out of this block to enable the control of block “Heat pump data”, as follows:
-
“ON/OFF”—signal indicating that the power supply of the heat pump compressors is on or off;
-
“Power reduction”—temporary value of the electrical power to be supplied to the first stage of the heat pump. The second stage always operates at full power;
-
“CT”—signal indicating the current criterion used for heat pump control.

5.8. Heat Pump Control Criteria

Four control criteria are proposed for heat pump control, which are activated depending on the configuration of the above-mentioned signals. The individual control criteria are described below. Figure 22 explains the selection procedure of the Criterion 1 and Criterion 2.

5.8.1. Control Criterion 1

The analysis of the availability of energy generated by the PV system shows that there is little availability of photovoltaic energy between the 270th and 70th day of the year, which was determined to be a control according to Criterion 1. Figure 23 shows the waveforms of the power generated by the PV system and the total power consumption by the heat pump compressors during the initial period of the year.
Due to the low availability of PV power, only a small percentage of renewable energy supplies the heat pump. The remaining amount of required energy was taken from the electric power grid.

5.8.2. Control Criterion 2

Between the 70th and 270th day of the year, the amount of PV energy is satisfactory, so the heat pump is only powered by PV energy.
Figure 24 presents the waveforms of the power generated by the PV system and the power consumed by the heat pump compressors when solar energy is available. The characteristic feature of this period is the reduced thermal power demand of the building.
Analysing the waveforms, it can be seen that PV energy fully covers the demand for electric energy required to supply power to the heat pump. There are even periods when there is more PV energy than needed.
According to this situation, it is proposed to transfer the extra energy from PV to supply power to the heater in the hot water boiler. This situation will only occur during periods of overproduction of PV energy.

5.8.3. Control Criterion 3

The control according to Criterion 3 takes place in an emergency situation when the temperature in the hot water boiler suddenly falls below 40 °C. If the temperature drops below this value, this can result in reduced thermal comfort in the building.
In this case, the heat pump is switched on regardless of the time of day, season, or availability of PV energy. This criterion is abandoned when the temperature rises above 45 °C. This situation is for a sudden external temperature fall or reduction in PV energy availability during the control according to Criterion 2.

5.8.4. Control Criterion 4

Criterion 4 represents a complete shutdown of the heat pump. This criterion occurs mostly in the summertime when the temperature in the hot water boiler is higher than 70 °C. In this case, the heater in the water boiler is powered only by PV overproduction energy. According to the performed analyses, this condition occurs during increased PV energy availability and reduced thermal energy demand. The exit from this criterion occurs when the temperature in the hot water boiler falls below 50 °C.

6. Results and Discussion

This section presents the results of all the conducted research. Annual waveforms of key parameters of the heating system powered by a two-stage heat pump were presented. The operation of the system at low and average external temperatures was analysed. The demand for the building’s annual thermal energy and the effectiveness of using the PV installation to direct the supply power of the heat pump compressors were determined.
Figure 25 contains five graphs with the following variables: Graph 1: Waveforms of instantaneous PV power generation and compressors supply power. Graph 2: Instantaneous coefficient of performance (COP), control criterion number, and heat pump power utilisation factor (Duty). Graph 3: Instantaneous temperature waveform of the hot water buffer from which the building is heated for minimum (33 °C) and maximum (85 °C) temperature limits. Graph 4: Instantaneous thermal energy demand of the building. Graph 5: The waveform of the external temperature throughout the year.

6.1. Analysis of Results for Low and Average Temperatures

Figure 26 and Figure 27 present examples of the heating system parameter waveforms. Figure 26 presents the analysis of the heating system over two days in which the external temperature dropped from −10 °C to −18 °C, then increased to −10 °C, and dropped again to −16 °C. The COP at severe frost was between COP = 1.2 and 1.5, with an average value of COP = 1.35. The water temperature in the water buffer changed from 50 °C to 60 °C, which is sufficient to supply the wall radiators.
Figure 27 presents the analysis over two days in which the external temperature was equal to the annual average and changed from 7 °C to 8.5 °C. The performance parameter was between COP = 2.1 ÷ 2.4, with an average COP = 2.25. The water temperature in the water buffer changed from 48 °C to 53 °C, which is sufficient to supply the wall radiators. Similar results were obtained in the article in [47], which presents data for Warsaw, Hamburg, and Thessaloniki. The work in [48] presents the use of ground heat pumps. Due to the higher and more stable bottom heat source temperature, higher values of the coefficient of performance (COP) were achieved.

6.2. Annual Energy Demand of the Building

Table 3 presents the values of the final heating energy and values for 1 m2 of the analysed building during the heating season from 30 September to 31 May.
From 2021, a legal requirement has been introduced in Poland, which states that the annual energy value for new and modernised buildings must not exceed 70 kWh/m2, while for multifamily buildings this value should be a maximum of 65 kWh/m2.
The performed analysis shows that in the case of buildings with a designed heat pump, the energy values per 1 m2 of the building should be even lower, amounting to 25 to 30 kWh/m2.

6.3. Use of PV Systems

Table 4 shows the results of the electric energy demand over the entire heating season to supply power to the heat pump, as well as the amount of consumed PV energy and the resulting self-consumption factor.
Table 5 shows the results of the heating energy demand of the building for the whole heating season and the resulting average Seasonal Coefficient of Performance (SCOP) with a PV system and without a PV system.
A 10 kWp PV installation was selected during our research and is capable of producing 9885 kWh per year. The energy required to supply power to the compressors depends on the building’s location. Achieved values are between 2538 kWh and 3364 kWh.
The amount of PV energy used to supply power directly to the compressors as part of self-consumption depends on the building location. Achieved values are between 482 kWh and 570 kWh and represent 16.9% to 19.0% of all required electric energy.

7. Conclusions

On the basis of the achieved results, the scientific and innovative aspects of the analysis were proven. The importance of the development of new knowledge was confirmed. The obtained research results confirm the requirements and assumptions taken in this article for improving the thermal efficiency of buildings required for heat pump installation. Finally, environmentally friendly refrigerants were proposed.

7.1. Scientific Aspects of this Work

The scientific objective of this work was to develop two simulation models in Matlab-Simulink. The first model enabled design studies to be carried out for a two-stage high-temperature heat pump. The second model made it possible to analyse the cooperation of the developed heat pump with a PV system for heating the building. As a result of the analyses, the annual efficiency of the tested system was determined.
On the basis of the performed analyses, it can be concluded that the two-stage heat pump makes it possible to achieve the temperatures required to supply traditional wall radiators at external temperatures reaching extreme negative values. An additional achievement was the use of environmentally friendly refrigerants with low ODP and GWP values.
As a result of the performed analyses, the cooling power, heating power, electric power, and coefficients of performance of the individual operating stages were determined. Additionally, the cooperation of the heat pump with the PV installation and thermal energy storage was verified. The heating system was analysed from the perspective of an entire year for an energy-efficient building located in three different Polish cities located in different climate zones.
Finally, the values important for the end user were calculated. The annual electric energy required to supply power to the heat pumps and the annual average efficiency values with and without the PV system were calculated.

7.2. Innovation Importance

-
The developed simulation model enables to perform the design, analysis, and parameter selection of any two-stage heat pump with environmentally friendly refrigerants.
-
The simulation model makes it possible to perform analyses of the interaction of the two-stage heat pump with the building’s heating system and allows one to verify the self-consumption PV energy rates.
-
The new design of the presented heat pump is a possible solution for supplying heat in existing buildings with high-temperature wall radiators.
-
The use of the designed device enables less interference with the building’s heating system. No costly retrofitting for floor heating (radiant floor) is required.
-
Values of the heating energy per 1 m2 of the analysed building during the heating season were determined.

7.3. Test Results Obtained for COP and SCOP

The performed research indicates that the designed heat pump is possible to supply heat to the traditional wall radiators. The proposed heating system is able to deliver water temperatures from 50 °C to 60 °C and even more in severe frosts of up to −20 °C. The selected coefficient of performance (COP) values for three temperature ranges are presented below (in all cases, the temperature inside the building was +22 °C):
-
From −10 °C to −18 °C, COP = 1.35;
-
From −1.1 °C to −1.2 °C, COP = 1.85;
-
From +7 °C to +8 °C, COP = 2.15.
The value of the Seasonal Coefficient of Performance (SCOP) of the heat pump during the heating season, depending on the building location, is presented below:
-
SCOP = 1.825 to 2.038 without PV system;
-
SCOP = 2.970 to 2.515 with PV system.
The electric energy consumption taken from the power grid to supply power to the heat pump depending on the building location is presented below:
-
2538 kWh to 3364 kWh without PV system;
-
2056 kWh to 2794 kWh with PV system.

7.4. Self-Consumption of Energy from PV

It seems natural to combine renewable energy sources, i.e., PV and heat pumps, to increase energy independence. One of the issues of this study is the verification of the effectiveness of such cooperation. The results of the performed analysis indicate that self-consumption of PV energy depending on the building location is 16.9% to 19.0%, which is an unsatisfactory value for the authors.
The main reason for the low use of PV energy is the discrepancy between energy production and energy demand. During the heating season, there is a lack of energy from PV, so most of the electric energy to supply power to heat pumps must be taken from the power grid. On the other hand, in the summer season, there is availability of “green energy” but no demand for heating energy. This problem was solved by the previous PV energy billing system Net-Metering, which is no longer used in Poland. As of 1.07.2024, the current billing system is Net-Billing, which requires the user to either consume “green energy” when it is available or to store energy in local battery banks, which increases the total cost of the PV + BATT system.
This research concerns the second settlement option. As presented in this article, the Net-Billing system is not profitable when combined with a heat pump.

7.5. Thermal Efficiency Improvement

The last issue presented in this article is the amount of annual electric energy required to heat the building with a heat pump. Depending on the location, energy consumption ranged from 2538 kWh to 3364 kWh.
Current legal requirements in Poland require an annual energy consumption of 70 kWh/m2 for new and modernized buildings and 65 kWh/m2 for multifamily buildings. These values are too high for the installation of heat pumps. The requirement for using heat pumps in the buildings calculated in this article is between 25.9 kWh/m2 and 30.7 kWh/m2 depending on the building location in Poland. If other cities have similar climatic and solar irradiation parameters, then the results will be similar. To achieve such low thermal energy consumption, a deep thermoinsulation of the building and ventilation recuperation is required.
Before installing a heat pump, an energy audit of the building is required. The results of the audit identify elements of the building that require extra thermal insulation. Otherwise, the amount of electric energy supplying the heat pump will be inconsistent and will result in high bills. Unfortunately, the lack of knowledge of homeowners and selected sales representatives is currently visible in the market.

7.6. Article Summary

-
A new model of a two-stage, high-temperature heat pump was developed to supply hot water to wall radiators with temperatures of up to 85 °C with ecological refrigerants.
-
The required annual energy consumption for heating purposes of the analysed building is between 25 kWh/m2 and 30 kWh/m2. To achieve these energy requirements, a building energy audit is required. The audit results will indicate whether heat losses are at the level required for heat pump installation.
-
The total electric energy consumption of the heat pump compressors without a PV system is between 2538 kWh and 3364 kWh.
-
The total electric energy consumption of the heat pump compressors with a PV system is between 2056 kWh and 2794 kWh.
-
The Seasonal Coefficient of Performance (SCOP) without PV is 1.825 to 2.038.
-
The Seasonal Coefficient of Performance (SCOP) with PV is 2.515 to 2.970.
-
The PV energy self-consumption for three cities in Poland for heating purposes is between 16.9% and 19.0%.
The presented values of annual PV energy autoconsumption apply only to cooperation with a heat pump for heating purposes. The rest of the electric energy required for this issue should be taken from the power grid. The increased autoconsumption coefficient from the extra energy generated by PV can be used for other purposes. Further analyses in this research direction involve obtaining real-time energy consumption data of used devices.

Author Contributions

Conceptualization, K.T. and P.O.; Methodology, K.T.; Software, K.T.; Validation, K.T.; Formal analysis, K.T. and P.O.; Investigation, K.T. and P.O.; Resources, P.O.; Writing—original draft, K.T.; Funding acquisition, P.O. All authors have read and agreed to the published version of the manuscript.

Funding

This research has no external funding. The APC was funded by internal publication grant financed by Warsaw University of Life Sciences—SGGW, Nowoursynowska St. 166, 02-787 Warsaw, Poland.

Institutional Review Board Statement

The study did not require ethical approval.

Informed Consent Statement

Not applicable.

Data Availability Statement

Data are contained within the article.

Conflicts of Interest

The authors declare no conflict of interest.

References

  1. Directive 2010/31/EU of the European Parliament and of the Council of 19 May 2010 on the Energy Performance of Buildings. Available online: https://eur-lex.europa.eu/eli/dir/2010/31/oj (accessed on 12 March 2024).
  2. Directive (EU) 2023/1791 of the European Parliament and of the Council of 13 September 2023 on Energy Efficiency and Amending Regulation (EU) 2023/955. Available online: https://eur-lex.europa.eu/legal-content/EN/TXT/?uri=OJ%3AJOL_2023_231_R_0001 (accessed on 12 March 2024).
  3. Eurostat Energy Balances. Available online: https://ec.europa.eu/eurostat/cache/infographs/energy_balances/enbal.html (accessed on 13 March 2024).
  4. Regulation (EU) No 517/2014 of the European Parliament and of the Council of 16 April 2014 on Fluorinated Greenhouse Gases and Repealing Regulation (EC) No 842/2006 (OJ. EU L 150/195 of 20 May 2014). Available online: https://eur-lex.europa.eu/legal-content/EN/TXT/?uri=celex%3A32014R0517 (accessed on 13 March 2024).
  5. Polish Parliament Act on Substances That Deplete the Ozone Layer and on Some Fluorinated Greenhouse Gases. J. Laws 2015, Pos. 881. Available online: https://isap.sejm.gov.pl/isap.nsf/download.xsp/WDU20150000881/O/D20150881.pdf (accessed on 14 March 2024).
  6. Regulation of the European Parliament and of the Council on Fluorinated Greenhouse Gases, Amending Directive (EU) 2019/1937 and Repealing Regulation (EU) No 517/2014. Available online: https://eur-lex.europa.eu/legal-content/EN/TXT/?uri=CELEX%3A52022PC0150 (accessed on 14 March 2024).
  7. Perko, J.; Dugec, V.; Topic, D.; Sljivac, D.; Kovac, Z. Calculation and Design of the Heat Pumps. In Proceedings of the 2011 3rd International Youth Conference on Energetics (IYCE), Leiria, Portugal, 7–9 July 2011; pp. 1–7. [Google Scholar]
  8. Alla, S.A.; Bianco, V.; Marchitto, A.; Scarpa, F.; Tagliafico, L.A. Impact of the Utilization of Heat Pumps for Buildings Heating in the Italian Power Market. In Proceedings of the 2018 15th International Conference on the European Energy Market (EEM), Lodz, Poland, 27–29 June 2018; pp. 1–5. [Google Scholar]
  9. Nyers, J.M.; Nyers, Á.J. COP of Heating-Cooling System with Heat Pump. In Proceedings of the 2011 IEEE 3rd International Symposium on Exploitation of Renewable Energy Sources (EXPRES), Subotica, Serbia, 11–12 March 2011; pp. 17–21. [Google Scholar]
  10. Kocsis, K. A Heat Pump Strategy to Meet the Simultaneous Heating and Cooling Needs of a Multifunctional Office and Residential Building. In Proceedings of the 2022 8th International Youth Conference on Energy (IYCE), Eger, Hungary, 6–9 July 2022; pp. 1–5. [Google Scholar] [CrossRef]
  11. Peretti Correa, D.; Jelić, M.; Pujić, D.; Yousefi, S.; Keane, M.; Tomasevic, N. Autonomous Demand Response Control Using Heat Pumps in Residential and Commercial Buildings. In Proceedings of the 2022 30th Telecommunications Forum (TELFOR), Belgrade, Serbia, 15–16 November 2022; pp. 1–4. [Google Scholar]
  12. Pečjak, M.; Zupančič, J.; Lakić, E.; Gubina, A.F.; Mayer, E. Heat Pumps Associated with Thermal Energy Storages to Improve Network Utilization and Flexibility: The Case of Chrysa Xanthi, Greece. In Proceedings of the 2022 18th International Conference on the European Energy Market (EEM), Ljubljana, Slovenia, 13–15 September 2022; pp. 1–6. [Google Scholar]
  13. Dănuţ, P.M.; Marius, C.; Mihaela, C.; Luminiţa, F.-N.; Adrian, B.; Rareş, P.; Robert, O. Study on the Implementation of Heat Pumps for Home Heating with the Help of Solar Energy. In Proceedings of the 2023 17th International Conference on Engineering of Modern Electric Systems (EMES), Oradea, Romania, 9–10 June 2023; pp. 1–4. [Google Scholar]
  14. Brunner, M.; Tenbohlen, S.; Braun, M. Heat Pumps as Important Contributors to Local Demand-Side Management. In Proceedings of the 2013 IEEE Grenoble Conference, Grenoble, France, 16–20 June 2013; pp. 1–7. [Google Scholar]
  15. Pau, M.; Cremer, J.L.; Ponci, F.; Monti, A. Impact of Customers Flexibility in Heat Pumps Scheduling for Demand Side Management. In Proceedings of the 2017 IEEE International Conference on Environment and Electrical Engineering and 2017 IEEE Industrial and Commercial Power Systems Europe (EEEIC/I&CPS Europe), Milan, Italy, 6–9 June 2017; pp. 1–6. [Google Scholar]
  16. Anderson, A.; Stephen, B.; Telford, R.; McArthur, S. A Probabilistic Model for Characterising Heat Pump Electrical Demand versus Temperature. In Proceedings of the 2020 IEEE PES Innovative Smart Grid Technologies Europe (ISGT-Europe), The Hague, The Netherlands, 26–28 October 2020; pp. 1030–1034. [Google Scholar]
  17. Hlakotsa, J.S.; Lencwe, M.J.; Ngobeni, A.; Chowdhury, S.P.D. Energy Efficient Water Heating Using Air Source Heat Pumps. In Proceedings of the 2019 IEEE AFRICON, Accra, Ghana, 25–27 September 2019; pp. 1–6. [Google Scholar]
  18. Carter, T.E.; de Kock, J.A. Optimization of a Residential Heat Pump System. In Proceedings of the 2019 International Conference on the Domestic Use of Energy (DUE), Wellington, South Africa, 25–27 March 2019; pp. 1–6. [Google Scholar]
  19. Rimbala, J.; Kyncl, J. The Possibilities of Reducing Energy Consumption for the Preparation of Hot Water by Suitable Switching of the Heat Pump. In Proceedings of the 2020 21st International Scientific Conference on Electric Power Engineering (EPE), Prague, Czech Republic, 19–21 October 2020; pp. 1–4. [Google Scholar]
  20. Ji, J.; Pei, G.; Chow, T.; Liu, K.; He, H.; Lu, J.; Han, C. Experimental Study of Photovoltaic Solar Assisted Heat Pump System. Solar Energy 2008, 82, 43–52. [Google Scholar] [CrossRef]
  21. Ciesielka, E. Analiza Możliwości Współpracy Instalacji PV z Pompą Ciepła. [Analysis of the Possibility of Cooperation between a PV Installation and a Heat Pump]. Przegląd Elektrotechniczny 2021, 1, 145–147. [Google Scholar] [CrossRef]
  22. Kamel, R.S.; Fung, A.S.; Dash, P.R.H. Solar Systems and Their Integration with Heat Pumps: A Review. Energy Build. 2015, 87, 395–412. [Google Scholar] [CrossRef]
  23. Cai, J.; Ji, J.; Wang, Y.; Zhou, F.; Yu, B. A Novel PV/T-Air Dual Source Heat Pump Water Heater System: Dynamic Simulation and Performance Characterization. Energy Convers. Manag. 2017, 148, 635–645. [Google Scholar] [CrossRef]
  24. Ji, J.; Liu, K.; Chow, T.; Pei, G.; He, W.; He, H. Performance Analysis of a Photovoltaic Heat Pump. Appl. Energy 2008, 85, 680–693. [Google Scholar] [CrossRef]
  25. Fu, H.D.; Pei, G.; Ji, J.; Long, H.; Zhang, T.; Chow, T.T. Experimental Study of a Photovoltaic Solar-Assisted Heat-Pump/Heat-Pipe System. Appl. Therm. Eng. 2012, 40, 343–350. [Google Scholar] [CrossRef]
  26. Choi, H.-U.; Kim, Y.-B.; Son, C.-H.; Yoon, J.-I.; Choi, K.-H. Experimental Study on the Performance of Heat Pump Water Heating System Coupled with Air Type PV/T Collector. Appl. Therm. Eng. 2020, 178, 115427. [Google Scholar] [CrossRef]
  27. Chen, H.; Niu, H.; Zhang, L.; Xiong, Y.; Zhai, H.; Nie, J. Performance Testing of a Heat Pipe PV/T Heat Pump System under Different Working Modes. Int. J. Low-Carbon. Technol. 2018, 13, 177–183. [Google Scholar] [CrossRef]
  28. Bellos, E.; Tzivanidis, C.; Moschos, K.; Antonopoulos, K.A. Energetic and Financial Evaluation of Solar Assisted Heat Pump Space Heating Systems. Energy Convers. Manag. 2016, 120, 306–319. [Google Scholar] [CrossRef]
  29. Mohanraj, M.; Belyayev, Y.; Jayaraj, S.; Kaltayev, A. Research and Developments on Solar Assisted Compression Heat Pump Systems—A Comprehensive Review (Part A: Modeling and Modifications). Renew. Sustain. Energy Rev. 2018, 83, 90–123. [Google Scholar] [CrossRef]
  30. Salpakari, J.; Lund, P. Optimal and Rule-Based Control Strategies for Energy Flexibility in Buildings with PV. Appl. Energy 2016, 161, 425–436. [Google Scholar] [CrossRef]
  31. Junghans, L. Evaluation of the Economic and Environmental Feasibility of Heat Pump Systems in Residential Buildings, with Varying Qualities of the Building Envelope. Renew. Energy 2015, 76, 699–705. [Google Scholar] [CrossRef]
  32. Franco, A.; Fantozzi, F. Experimental Analysis of a Self Consumption Strategy for Residential Building: The Integration of PV System and Geothermal Heat Pump. Renew. Energy 2016, 86, 1075–1085. [Google Scholar] [CrossRef]
  33. Arteconi, A.; Ciarrocchi, E.; Pan, Q.; Carducci, F.; Comodi, G.; Polonara, F.; Wang, R. Thermal Energy Storage Coupled with PV Panels for Demand Side Management of Industrial Building Cooling Loads. Appl. Energy 2017, 185, 1984–1993. [Google Scholar] [CrossRef]
  34. Beck, T.; Kondziella, H.; Huard, G.; Bruckner, T. Optimal Operation, Configuration and Sizing of Generation and Storage Technologies for Residential Heat Pump Systems in the Spotlight of Self-Consumption of Photovoltaic Electricity. Appl. Energy 2017, 188, 604–619. [Google Scholar] [CrossRef]
  35. Niederhäuser, E.-L.; Huguelet, N.; Rouge, M.; Guiol, P.; Orlando, D. Novel Approach for Heating/Cooling Systems for Buildings Based on Photovoltaic-Heat Pump: Concept and Evaluation. Energy Procedia 2015, 70, 480–485. [Google Scholar] [CrossRef]
  36. Zhou, J.; Zhao, X.; Ma, X.; Qiu, Z.; Ji, J.; Du, Z.; Yu, M. Experimental Investigation of a Solar Driven Direct-Expansion Heat Pump System Employing the Novel PV/Micro-Channels-Evaporator Modules. Appl. Energy 2016, 178, 484–495. [Google Scholar] [CrossRef]
  37. Xu, G.; Deng, S.; Zhang, X.; Yang, L.; Zhang, Y. Simulation of a Photovoltaic/Thermal Heat Pump System Having a Modified Collector/Evaporator. Solar Energy 2009, 83, 1967–1976. [Google Scholar] [CrossRef]
  38. Protopapadaki, C.; Saelens, D. Heat Pump and PV Impact on Residential Low-Voltage Distribution Grids as a Function of Building and District Properties. Appl. Energy 2017, 192, 268–281. [Google Scholar] [CrossRef]
  39. Zhang, Q.; Tezuka, T.; Ishihara, K.N.; Mclellan, B.C. Integration of PV Power into Future Low-Carbon Smart Electricity Systems with EV and HP in Kansai Area, Japan. Renew. Energy 2012, 44, 99–108. [Google Scholar] [CrossRef]
  40. Fischer, D.; Madani, H. On Heat Pumps in Smart Grids: A Review. Renew. Sustain. Energy Rev. 2017, 70, 342–357. [Google Scholar] [CrossRef]
  41. Bakker, M.; Zondag, H.A.; Elswijk, M.J.; Strootman, K.J.; Jong, M.J.M. Performance and Costs of a Roof-Sized PV/Thermal Array Combined with a Ground Coupled Heat Pump. Solar Energy 2005, 78, 331–339. [Google Scholar] [CrossRef]
  42. Milan, C.; Bojesen, C.; Nielsen, M.P. A Cost Optimization Model for 100% Renewable Residential Energy Supply Systems. Energy 2012, 48, 118–127. [Google Scholar] [CrossRef]
  43. Hepbasli, A. A Key Review on Exergetic Analysis and Assessment of Renewable Energy Resources for a Sustainable Future. Renew. Sustain. Energy Rev. 2008, 12, 593–661. [Google Scholar] [CrossRef]
  44. Szul, T. Ewaluacja Efektywności Energetyczno-Ekonomicznej Wybranych Systemów Grzewczych Wykorzystujących Energię Elektryczną. Przegląd Elektrotechniczny 2022, 98, 250–253. [Google Scholar] [CrossRef]
  45. Poppi, S.; Sommerfeldt, N.; Bales, C.; Madani, H.; Lundqvist, P. Techno-Economic Review of Solar Heat Pump Systems for Residential Heating Applications. Renew. Sustain. Energy Rev. 2018, 81, 22–32. [Google Scholar] [CrossRef]
  46. Official Government Data Discovered by Ministry of Investment and Development in Poland: “Data for Energy Calculations of Builduings”. Available online: https://www.Gov.Pl/Web/Archiwum-Inwestycje-Rozwoj/Dane-Do-Obliczen-Energetycznych-Budynkow (accessed on 4 March 2024).
  47. Zogou, O.; Stamatelos, A. Effect of Climatic Conditions on the Design Optimization of Heat Pump Systems for Space Heating and Cooling. Energy Convers. Manag. 1998, 39, 609–622. [Google Scholar] [CrossRef]
  48. Zogou, O.; Stamatelos, A. Optimization of Thermal Performance of a Building with Ground Source Heat Pump System. Energy Convers. Manag. 2007, 48, 2853–2863. [Google Scholar] [CrossRef]
Figure 1. Schematic diagram of the refrigeration system of the high-temperature two-stage heat pump.
Figure 1. Schematic diagram of the refrigeration system of the high-temperature two-stage heat pump.
Sustainability 16 03797 g001
Figure 2. Working envelope of the first-stage compressor of a high-temperature heat pump operating with R290 refrigerant.
Figure 2. Working envelope of the first-stage compressor of a high-temperature heat pump operating with R290 refrigerant.
Sustainability 16 03797 g002
Figure 3. Operating envelope of the first-stage compressor of a high-temperature heat pump operating with R1234ze(e) refrigerant.
Figure 3. Operating envelope of the first-stage compressor of a high-temperature heat pump operating with R1234ze(e) refrigerant.
Sustainability 16 03797 g003
Figure 4. (a) Cooling power of first stage as a function of the refrigerant saturation temperature. (b) Top view.
Figure 4. (a) Cooling power of first stage as a function of the refrigerant saturation temperature. (b) Top view.
Sustainability 16 03797 g004
Figure 5. (a) Heating power of first stage as a function of refrigerant saturation temperature. (b) Top view.
Figure 5. (a) Heating power of first stage as a function of refrigerant saturation temperature. (b) Top view.
Sustainability 16 03797 g005
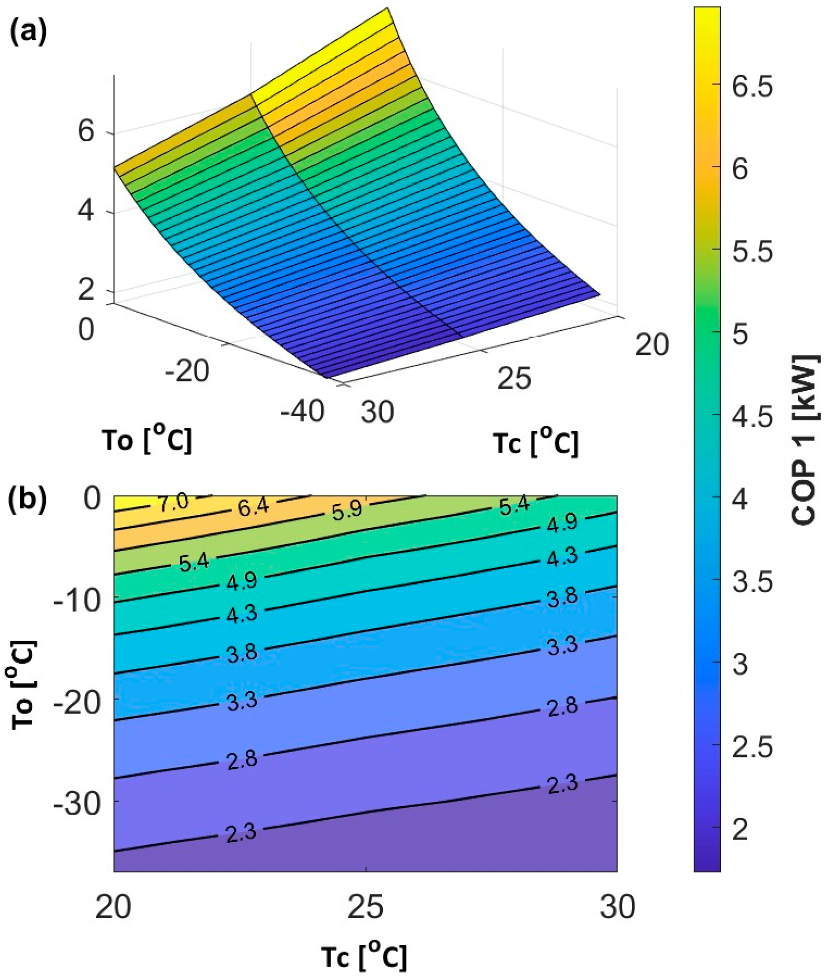
Figure 6. (a) First-stage COP as a function of refrigerant saturation temperature. (b) Top view.
Figure 6. (a) First-stage COP as a function of refrigerant saturation temperature. (b) Top view.
Sustainability 16 03797 g006
Figure 7. (a) First-stage compressor power as a function of refrigerant saturation temperature. (b) Top view.
Figure 7. (a) First-stage compressor power as a function of refrigerant saturation temperature. (b) Top view.
Sustainability 16 03797 g007
Figure 8. (a) Cooling power of the second stage as a function of the refrigerant saturation temperature. (b) Top view.
Figure 8. (a) Cooling power of the second stage as a function of the refrigerant saturation temperature. (b) Top view.
Sustainability 16 03797 g008
Figure 9. (a) Heating power of second stage as a function of refrigerant saturation temperature. (b) Top view.
Figure 9. (a) Heating power of second stage as a function of refrigerant saturation temperature. (b) Top view.
Sustainability 16 03797 g009
Figure 10. (a) Second-stage COP as a function of refrigerant saturation temperature. (b) Top view.
Figure 10. (a) Second-stage COP as a function of refrigerant saturation temperature. (b) Top view.
Sustainability 16 03797 g010
Figure 11. (a) Second-stage compressor power as a function of refrigerant saturation temperature. (b) Top view.
Figure 11. (a) Second-stage compressor power as a function of refrigerant saturation temperature. (b) Top view.
Sustainability 16 03797 g011
Figure 12. Monthly average dry bulb thermometer temperatures in the analysed cities.
Figure 12. Monthly average dry bulb thermometer temperatures in the analysed cities.
Sustainability 16 03797 g012
Figure 13. Minimum monthly dry bulb thermometer temperatures in the analysed cities.
Figure 13. Minimum monthly dry bulb thermometer temperatures in the analysed cities.
Sustainability 16 03797 g013
Figure 14. Maximum monthly dry bulb thermometer temperatures in the cities analysed cities.
Figure 14. Maximum monthly dry bulb thermometer temperatures in the cities analysed cities.
Sustainability 16 03797 g014
Figure 15. Histogram of temperature distribution for Suwałki.
Figure 15. Histogram of temperature distribution for Suwałki.
Sustainability 16 03797 g015
Figure 16. Histogram of temperature distribution for Warsaw.
Figure 16. Histogram of temperature distribution for Warsaw.
Sustainability 16 03797 g016
Figure 17. Histogram of temperature distribution for Wrocław.
Figure 17. Histogram of temperature distribution for Wrocław.
Sustainability 16 03797 g017
Figure 18. View of the simulation model in Matlab-Simulink 2022b.
Figure 18. View of the simulation model in Matlab-Simulink 2022b.
Sustainability 16 03797 g018
Figure 19. Required heating power of the building.
Figure 19. Required heating power of the building.
Sustainability 16 03797 g019
Figure 20. PV system of 1.55 kWp.
Figure 20. PV system of 1.55 kWp.
Sustainability 16 03797 g020
Figure 21. (a) Values of the power generated by the PV system every 15 min for a whole year. (b) Calculated value of energy generated by the PV system for a whole year.
Figure 21. (a) Values of the power generated by the PV system every 15 min for a whole year. (b) Calculated value of energy generated by the PV system for a whole year.
Sustainability 16 03797 g021
Figure 22. Annual PV energy production (blue waveform) with indication of Criteria 1 and 2.
Figure 22. Annual PV energy production (blue waveform) with indication of Criteria 1 and 2.
Sustainability 16 03797 g022
Figure 23. Control criterion 1.
Figure 23. Control criterion 1.
Sustainability 16 03797 g023
Figure 24. Control criterion 2.
Figure 24. Control criterion 2.
Sustainability 16 03797 g024
Figure 25. Waveforms of key parameters throughout the year.
Figure 25. Waveforms of key parameters throughout the year.
Sustainability 16 03797 g025
Figure 26. Waveforms of key parameters of the system at severe frost temperatures of −10 °C to −18 °C.
Figure 26. Waveforms of key parameters of the system at severe frost temperatures of −10 °C to −18 °C.
Sustainability 16 03797 g026
Figure 27. Waveforms of key parameters of the system at annual average temperatures of 7 °C to 8.5 °C.
Figure 27. Waveforms of key parameters of the system at annual average temperatures of 7 °C to 8.5 °C.
Sustainability 16 03797 g027
Table 1. Values of annual average temperatures in the analysed locations.
Table 1. Values of annual average temperatures in the analysed locations.
Location Average Annual
Temperatures [°C]
Minimum Average
Temperatures [°C]
Maximum Average
Temperatures [°C]
Suwałki6.3−5.316.1
Warsaw8.2−1.219.2
Wrocław8.1−1.117.8
Table 2. Most common temperatures in Wroclaw.
Table 2. Most common temperatures in Wroclaw.
Temperature Range [°C]Total Duration [h]
0–1415
1–2414
2–3392
3–4372
4–5366
10–11397
11–12432
12–13410
13–14402
Table 3. Heating energy values during the heating season.
Table 3. Heating energy values during the heating season.
Location Total Heating Energy Values
during Heating Season [kWh]
1 m2 Heating Energy [kWh/m2]
Suwałki614030.7
Warsaw525926.3
Wrocław517425.9
Table 4. Energy values and self-consumption rates of PV energy.
Table 4. Energy values and self-consumption rates of PV energy.
Location Total Energy for Compressor Supply [kWh]Energy from PV for Compressor Supply [kWh]Self-Consumption
Factor [%]
Suwałki336457016.94
Warsaw258848618.77
Wrocław253848218.99
Table 5. Total thermal energy in the heating season and average SCOP with and without a PV system.
Table 5. Total thermal energy in the heating season and average SCOP with and without a PV system.
Location Thermal Energy for Heating the Building [kWh]SCOP without PV System
[-]
SCOP with PV System
[-]
Suwałki61401.8252.197
Warsaw52592.0322.502
Wrocław51742.0382.516
Disclaimer/Publisher’s Note: The statements, opinions and data contained in all publications are solely those of the individual author(s) and contributor(s) and not of MDPI and/or the editor(s). MDPI and/or the editor(s) disclaim responsibility for any injury to people or property resulting from any ideas, methods, instructions or products referred to in the content.

Share and Cite

MDPI and ACS Style

Tomczuk, K.; Obstawski, P. Analysis of the Cooperation of a Compressor Heat Pump with a PV System. Sustainability 2024, 16, 3797. https://doi.org/10.3390/su16093797

AMA Style

Tomczuk K, Obstawski P. Analysis of the Cooperation of a Compressor Heat Pump with a PV System. Sustainability. 2024; 16(9):3797. https://doi.org/10.3390/su16093797

Chicago/Turabian Style

Tomczuk, Krzysztof, and Paweł Obstawski. 2024. "Analysis of the Cooperation of a Compressor Heat Pump with a PV System" Sustainability 16, no. 9: 3797. https://doi.org/10.3390/su16093797

APA Style

Tomczuk, K., & Obstawski, P. (2024). Analysis of the Cooperation of a Compressor Heat Pump with a PV System. Sustainability, 16(9), 3797. https://doi.org/10.3390/su16093797

Note that from the first issue of 2016, this journal uses article numbers instead of page numbers. See further details here.

Article Metrics

Back to TopTop