Research on Logistics Cooperation Strategy of the Retailer and the Platform Based on Paid Membership System
Abstract
1. Introduction
- (1)
- Whether to cooperate with the e-commerce platform in logistics services?
- (2)
- How does membership service affect the decision of the platform and the retailer?
- (3)
- For the whole market, what would be a balanced cooperation strategy with a win–win outcome?
2. Literature Review
3. Model
3.1. Model Framework
- (1)
- Basic-service contract: The platform only provides a marketplace [47,48,49], which means the retailer sells products on the platform by paying a commission fee. The platform is only used as an intermediary between the retailer and consumers. A TPLS needs to be selected that is in charge of picking up, packaging, and terminal distribution.
- (2)
- Full-service contract: The platform not only serves as an intermediary, but also provides one-stop logistics services, including picking up, packaging, and terminal distribution, for an online retailer. And the retailer is also required to pay a commission fee.
3.2. Timeline
4. Results and Analysis
4.1. Basic-Service Contract
- (a)
- , , .
- (b)
- If , then . If , there is . If , then .
- (a)
- , ;
- (b)
- If and , then , .
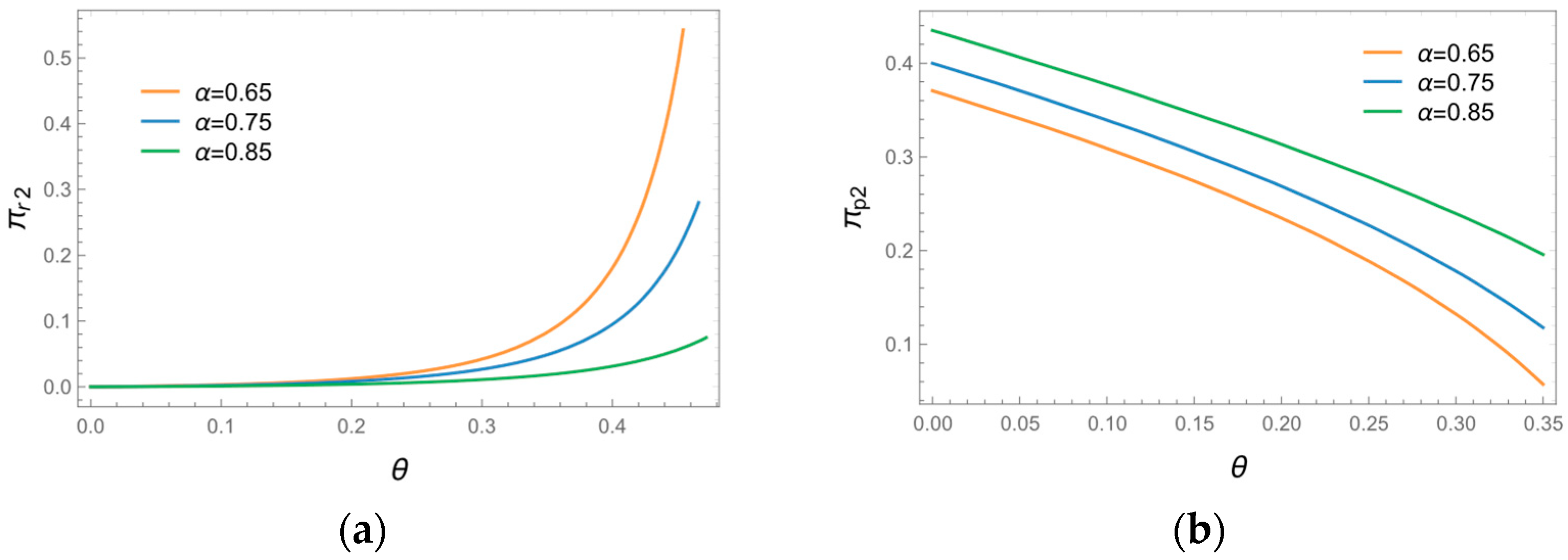
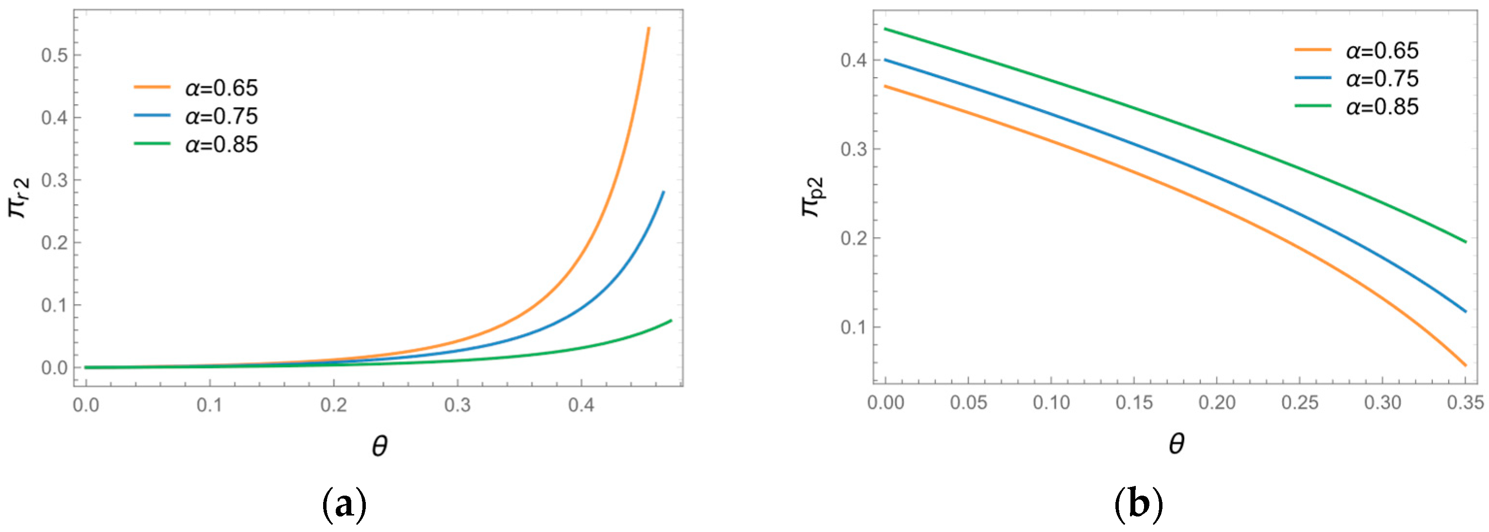
4.2. Full-Service Contract
- (a)
- , , , .
- (b)
- , .
- (a)
- If and , then , , , .
- (b)
- If and , then , .
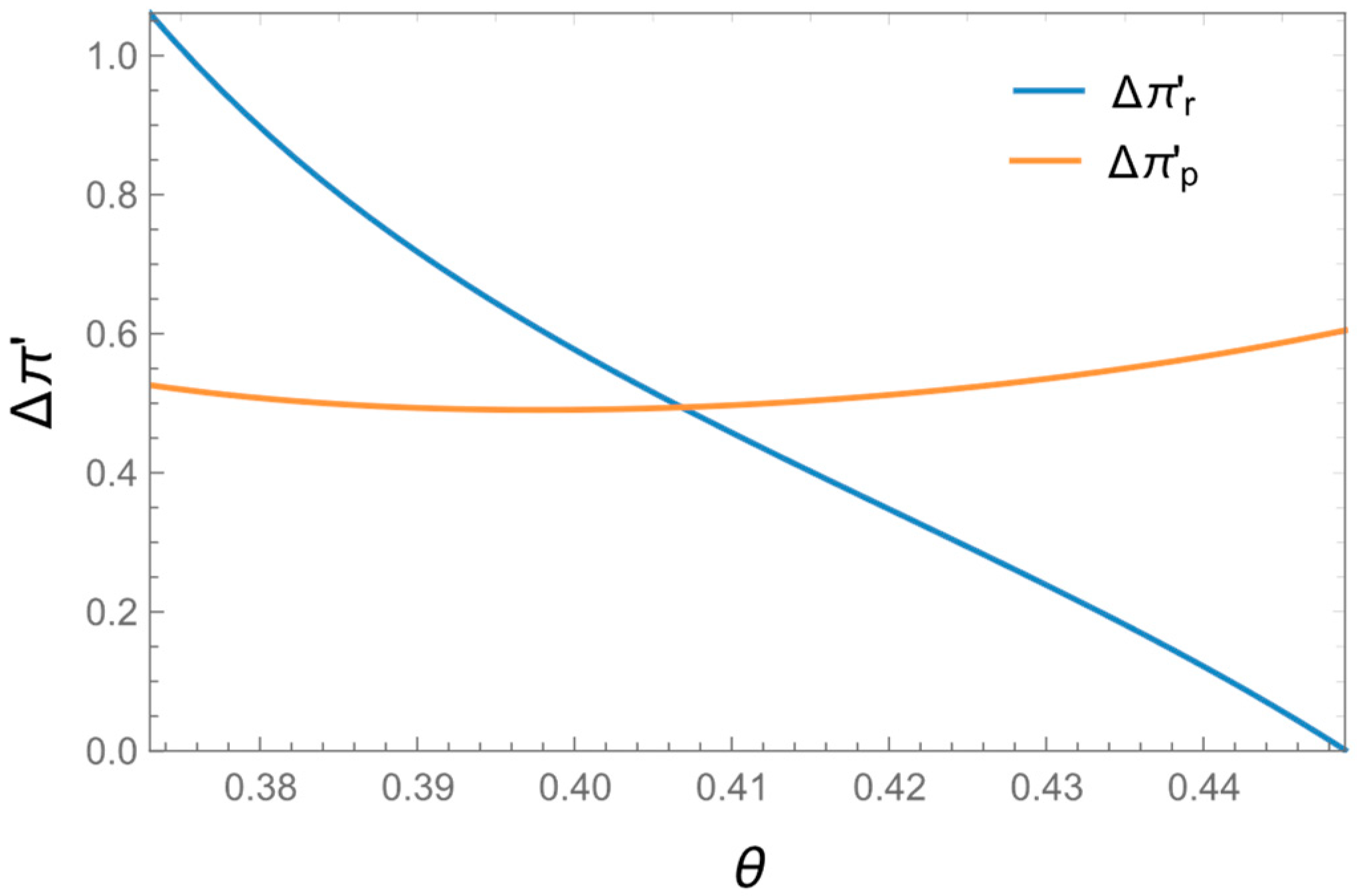
5. Win–Win Range
6. Extended Model
6.1. Self-Delivery
- If or , then . If , then .
- If , then . If , then .
- When , the basic-service contract is the win–win situation.
6.2. Centralized Decision
7. Conclusions
7.1. Key Findings
7.2. Managerial Implications
7.3. Limitations and Future Research
Author Contributions
Funding
Institutional Review Board Statement
Informed Consent Statement
Data Availability Statement
Conflicts of Interest
Appendix A
References
- CompaniesMarketcap. Revenue for Amazon. 2023. Available online: https://companiesmarketcap.com/amazon/revenue (accessed on 15 April 2024).
- Lee, J.-Y.; Fang, E.; Kim, J.J.; Li, X.; Palmatier, R.W. The Effect of Online Shopping Platform Strategies on Search, Display, and Membership Revenues. J. Retail. 2018, 94, 247–264. [Google Scholar] [CrossRef]
- Cuofano, G. Amazon Prime Revenue. 2023. Available online: https://fourweekmba.com/amazon-prime-revenue/ (accessed on 15 April 2024).
- Li, Y.; Li, B.; Zheng, W.; Chen, X. Reveal or hide? Impact of demonstration on pricing decisions considering showrooming behavior. Omega 2020, 102, 102329. [Google Scholar] [CrossRef]
- Chen, P.; Zhao, R.; Yan, Y.; Li, X. Promotional pricing and online business model choice in the presence of retail competition. Omega 2020, 94, 102085. [Google Scholar] [CrossRef]
- Söderlund, M.; Colliander, J. Loyalty program rewards and their impact on perceived justice, customer satisfaction, and repatronize intentions. J. Retail. Consum. Serv. 2015, 25, 47–57. [Google Scholar] [CrossRef]
- Kidron, E. In-Depth Report: Jd Plus: A Virtual Club That Gives You Privileges. 2020. Available online: https://jdcorporateblog.com/in-depth-report-jd-plus-a-virtual-club-that-gives-you-privileges/ (accessed on 15 April 2024).
- Agarwal, R.; Mehrotra, A.; Misra, D. Customer happiness as a function of perceived loyalty program benefits—A quantile regression approach. J. Retail. Consum. Serv. 2022, 64, 102770. [Google Scholar] [CrossRef]
- Xu, M.; Tang, W.; Zhao, R. Should reputable e-retailers undertake service activities along with sales? J. Retail. Consum. Serv. 2023, 74, 103427. [Google Scholar] [CrossRef]
- Amazon. Fba: Let Amazon Pick, Pack, and Ship Your Orders. 2022. Available online: https://sell.amazon.com/fulfillment-by-amazon (accessed on 15 April 2024).
- Amalyze. Fbm–Fulfillment by Merchant–Selling on Amazon. 2022. Available online: https://www.amalyze.com/en/glossar/fbm-fulfillment-by-merchant-selling-on-amazon/ (accessed on 15 April 2024).
- Niu, B.; Li, Q.; Mu, Z.; Chen, L.; Ji, P. Platform logistics or self-logistics? Restaurants’ cooperation with online food-delivery platform considering profitability and sustainability. Int. J. Prod. Econ. 2021, 234, 108064. [Google Scholar] [CrossRef]
- Qin, X.; Liu, Z.; Tian, L. The strategic analysis of logistics service sharing in an e-commerce platform. Omega 2020, 92, 102153. [Google Scholar] [CrossRef]
- Tan, X.; Tan, Y.; Ho, Y.-C. Money maker or money loser? The dilemma of membership free shipping. SSRN. Electron. J. 2016. [Google Scholar] [CrossRef]
- Lin, S. Two-sided price discrimination by media platforms. Market. Sci. 2020, 39, 317–338. [Google Scholar] [CrossRef]
- Ho, Y.-C.; Ho, Y.-J.; Tan, Y. Online cash-back shopping: Implications for consumers and e-businesses. Inf. Syst. Res. 2017, 28, 250–264. [Google Scholar] [CrossRef]
- Balakrishnan, J.; Foroudi, P.; Dwivedi, Y.K. Does online retail coupons and memberships create favourable psychological disposition? J. Bus. Res. 2020, 116, 229–244. [Google Scholar] [CrossRef]
- Song, J.-D. Temporal price reduction as cooperative price discrimination. Asia Mark. J. 2010, 12, 135–154. [Google Scholar]
- Li, J.; Huddleston, P.; Minahan, S. International retail format transfer: A comparison study of Australian and U.S. Warehouse club members. J. Retail. Consum. Serv. 2021, 59, 102358. [Google Scholar] [CrossRef]
- Zhang, K.; Li, H.; Liu, W. Competition in two-sided platforms considering agent’s satisfaction. J. Manage. Sci. China 2017, 20, 42–63. [Google Scholar]
- Tang, Y.; Chen, R.R.; Guan, X. Daily-deal market with consumer retention: Price discrimination or quality differentiation. Omega 2021, 102, 102330. [Google Scholar] [CrossRef]
- Esteves, R.B.; Resende, J. Personalized pricing and advertising: Who are the winners? Int. J. Ind. Organ. 2019, 63, 239–282. [Google Scholar] [CrossRef]
- Kung, L.-C.; Zhong, G.-Y. The optimal pricing strategy for two-sided platform delivery in the sharing economy. Transp. Res. E Logist. Transp. Rev. 2017, 101, 1–12. [Google Scholar] [CrossRef]
- Leng, M.; Becerril-Arreola, R. Joint pricing and contingent free-shipping decisions in b2c transactions. Prod. Oper. Manag. 2010, 19, 390–405. [Google Scholar] [CrossRef]
- Wang, L.; Li, Y.; Zhang, K. Pricing strategy of financial super-market based on two-sided markets. Oper. Res. Manag. Sci. 2014, 23, 157–162. [Google Scholar]
- Wang, X.; Wei, H. Optimal price discrimination strategies in reward-based crowdfunding. Chin. J. Manag. Sci. 2021, 29, 129–137. [Google Scholar]
- Dan, B.; Ding, X. Price discrimination policy for remanufactured products based on customer segment. J. Sys. Eng. 2011, 26, 515–523. [Google Scholar]
- Massari, G.F.; Giannoccaro, I. Investigating the effect of horizontal coopetition on supply chain resilience in complex and turbulent environments. Int. J. Prod. Econ. 2021, 237, 108150. [Google Scholar] [CrossRef]
- Lin, X.; Sun, C.; Cao, B.; Zhou, Y.-W.; Chen, C. Should ride-sharing platforms cooperate with car-rental companies? Implications for consumer surplus and driver surplus. Omega 2021, 102, 102309. [Google Scholar] [CrossRef]
- Zhang, J.; Gou, Q.; Liang, L.; Huang, Z. Supply chain coordination through cooperative advertising with reference price effect. Omega 2013, 41, 345–353. [Google Scholar] [CrossRef]
- Ritter, M.; Schanz, H. The sharing economy: A comprehensive business model framework. J. Clean Prod. 2019, 213, 320–331. [Google Scholar] [CrossRef]
- Li, Q.; Wang, Q.; Song, P. Third-party sellers’ product entry strategy and its sales impact on a hybrid retail platform. Electron. Commer. Res. Appl. 2021, 47, 101049. [Google Scholar] [CrossRef]
- Bian, Y.; Cui, Y.; Yan, S.; Han, X. Optimal strategy of a customer-to-customer sharing platform: Whether to launch its own sharing service? Transp. Res. E Logist. Transp. Rev. 2021, 149, 102288. [Google Scholar] [CrossRef]
- Xia, J.; Niu, W. A perspective on supplier encroachment in the era of e-commerce. Electron. Commer. Res. Appl. 2020, 40, 100924. [Google Scholar] [CrossRef]
- Li, D.; Liu, Y.; Hu, J.; Chen, X. Private-brand introduction and investment effect on online platform-based supply chains. Transp. Res. E Logist. Transp. Rev. 2021, 155, 102494. [Google Scholar] [CrossRef]
- Zhang, Z.; Song, H.; Gu, X.; Shi, V.; Zhu, J. How to compete with a supply chain partner: Retailer’s store brand vs. Manufacturer’s encroachment. Omega 2021, 103, 102412. [Google Scholar] [CrossRef]
- Chen, X.; Luo, Z.; Wang, X. Compete or cooperate: Intensity, dynamics, and optimal strategies. Omega 2019, 86, 76–86. [Google Scholar] [CrossRef]
- Sun, Y.; Liu, J. Platform sharing: From reseller to marketplace. Electron. Commer. Res. Appl. 2021, 48, 101067. [Google Scholar] [CrossRef]
- Xu, S.; Hao, A. Understanding the impact of national culture on firms’ benefit-seeking behaviors in international b2b relationships: A conceptual model and research propositions. J. Bus. Res. 2021, 130, 27–37. [Google Scholar] [CrossRef]
- Hwang, E.H.; Nageswaran, L.; Cho, S.-H. Value of online–off-line return partnership to off-line retailers. Manuf. Serv. Oper. Manag. 2021, 24, 1630–1649. [Google Scholar] [CrossRef]
- Tian, F.; Sosic, G.; Debo, L. Manufacturers’ competition and cooperation in sustainability: Stable recycling alliances. Manag. Sci. 2019, 65, 4733–4753. [Google Scholar] [CrossRef]
- Kim, G.; Wang, W.; Ha, H.-K. Pricing strategy for own shipping service of e-commerce platform using two-sided market theory. Electron. Commer. Res. Appl. 2021, 49, 101088. [Google Scholar] [CrossRef]
- Zhang, Y.; Huang, M.; Tian, L.; Jin, D.; Cai, G. Build or join a sharing platform? The choice of manufacturer’s sharing mode. Int. J. Prod. Econ. 2021, 231, 107811. [Google Scholar] [CrossRef]
- He, P.; Zhang, S.; He, C. Impacts of logistics resource sharing on b2c e-commerce companies and customers. Electron. Commer. Res. Appl. 2019, 34, 100820. [Google Scholar] [CrossRef]
- Niu, B.; Xie, F.; Chen, L.; Xu, X. Join logistics sharing alliance or not? Incentive analysis of competing e-commerce firms with promised-delivery-time. Int. J. Prod. Econ. 2019, 224, 107553. [Google Scholar] [CrossRef]
- Choi, T.-M.; Guo, S.; Liu, N.; Shi, X. Values of food leftover sharing platforms in the sharing economy. Int. J. Prod. Econ. 2019, 213, 23–31. [Google Scholar] [CrossRef]
- Hagiu, A.; Wright, J. Marketplace or reseller? Manag. Sci. 2015, 61, 184–203. [Google Scholar] [CrossRef]
- Kwark, Y.; Chen, J.; Raghunathan, S. Platform or wholesale? A strategic tool for online retailers to benefit from third-party information. MIS Q. 2017, 41, 763–785. [Google Scholar] [CrossRef]
- Zennyo, Y. Strategic contracting and hybrid use of agency and wholesale contracts in e-commerce platforms. Eur. J. Oper. Res. 2020, 281, 231–239. [Google Scholar] [CrossRef]
- Sun, G.; Cavusoglu, H.; Raghunathan, S. Value of membership-based free shipping in online retailing: Impact of upstream pricing model. Prod. Oper. Manag. 2022, 31, 4131–4153. [Google Scholar] [CrossRef]
- Kim, J. Platform quality factors influencing content providers’ loyalty. J. Retail. Consum. Serv. 2021, 60, 102510. [Google Scholar] [CrossRef]
- Laubscher, H. Is Alibaba’s 88vip Loyalty Program the Final Straw for Competitors? 2018. Available online: https://www.forbes.com/sites/hendriklaubscher/2018/08/14/is-alibabas-88vip-loyalty-program-the-final-straw-for-competitors/?sh=729759232a3e (accessed on 15 April 2024).
- Xu, M.; Tang, W.; Zhou, C. Procurement strategies of e-retailers under different logistics distributions with quality- and service-dependent demand. Electron. Commer. Res. Appl. 2019, 35, 100853. [Google Scholar] [CrossRef]







| Niu et al. [12] | Qin et al. [13] | Choi et al. [46] | Kung et al. [23] | This Study | |
|---|---|---|---|---|---|
| E-commerce platform with logistic service | |||||
| Cooperative relationship | |||||
| Membership mechanism |
| Symbol | Descriptions |
|---|---|
| Index | |
| 1 for the basic service and 2 for the full service | |
| j = r, p | r for the retailer, p for the platform |
| Variable | |
| Consumers’ perceived value | |
| The unit sales price | |
| w | The unit wholesale price |
| The net sales profit for i contract | |
| Membership fee of unit period for i contract | |
| Unit product logistics fee of TPLS | |
| k | Unit product logistics fee of platform |
| Commission fee of retailer for i contract | |
| Membership service quality parameter | |
| Proportion of high-demand consumer | |
| Profit of j for i contract |
| Types | Total Demand | High-Demand | Low-Demand |
|---|---|---|---|
| Members | |||
| Non-members |
| Variable | Basic-Service Contract |
|---|---|
Disclaimer/Publisher’s Note: The statements, opinions and data contained in all publications are solely those of the individual author(s) and contributor(s) and not of MDPI and/or the editor(s). MDPI and/or the editor(s) disclaim responsibility for any injury to people or property resulting from any ideas, methods, instructions or products referred to in the content. |
© 2024 by the authors. Licensee MDPI, Basel, Switzerland. This article is an open access article distributed under the terms and conditions of the Creative Commons Attribution (CC BY) license (https://creativecommons.org/licenses/by/4.0/).
Share and Cite
Wu, J.; Hu, L.; He, X.; Zheng, X. Research on Logistics Cooperation Strategy of the Retailer and the Platform Based on Paid Membership System. Sustainability 2024, 16, 3368. https://doi.org/10.3390/su16083368
Wu J, Hu L, He X, Zheng X. Research on Logistics Cooperation Strategy of the Retailer and the Platform Based on Paid Membership System. Sustainability. 2024; 16(8):3368. https://doi.org/10.3390/su16083368
Chicago/Turabian StyleWu, Jiang, Linxiu Hu, Xiuli He, and Xi Zheng. 2024. "Research on Logistics Cooperation Strategy of the Retailer and the Platform Based on Paid Membership System" Sustainability 16, no. 8: 3368. https://doi.org/10.3390/su16083368
APA StyleWu, J., Hu, L., He, X., & Zheng, X. (2024). Research on Logistics Cooperation Strategy of the Retailer and the Platform Based on Paid Membership System. Sustainability, 16(8), 3368. https://doi.org/10.3390/su16083368

