Sign in to use this feature.

Years

Between: -

Subjects

remove_circle_outline
remove_circle_outline
remove_circle_outline
remove_circle_outline
remove_circle_outline
remove_circle_outline
remove_circle_outline
remove_circle_outline
remove_circle_outline

Journals

remove_circle_outline
remove_circle_outline
remove_circle_outline
remove_circle_outline
remove_circle_outline
remove_circle_outline
remove_circle_outline
remove_circle_outline
remove_circle_outline
remove_circle_outline
remove_circle_outline
remove_circle_outline
remove_circle_outline
remove_circle_outline
remove_circle_outline
remove_circle_outline
remove_circle_outline
remove_circle_outline
remove_circle_outline
remove_circle_outline
remove_circle_outline
remove_circle_outline
remove_circle_outline
remove_circle_outline
remove_circle_outline
remove_circle_outline
remove_circle_outline
remove_circle_outline
remove_circle_outline
remove_circle_outline
remove_circle_outline

Article Types

Countries / Regions

remove_circle_outline
remove_circle_outline
remove_circle_outline
remove_circle_outline
remove_circle_outline
remove_circle_outline
remove_circle_outline
remove_circle_outline

Search Results (3,450)

Search Parameters:
Keywords = cooperation strategy

Order results
Result details
Results per page
Select all
Export citation of selected articles as:
20 pages, 2629 KB  
Article
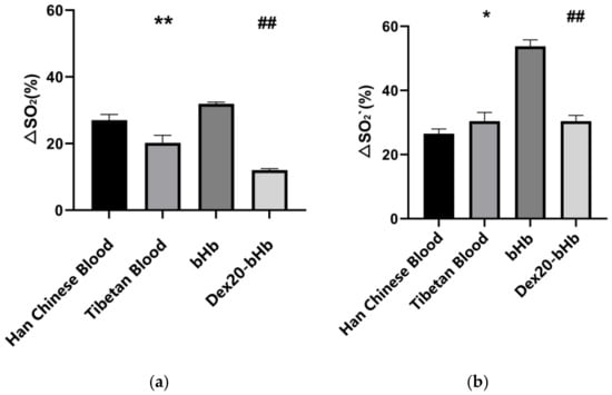
Simulated Oxygen Supply Efficiency Assessment to Represent Stored Red Blood Cells Quality
by Zongtang Chu, Guoxing You, Weidan Li, Peilin Shu, Dong Qin, Lian Zhao, Hong Zhou and Ying Wang
Life 2026, 16(2), 205; https://doi.org/10.3390/life16020205 - 26 Jan 2026
Abstract
Hemolysis rate is usually used as the acceptance criterion for stored red blood cells (RBCs) in clinical practice. However, there is a current lack of parameters for the characterization of hemoglobin quality. This study aimed to incorporate oxygen affinity, cooperativity, and the Bohr [...] Read more.
Hemolysis rate is usually used as the acceptance criterion for stored red blood cells (RBCs) in clinical practice. However, there is a current lack of parameters for the characterization of hemoglobin quality. This study aimed to incorporate oxygen affinity, cooperativity, and the Bohr effect into a parameter system to monitor oxygen supply efficiency in stored RBCs, potentially serving as a basis for quality assessment. Han Chinese blood from plains, Tibetan blood from plateau, bovine hemoglobin (bHb), and a dextran–bovine hemoglobin conjugate (Dex20-bHb) were analyzed using the BLOODOX-2018. Oxygen affinity (P50) was determined by oxygen dissociation curves (ODCs) at pH = 7.4. Cooperativity was assessed through the Hill coefficient, calculated from the fitting range of the Hill equation. The Bohr effect was evaluated by the acid-base sensitivity index (SI) under simulated pH conditions of the lungs (pH = 7.6) and tissues (pH = 7.2) to calculate corresponding P50 values. Oxygen partial pressures (PO2) simulating lungs (PO2 = 100 mmHg for plains and 60 mmHg for plateau) and tissues (PO2 = 40 mmHg for plains and 30 mmHg for plateau) were used to calculate theoretical oxygen-release capacities in both environments. Multiple regression analysis explored relationships among parameters, constructing a system to assess changes in rat RBCs during storage. Optimized test methods determined P50, Hill coefficient, SI, and theoretical oxygen-release capacities for Han Chinese blood, Tibetan blood, bHb, and Dex20-bHb samples in various environments. We constructed a parameter system to characterize blood’s oxygen supply efficiency, revealing the significant influence of the Bohr effect. This influence varied with environmental changes in oxygen affinity. We validated the system using stored rat RBCs, finding consistent P50 trends with predictions, and initial increases in Hill coefficient and SI followed by decreases. Theoretical oxygen-release capacities varied significantly between plateau and plain environments. These results support using oxygen supply efficiency to assess RBC storage quality for developing transfusion strategies. P50, Hill coefficient, SI, and theoretical oxygen-release capacity in different environments can be incorporated into blood oxygen supply efficiency characterization systems to assess the quality changes in RBCs during storage. Full article
(This article belongs to the Section Physiology and Pathology)
Show Figures

Figure 1

14 pages, 8035 KB  
Article
Virtual Leader-Guided Cooperative Control of Dual Permanent Magnet Synchronous Motors
by Jing Ci, Yue Dong and Weilin Yang
Energies 2026, 19(3), 640; https://doi.org/10.3390/en19030640 - 26 Jan 2026
Abstract
A hierarchical cooperative control strategy guided by a virtual leader is proposed to enhance the speed regulation and robustness of dual permanent magnet synchronous motor (PMSM) systems. The upper layer employs a virtual leader with model predictive speed control (MPSC) to achieve coordinated [...] Read more.
A hierarchical cooperative control strategy guided by a virtual leader is proposed to enhance the speed regulation and robustness of dual permanent magnet synchronous motor (PMSM) systems. The upper layer employs a virtual leader with model predictive speed control (MPSC) to achieve coordinated tracking, while the lower layer utilizes model predictive current control (MPCC) for regulation. A theoretical complexity analysis demonstrates that this decoupled architecture reduces the computational burden by approximately 75% compared to centralized MPC. Furthermore, a load disturbance observer is designed to estimate and compensate for external torques. Simulation and experimental results, covering both forward and reverse rotations, validate the effectiveness of the proposed strategy. Comparative results show that, compared with a conventional PI controller, the proposed method reduces speed overshoot by approximately 20% under sudden load changes, exhibiting superior steady-state performance and strong robustness against load variations. Full article
(This article belongs to the Special Issue Advanced Control Strategies for Power Electronics and Motor Drives)
Show Figures

Figure 1

22 pages, 2785 KB  
Article
Intelligent Optimization of Ground-Source Heat Pump Systems Based on Gray-Box Modeling
by Kui Wang, Zijian Shuai and Ye Yao
Energies 2026, 19(3), 608; https://doi.org/10.3390/en19030608 - 24 Jan 2026
Viewed by 99
Abstract
Ground-source heat pump (GSHP) systems are widely regarded as an energy-efficient solution for building heating and cooling. However, their actual performance in large commercial buildings is often limited by rigid control strategies, insufficient equipment coordination, and suboptimal load matching. In the Liuzhou Fengqing [...] Read more.
Ground-source heat pump (GSHP) systems are widely regarded as an energy-efficient solution for building heating and cooling. However, their actual performance in large commercial buildings is often limited by rigid control strategies, insufficient equipment coordination, and suboptimal load matching. In the Liuzhou Fengqing Port commercial complex, the seasonal coefficient of performance (SCOP) of the GSHP system remains at a relatively low level of 3.0–3.5 under conventional operation. To address these challenges, this study proposes a gray-box-model-based cooperative optimization and group control strategy for GSHP systems. A hybrid gray-box modeling approach (YFU model), integrating physical-mechanism modeling with data-driven parameter identification, is developed to characterize the energy consumption behavior of GSHP units and variable-frequency pumps. On this basis, a multi-equipment cooperative optimization framework is established to coordinate GSHP unit on/off scheduling, load allocation, and pump staging. In addition, continuous operational variables (e.g., chilled-water supply temperature and circulation flow rate) are globally optimized within a hierarchical control structure. The proposed strategy is validated through both simulation analysis and on-site field implementation, demonstrating significant improvements in system energy efficiency, with annual electricity savings of no less than 3.6 × 105 kWh and an increase in SCOP from approximately 3.2 to above 4.0. The results indicate that the proposed framework offers strong interpretability, robustness, and engineering applicability. It also provides a reusable technical paradigm for intelligent energy-saving retrofits of GSHP systems in large commercial buildings. Full article
(This article belongs to the Special Issue Energy Efficiency and Energy Saving in Buildings)
Show Figures

Figure 1

23 pages, 1497 KB  
Systematic Review
Home-Grown Indigenous Vegetables and Risk Mitigation Strategies for Enhancing Food and Nutrition Security Among Small-Scale Farming Households: A Systematic Review
by Nkosingimele Ndwandwe, Bonguyise Mzwandile Dumisa, Phumza Tabalaza, Neliswa Ntshangase, Melusi Sibanda and Nolwazi Zanele Khumalo
Sustainability 2026, 18(3), 1176; https://doi.org/10.3390/su18031176 - 23 Jan 2026
Viewed by 83
Abstract
Achieving food and nutrition security remains a significant challenge for small-scale farmers in Sub-Saharan Africa (SSA). However, indigenous vegetables offer a promising solution to this challenge. This systematic review used four databases and retrieved 38 studies published over the past 20 years for [...] Read more.
Achieving food and nutrition security remains a significant challenge for small-scale farmers in Sub-Saharan Africa (SSA). However, indigenous vegetables offer a promising solution to this challenge. This systematic review used four databases and retrieved 38 studies published over the past 20 years for synthesis. These studies highlight the growing importance of indigenous vegetables grown in home gardens as a sustainable solution to improve livelihoods and dietary diversity. Indigenous vegetables are well-suited to local conditions, nutritionally rich, and were associated with improved household food availability and income. However, farmers face various risks, including environmental, technological, economic, institutional, and social risks, which threaten their production. To overcome risks, farmers adopt strategies such as training, cooperatives, improved storage, and better seed varieties. Indigenous vegetable cultivation also empowers women and marginalised groups who play key roles in home gardening. Despite their benefits, indigenous vegetables remain overlooked in mainstream markets and policies. The review recommends that policymakers and stakeholders must provide support to promote indigenous vegetables through training and market integration, helping farmers commercialise their produce, while simultaneously enhancing food and nutrition security. Further research is needed to explore the profitability of indigenous vegetable production, analyse supply value chains, and investigate processing and manufacturing opportunities to support their market potential and sustainability. Full article
Show Figures

Graphical abstract

43 pages, 9457 KB  
Article
Dynamic Task Allocation for Multiple AUVs Under Weak Underwater Acoustic Communication: A CBBA-Based Simulation Study
by Hailin Wang, Shuo Li, Tianyou Qiu, Yiqun Wang and Yiping Li
J. Mar. Sci. Eng. 2026, 14(3), 237; https://doi.org/10.3390/jmse14030237 - 23 Jan 2026
Viewed by 59
Abstract
Cooperative task allocation is one of the critical enablers for multi-Autonomous Underwater Vehicle (AUV) missions, but existing approaches often assume reliable communication that rarely holds in real underwater acoustic environments. We study here the performance and robustness of the Consensus-Based Bundle Algorithm (CBBA) [...] Read more.
Cooperative task allocation is one of the critical enablers for multi-Autonomous Underwater Vehicle (AUV) missions, but existing approaches often assume reliable communication that rarely holds in real underwater acoustic environments. We study here the performance and robustness of the Consensus-Based Bundle Algorithm (CBBA) for multi-AUV task allocation under realistically degraded underwater communication conditions with dynamically appearing tasks. An integrated simulation framework that incorporates a Dubins-based kinematic model with minimum turning radius constraints, a configurable underwater acoustic communication model (range, delay, packet loss, and bandwidth), and a full implementation of improved CBBA with new features, complemented by 3D trajectory and network-topology visualization. We define five communication regimes, from ideal fully connected networks to severe conditions with short range and high packet loss. Within these regimes, we assess CBBA based on task allocation quality (total bundle value and task completion rate), convergence behavior (iterations and convergence rate), and communication efficiency (message delivery rate, average delay, and network connectivity), with additional metrics on the number of conflicts during dynamic task reallocation. Our simulation results indicate that CBBA maintains performance close to the optimum when the conditions are good and moderate but degrades significantly when connectivity becomes intermittent. We then introduce a local-communication-based conflict resolution strategy in the face of frequent task conflicts under very poor conditions: neighborhood-limited information exchange, negotiation within task areas, and decentralized local decisions. The proposed conflict resolution strategy significantly reduces the occurrence of conflicts and improves task completion under stringent communication constraints. This provides practical design insights for deploying multi-AUV systems under weak underwater acoustic networks. Full article
(This article belongs to the Special Issue Dynamics and Control of Marine Mechatronics)
17 pages, 2907 KB  
Article
A Novel Approach to Biodegradation and Detoxification of Ricinine in Castor Meal: Relationship Between the Gut Microbiota and Microbial Metabolites of Hermetia illucens
by Yun Li, Zuojian Yu, Qingcheng Cao, Hui Wang, Rui Zhang, Cuncheng Liu, Tielin Wang and Cunwen Wang
Microorganisms 2026, 14(2), 265; https://doi.org/10.3390/microorganisms14020265 - 23 Jan 2026
Viewed by 71
Abstract
Hermetia illucens can digest toxic castor meal and tolerate ricinine stress. However, the underlying mechanisms of ricinine degradation and detoxification within the larval gut microbiome remain largely unknown. Here, the enhanced degradation kinetic process, and the roles of the gut bacterial community and [...] Read more.
Hermetia illucens can digest toxic castor meal and tolerate ricinine stress. However, the underlying mechanisms of ricinine degradation and detoxification within the larval gut microbiome remain largely unknown. Here, the enhanced degradation kinetic process, and the roles of the gut bacterial community and metabolomics were investigated. When the ricinine content was 1000 mg kg−1 in feeding substrate, larval development was not significantly affected. The ricinine degradation kinetics, facilitated by larval digestion, were significantly enhanced, reducing the degradation half-life to 5.13 days. The gut bacterial community structure adjusted in response to ricinine stress, suggesting that genera such as Dysgonomonas, Actinomyces, Phascolarctobacterium, Lachnoclostridium and Sedimentibacter might play key roles in ricinine resistance and degradation. Furthermore, the gut microbial metabolism responded to toxin stress, reflected by variations in metabolite expression and the enrichment of key metabolic pathways involved in amino acid and vitamin metabolism. This emphasizes the potential role of microbial metabolism in ricinine degradation and detoxification. The close association between gut bacteria and metabolites suggests a cooperative metabolic network within the gut microbiota, where bacteria may participate in ricinine degradation and detoxification either directly or through metabolic cooperation. These findings provide insights into host–microbe interactions and ricinine resistance, highlighting the need for further exploration into the microbiota’s role in host metabolism and the development of new therapeutic strategies. Full article
(This article belongs to the Section Gut Microbiota)
46 pages, 6181 KB  
Article
Service Model Selection for “Internet + Recycling” Platforms: A Game-Theoretic Analysis of Door-to-Door vs. Fixed-Point Collection
by Jietan Geng, Duo Shang, Mingxu Yu, Jiyao Yin, Zhangyu Chang and Chengjie Zheng
Sustainability 2026, 18(2), 1142; https://doi.org/10.3390/su18021142 - 22 Jan 2026
Viewed by 64
Abstract
The rise of “Internet + Recycling” platforms is transforming the domestic waste management landscape, creating dual-channel reverse supply chains where new platforms interact with traditional recyclers. However, these platforms face critical strategic decisions regarding their service portfolios (convenient but costly door-to-door vs. economical [...] Read more.
The rise of “Internet + Recycling” platforms is transforming the domestic waste management landscape, creating dual-channel reverse supply chains where new platforms interact with traditional recyclers. However, these platforms face critical strategic decisions regarding their service portfolios (convenient but costly door-to-door vs. economical fixed-point drop-off) and their relationship with incumbents (cooperation vs. competition). This study aims to determine the optimal pricing, service level, and relationship strategies for an “Internet + Recycling” center to maximize profitability under the influence of consumer channel preferences and government subsidies. We developed four Stackelberg game-theoretic models representing different scenarios of service modes (fixed-point only vs. fixed-point with door-to-door) and relationship structures (cooperation vs. competition). We derived equilibrium solutions for recycling prices, service levels, and profits. Our results reveal that while cooperation generally leads to higher systemic profits, the addition of a door-to-door service significantly alters the strategic landscape. We find that a higher consumer preference for the platform channel allows the center to lower prices while increasing profits, and that government subsidies are the most effective at enhancing service levels in cooperative models. Crucially, intense competition incentivizes recycling centers to reduce rather than increase their service levels to cut costs. This research provides a decision-making framework for recycling enterprises to select optimal service and competitive strategies. It also offers insights for policymakers on how to design subsidies to effectively promote high-convenience recycling services and foster a more efficient circular economy. Full article
Show Figures

Figure 1

28 pages, 26446 KB  
Article
Interpreting Multi-Branch Anti-Spoofing Architectures: Correlating Internal Strategy with Empirical Performance
by Ivan Viakhirev, Kirill Borodin, Mikhail Gorodnichev and Grach Mkrtchian
Mathematics 2026, 14(2), 381; https://doi.org/10.3390/math14020381 - 22 Jan 2026
Viewed by 41
Abstract
Multi-branch deep neural networks like AASIST3 achieve state-of-the-art comparable performance in audio anti-spoofing, yet their internal decision dynamics remain opaque compared to traditional input-level saliency methods. While existing interpretability efforts largely focus on visualizing input artifacts, the way individual architectural branches cooperate or [...] Read more.
Multi-branch deep neural networks like AASIST3 achieve state-of-the-art comparable performance in audio anti-spoofing, yet their internal decision dynamics remain opaque compared to traditional input-level saliency methods. While existing interpretability efforts largely focus on visualizing input artifacts, the way individual architectural branches cooperate or compete under different spoofing attacks is not well characterized. This paper develops a framework for interpreting AASIST3 at the component level. Intermediate activations from fourteen branches and global attention modules are modeled with covariance operators whose leading eigenvalues form low-dimensional spectral signatures. These signatures train a CatBoost meta-classifier to generate TreeSHAP-based branch attributions, which we convert into normalized contribution shares and confidence scores (Cb) to quantify the model’s operational strategy. By analyzing 13 spoofing attacks from the ASVspoof 2019 benchmark, we identify four operational archetypes—ranging from “Effective Specialization” (e.g., A09, Equal Error Rate (EER) 0.04%, C=1.56) to “Ineffective Consensus” (e.g., A08, EER 3.14%, C=0.33). Crucially, our analysis exposes a “Flawed Specialization” mode where the model places high confidence in an incorrect branch, leading to severe performance degradation for attacks A17 and A18 (EER 14.26% and 28.63%, respectively). These quantitative findings link internal architectural strategy directly to empirical reliability, highlighting specific structural dependencies that standard performance metrics overlook. Full article
(This article belongs to the Special Issue New Solutions for Multimedia and Artificial Intelligence Security)
Show Figures

Figure 1

10 pages, 193 KB  
Review
Attention to Elderspeak: A Call for Dignity-Affirming Communication in Advanced Nursing Care
by Takahiko Nagamine
Clin. Pract. 2026, 16(1), 21; https://doi.org/10.3390/clinpract16010021 - 22 Jan 2026
Viewed by 21
Abstract
Elderspeak is a form of communication overaccommodation directed toward older adults, characterized by simplified language and an elevated pitch. While typically well-intentioned, it is rooted in ageist stereotypes and linked to negative health outcomes. A literature search was conducted in PubMed, CINAHL, and [...] Read more.
Elderspeak is a form of communication overaccommodation directed toward older adults, characterized by simplified language and an elevated pitch. While typically well-intentioned, it is rooted in ageist stereotypes and linked to negative health outcomes. A literature search was conducted in PubMed, CINAHL, and PsycINFO (2018–2025), yielding 24 key articles focusing on acute and surgical settings. The purpose of this narrative review is to synthesize current evidence on Elderspeak within acute care hospitals and propose a research framework and intervention strategies. Elderspeak is a key determinant of resistiveness to care (RTC), particularly in acute settings where it is triggered by functional impairment. Exposure increases patient distress and negatively impacts vital signs and cooperation with medical interventions. Inconsistent measurement is being addressed through standardized schemes like the Iowa Coding Scheme for Elderspeak (ICodE). This paper proposes that future research must employ mixed-methods, longitudinal designs to capture the impact of Elderspeak on long-term outcomes. Drawing on the ICodE, we propose a qualitative self-reflection tool for clinicians to enhance awareness in high-stakes acute settings. Eliminating Elderspeak is a foundational necessity for patient safety and dignity-affirming care in advanced nursing. Full article
20 pages, 1201 KB  
Article
Climate Change Dynamics in the High-Andean Communities of Peru: Social Imaginaries and Adaptation Practices of Agricultural Producers
by Fermin Francisco Chaiña-Chura, Liz Janet Marroquín-Carlo, Edith Liz Ruelas-Ccama, Germán Belizario-Quispe, Dante Atilio Salas-Avila, Wenceslao Quispe-Borda, Beatriz Vilma Mamani-Maron and Edgar Quispe-Mamani
Environments 2026, 13(1), 60; https://doi.org/10.3390/environments13010060 - 21 Jan 2026
Viewed by 157
Abstract
Climate change constitutes a growing challenge for high-Andean communities worldwide, whose livelihoods depend directly on agriculture, livestock farming, and the stability of local ecosystems. In this context, the study seeks to understand the construction of social imaginaries among agricultural producers regarding the dynamics [...] Read more.
Climate change constitutes a growing challenge for high-Andean communities worldwide, whose livelihoods depend directly on agriculture, livestock farming, and the stability of local ecosystems. In this context, the study seeks to understand the construction of social imaginaries among agricultural producers regarding the dynamics of climate variability, with the aim of analyzing both the vulnerabilities and adaptive capacities that emerge in their everyday practices. Based on a qualitative approach, supported by 32 interviews with key informants from 16 communities, 04 focus groups, and documentary analysis, field data were collected and processed using Atlas.ti software. The testimonies of community members from Cojata, Puno–Peru, revealed social imaginaries and collective responses linked to this phenomenon. The findings show feelings of concern and uncertainty, diverse interpretations of climate change dynamics, reconfiguration of cultural meanings, and the deployment of hybrid adaptation strategies that combine ancestral knowledge with contemporary resources. Overall, these findings show that social imaginaries play a central role in how communities face the climate crisis, revealing both the persistence of structural inequalities and the need to strengthen intercultural territorial policies that recognize local knowledge, promote communal cooperation, and foster a horizon of resilience and climate justice. Full article
Show Figures

Figure 1

19 pages, 2542 KB  
Article
Effect of the AHR Inhibitor CH223191 as an Adjunct Treatment for Mammarenavirus Infections
by Miguel Angel Pelaez, Jonna B. Westover, Dionna Scharton, Cybele Carina García and Brian B. Gowen
Int. J. Mol. Sci. 2026, 27(2), 1071; https://doi.org/10.3390/ijms27021071 (registering DOI) - 21 Jan 2026
Viewed by 88
Abstract
The family Arenaviridae encompasses zoonotic, rodent-borne pathogens (e.g., Lassa, Machupo, and Junín viruses) that cause severe viral hemorrhagic fevers with high case fatality rates. The current therapeutic landscape is severely limited, underscoring the urgent need for novel antiviral strategies. A promising approach involves [...] Read more.
The family Arenaviridae encompasses zoonotic, rodent-borne pathogens (e.g., Lassa, Machupo, and Junín viruses) that cause severe viral hemorrhagic fevers with high case fatality rates. The current therapeutic landscape is severely limited, underscoring the urgent need for novel antiviral strategies. A promising approach involves combining directly acting antivirals with host-targeted antivirals. A compelling host-targeted antiviral target is the aryl hydrocarbon receptor (AHR). This ubiquitous ligand-activated transcription factor is a recognized pro-viral host factor across multiple viral families. Building on prior work with Junín and Tacaribe viruses, we investigated whether the AHR inhibitor CH223191 could enhance the virus-directed antiviral activity of favipiravir against these viruses. First, we evaluated the toxicity and antiviral potential of CH223191 against a lethal Junín virus infection in male and female hTfR1 mice. After demonstrating substantial protection, we conducted preliminary assays to study the antiviral effects of combining CH223191 and favipiravir on Tacaribe virus (TCRV) infections in the Vero cell culture model. We observed synergistic interaction with all four models (ZIP, Loewe, Bliss, and HSA). We next determined the sub-optimal dose of favipiravir and conducted an antiviral combination study in the AG129 mouse model infected with TCRV. The combination effectively protected mice from a lethal TCRV infection and showed cooperative effects, reducing weight loss and viral loads. Overall, these results show that the AHR is a promising pharmacological target for the development of novel antivirals. Furthermore, we discovered a cooperative interaction between the activities of favipiravir and CH223191. Full article
(This article belongs to the Special Issue Antiviral Mechanisms of Natural/Synthetic Compounds)
Show Figures

Figure 1

37 pages, 2717 KB  
Review
Synthetizing 6G KPIs for Diverse Future Use Cases: A Comprehensive Review of Emerging Standards, Technologies, and Societal Needs
by Shujat Ali, Asma Abu-Samah, Mohammed H. Alsharif, Rosdiadee Nordin, Nauman Saqib, Mohammed Sani Adam, Umawathy Techanamurthy, Manzareen Mustafa and Nor Fadzilah Abdullah
Future Internet 2026, 18(1), 63; https://doi.org/10.3390/fi18010063 - 21 Jan 2026
Viewed by 121
Abstract
The anticipated transition from 5G to 6G is driven not by incremental performance demands but by a widening mismatch between emerging application requirements and the capabilities of existing cellular systems. Despite rapid progress across 3GPP Releases 15–20, the current literature lacks a unified [...] Read more.
The anticipated transition from 5G to 6G is driven not by incremental performance demands but by a widening mismatch between emerging application requirements and the capabilities of existing cellular systems. Despite rapid progress across 3GPP Releases 15–20, the current literature lacks a unified analysis that connects these standardization milestones to the concrete technical gaps that 6G must resolve. This study addresses this omission through a cross-release, application-driven review that traces how the evolution from enhanced mobile broadband to intelligent, sensing integrated networks lays the foundation for three core 6G service pillars: immersive communication (IC), everything connected (EC), and high-precision positioning. By examining use cases such as holographic telepresence, cooperative drone swarms, and large-scale Extended Reality (XR) ecosystems, this study exposes the limitations of today’s spectrum strategies, network architectures, and device capabilities and identifies the performance thresholds of Tbps-level throughput, sub-10 cm localization, sub-ms latency, and 10 M/km2 device density that next-generation systems must achieve. The novelty of this review lies in its synthesis of 3GPP advancements in XR, the non-terrestrial network (NTN), RedCap, ambient Internet of Things (IoT), and consideration of sustainability into a cohesive key performance indicator (KPI) framework that links future services to the required architectural and protocol innovations, including AI-native design and sub-THz operation. Positioned against global initiatives such as Hexa-X and the Next G Alliance, this paper argues that 6G represents a fundamental redesign of wireless communication advancement in 5G, driven by intelligence, adaptability, and long-term energy efficiency to satisfy diverse uses cases and requirements. Full article
Show Figures

Graphical abstract

8 pages, 441 KB  
Article
Enabling Circular Copper Flows in Electric Motor Lifecycle
by Linda Sandgren, Sri Ram Gnanesh, Erik Johansson, Victoria Van Camp, Magnus Karlberg, Mats Näsström and Roland Larsson
Clean Technol. 2026, 8(1), 16; https://doi.org/10.3390/cleantechnol8010016 - 21 Jan 2026
Viewed by 99
Abstract
Copper is a strategic raw material and an important component in electric motors, widely used across industries because of its excellent conductivity and recyclability. It plays an important role in the transformation from fossil fuel-based systems to green, electrified systems. However, substantial material [...] Read more.
Copper is a strategic raw material and an important component in electric motors, widely used across industries because of its excellent conductivity and recyclability. It plays an important role in the transformation from fossil fuel-based systems to green, electrified systems. However, substantial material losses continue throughout the lifecycle of electric motors, even with copper’s intrinsic capacity for circularity. Also, copper’s increasing demand, which is driven by the emergence of electric vehicles, industrial electrification, and renewable energy infrastructure, poses questions regarding its sustainable supply. The recovery of secondary copper sources from end-of-life (EoL) products is becoming more and more important in this context. However, it is still difficult to achieve circularity of copper, especially from industrial electric motors. This study investigates the challenges of closing the loop for copper during the lifecycle of motors in industrial applications. Based on an examination of EoL strategies, material flow insights, and practical investigation, the research pinpoints significant inefficiencies in the current processes. The widespread use of scraping as an approach of end-of-life management is one significant issue. Most of the electric motors are not built to separate their components, which makes both mechanical and manual disassembly difficult. The quality of recovered copper is thus compromised by the dominance of mixed metal shredding methods in the recycling step. This study highlights the need for systemic changes in addition to technical solutions to address copper circularity issues. It requires a focus on circularity in designing, giving disassembly and metal recovery a priority. This study focuses on circularity and its technological challenges in a value chain of copper. It not only identifies different processes such as supply chain disconnections and design constraints, but it also suggests workable solutions to close the copper flow loop in the electric motor sector. Copper quality and recovery is ultimately a problem involving design, technology, and cooperation, in addition to resources. This study supports the transition to a more sustainable and circular electric motor industry by offering a basis for directing such changes in industry practices and prospective EU regulations. Full article
(This article belongs to the Special Issue Selected Papers from Circular Materials Conference 2025)
Show Figures

Figure 1

19 pages, 1481 KB  
Article
GPU-Accelerated FLIP Fluid Simulation Based on Spatial Hashing Index and Thread Block-Level Cooperation
by Changjun Zou and Hui Luo
Modelling 2026, 7(1), 27; https://doi.org/10.3390/modelling7010027 - 21 Jan 2026
Viewed by 94
Abstract
The Fluid Implicit Particle (FLIP) method is widely adopted in fluid simulation due to its computational efficiency and low dissipation. However, its high computational complexity makes it challenging for traditional CPU architectures to meet real-time requirements. To address this limitation, this work migrates [...] Read more.
The Fluid Implicit Particle (FLIP) method is widely adopted in fluid simulation due to its computational efficiency and low dissipation. However, its high computational complexity makes it challenging for traditional CPU architectures to meet real-time requirements. To address this limitation, this work migrates the FLIP method to the GPU using the CUDA framework, achieving a transition from conventional CPU computation to large-scale GPU parallel computing. Furthermore, during particle-to-grid (P2G) mapping, the conventional scattering strategy suffers from significant performance bottlenecks due to frequent atomic operations. To overcome this challenge, we propose a GPU parallelization strategy based on spatial hashing indexing and thread block-level cooperation. This approach effectively avoids atomic contention and significantly enhances parallel efficiency. Through diverse fluid simulation experiments, the proposed GPU-parallelized strategy achieves a nearly 50× speedup ratio compared to the conventional CPU-FLIP method. Additionally, in the P2G stage, our method demonstrates over 30% performance improvement relative to the traditional GPU-based particle-thread scattering strategy, while the overall simulation efficiency gains exceeding 20%. Full article
Show Figures

Figure 1

13 pages, 2145 KB  
Article
Dual-Target Antimicrobial Strategy Combining Cell-Penetrating Protamine Peptides and Membrane-Active ε-Poly-L-lysine
by Ryosuke Nakamura, Rie Togawa, Daisuke Koizumi, Masataka Kawarasaki, Keishi Iohara and Michiyo Honda
Micro 2026, 6(1), 7; https://doi.org/10.3390/micro6010007 - 21 Jan 2026
Viewed by 68
Abstract
Dental caries is a major global health issue associated with biofilm formation by Streptococcus mutans (S. mutans). Conventional antimicrobials often fail to eliminate biofilms due to their structural resistance, highlighting the need for new strategies. This study investigated the antibacterial and [...] Read more.
Dental caries is a major global health issue associated with biofilm formation by Streptococcus mutans (S. mutans). Conventional antimicrobials often fail to eliminate biofilms due to their structural resistance, highlighting the need for new strategies. This study investigated the antibacterial and antibiofilm effects of protamine peptides (PPs), which are cell-penetrating antimicrobial peptides derived from salmon protamine, alone and in combination with antimicrobial agents. Antimicrobial susceptibility was evaluated using alamarBlue® and colony count assays, while biofilm formation was analyzed using crystal violet staining, confocal microscopy, and extracellular polysaccharide (EPS) quantification. PP exhibited moderate antibacterial activity but strongly suppressed EPS accumulation and biofilm development, leading to a flattened biofilm structure. Cotreatment with ε-poly-L-lysine (PL) significantly enhanced antibacterial and antibiofilm effects compared with either agent alone, whereas this effect was not observed with other cationic polymers. Fluorescence imaging revealed that PL promoted the intracellular localization of PP without increasing membrane damage, indicating a cooperative mechanism by which PL enhances membrane permeability and PP targets intracellular sites. These findings demonstrate that combining a cell-penetrating peptide with a membrane-active agent is a novel approach to overcome bacterial tolerance. The PP–PL combination effectively suppressed S. mutans growth and biofilm formation through dual action on membranes and EPS metabolism, offering a promising basis for the development of peptide-based preventive agents and biofilm-resistant dental materials. Full article
(This article belongs to the Section Microscale Biology and Medicines)
Show Figures

Figure 1

Back to TopTop