Implications of Anthropic Activities in the Catchment Area of a Temporary Mediterranean Wetland Complex in the South of Spain
Abstract
1. Introduction
2. Materials and Methods
2.1. Study Area and Sampling Sites
2.2. Environmental and Biological Data
2.3. Data Analysis
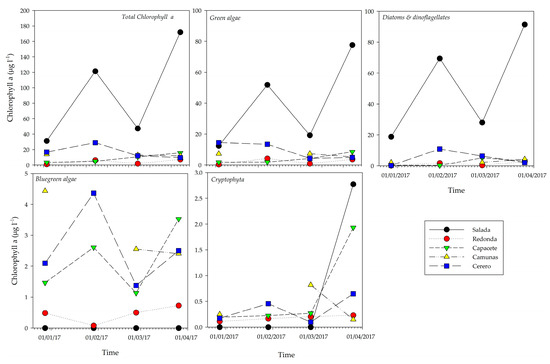
3. Results
4. Discussion
4.1. Nutrient Concentration and Redfield Ratio
4.2. Phytoplankton Composition
4.3. Phytoplankton Size Structure
4.4. Heterotrophic Bacteria
4.5. Analysis at Ecosystem Level
5. Conclusions
Author Contributions
Funding
Institutional Review Board Statement
Informed Consent Statement
Data Availability Statement
Acknowledgments
Conflicts of Interest
References
- Perennou, C.; Gaget, E.; Galewski, T.; Geijzendorffer, I.R.; Guelmami, A. Evolution of wetlands in Mediterranean region. In Water Resources in the Mediterranean Region; Zribi, M., Brocca, L., Tramblay, Y., Molle, F., Eds.; Elsevier: Amsterdam, The Netherlands, 2020; pp. 297–320. [Google Scholar] [CrossRef]
- Gilbert, J.D.; de Vicente, I.; Ortega, F.; García-Muñoz, E.; Jiménez-Melero, R.; Parra, G.; Guerrero, F. Linking watershed land uses and crustacean assemblages in Mediterranean wetlands. Hydrobiologia 2017, 799, 181–191. [Google Scholar] [CrossRef]
- Álvarez-Cobelas, M.; Rojo, C.; Angeler, D.G. Mediterranean Limnology: Current status, gaps and the future. J. Limnol. 2005, 64, 13–29. [Google Scholar] [CrossRef]
- Johnson, L.B.; Richards, C.; Host, G.E.; Arthur, J.W. Landscape influences on water chemistry in Midwestern stream ecosystems. Freshwat. Biol. 1997, 37, 193–208. [Google Scholar] [CrossRef]
- de-los-Ríos-Mérida, J.; Guerrero, F.; Arijo, S.; Muñoz, M.; Álvarez-Manzaneda, I.; García-Márquez, J.; Bautista, B.; Rendón-Martos, M.; Reul, A. Wastewater discharge through a stream into a Mediterranean Ramsar wetland: Evaluation and proposal of an nature-based treatment system. Sustainability 2021, 13, 3540. [Google Scholar] [CrossRef]
- de-los-Ríos-Mérida, J.; Reul, A.; Muñoz, M.; Arijo-Andrade, S.; Tapia-Paniagua, S.; Rendón-Martos, M.; Guerrero, F. How efficient are the semi-natural ponds on the assimilation of wastewater effluents? The case of a Mediterranean Ramsar wetland (Fuente de Piedra, south of Spain). Water 2017, 9, 600. [Google Scholar] [CrossRef]
- Guerrero, F.; Ortega, F.; Castro, M.C.; Parra, G. Los humedales de la provincia de Málaga: Una ampliación al inventario nacional. Oxyura 2003, 11, 73–84. [Google Scholar]
- Decreto 1/2017, de 10 de enero, por el que se declaran Zonas Especiales de Conservación Complejo Endorreico de Espera (ES0000026), Laguna de Medina (ES0000027), Complejo Endorreico de Chiclana (ES0000028), Complejo Endorreico del Puerto de Santa María (ES0000029), Complejo Endorreico de Puerto Real (ES0000030), Laguna de los Tollos (ES6120011), Lagunas de Las Canteras y El Tejón (ES6120014), Laguna de La Ratosa (ES6170001), Lagunas de Campillos (ES6170015), Complejo Endorreico de Utrera (ES6180001), Complejo Endorreico La Lantejuela (ES6180002), Laguna del Gosque (ES6180003) y Laguna de Coripe (ES6180006) y se Aprueban el Plan de Ordenación de los Recursos Naturales de las Reservas Naturales de las Lagunas de Cádiz, el Plan de Ordenación de los Recursos Naturales de las Reservas Naturales de las Lagunas de Málaga, el Plan de Ordenación de los Recursos Naturales de las Reservas Naturales de las Lagunas de Sevilla. Available online: https://www.juntadeandalucia.es/boja/2017/25/3 (accessed on 27 December 2023).
- Alcorlo, P.; Baltanás, A.; Montes, C. Is it possible to predict the salinity of Iberian salt lakes from their conductivity? Hydrobiologia 1996, 330, 137–142. [Google Scholar] [CrossRef]
- APHA. Standard Methods for the Examination of Water and Wastewater, 22nd ed.; Rice, E.W., Baird, R.B., Eaton, A.D., Clesceri, L.S., Eds.; American Public Health Association (APHA), American Water Works Association (AWWA) and Water Environment Federation (WEF): Washington, DC, USA, 2012. [Google Scholar]
- Rodier, J. Análisis de las Aguas: Aguas Naturales, Aguas Residuales, Agua de mar; Química, Fisicoquímica, Bacteriología, Biología. Omega: Barcelona, Spain, 1989. [Google Scholar]
- Murphy, J.; Riley, J. A modified single solution method for the determination of phosphate in natural waters. Anal. Chim. Acta 1962, 27, 31–36. [Google Scholar] [CrossRef]
- Beutler, M.; Wiltshire, K.H.; Meyer, B.; Moldaenke, C.; Lüring, C.; Meyerhöfer, M.; Hansen, U.P.; Dau, H. A fluorometric method for the differentiation of algal populations in vivo and in situ. Photosynth. Res. 2002, 72, 39–53. [Google Scholar] [CrossRef]
- Carlson, R.E. A trophic state index for lakes. Limnol. Oceanogr. 1977, 22, 361–369. [Google Scholar] [CrossRef]
- Kratzer, C.R.; Brezonik, P.L. A Carlson-type trophic state index for nitrogen in Florida lakes. Water Res. Bull. 1981, 17, 713–715. [Google Scholar] [CrossRef]
- Burns, N.M.; Rutherford, J.C.; Clayton, J.S. A monitoring and classification system for the New Zealand lakes and reservoirs. J. Lake Res. Manag. 1999, 15, 255–271. [Google Scholar] [CrossRef]
- Iturrondobeitia, J.C.; Caballero, A.I.; Arroyo, J. Avances en la utilización de los ácaros oribátidos como indicadores de las condiciones edáficas. Munibe 2004, 21, 70–91. [Google Scholar]
- Ter Braak, C.J.F. The analysis of vegetation-environment relationships by canonical correspondence analysis. Vegetatio 1987, 69, 69–77. [Google Scholar] [CrossRef]
- Ter Braak, C.J.F.; Verdonschot, P.F.M. Canonical Correspondence Analysis and related multivariate methods in aquatic ecology. Aquat. Sci. 1995, 57, 255–289. [Google Scholar] [CrossRef]
- Hammer, U.T. The saline lakes of Saskatchewan III. Chemical characterization. Int. Rev. Ges. Hydrobiol. 1978, 63, 311–335. [Google Scholar] [CrossRef]
- Carlson, R.E. Expanding the trophic state concept to identify non-nutrient limited lakes and reservoirs. In Proceedings of a National Conference on Enhancing the States’ Lake Management Programs, 1st ed.; Kirschner, R., Davenport, T., Taggart, J., Eds.; Gretchen Flock, J.T. & A., Inc.: Chicago, IL, USA, 1992; pp. 59–71. [Google Scholar]
- Ter Braak, C.J.F. Canonical Correspondence Analysis: A New Eigenvector Technique for Multivariate Direct Gradient Analysis. Ecology 1986, 67, 1167–1179. [Google Scholar] [CrossRef]
- Furest, A.; Toja, J. Tipificación de lagunas andaluzas según sus comunidades de crustáceos. Oxyura 1987, 4, 89–100. [Google Scholar]
- García, I.; Cabello de Alba, F. Composición y estatus de la comunidad de aves asociada a las lagunas de Campillos (Málaga, sur de España). Oxyura 2000, X, 101–122. [Google Scholar]
- Ripoll-Rodríguez, J.; de las Heras, M.; Moreno, J.-M.; Prunier, F.; Solano, F. Grandes branquiópodos (Crustacea, Branchiopoda, Anostraca, Notostraca) en la provincia de Málaga, España (año hidrológico 2012/2013). Arxius Miscel Zoològica 2013, 11, 163–177. [Google Scholar] [CrossRef]
- Redfield, A.C.; Ketchum, B.H.; Richards, F.A. The influence of organisms on the composition of the sea-water. In The Composition of Seawater: Comparative and Descriptive Oceanography. The Sea: Ideas and Observations on Progress in the Study of the Seas; Hill, M.N., Ed.; Interscience Publishers: New York, NY, USA, 1963; Volume 2, pp. 26–77. [Google Scholar]
- Golterman, H.L. The role of the ironhydroxide-phosphate-sulphide system in the phosphate exchange between sediments and overlying water. Hydrobiologia 1995, 297, 43–54. [Google Scholar] [CrossRef]
- Trojanowska, A.; Jezierski, P. Phosphorus in sediments and pore waters of selected Polish dam reservoirs. Oceanol. Hydrobiol. Studies 2011, 40, 72–85. [Google Scholar] [CrossRef]
- DOUE-L-2012. Reglamento (UE) nº 259/2012 del Parlamento Europeo y del Consejo, de 14 de marzo de 2012, por el que se modifica el Reglamento (CE) nº 648/2004 en lo que se Refiere al uso de Fosfatos y otros Compuestos de Fósforo en Detergentes para Lavavajillas Automáticos y para ropa Destinados a los Consumidores. Available online: https://eu.vlex.com/vid/fosfatos-fosforo-detergentes-lavavajillas-362710826 (accessed on 28 September 2023).
- Ibáñez, C.; Caiola, N.; Barquín, J.; Belmar, O.; Benito-Granell, X.; Casals, F.; Fennessy, S.; Hughes, J.; Palmer, M.; Peñuelas, J.; et al. Ecosystem-level effects of re-oligotrophication and N:P imbalances in rivers and estuaries on a global scale. Glob. Chang. Biol. 2023, 29, 1248–1266. [Google Scholar] [CrossRef]
- García, C.; Niell, F.X. Seasonal change in a saline temporary lake (Fuente de Piedra, southern Spain). Hydrobiologia 1993, 267, 211–223. [Google Scholar] [CrossRef]
- Cho, Y.-C.; Kang, H.-Y.; Son, J.-Y.; Kang, T.; Im, J.-K. The Spatiotemporal Eutrophication Status and Trends in the Paldang Reservoir, Republic of Korea. Sustainability 2024, 16, 373. [Google Scholar] [CrossRef]
- Laguna Salada. 2002. Available online: https://www.conocetusfuentes.com/documentos/doc_62.pdf (accessed on 30 December 2023).
- Rejmankova, E.; Komarek, J.; Komarkova, J. Cyanobacteria—A neglected component of biodiversity: Patterns of species diversity in inland marshes of northern Belize (Central America). Divers. Distrib. 2004, 10, 189–199. [Google Scholar] [CrossRef]
- Fedor, P.; Zvaríková, M. Biodiversity Indices. In Encyclopedia of Ecology, 2nd ed.; Brian, F., Ed.; Elsevier: Amsterdam, The Netherlands, 2019; Volume 1, pp. 337–346. [Google Scholar] [CrossRef]
- Anderson, D.M.; Glibert, P.M.; Burkholder, J.M. 2002. Harmful algal blooms and eutrophication: Nutrient sources, composition, and consequences. Estuaries 2002, 25, 704–726. [Google Scholar] [CrossRef]
- Rodríguez, J.; Jiménez, F.; Bautista, B.; Rodríguez, V. Planktonic biomass spectra dynamics during a winter production pulse in Mediterranean coastal waters. J. Plankton Res. 1987, 9, 1183–1194. [Google Scholar] [CrossRef]
- García, C.M.; Echevarría, F.; Niell, F.X. Size structure of plankton in a temporary, saline inland lake. J. Plankton Res. 1995, 17, 1803–1817. [Google Scholar] [CrossRef]
- Echevarría, F.; Carrillo, P.; Jiménez, F.; Sanchez-Castillo, P.; Cruz-Pizarro, L.; Rodríguez, J. The size-abundance distribution and taxonomic composition of plankton in an oligotrophic, high mountain lake (La Caldera, Sierra Nevada, Spain). J. Plankton Res. 1990, 12, 415–422. [Google Scholar] [CrossRef]
- Cózar, A.; García, C.M.; Gálvez, J.A. Analysis of plankton size spectra irregularities in two subtropical shallow lakes (Esteros del Iberá, Argentina). Can. J. Fish. Aquat. Sci. 2003, 60, 411–420. [Google Scholar] [CrossRef]
- Gobler, C.J.; Renaghan, M.J.; Buck, N.J. Impacts of nutrients and grazing mortality on the abundance of Aureococcus anophagefferens during a New York brown tide bloom. Limnol. Oceanogr. 2002, 47, 129–141. [Google Scholar] [CrossRef]
- Eden, R. Enterobacteriaceae, coliforms and E. coli.—classical and modern methods for detection and enumeration. In Encyclopedia of Food Microbiology, 2nd ed.; Carl, A.B., Tortorello, M.L., Eds.; Academic Press: Cambridge, MA, USA, 2014; pp. 667–673. [Google Scholar] [CrossRef]
- REAL DECRETO 1341/2007, de 11 de Octubre, Sobre la Gestión de la Calidad de las Aguas de Baño. Available online: https://www.boe.es/buscar/doc.php?id=BOE-A-2007-18581 (accessed on 16 December 2023).
- Gómez, J.E.; Merche, S.; Calle, M.S. Lagunas en el Centro de Andalucía. Campillos y Fuente de Piedra. Waste Magazine. 2023. Available online: https://wastemagazine.es/lagunasdecampillos.htm (accessed on 16 December 2023).






| Salada (n = 4) | Redonda (n = 4) | Capacete (n = 4) | Camuñas (n = 3) | Cerero (n = 4) | Marcela (n = 1) | |
|---|---|---|---|---|---|---|
| T (°C) | 13.74 ± 3.29 | 14.30 ± 3.27 | 14.88 ± 2.63 | 15.44 ± 3.86 | 15.37 ± 3.42 | 17.91 |
| pH | 8.71 ± 0.28 | 8.59 ± 0.69 | 8.85 ± 0.26 | 8.57 ± 0.77 | 8.76 ± 1.06 | 7.86 |
| Cond. (mS·cm−1) | 75.85 ± 11.32 | 15.39 ± 5.07 | 5.03 ± 2.02 | 2.12 ± 0.97 | 8.61 ± 2.43 | 0.70 |
| TN (mg L−1) | 17.64 ± 4.18 | 8.24 ± 0.90 | 10.24 ± 2.24 | 11.52 ± 4.01 | 11.88 ± 3.05 | 8.48 |
| TP (µg L−1) | 253.84 ± 166.70 | 52.30 ± 18.82 | 337.33 ± 220.25 | 208.69 ± 28.81 | 168.88 ± 102.55 | 177.22 |
| DIN (mg L−1) | 2.14 ± 0.44 | 0.71 ± 0.17 | 1.48 ± 1.51 | 2.66 ± 3.70 | 1.56 ± 1.59 | 0.61 |
| DIP (µg L−1) | 9.65 ± 7.70 | 11.70 ± 10.51 | 172.21 ± 240.86 | 60.00 ± 66.37 | 21.28 ± 15.35 | 23.33 |
| Chl-a (µg L−1) | 92.90 ± 65.66 | 4.07 ± 3.14 | 8.60 ± 5.65 | 12.89 ± 0.96 | 16.79 ± 8.61 | 9.71 |
| TN/TP | 81.97 ± 27.78 | 182.44 ± 100.93 | 36.64 ± 14.10 | 56.33 ± 22.04 | 88.20 ± 55.11 | 47.85 |
| DIN/DIP | 288.16 ± 122.46 | 98.87 ± 64.92 | 15.39 ± 9.18 | 33.02 ± 15.36 | 66.01 ± 19.32 | 26.15 |
| Ponds | TSI (Chl-a) | TSI (TP) | TSI (TN) | TLI | Classification |
|---|---|---|---|---|---|
| Salada | 76.99 | 84.03 | 80.51 | 80.51 | Hypertrophic |
| Redonda | 46.55 | 61.24 | 53.89 | 53.89 | Mesotrophic |
| Capacete | 51.68 | 88.13 | 69.90 | 69.90 | Eutrophic |
| Camuñas | 55.28 | 81.20 | 68.24 | 68.24 | Eutrophic |
| Cerero | 58.25 | 78.15 | 68.20 | 68.20 | Eutrophic |
| Marcela | 52.87 | 78.84 | 65.86 | 65.86 | Eutrophic |
| CCA 1 | CCA 2 | CCA 3 | |
|---|---|---|---|
| Axis summary statistics | |||
| Eigenvalue | 0.540 | 0.239 | 0.041 |
| p-value | 0.001 | 0.001 | 0.001 |
| % of variance explained | 51.3 | 22.7 | 3.9 |
| Pearson’s Correlation | |||
| Spp-Evnt | 0.988 | 0.800 | 0.791 |
| p-value | 0.001 | 0.001 | 0.001 |
| Temperature | 0.343 | −0.500 | 0.055 |
| pH | −0.544 | −0.212 | −0.576 |
| Conductivity | −0.832 | 0.207 | 0.141 |
| TN | −0.277 | 0.530 | −0.028 |
| TP | 0.125 | 0.530 | −0.028 |
| DIN | 0.111 | 0.100 | −0.092 |
| DIP | 0.456 | 0.530 | −0.028 |
| Species | CCA 1 | CCA 2 | CCA 3 |
|---|---|---|---|
| Green algae | −0.483 | 0.595 | −0.097 |
| Blue green algae | 0.286 | −0.010 | −0.345 |
| Diatoms | −0.487 | 0.523 | 0.087 |
| Cryptophyta | −0.062 | 0.154 | 0.091 |
| Totalconc | −0.481 | 0.562 | −0.103 |
| Total Coliforms | 0.364 | −0.305 | −0.064 |
| E. coli | 0.096 | −0.244 | −0.204 |
| Enterococci | 0.679 | −0.109 | −0.025 |
| Heterotrophs | 0.622 | −0.060 | −0.036 |
Disclaimer/Publisher’s Note: The statements, opinions and data contained in all publications are solely those of the individual author(s) and contributor(s) and not of MDPI and/or the editor(s). MDPI and/or the editor(s) disclaim responsibility for any injury to people or property resulting from any ideas, methods, instructions or products referred to in the content. |
© 2024 by the authors. Licensee MDPI, Basel, Switzerland. This article is an open access article distributed under the terms and conditions of the Creative Commons Attribution (CC BY) license (https://creativecommons.org/licenses/by/4.0/).
Share and Cite
de-los-Ríos-Mérida, J.; Guerrero, F.; Arijo, S.; Muñoz, M.; Gilbert, J.D.; Álvarez-Manzaneda, I.; Reul, A. Implications of Anthropic Activities in the Catchment Area of a Temporary Mediterranean Wetland Complex in the South of Spain. Sustainability 2024, 16, 1685. https://doi.org/10.3390/su16041685
de-los-Ríos-Mérida J, Guerrero F, Arijo S, Muñoz M, Gilbert JD, Álvarez-Manzaneda I, Reul A. Implications of Anthropic Activities in the Catchment Area of a Temporary Mediterranean Wetland Complex in the South of Spain. Sustainability. 2024; 16(4):1685. https://doi.org/10.3390/su16041685
Chicago/Turabian Stylede-los-Ríos-Mérida, Jesús, Francisco Guerrero, Salvador Arijo, María Muñoz, Juan Diego Gilbert, Inmaculada Álvarez-Manzaneda, and Andreas Reul. 2024. "Implications of Anthropic Activities in the Catchment Area of a Temporary Mediterranean Wetland Complex in the South of Spain" Sustainability 16, no. 4: 1685. https://doi.org/10.3390/su16041685
APA Stylede-los-Ríos-Mérida, J., Guerrero, F., Arijo, S., Muñoz, M., Gilbert, J. D., Álvarez-Manzaneda, I., & Reul, A. (2024). Implications of Anthropic Activities in the Catchment Area of a Temporary Mediterranean Wetland Complex in the South of Spain. Sustainability, 16(4), 1685. https://doi.org/10.3390/su16041685

