Tripartite Evolutionary Game Analysis of Green Coal Mining: Insights from Central Environmental Protection Inspection
Abstract
1. Introduction
2. Literature Review
3. Model Assumptions and Construction
3.1. Model Assumptions
3.2. Model Construction
4. Model Analysis
4.1. Stability Analysis of the Central Government’s Strategy
4.2. Stability Analysis of the Local Government’s Strategy
4.3. Stability Analysis of Coal Enterprises’ Strategy
4.4. Stability Analysis of the Equilibrium Points in the Tripartite Evolutionary Game System
5. Simulation Analysis
5.1. Evolution Path Simulation of the System Under Initial Conditions
5.2. Sensitivity Analysis
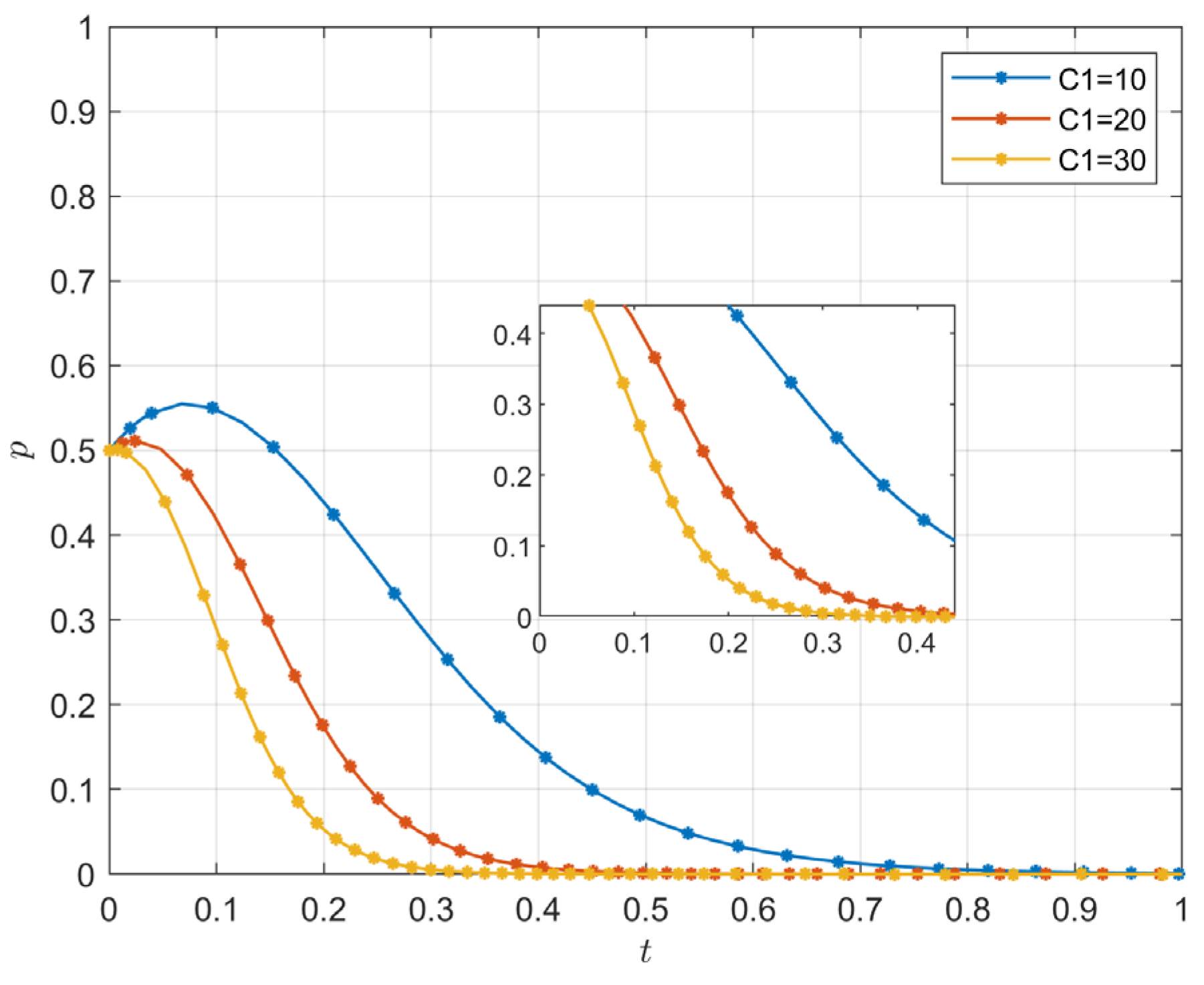
5.2.1. Sensitivity Analysis of Central Government Inspection Intensity
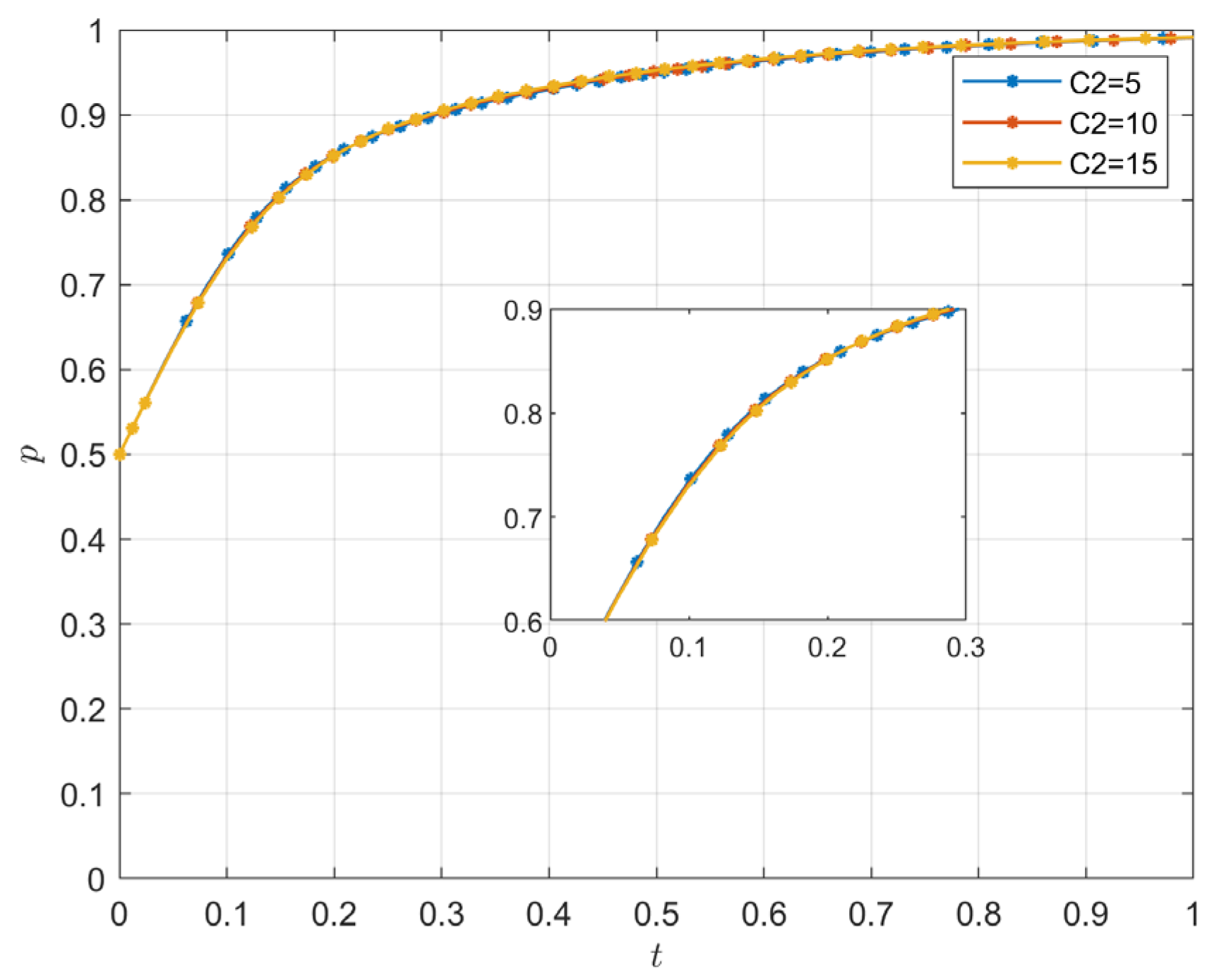
5.2.2. Sensitivity Analysis of Local Government Supervisory Efforts
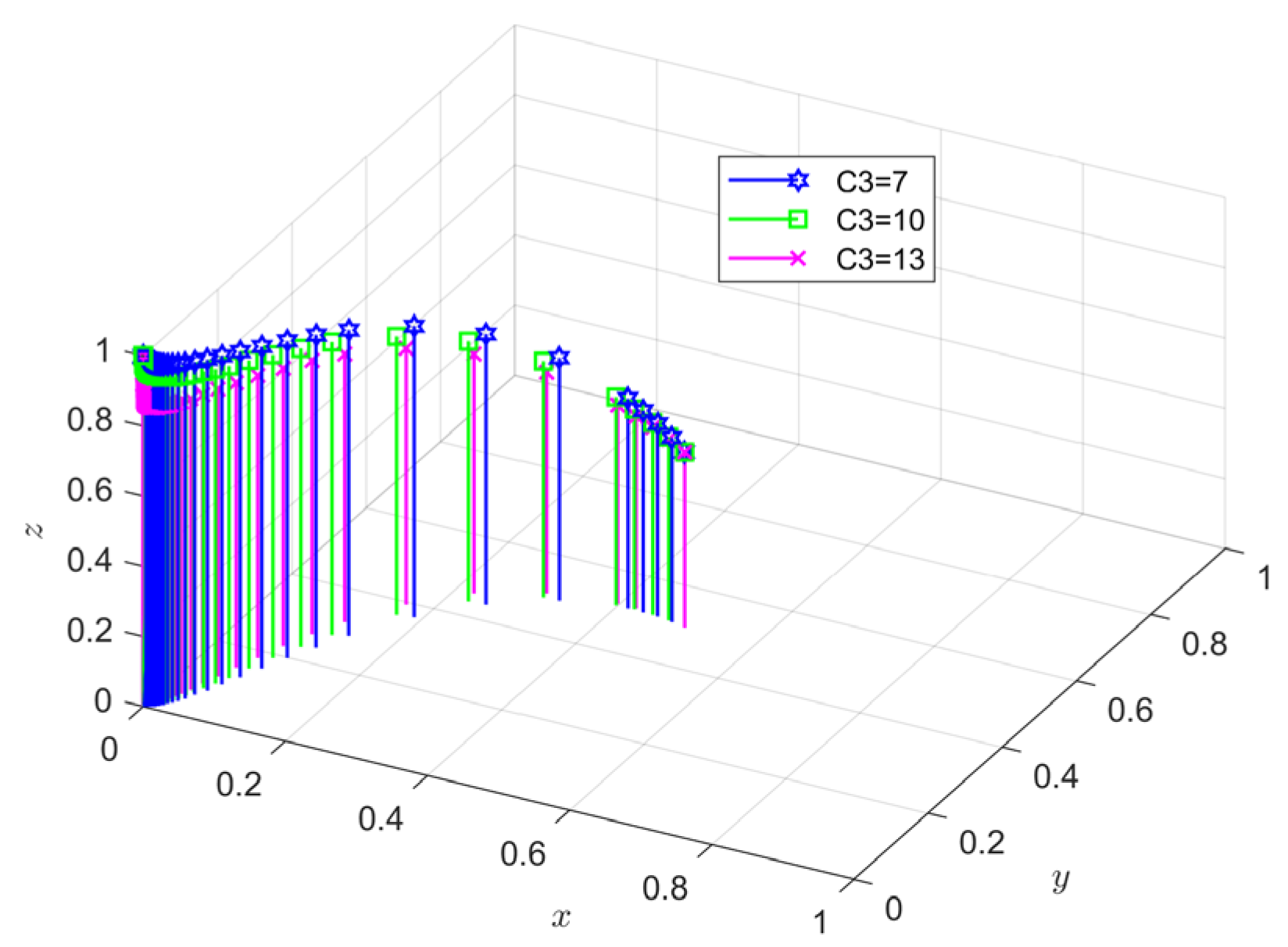
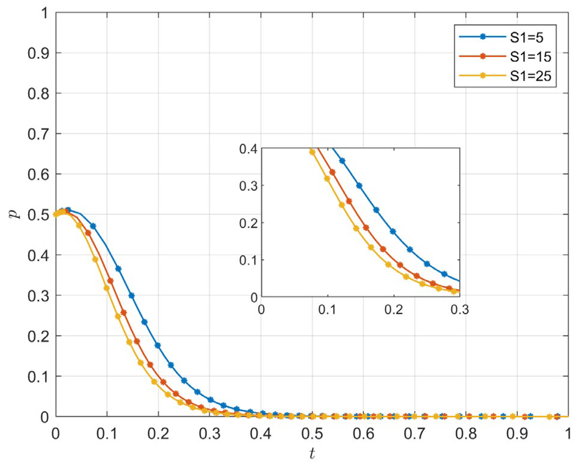
5.2.3. Sensitivity Analysis of Coal Enterprises’ Costs and Benefits
6. Conclusions and Recommendations
6.1. Conclusions
6.2. Recommendations
6.3. Limitations
Author Contributions
Funding
Institutional Review Board Statement
Informed Consent Statement
Data Availability Statement
Acknowledgments
Conflicts of Interest
References
- Stern, D.I. The role of energy in economic growth. Ann. N. Y. Acad. Sci. 2011, 1219, 26–51. [Google Scholar] [CrossRef] [PubMed]
- Li, R.; Leung, G.C. Coal consumption and economic growth in China. Energy Policy 2012, 40, 438–443. [Google Scholar] [CrossRef]
- Li, Y.; Chiu, Y.H.; Lin, T.Y. Coal production efficiency and land destruction in China’s coal mining industry. Resour. Policy 2019, 63, 101449. [Google Scholar] [CrossRef]
- Xiao, W.; Zhang, W.; Ye, Y.; Lv, X.; Yang, W. Is underground coal mining causing land degradation and significantly damaging ecosystems in semi-arid areas? A study from an Ecological Capital perspective. Land Degrad. Dev. 2020, 31, 1969–1989. [Google Scholar] [CrossRef]
- Pandey, M.; Mishra, A.; Swamy, S.L.; Thakur, T.K.; Pandey, V.C. Impact of coal mining on land use dynamics and soil quality: Assessment of land degradation vulnerability through conjunctive use of analytical hierarchy process and geospatial techniques. Land Degrad. Dev. 2022, 33, 3310–3324. [Google Scholar] [CrossRef]
- Miao, Z.; Marrs, R. Ecological restoration and land reclamation in open-cast mines in Shanxi Province, China. J. Environ. Manag. 2000, 59, 205–215. [Google Scholar] [CrossRef]
- Ma, D.; Zhao, S. Quantitative analysis of land subsidence and its effect on vegetation in Xishan coalfield of Shanxi Province. ISPRS Int. J. Geo-Inf. 2022, 11, 154. [Google Scholar] [CrossRef]
- Zeng, H.; Li, X.; Zhou, Q.; Wang, L. Local government environmental regulatory pressures and corporate environmental strategies: Evidence from natural resource accountability audits in China. Bus. Strategy Environ. 2022, 31, 3060–3082. [Google Scholar] [CrossRef]
- Van der Kamp, D.; Lorentzen, P.; Mattingly, D. Racing to the bottom or to the top? Decentralization, revenue pressures, and governance reform in China. World Dev. 2017, 95, 164–176. [Google Scholar] [CrossRef]
- Qi, R.; Liu, T.; Jia, Q.; Sun, L.; Liu, J. Simulating the sustainable effect of green mining construction policies on coal mining industry of China. J. Clean. Prod. 2019, 226, 392–406. [Google Scholar] [CrossRef]
- Ma, S.; Wang, C.; Liu, J.; Zhu, L.; Jhonson, A. Towards green extraction: Assessing the social and economic progress and challenges of green mining in China for policy formulation. Resour. Policy 2024, 96, 105233. [Google Scholar] [CrossRef]
- Tan, Y.; Mao, X. Assessment of the policy effectiveness of central inspections of environmental protection on improving air quality in China. J. Clean. Prod. 2021, 288, 125100. [Google Scholar] [CrossRef]
- Guo, S. Tackling China’s local environmental policy implementation gap: An evolutionary game analysis of China’s environmental protection inspection system. J. Clean. Prod. 2023, 416, 137942. [Google Scholar] [CrossRef]
- Qian, X.; Wang, D.; Wang, J.; Chen, S. Resource curse, environmental regulation and transformation of coal-mining cities in China. Res. Policy 2021, 74, 101447. [Google Scholar] [CrossRef]
- Xu, J.; Ma, N.; Xie, H. Ecological coal mining based dynamic equilibrium strategy to reduce pollution emissions and energy consumption. J. Clean. Prod. 2017, 167, 514–529. [Google Scholar] [CrossRef]
- Jiang, Y.; Xiao, Y.; Zhang, Z.; Zhao, S. How does central-local interaction affect local environmental governance? Insights from the transformation of central environmental protection inspection in China. Environ. Res. 2024, 243, 117668. [Google Scholar] [CrossRef]
- Zhang, Z.; Zhao, M.; Feng, Y. How does central environmental protection inspection affect air pollution governance? New evidence from the daily panel data of 337 cities in China. Public Admin. Policy Rev. 2024, 13, 71–92. [Google Scholar]
- Hu, Z.; Xue, S. Impact of central environmental protection inspection on the quality of industrial development. Soft Sci. 2022, 36, 1–8+17. [Google Scholar]
- Lo, C.W.H.; Fryxell, G.E.; van Rooij, B.; Wang, W.; Li, P.H. Explaining the enforcement gap in China: Local government support and internal agency obstacles as predictors of enforcement actions in Guangzhou. J. Environ. Manag. 2012, 111, 227–235. [Google Scholar] [CrossRef]
- Zhou, Z.; Li, Y.; Zhang, Y. Carbon Offsetting-Driven Multi-Actor Low-Carbon Collaborative Evolutionary Game Analysis. Sustainability 2023, 15, 9167. [Google Scholar] [CrossRef]
- Zhang, W.; Zhang, J.; Liu, J. Supervision of coal green exploitation based on the evolutionary game. J. Xi’an Univ. Sci. Technol. 2016, 36, 349–355. [Google Scholar]
- Wang, Q.; Tan, Z.; Tan, Q.; Pu, L.; Dege, J. Research on the exit mechanism of enterprises with excessive pollutant emissions under environmental protection inspections. J. Manag. 2019, 16, 280–285. [Google Scholar]
- Chong, D.; Sun, N. Explore emission reduction strategy and evolutionary mechanism under central environmental protection inspection system for multi-agent based on evolutionary game theory. Comput. Commun. 2020, 156, 77–90. [Google Scholar] [CrossRef]
- Ran, R. Understanding blame politics in China’s decentralized system of environmental governance: Actors, strategies and context. China Q. 2017, 231, 634–661. [Google Scholar] [CrossRef]
- Xie, S.; Wu, Y.; Guo, F.; Zou, H.; Chen, D.; Zhang, X.; Ma, X.; Liu, R.; Wu, C. Application of pre-splitting and roof-cutting control technology in coal mining: A review of technology. Energies 2022, 15, 6489. [Google Scholar] [CrossRef]
- Fang, Y.; Matjaž, P.; Zhang, H. A game theoretical model for the stimulation of public cooperation in environmental collaborative governance. Roy. Soc. Open Sci. 2022, 9, 221148. [Google Scholar] [CrossRef] [PubMed]
- Li, Z.; Shi, L.; Cai, J. Research on the evolution mechanism and path of green innovation ecology in leading enterprises of the traditional energy industry. World Sci.-Tech. Res. Dev. 2024, 46, 350–370. [Google Scholar]
- Sun, X.; Wang, W.; Pang, J.; Liu, X.; Zhang, M. Study on the evolutionary game of central government and local governments under central environmental supervision system. J. Clean. Prod. 2021, 296, 126574. [Google Scholar] [CrossRef]
- Liu, D.; Wang, D.; Mao, J. Study on policy synergy strategy of the central government and local governments in the process of coal de-capacity: Based on a two-stage evolutionary game method. Resour. Policy 2023, 80, 103132. [Google Scholar] [CrossRef]
- Wu, H.; Li, Y.; Hao, Y.; Ren, S.; Zhang, P. Environmental decentralization, local government competition, and regional green development: Evidence from China. Sci. Total Environ. 2020, 708, 135085. [Google Scholar] [CrossRef]
- Zhang, L.; Song, Y.; Zhang, M.; Wu, W. Evolutionary game analysis of strategic interaction of environmental regulation among local governments. Environ. Dev. 2023, 45, 100793. [Google Scholar] [CrossRef]
- Sheng, J.; Zhou, W.; Zhu, B. The coordination of stakeholder interests in environmental regulation: Lessons from China’s environmental regulation policies from the perspective of the evolutionary game theory. J. Clean. Prod. 2020, 249, 119385. [Google Scholar] [CrossRef]
- Zhu, Y.; Niu, L.; Zhao, Z.; Li, J. The tripartite evolution game of environmental governance under the intervention of central government. Sustainability 2022, 14, 6034. [Google Scholar] [CrossRef]
- Cao, Y.; Ren, W.; Yue, L. Environmental regulation and carbon emissions: New mechanisms in game theory. Cities 2024, 149, 104945. [Google Scholar] [CrossRef]
- Feng, N.; Ge, J. How does fiscal policy affect the green low-carbon transition from the perspective of the evolutionary game? Energy Econ. 2024, 134, 107578. [Google Scholar] [CrossRef]
- You, M.; Li, S.; Li, D.; Cao, Q.; Xu, F. Evolutionary game analysis of coal-mine enterprise internal safety inspection system in China based on system dynamics. Resour. Policy 2020, 67, 101673. [Google Scholar] [CrossRef]
- Jin, H.Z.; Zhou, Y.; Zhai, N. The game analysis of coal mining enterprises’ safe-production and government administration re-supervision. In Proceedings of the IEEE International Conference on Information Systems for Crisis Response and Management (ISCRAM), Harbin, China, 25–27 November 2011; pp. 319–323. [Google Scholar]
- Lu, R.; Wang, X.; Yu, H.; Li, D. Multiparty evolutionary game model in coal mine safety management and its application. Complexity 2018, 2018, 9620142. [Google Scholar] [CrossRef]
- He, Y.; Qin, R. Autonomous rectification behavior of coal mine safety hazards under a gambling mind: From an evolutionary game perspective. Process Saf. Environ. Prot. 2023, 169, 840–849. [Google Scholar]
- Gürer, S.; Surer, E.; Erkayaoğlu, M. MINING-VIRTUAL: A comprehensive virtual reality-based serious game for occupational health and safety training in underground mines. Safety Sci. 2023, 166, 106226. [Google Scholar] [CrossRef]
- You, Q.; Yu, K.; Zhou, L.; Zhang, J.; Lv, M.; Wang, J. Research on risk analysis and prevention policy of coal mine workers’ group behavior based on evolutionary game. Resour. Policy 2023, 80, 103262. [Google Scholar] [CrossRef]
- Zhou, C.; Xin, Y.; Han, Y. Towards a green mining future: A dynamic evolutionary game model for collaborative waste recycling. Heliyon 2023, 9, e20515. [Google Scholar] [CrossRef] [PubMed]
- Li, S.; Yang, Q.; Zhang, Y.; Liu, J. Multi-agent evolutionary game analysis of the coal mine on-site regulatory mode. Resour. Policy 2022, 77, 102723. [Google Scholar] [CrossRef]
- Pukdeboon, C. A review of fundamentals of Lyapunov theory. J. Appl. Sci. 2011, 10, 55–61. [Google Scholar]
- Mahdevari, S.; Abadi, A.F.A. A model based on evolutionary game theory for implementing green mining principles in riverine sand and gravel resources. J. Clean. Prod. 2023, 428, 139501. [Google Scholar] [CrossRef]
- Zhao, Y.; Zhao, G.; Zhou, J.; Pei, D.; Liang, W.; Qiu, J. What hinders the promotion of the green mining mode in China? A game-theoretical analysis of local government and metal mining companies. Sustainability 2020, 12, 2991. [Google Scholar] [CrossRef]
- Li, Y.; Li, J.; Wang, Z. Improving enterprise environmental performance under central environmental protection inspection: An empirical study based on listed industrial enterprises. J. Clean. Prod. 2024, 459, 142536. [Google Scholar] [CrossRef]
- Lyu, H.; Ma, C.; Arash, F. Government innovation subsidies, green technology innovation and carbon intensity of industrial firms. J. Environ. Manag. 2024, 369, 122274. [Google Scholar] [CrossRef] [PubMed]
- Li, P.; Zou, H.; Coffman, D.M.; Mi, Z.; Du, H. The synergistic impact of incentive and regulatory environmental policies on firms’ environmental performance. J. Environ. Manag. 2024, 365, 121646. [Google Scholar] [CrossRef] [PubMed]
- Ramanathan, R.; He, Q.; Black, A.; Ghobadian, A.; Gallear, D. Environmental regulations, innovation and firm performance: A revisit of the Porter hypothesis. J. Clean. Prod. 2016, 155, 79–92. [Google Scholar] [CrossRef]
- Li, R.; Ramanathan, R. The interactive effect of environmental penalties and environmental subsidies on corporate environmental innovation: Is more better or worse? Technol. Forecast. Soc. Change 2024, 200, 123193. [Google Scholar] [CrossRef]
- Li, X.; Gao, S.; Wei, J.; Ding, Q. Government subsidy and corporate green innovation—Does board governance play a role? Energy Policy 2022, 161, 112720. [Google Scholar]
- Jiang, W.; Hou, X.; Du, L. Has soil regulation policy reduced environmental violations by mining firms? Resour. Policy 2024, 96, 105223. [Google Scholar] [CrossRef]





























| Central Government | Local Government | Coal Enterprises (z) | |
|---|---|---|---|
| Green Mining (z) | Non−Green Mining (1 − z) | ||
| Strict inspection (x) | Active supervision (y) | −C1 − B1 + R1, −C2 + B1 − B2 + R1, −C3 + B2 + S1 | −C1 − B1 − R2, −C2 + B1 + F2 − R2, −F2 + S2 |
| Passive supervision (1 − y) | −C1 + R1, −r2C2 + R1 − r2B2, −C3 + r2B2 + S1 | −C1 + F1 − R2, −r2C2 − F1 + r2F2 − R2, −r2F2 + S2 | |
| Lenient inspection (1 − x) | Active supervision (y) | −r1C1 − r1B1 + R1, −C1 + r1B1 − B2 + R1, −C3 + B2 + S1 | −r1C1 − r1B1 − R2, −C2 + r1B1 + F2 − R2, −F2 + S2 |
| Passive supervision (1 − y) | −r1C1 + R1, −r2C2 − r2B2 + R1, −C3 + r2B2 + S1 | −r1C1 + r1F1 − R2, −r2C2 − r1F1 + r2F2 − R2, −r2F2 + S2 | |
| Equilibrium Point | Eigenvalues | Sign of Real Parts | Stability Conclusion | Conditions |
|---|---|---|---|---|
| E1(0,0,0) | F1 − C1 + r1C1 − r1F1, F2 − C2 + r1B1 + r2C2 + r1F1 − r2F2, S1 − C3 − S2 + r2B2 + r2F2 | +,×,+ | Unstable | ①② |
| E2(1,0,0) | C1 − F1 − r1C1 + r1F1, B1 − C2 + F1 + F2 + r2C2 − r2F2, S1 − C3 − S2 + r2B2 + r2F2 | −,×,+ | Unstable | ①② |
| E3(0,1,0) | r1B1 − C1 − B1 + r1C1, C2 − F2 − r1B1 − r2C2 − r1F1 + r2F2, B2 − C3 + F2 + S1 − S2 | −,×,+ | Unstable | ② |
| E4(0,0,1) | r1C1 − C1, r1B1 − C1 − B2 + r2B2 + r2C2, C3 − S1 + S2 − r2B2 − r2F2 | −,−,− | ESS | ②③ |
| E5(1,1,0) | B1 + C1 − r1B1 − r1C1, C2 − B1 − F1 − F2 − r2C2 + r2F2, B2 − C3 + F2 + S1 − S2 | +,×,+ | Unstable | ② |
| E6(1,0,1) | C1 − r1C1, B1 − B2 − C2 + r2B2 + r2C2, C3 − S1 + S2 − r2B2 − r2F2 | +,×,− | Unstable | ② |
| E7(0,1,1) | r1B1 − C1 − B1 + r1C1, B2 + C1 − r1B1 − r2B2 − r2C2, C3 − B2 − F2 − S1 + S2 | −,−,− | ESS | ②④ |
| E8(1,1,1) | B1 + C1 − r1B1 − r1C1, B2 − B1 + C2 − r2B2 − r2C2, C3 − B2 − F2 − S1 + S2 | +,×,− | Unstable | ② |
Disclaimer/Publisher’s Note: The statements, opinions and data contained in all publications are solely those of the individual author(s) and contributor(s) and not of MDPI and/or the editor(s). MDPI and/or the editor(s) disclaim responsibility for any injury to people or property resulting from any ideas, methods, instructions or products referred to in the content. |
© 2024 by the authors. Licensee MDPI, Basel, Switzerland. This article is an open access article distributed under the terms and conditions of the Creative Commons Attribution (CC BY) license (https://creativecommons.org/licenses/by/4.0/).
Share and Cite
Zou, S.; Xie, J. Tripartite Evolutionary Game Analysis of Green Coal Mining: Insights from Central Environmental Protection Inspection. Sustainability 2024, 16, 11300. https://doi.org/10.3390/su162411300
Zou S, Xie J. Tripartite Evolutionary Game Analysis of Green Coal Mining: Insights from Central Environmental Protection Inspection. Sustainability. 2024; 16(24):11300. https://doi.org/10.3390/su162411300
Chicago/Turabian StyleZou, Shaohui, and Jiahang Xie. 2024. "Tripartite Evolutionary Game Analysis of Green Coal Mining: Insights from Central Environmental Protection Inspection" Sustainability 16, no. 24: 11300. https://doi.org/10.3390/su162411300
APA StyleZou, S., & Xie, J. (2024). Tripartite Evolutionary Game Analysis of Green Coal Mining: Insights from Central Environmental Protection Inspection. Sustainability, 16(24), 11300. https://doi.org/10.3390/su162411300
