Fish Production Patterns, Indigenous Fish Diversity, and Environmental Influences in a Tropical Floodplain Wetland: Implications for Livelihood and Nutrition
Abstract
1. Introduction
2. Material and Methods
3. Results
3.1. Socio-Economic Profile of Fishers
3.2. Fish Production Pattern
3.3. Impact of Stocking on Fish Yield
3.4. Small Indigenous Fishes (SIF)
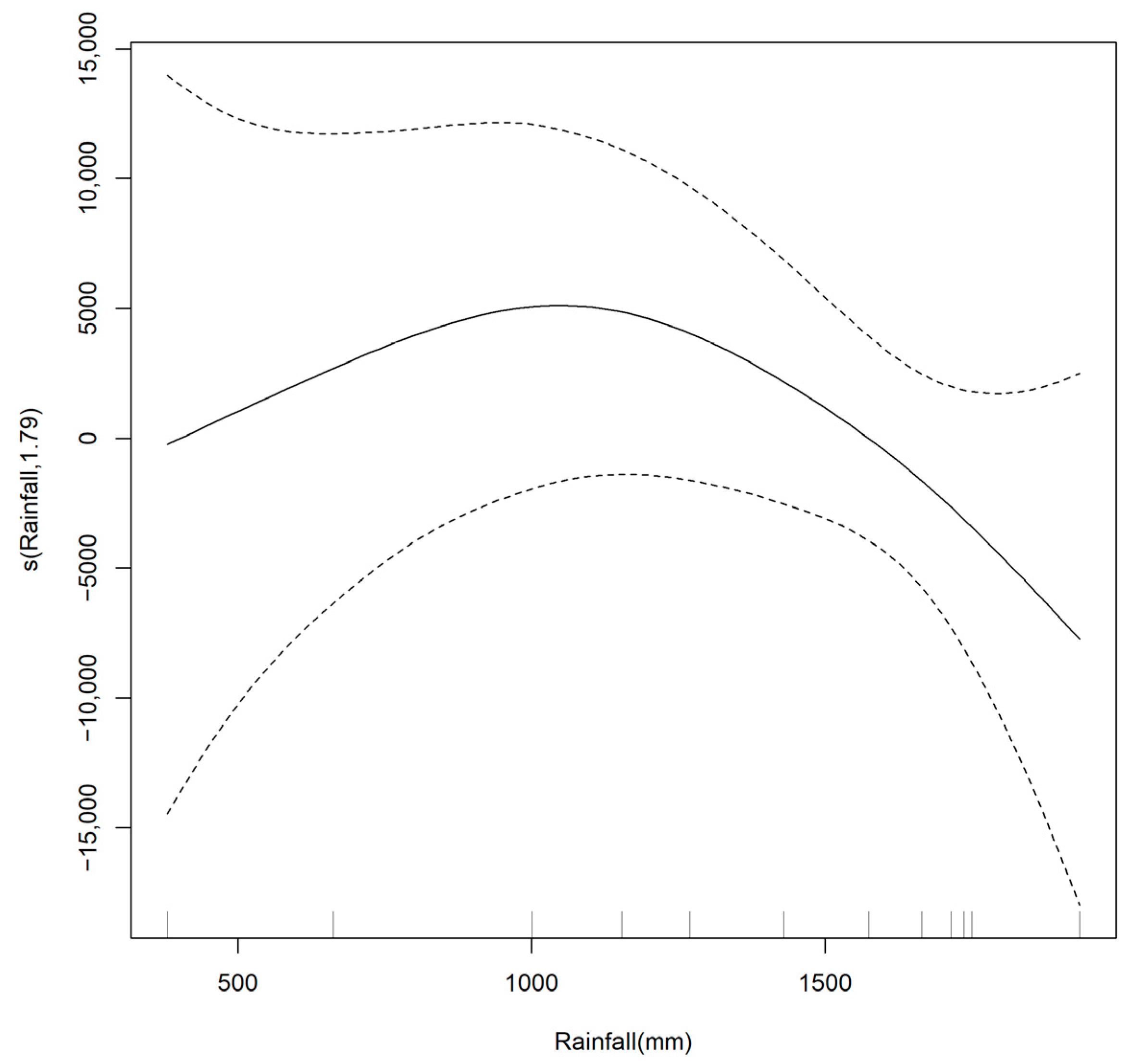
3.5. Impact of Climate Change on Fish Production
3.6. SIF for Nutritional Security
4. Discussion
5. Conclusions
- (1)
- Though the present findings indicated the positive impact of stocking, fish production has been irregular and decreasing during the last thirteen years, which was due to irregular and unscientific stocking. CBF has to be adapted by following scientific stocking procedures in the wetland by stocking the fish based on the fish yield potential and the natural food availability to maintain the sustainability of fish production.
- (2)
- The in situ enclosure culture of fish seed raising is recommended to continue to meet the requirement of large-sized fish seeds for stocking in CBF.
- (3)
- The connectivity of the wetland with the adjacent river has to be ascertained, especially during the monsoon season, which is the breeding season for most of the SIF. Proper connectivity between wetlands and rivers is critical for their ecological health and sustainability.
- (4)
- As the rise in temperature has a negative impact on the fish production, certain measures including the creation of a deep pool, introduction of climate-smart fishes, etc., are recommended.
- (5)
- The SIF population depends on the natural system, unlike the CBF where fish seed is regularly supplemented. Certain measures like mesh size regulation and a fishing ban during the breeding period must be put into place to sustain the SIF production and conserve the SIF population.
- (6)
- Identifying the potential breeding ground in the wetland and protecting those areas would enhance the self-recruiting SIF population in the wetland.
- (7)
- Sensitization and awareness must be encouraged on the vital role of SIF for fish production enhancement and nutritional security to the local fishers.
- (8)
- Determining a feasible and efficient method of marketing and distributing SIF to areas where there is a known demand for these fish species is extremely important.
Author Contributions
Funding
Institutional Review Board Statement
Informed Consent Statement
Data Availability Statement
Acknowledgments
Conflicts of Interest
References
- Mitsch, W.J.; Gosselink, J. The Value of Wetlands: Importance of Scale and Landscape Setting. Ecol. Econ. 2000, 35, 25–33. [Google Scholar] [CrossRef]
- Mitsch, W.J.; Bernal, B.; Hernandez, M.E. Ecosystem Services of Wetlands. Int. J. Biodivers. Sci. Ecosyst. Serv. Manag. 2015, 11, 1–4. [Google Scholar] [CrossRef]
- Keddy, P.A. Wetland Ecology: Principles and Conservation, 2nd ed.; Cambridge University Press: New York, NY, USA, 2010. [Google Scholar]
- Balwan, W.K.; Kour, S. Wetland—An ecological boon for the environment. East Afr. Sch. J. Agric. Life Sci. 2021, 4, 38–48. [Google Scholar] [CrossRef]
- Everard, M.; Kangabam, R.; Tiwari, M.K.; McInnes, R.; Kumar, R.; Talukdar, G.H.; Dixon, H.; Joshi, P.; Allan, R.; Joshi, D.; et al. Ecosystem service assessment of selected wetlands of Kolkata and the Indian Gangetic Delta: Multi-beneficial systems under differentiated management stress. Wetl. Ecol. Manag. 2019, 27, 405–426. [Google Scholar] [CrossRef]
- Sarkar, U.K.; Borah, B.C. Flood plain wetland fisheries of India: With special reference to impact of climate change. Wetl. Ecol. Manag. 2017, 26, 1–15. [Google Scholar] [CrossRef]
- Yin, X.; Jiang, C.; Xu, S.; Yu, X.; Yin, X.; Wang, J.; Maihaiti, M.; Wang, C.; Zheng, X.; Zhuang, X. Greenhouse gases emissions of constructed wetlands: Mechanisms and affecting factors. Water 2023, 15, 2871. [Google Scholar] [CrossRef]
- Trebitz, A.S.; Hoffman, J.C. Coastal Wetland Support of Great Lakes Fisheries: Progress from Concept to Quantification. Trans. Am. Fish. Soc. 2015, 144, 352–372. [Google Scholar] [CrossRef]
- Suresh, V.R.; Chitranshi, V.R. Floodplain wetland fisheries. In Handbook of Fisheries and Aquaculture; Trivedi, T.P., Ed.; ICAR: New Delhi, India, 2011; pp. 275–301. [Google Scholar]
- Bogard, J.R.; Thilsted, S.H.; Marks, G.C.; Wahab, M.A.; Hossain, M.A.R.; Jakobsen, J.; Stangoulis, J. Nutrient composition of important fish species in Bangladesh and potential contribution to recommended nutrient intakes. J. Food Compos. Anal. 2015, 42, 120–133. [Google Scholar] [CrossRef]
- Bin Aziz, S.; Hasan, N.A.; Mondol, M.R.; Alam, M.; Haque, M.M. Decline in fish species diversity due to climatic and anthropogenic factors in HakalukiHaor, an ecologically critical wetland in northeast Bangladesh. Heliyon 2021, 7, e05861. [Google Scholar] [CrossRef]
- Islam, M.A.; Islam, M.J.; Barman, S.K.; Morshed, F.; Marine, S.S. Study on present status of fish biodiversity in wetlands of Sylhet District, Bangladesh. Agric. For. Fish. 2015, 4, 296–299. [Google Scholar] [CrossRef]
- Sarkar, U.K.; Puthiyottil, M.; Borah, S.; Karnatak, G.; Chandra, G.; Kumari, S.; Meena, D.K.; Debnath, D.; Yengkokpam, S.; Das, P.C.; et al. Status, Potential, Prospects, and Issues of floodplain wetland fisheries in India: Synthesis and Review for Sustainable Management. Rev. Fish. Sci. Aquac. 2020, 29, 1–32. [Google Scholar] [CrossRef]
- Borah, S.; Sarkar, U.K.; Das, P.C.; Yadav, A.K.; Puthiyottil, M.; Pame, D.; Bhattacharjya, B.K.; Das, B.K. Managing floodplain wetlands through culture-based fisheries (CBF) for livelihood security and sustainable development: A study from a biodiversity hotspot region of India. Arab. J. Geosci. 2022, 15, 1245. [Google Scholar] [CrossRef]
- Karnatak, G.; Das, B.K.; Sarkar, U.K.; Borah, S.; Roy, A.; Parida, P.; Lianthuamluaia, L.; Das, A.K.; Behera, B.K.; Pandit, A.; et al. Integration of pen aquaculture into ecosystem-based enhancement of small-scale fisheries in a macrophyte dominated floodplain wetland of India. Environ. Sci. Pollut. Res. 2022, 29, 75431–75440. [Google Scholar] [CrossRef]
- Sugunan, V.V.; Katiha, P.K. Impact of stocking on yield in small reservoirs in Andhra Pradesh, India. Fish. Manag. Ecol. 2004, 11, 65–69. [Google Scholar] [CrossRef]
- Pushpalatha, K.B.C. Impacts and importance of introduction of culture-based fisheries in three medium sized perennial reservoirs in Sri Lanka. Asian Fish. Sci. 2017, 30, 139–151. [Google Scholar] [CrossRef]
- Wijenayake, W.M.H.K.; Jayasinghe, U.A.D.; Amarasinghe, U.S.; Athula, J.A.; Pushpalatha, K.B.C.; De Silva, S.S. Culture-based fisheries in non-perennial reservoirs in Sri Lanka: Production and relative performance of stocked species. Fish. Manag. Ecol. 2005, 12, 249–258. [Google Scholar] [CrossRef]
- Berkström, C.; Papadopoulos, M.; Jiddawi, N.S.; Nordlund, L.M. Fishers’ Local Ecological Knowledge (LEK) on connectivity and Seascape management. Front. Mar. Sci. 2019, 6, 130. [Google Scholar] [CrossRef]
- Berkes, F. Sacred Ecology: Traditional Ecological Knowledge and Resource Management; Taylor & Francis: New York, NY, USA, 1999. [Google Scholar]
- Berkes, F.; Folke, C. Linking Social and Ecological Systems: Management Practices and Social Mechanisms for Building Resilience; Cambridge University Press: Cambridge, UK, 1998. [Google Scholar]
- Berkes, F.; Colding, J.; Folke, C. Rediscovery of Traditional Ecological Knowledge as Adaptive Management. Ecol. Appl. 2000, 10, 1251–1262. [Google Scholar] [CrossRef]
- Hossain, M.; Ahmed, Z.; Leunda, P.; Roksanul Islam, A.; Jasmine, S.; Oscoz, J.; Miranda, R.; Ohtomi, J. Length–weight and length–length relationships of some small indigenous fish species from the Mathabhanga River, southwestern Bangladesh. J. Appl. Ichthyol. 2006, 22, 301–303. [Google Scholar] [CrossRef]
- Mandal, F.B.; Nandi, N.C. Loss of Small Indigenous Fish Species in India: A Case of Concern. J. Environ. Sociobiol. 2015, 12, 35–45. [Google Scholar]
- Petr, T. Interactions Between Fish and Aquatic Macrophytes in Inland Waters: A review; FAO Fisheries Technical Paper No. 396; FAO: Rome, Italy, 2000; p. 185. [Google Scholar]
- Mohanty, B.P.; Pati, M.K.; Bhattacharjee, S.; Hajra, A.; Sharma, A.P. Small indigenous fishes and their importance in human health. In Advances in Fish Research; Goswami, U.C., Ed.; Narendra Publishing House: Delhi, India, 2013; Volume 5, pp. 257–278. [Google Scholar]
- Islam, M.R.; Yeasmin, M.; Sadia, S.; Ali, M.S.; Haque, A.R.; Roy, V.C. Small Indigenous fish: A potential source of valuable nutrients in the context of Bangladesh. Hydrobiology 2023, 2, 212–234. [Google Scholar] [CrossRef]
- Nagelkerken, I.; Allan, B.J.M.; Booth, D.J.; Donelson, J.M.; Edgar, G.J.; Ravasi, T.; Rummer, J.L.; Vergés, A.; Mellin, C. The effects of climate change on the ecology of fishes. PLOS Clim. 2023, 2, e0000258. [Google Scholar] [CrossRef]
- Cheung, W.W.L.; Lam, V.W.Y.; Sarmiento, J.L.; Kearney, K.; Watson, R.; Pauly, D. Projecting global marine biodiversity impacts under climate change scenarios. Fish Fish. 2009, 10, 235–251. [Google Scholar] [CrossRef]
- Scheffers, B.R.; De Meester, L.; Bridge, T.C.L.; Hoffmann, A.A.; Pandolfi, J.M.; Corlett, R.T.; Butchart, S.H.M.; Pearce-Kelly, P.; Kovacs, K.M.; Dudgeon, D.; et al. The broad footprint of climate change from genes to biomes to people. Science 2016, 354, aaf7671. [Google Scholar] [CrossRef] [PubMed]
- Sharma, A.P.; Naskar, M.; Joshi, K.D.; Bhattacharjya, B.K.; Sahu, S.K.; Das, S.; Sudheesan, D.; Srivastava, P.K.; Rej, A.; Das, M.K. Impact of Climate Variation on Breeding of Major Fish Species in Inland Waters; Central Inland Fisheries Research Institute: Barrackpore, India, 2014. [Google Scholar]
- Vivekanandan, E.; Das, M.K. Impacts and Adaptation of Fisheries to Climate Change in India. In Handbook of Fisheries and Aquaculture; Director of Information & Publication of Agriculture, Ed.; Indian Council of Agricultural Research: New Delhi, India, 2010; pp. 794–821. [Google Scholar]
- Hassan, M.A.; Mishal, P.; Karnatak, G.; Sharma, A.P. Towards the blue revolution in India: Prospects for inland open waters. World Aquac. 2017, 48, 25–28. [Google Scholar]
- Sultana, M.A.; Pandit, D.; Barman, S.K.; Tikadar, K.K.; Tasnim, N.; Fagun, I.A.; Hussain, A.; Kunda, M. A review of fish diversity, decline drivers, and management of the TanguarHaor ecosystem: A globally recognized Ramsar site in Bangladesh. Heliyon 2022, 8, e11875. [Google Scholar] [CrossRef]
- Pandit, D.; Kunda, M.; Harun-Al-Rashid, A.; Sufian, M.A.; Mazumder, S.K.; Mazumder, S.K. Present status of fish biodiversity in DekharHaor, Bangladesh: A case study. World J. Fish Mar. Sci. 2015, 7, 278–287. [Google Scholar]
- Jayaram, K.C. The Freshwater Fishes of the Indian Region; Narendra Publishing House: Delhi, India, 2013; p. 616. [Google Scholar]
- APHA. Standard Methods for the Examination of Water and Wastewater, 23rd ed.; American Public Health Association: Washington, DC, USA, 2017. [Google Scholar]
- R Core Team. R: A Language and Environment for Statistical Computing; R Foundation for Statistical Computing: Vienna, Austria, 2024; Available online: https://www.R-project.org/ (accessed on 20 April 2024).
- Hsieh, T.C.; Ma, K.; Chao, A. iNEXT: An R package for rarefaction and extrapolation of species diversity (Hill numbers). Methods Ecol. Evol. 2016, 7, 1451–1456. [Google Scholar] [CrossRef]
- Kolde, R. pheatmap: Pretty Heatmaps, R Package Version 1.0.12; R Core Team: Vienna, Austria, 2019; Available online: https://CRAN.R-project.org/package=pheatmap (accessed on 20 April 2024).
- Oksanen, J.; Blanchet, F.G.; Friendly, M.; Kindt, R.; Legendre, P.; McGlinn, D.; Minchin, P.R.; O’Hara, R.B.; Simpson, G.L.; Solymos, P.; et al. vegan: Community Ecology Package, R Package Version 2.5-7; R Core Team: Vienna, Austria, 2020; Available online: https://CRAN.R-project.org/package=vegan (accessed on 20 April 2024).
- Pollumae, A.; Kotta, J. Factors describing the distribution of the zooplankton community in the Gulf of Finland in the context of interactions between native and introduced predatory cladocerans. Oceanologia 2007, 49, 277–290. [Google Scholar]
- Xu, H.; Jiang, Y.; Zhang, W.; Zhu, M.; Al-Rasheid, K.A.S.; Warren, A. Annual variations in body-size spectra of planktonic ciliate communities and their relationships to environmental conditions: A case study in Jiaozhou Bay, northern China. J. Mar. Biol. Assoc. 2012, 93, 47–55. [Google Scholar] [CrossRef]
- Wood, S.N. Generalized Additive Models; Taylor & Francis: New York, NY, USA, 2017. [Google Scholar] [CrossRef]
- Drexler, M.; Ainsworth, C.H. Generalized Additive Models used to predict species abundance in the Gulf of Mexico: An ecosystem modeling tool. PLoS ONE 2013, 8, e64458. [Google Scholar] [CrossRef]
- Karnatak, G.; Sarkar, U.K.; Naskar, M.; Roy, K.; Nandi, S.; Puthiyottil, M.; Lianthuamluaia, L.; Kumari, S.; Das, B.K. Modeling pre-spawning fitness and optimal climate of spotted snakehead Channa punctata (Bloch, 1793) from a Gangetic floodplain wetland of West Bengal, India. Int. J. Biometeorol. 2020, 64, 1889–1898. [Google Scholar] [CrossRef]
- Sarkar, U.K.; Roy, K.; Naskar, M.; Karnatak, G.; Puthiyottil, M.; Baksi, S.; Kumari, S.; Lianthuamluia, L.; Das, B.K. Assessing vulnerability of freshwater minnows in the Gangetic floodplains of India for conservation and management: Anthropogenic or climatic change risk? Clim. Risk Manag. 2021, 33, 100325. [Google Scholar] [CrossRef]
- Nguyen, H.S.; Bui, A.T.H.; Nguyen, D.Q.; Truong, D.Q.; Le, L.T.; Abery, N.W.; De Silva, S.S. Culture-based fisheries in small reservoirs in northern Vietnam: Effect of stocking density and species combinations. Aquac. Res. 2005, 36, 1037–1048. [Google Scholar] [CrossRef]
- Kumar, A.B. Exotic Fishes and Freshwater Diversity. Zoos Print J. 2000, 15, 363–367. [Google Scholar] [CrossRef]
- Welcome, R.L. International Introduction of Inland Aquatic Species; FAO Fisheries Technical Paper No. 294; FAO: Rome, Italy, 1988; p. 318. [Google Scholar]
- Lakra, W.S.; Singh, A.K.; Ayyappan, S. (Eds.) Fish Introduction in India: Status, Potential and Challenges; Narendra Publishers: New Delhi, India, 2008. [Google Scholar]
- Sarkar, U.K.; Bakshi, S.; Lianthuamluaia, L.; Mishal, P.; Ghosh, B.D.; Saha, S.; Karnatak, G. Understanding enviro-climatological impact on fish biodiversity of the tropical floodplain wetlands for their sustainable management. Sustain. Water Resour. Manag. 2020, 6, 96. [Google Scholar] [CrossRef]
- Arai, T. Evidence of local short-distance spawning migration of tropical freshwater eels, and implications for the evolution of freshwater eel migration. Ecol. Evol. 2014, 4, 3812–3819. [Google Scholar] [CrossRef] [PubMed]
- Baran, E. Fish Migration Triggers in the Lower Mekong Basin and other Tropical Freshwater Systems; MRC Technical Paper No. 14; Mekong River Commission: Vientiane, Laos, 2006. [Google Scholar]
- Velmurugan, R.; Neethiselvan, N.; Sundaramoorthy, B.; Rayan, X.P.; Radhakrishnan, K.; Kalaiarasan, M. Gill net Selectivity and Fishing Pressure on Indian Major Carp in Thirumoorthy Reservoir, Tamil Nadu. Curr. World Environ. 2016, 11, 554–559. [Google Scholar] [CrossRef]
- Jin, B.; Winemiller, K.O.; Shao, B.; Si, J.; Jin, J.; Ge, G. Fish assemblage structure in relation to seasonal environmental variation in sub-lakes of the Poyang Lake floodplain, China. Fish. Manag. Ecol. 2019, 26, 131–140. [Google Scholar] [CrossRef]
- Ahmed, N.; Azra, M.N. Aquaculture production and value chains in the COVID-19 pandemic. Curr. Environ. Health Rep. 2022, 9, 423–435. [Google Scholar] [CrossRef]
- Sun, C.; Zhen, L.; Miah, M.G. Comparison of the ecosystem services provided by China’s Poyang Lake wetland and Bangladesh’s TanguarHaor wetland. Ecosyst. Serv. 2017, 26, 411–421. [Google Scholar] [CrossRef]
- Lianthuamluaia, L.; Puthiyottil, M.; Panda, D.; Sarkar, U.K.; Kumar, V.; Sandhya, K.; Karnatak, G.; Kumari, S.; Bera, A.K.; Das, S.K.; et al. Understanding spatial and temporal patterns of fish diversity and assemblage structure vis-a-vis environmental parameters in a tropical Indian reservoir. Environ. Sci. Pollut. Res. Int. 2019, 26, 9089–9098. [Google Scholar] [CrossRef]
- Mawa, Z.; Hossain, M.Y.; Hasan, M.R.; Asaduzzaman, M. Reproductive aspects of Anabas testudineus collected from the Gajner Beel wetland in Bangladesh: Implications for its conservation under changing eco-climatic conditions and suggestions for best aquaculture practice. Environ. Sci. Pollut. Res. 2022, 29, 66277–66294. [Google Scholar] [CrossRef]
- Huang, M.; Ding, L.; Wang, J.; Ding, C.; Tao, J. The impacts of climate change on fish growth: A summary of conducted studies and current knowledge. Ecol. Indic. 2020, 121, 106976. [Google Scholar] [CrossRef]
- Sarkar, U.K.; Naskar, M.; Roy, K.; Sudeeshan, D.; Srivastava, P.K.; Gupta, S.; Bose, A.K.; Verma, V.K.; Sarkar, S.D.; Karnatak, G.; et al. Benchmarking pre-spawning fitness, climate preferendum of some catfishes from river Ganga and its proposed utility in climate research. Environ. Monit. Assess. 2017, 189, 491. [Google Scholar] [CrossRef] [PubMed]
- Roos, N.; Leth, T.; Jakobsen, J.; Thilsted, S.H. High vitamin A content in some small indigenous fish species in Bangladesh: Perspectives for food-based strategies to reduce vitamin A deficiency. Int. J. Food Sci. Nutr. 2002, 53, 425–437. [Google Scholar] [CrossRef]
- Roos, N.; Wahab, M.A.; Hossain, M.A.R.; Thilsted, S.H. Linking human nutrition and fisheries: Incorporating micronutrient-dense, small indigenous fish species in carp polyculture production in Bangladesh. Food Nutr. Bull. 2007, 28, S280–S293. [Google Scholar] [CrossRef] [PubMed]
- Kongsbak, K.; Thilsted, S.H.; Wahed, M.A. Effect of consumption of the nutrient-dense, freshwater small fish Amblypharyngodon mola on biochemical indicators of vitamin A status in Bangladeshi children: A randomized, controlled study of efficacy. Br. J. Nutr. 2008, 99, 581–597. [Google Scholar] [CrossRef]
- Roy, A.; Aftabuddin, M.; Bayen, S.; Ghosh, A.; Das, B.K.; Parida, P.K. Changing Dimensions of ‘Fish for All’ from ‘Food and Livelihood’ to ‘Nutritional Security’. Int. J. Fish Aquat. Stud. 2020, 8, 320–324. [Google Scholar] [CrossRef]









| Order | Family | Species | Abundance (% in Numbers) |
|---|---|---|---|
| Cypriniformes | Cyprinidae | Amblypharyngodon mola | 12.89 |
| Pethia conchonius | 8.46 | ||
| Pethia ticto | 7.22 | ||
| Puntius sophore | 26.41 | ||
| Rasbora daniconius | 1.28 | ||
| Salmostoma phulo | 2.04 | ||
| Esomus danricus | 2.84 | ||
| Cobitidae | Lepidocephalichthys guntea | 0.40 | |
| Anabantiformes | Nandidae | Nandus nandus | 0.04 |
| Channidae | Channa punctata | 0.27 | |
| Channa gachua | 0.04 | ||
| Anabantidae | Anabas testudineus | 3.19 | |
| Osphronemidae | Trichogaster fasciata | 9.17 | |
| Clupeiformes | Clupeidae | Gudusia chapra | 0.53 |
| Perciformes | Ambassidae | Chanda nama | 11.21 |
| Parambasis ranga | 1.11 | ||
| Siluriformes | Bagridae | Mystus vittatus | 8.20 |
| Gobiiformes | Gobiidae | Glossogobius giuris | 4.16 |
| Tetraodontiformes | Tetraodontidae | Leiodon cutcutia | 0.53 |
| Parameters | Correlation |
|---|---|
| Phosphate | 0.2764 |
| pH, Phosphate | 0.3279 |
| pH, Nitrate, Phosphate | 0.2945 |
| Temperature, pH, Nitrate, Phosphate | 0.2481 |
| Temperature, pH, Alkalinity, Nitrate, Phosphate | 0.1918 |
| Temperature, pH, DO, Alkalinity, Nitrate, Phosphate | 0.1416 |
| Nutrient/Minerals/Vitamins | Values |
|---|---|
| Crude Protein (18%) | 1265.76 kg |
| Crude Fat (3%) | 210.96 kg |
| Iron (3.2 mg/100 g) | 0.22 kg |
| Zinc (2.32 mg/100 g) | 0.16 kg |
| Calcium (783.32 mg/100 g) | 55.1 kg |
| Iodine (20.72 mg/100 g) | 1.45 kg |
| Vitamin B12 (4.8 μg/100 g) | 0.33 g |
| Vitamin D (3.1 μg/100 g) | 021 g |
| Vitamin E (0.32 μg/100 g) | 0.02 g |
| Vitamin A (303 μg/100 g) | 2.13 g |
Disclaimer/Publisher’s Note: The statements, opinions and data contained in all publications are solely those of the individual author(s) and contributor(s) and not of MDPI and/or the editor(s). MDPI and/or the editor(s) disclaim responsibility for any injury to people or property resulting from any ideas, methods, instructions or products referred to in the content. |
© 2024 by the authors. Licensee MDPI, Basel, Switzerland. This article is an open access article distributed under the terms and conditions of the Creative Commons Attribution (CC BY) license (https://creativecommons.org/licenses/by/4.0/).
Share and Cite
Lianthuamluaia, L.; Das, B.K.; Parida, P.K.; Karnatak, G.; Roy, A.; Das, A.K.; Behera, B.K.; Pandit, A.; Sahoo, A.K.; Mondal, K.; et al. Fish Production Patterns, Indigenous Fish Diversity, and Environmental Influences in a Tropical Floodplain Wetland: Implications for Livelihood and Nutrition. Sustainability 2024, 16, 11146. https://doi.org/10.3390/su162411146
Lianthuamluaia L, Das BK, Parida PK, Karnatak G, Roy A, Das AK, Behera BK, Pandit A, Sahoo AK, Mondal K, et al. Fish Production Patterns, Indigenous Fish Diversity, and Environmental Influences in a Tropical Floodplain Wetland: Implications for Livelihood and Nutrition. Sustainability. 2024; 16(24):11146. https://doi.org/10.3390/su162411146
Chicago/Turabian StyleLianthuamluaia, Lianthuamluaia, Basanta Kumar Das, Pranaya Kumar Parida, Gunjan Karnatak, Aparna Roy, Archan Kanti Das, Bijay Kumar Behera, Arun Pandit, Amiya Kumar Sahoo, Kausik Mondal, and et al. 2024. "Fish Production Patterns, Indigenous Fish Diversity, and Environmental Influences in a Tropical Floodplain Wetland: Implications for Livelihood and Nutrition" Sustainability 16, no. 24: 11146. https://doi.org/10.3390/su162411146
APA StyleLianthuamluaia, L., Das, B. K., Parida, P. K., Karnatak, G., Roy, A., Das, A. K., Behera, B. K., Pandit, A., Sahoo, A. K., Mondal, K., Chakraborty, S., Chandra, P., & Bhattacharya, S. (2024). Fish Production Patterns, Indigenous Fish Diversity, and Environmental Influences in a Tropical Floodplain Wetland: Implications for Livelihood and Nutrition. Sustainability, 16(24), 11146. https://doi.org/10.3390/su162411146

