High-Temperature Mechanical Properties of Basalt Fibers: A Step Towards Fire-Safe Materials for Photovoltaic Applications
Abstract
1. Introduction
2. Research Object and Variables
3. Experimental Materials and Methods
3.1. Experimental Materials
3.2. Linear Density Measurement Method
3.3. Methods for Tensile Testing, Heat Testing and Temperature Control
4. Results of Temperature–Strength Test
4.1. Load–Displacement
4.2. Results of Temperature–Strength Test Under Short-Term Insulation Conditions
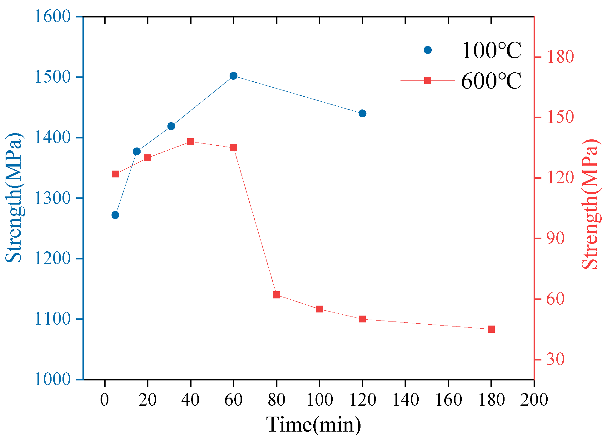
4.3. Results of Insulation Time–Strength Test
4.4. Measurement Uncertainties and Statistical Analysis
5. Conclusions and Future Perspectives
Author Contributions
Funding
Institutional Review Board Statement
Informed Consent Statement
Data Availability Statement
Conflicts of Interest
Abbreviations
| PV | photovoltaic | 
| BF | basalt fiber | 
| BFRP | basalt fiber reinforced polymer | 
| CBF | continuous basalt fiber | 
| PBI | polybenzimidazole | 
| CSA | cross-sectional area | 
References
- IRENA. Renewable Capacity Statistics 2024; International Renewable Energy Agency: Abu Dhabi, United Arab Emirates, 2024. [Google Scholar]
- IRENA. Tripling Renewable Power by 2030: The Role of the G7 in Turning Targets into Action; International Renewable Energy Agency: Abu Dhabi, United Arab Emirates, 2024. [Google Scholar]
- Mitrasinovic, A.M. Photovoltaics advancements for transition from renewable to clean energy. Energy 2021, 237, 121510. [Google Scholar] [CrossRef]
- Zhao, X.; Wang, W.; Wu, L. A dynamic analysis of research and development incentive on China’s photovoltaic industry based on system dynamics model. Energy 2021, 233, 121141. [Google Scholar]
- Liu, L.; Sheng, K. Navigating Legal Pathways for Accelerating Urban Energy Transition: A Comprehensive Deep Analysis of Photovoltaic Power Prediction and Policy Instruments. Sustain. Cities Soc. 2024, 110, 105358. [Google Scholar] [CrossRef]
- Wang, H.; Wen, C.; Duan, L.; Li, X.; Liu, D.; Guo, W. Sustainable energy transition in cities: A deep statistical prediction model for renewable energy sources management for low-carbon urban development. Sustain. Cities Soc. 2024, 107, 105434. [Google Scholar] [CrossRef]
- Xinhua-News-Agency. China’s Installed Capacity of Photovoltaic Power Tops 300 m kW; Xinhua-News-Agency: Beijing, China, 2023. [Google Scholar]
- Zhang, Z.; Chen, M.; Zhong, T.; Zhu, R.; Qian, Z.; Zhang, F.; Yan, J. Carbon mitigation potential afforded by rooftop photovoltaic in China. Nat. Commun. 2023, 14, 2347. [Google Scholar] [CrossRef]
- Li, H.; Chen, Q.; Zhang, T.; Liu, X.; Liu, X.; Dai, Y.; Guan, B. Can distributed photovoltaic-battery systems power buildings with favorable matching performance and techno-economic feasibility? Energy Convers. Manag. 2024, 306, 118260. [Google Scholar] [CrossRef]
- Assouline, D.; Mohajeri, N.; Scartezzini, J.L. Large-scale rooftop solar photovoltaic technical potential estimation using Random Forests. Appl. Energy 2018, 217, 189–211. [Google Scholar] [CrossRef]
- Jing, R.; Liu, J.; Zhang, H.; Zhong, F.; Liu, Y.; Lin, J. Unlock the hidden potential of urban rooftop agrivoltaics energy-food-nexus. Energy 2022, 256, 124626. [Google Scholar] [CrossRef]
- Ren, H.; Sun, Y.; Tse, C.F.N.; Fan, C. Optimal packing and planning for large-scale distributed rooftop photovoltaic systems under complex shading effects and rooftop availabilities. Energy 2023, 274, 127280. [Google Scholar] [CrossRef]
- Zhou, X.; Huang, Z.; Scheuer, B.; Lu, W.; Zhou, G.; Liu, Y. High-resolution spatial assessment of the zero energy potential of buildings with photovoltaic systems at the city level. Sustain. Cities Soc. 2023, 93, 104526. [Google Scholar] [CrossRef]
- IEA. Evolution of Solar PV Module Cost by Data Source; IEA: Paris, France, 2020. [Google Scholar]
- IEA. Renewables, 2020-Analysis and Forecast to 2025; IEA: Paris, France, 2022. [Google Scholar]
- Mujahid, M.; Chen, C.; Zhang, J.; Li, C.; Duan, Y. Recent advances in semitransparent perovskite solar cells. InfoMat 2021, 3, 101–124. [Google Scholar] [CrossRef]
- Green, M.A.; Dunlop, E.D.; Yoshita, M.; Kopidakis, N.; Bothe, K.; Siefer, G.; Hao, X. Solar cell efficiency tables. Prog. Photovolt. Res. Appl. 2023, 32, 3–13. [Google Scholar] [CrossRef]
- Xiao, C.; Zhao, Q.; Jiang, C.-S.; Sun, Y.; Al-Jassim, M.M.; Nanayakkara, S.U.; Luther, J.M. Perovskite quantum dot solar cells: Mapping interfacial energetics for improving charge separation. Nano Energy 2020, 78, 105319. [Google Scholar] [CrossRef]
- Yuan, J.; Bi, C.; Wang, S.; Guo, R.; Shen, T.; Zhang, L.; Tian, J. Spray-Coated Colloidal Perovskite Quantum Dot Films for Highly Efficient Solar Cells. Adv. Funct. Mater. 2019, 29, 1906615. [Google Scholar] [CrossRef]
- Wang, S.; Li, S.; Zhao, Q. A Low-Cost Synthetic Route of FAPbI3 Quantum Dots in Air at Atmospheric Pressure: The Role of Zinc Iodide Additives. Nanomaterials 2023, 13, 226. [Google Scholar] [CrossRef]
- Leigh Seddon, L.W.; Seddon, L. Vermont Solar Cost Study: A Report on Photovoltaic System Cost and Performance Differences Based on Design and Siting Factors; Clean Energy States Alliance: Montpelier, VT, USA, 2016. [Google Scholar]
- IRENA. Renewable Energy Technologies: Cost Analysis Series—Solar Photovoltaics (Abu Dhabi); IRENA: Abu Dhabi, United Arab Emirates, 2012. [Google Scholar]
- Bas, L. Solar PV Racking Options—Comparison Chart; Greentech Renewables: San Diego, CA, USA, 2010. [Google Scholar]
- Leadleo-Research-Institute. China Photovoltaic Industry Series Research—Report on Photovoltaic Mounting Systems; Leadleo Reasearch: Nanjing, China, 2022. [Google Scholar]
- Soares, B.; Preto, R.; Sousa, L.; Reis, L. Mechanical behavior of basalt fibers in a basalt-UP composite. Procedia Struct. Integr. 2016, 1, 82–89. [Google Scholar] [CrossRef]
- Choi, J.-I.; Lee, B. Bonding Properties of Basalt Fiber and Strength Reduction According to Fiber Orientation. Materials 2015, 8, 6719–6727. [Google Scholar] [CrossRef]
- Ralph, C.; Lemoine, P.; Summerscales, J.; Archer, E.; Mcilhagger, A. Relationships among the chemical, mechanical and geometrical properties of basalt fibers. Text. Res. J. 2019, 89, 3056–3066. [Google Scholar] [CrossRef]
- Ravikiran, D.N.; Ramesh, D.; Alvares, A.W.; Jeevan, T.P.; Divya, H.V. Basalt Fiber-Reinforced Polymer Composites: Properties, Applications, and Future Prospects. J. Mater. Sci. Res. Rev. 2024, 7, 676–691. [Google Scholar]
- Matveeva, I.G.; Lebedev, M. Polymer Composite Materials Based on Basalt. Theor. Found. Chem. Eng. 2018, 52, 670–672. [Google Scholar] [CrossRef]
- Selcuk, S.; Ahmetoglu, U.; Gokce, E.C. Basalt Fiber Reinforced Polymer Composites (BFRP) other than rebars: A review. Mater. Today Commun. 2023, 37, 107359. [Google Scholar] [CrossRef]
- Wu, Z.; Wang, X.; Liu, J.; Chen, X. Mineral fibres: Basalt. In Handbook of Natural Fibres, 2nd ed.; Woodhead Publishing: New Delhi, India, 2020; Volume 1, pp. 433–502. [Google Scholar]
- Jagadeesh, P.; Rangappa, S.M.; Siengchin, S. Basalt fibers: An environmentally acceptable and sustainable green material for polymer composites. Constr. Build. Mater. 2024, 436, 136834. [Google Scholar] [CrossRef]
- Wu, Z.; Liu, J.; Wang, X.; Long, B.; Li, N. A High-Alkali and Salt-Corrosion Resistant Basalt Fiber Reinforced Composite Material. CN Patent 106589839A, 7 September 2018. [Google Scholar]
- Wang, L.; Li, H.; Wong, C. Syntheses and characterizations of thermally reworkable epoxy resins II. J. Polym. Sci. Part A Polym. Chem. 1999, 37, 15. [Google Scholar] [CrossRef]
- Salmerón-Manzano, E.; Muñoz-Rodríguez, D.; Perea-Moreno, A.-J.; Hernandez-Escobedo, Q.; Manzano-Agugliaro, F. Worldwide scientific landscape on fires in photovoltaic. J. Clean. Prod. 2024, 461, 142614. [Google Scholar] [CrossRef]
- Ong, N.A.F.M.N.; Tohir, M.Z.M.; Said, M.S.M.; Nasif, M.S.; Alias, A.H.; Ramali, M.R. Development of fire safety best practices for rooftops grid-connected photovoltaic (PV) systems installation using systematic review methodology. Sustain. Cities Soc. 2022, 78, 103637. [Google Scholar]
- Arama, M.; Zhang, X.; Qi, D.; Ko, Y. A state-of-the-art review of fire safety of photovoltaic systems in buildings. J. Clean. Prod. 2021, 308, 127239. [Google Scholar] [CrossRef]
- Kim, Y.; Shin, M.; Lee, M.; Kang, Y. Hot-spot generation model using electrical and thermal equivalent circuits for a copper indium gallium selenide photovoltaic module. Sol. Energy 2021, 216, 377–385. [Google Scholar] [CrossRef]
- Dhimish, M. Defining the best-fit machine learning classifier to early diagnose photovoltaic solar cells hot-spots. Case Stud. Therm. Eng. 2021, 25, 100980. [Google Scholar] [CrossRef]
- Ong, N.A.F.M.N.; Sadiq, M.A.; Said, M.S.M.; Jomaas, G.; Tohir, M.Z.M.; Kristensen, J.S. Fault tree analysis of fires on rooftops with photovoltaic systems. J. Build. Eng. 2022, 46, 103752. [Google Scholar]
- Wei, C.; Guo, R. Properties and application of basalt fiber. J. Text. Sci. Eng. 2019, 36, 89–94. (In Chinese) [Google Scholar]
- Xie, E.; Li, Z. Application prospect of basalt fiber. Fiber Compos. 2003, 20, 17–20. (In Chinese) [Google Scholar]
- Shi, Q. Development and application of continuous basalt fiber abroad. Fiber Glass 2003, 4, 27–31. (In Chinese) [Google Scholar]
- Liu, Z.H.; Chen, C.Y.; Qin, R.J.; Zou, X.T. Research to Performance of Basalt Fibre Strengthen SBS Modified Asphalt Mixture. Adv. Mater. Res. 2012, 446–449, 191–195. [Google Scholar]
- Morova, N. Investigation of usability of basalt fibers in hot mix asphalt concrete. Constr. Build. Mater. 2013, 47, 175–180. [Google Scholar] [CrossRef]
- Militký, J.; Kovačič, V.; Rubnerová, J. Influence of thermal treatment on tensile failure of basalt fibers. Eng. Fract. Mech. 2002, 69, 1025–1033. [Google Scholar] [CrossRef]
- Li, X. Study on Thermal Resistance of Basalt Filament Yarn. Adv. Mater. Res. 2011, 146–147, 666–669. [Google Scholar] [CrossRef]
- Wu, X.; Chen, W.; Wang, Z. Experimental study on the properties of basalt fiber yarn. J. Zhejiang Sci-Tech Univ. 2012, 29, 660–663. (In Chinese) [Google Scholar]
- Li, F.; Li, G.; Wang, H. Research on properties on high temperature resistance of basalt fiber yarn. J. Funct. Mater. 2015, 46, 3060–3306. [Google Scholar]
- Overkamp, T.; Mahltig, B.; Kyosev, Y. Strength of basalt fibers influenced by thermal and chemical treatments. J. Ind. Text. 2016, 47, 815–833. [Google Scholar] [CrossRef]
- Chen, J.; Guo, Y.; Yang, Z. Effect of elevated temperature treatment on compositions and tensile properties of several kinds of basalt fibers. J. Mater. Eng. 2017, 45, 61–66. [Google Scholar]
- Zhu, D.; Ou, Y. Effects of strain rate and temperature on mechanical properties of basalt fiber bundle. J. Build. Mater. 2016, 19, 742–745. [Google Scholar]
- Ou, Y.; Zhu, D.; Li, H. Strain rate and temperature effects on the dynamic tensile behaviors of basalt fiber bundles and reinforced polymer composite. J. Mater. Civ. Eng. 2016, 28, 04016101. [Google Scholar] [CrossRef]
- GB/T 9914.2-2013; Test Method for Reinforcement Products—Part 2: Determination of Combustible-Matter Content for Glass Fibre. General Administration of Quality Supervision, Inspection and Quarantine of the People’s Republic of China and National Standardization Administration of the People’s Republic of China (NSAC): Beijing, China, 2013.
- GB/T7690.1-2013; Reinforcements-Test Method for Yarns-Part 1: Determination of Linear Density. China-National-Standards: Beijing, China, 2013.
- ISO291:2008(E); Plastics—Standard Atmospheres for Conditioning and Testing. International Organization for Standardization (ISO): Geneva, Switzerland, 2008.
- GB/T7690.3-2013; China-National-Standards, Reinforcements-Test Method for Yarns-Part 3: Determination of Breaking Force and Breaking Elongation for Glass Fibre. China-National-Standards: Beijing, China, 2013.
- Fakhlagh, F.A.; Farsani, R.E.; Sabet, S. Synthesis and characteristics of continuous basalt fiber reinforced aluminum matrix composites. J. Compos. Mater. 2012, 47, 27. [Google Scholar]
- Vannan, S.E.; Vizhian, S.P.; Karthigeyan, R. Investigation on the Influence of Basalt Fiber on Thermal properties of Al7075/Basalt Fiber Metal Matrix Composites. Procedia Eng. 2014, 97, 432–438. [Google Scholar] [CrossRef]
- Xian, L.; Li, Z.; Li, S.; Chen, L.; Tao, W. Elucidating the impact mechanism of temperature and water content on thermal conductivity of hydrated Nafion membranes by molecular dynamics simulation. Int. J. Heat Mass Transf. 2023, 208, 124034. [Google Scholar] [CrossRef]
- Xing, D.; Chang, C.; Xi, X.-Y.; Hao, B.; Zheng, Q.; Gutnikov, S.I.; Lazoryak, B.I.; Ma, P. Morphologies and mechanical properties of basalt fibre processed at elevated temperature. J. Non-Cryst. Solids 2022, 582, 121439. [Google Scholar] [CrossRef]
- Dhand, V.; Mittal, G.; Rhee, K.Y.; Park, S.-J.; Hui, D. A short review on basalt fiber reinforced polymer composites. Compos. Part B Eng. 2015, 73, 166–180. [Google Scholar] [CrossRef]
- Kandola, B.K.; Krishnan, L.; Deli, D.; Ebdon, J.R. Blends of unsaturated polyester and phenolic resins for application as fire-resistant matrices in fibre-reinforced composites. Part 2: Effects of resin structure, compatibility and composition on fire performance. Polym. Degrad. Stab. 2015, 113, 154–167. [Google Scholar] [CrossRef]
- Wittbrodt, B.; Pearce, J.M. 3-D printing solar photovoltaic racking in developing world. Energy Sustain. Dev. 2017, 36, 1–5. [Google Scholar] [CrossRef]






| Composition | SiO2 | Al2O3 | Fe2O3 | CaO | MgO | K2O | Na2O | TiO2 | Other | 
|---|---|---|---|---|---|---|---|---|---|
| Content (%) | 52.3 | 15.6 | 9.8 | 7.6 | 5.4 | 3.6 | 2.3 | 1.2 | 2.2 | 
| Parameter | Elasticity Modulus (GPa) | Poisson’s Ratio | Ultimate Strength (MPa) | Monofilament Diameter (μm) | Density (g/cm3) | Thermal Conductivity (W/m·K) | Heat Capacity (J/g·K) | 
|---|---|---|---|---|---|---|---|
| Numerical value | 84.300 | 0.250 | 2540 | 13.500 | 2.650 | 0.031 at 25 °C | 0.900 at 25 °C | 
| Parameter | Length (m) | Mass (g) | (tex) | (mm2) | |||
|---|---|---|---|---|---|---|---|
| 1 | 2 | 3 | Mean Value | ||||
| Numerical value | 1 | 0.8628 | 0.8628 | 0.8590 | 0.8615 | 861.5 | 0.3313 | 
| Disclaimer/Publisher’s Note: The statements, opinions and data contained in all publications are solely those of the individual author(s) and contributor(s) and not of MDPI and/or the editor(s). MDPI and/or the editor(s) disclaim responsibility for any injury to people or property resulting from any ideas, methods, instructions or products referred to in the content. | 
Licensee MDPI, Basel, Switzerland. This article is an open access article distributed under the terms and conditions of the Creative Commons Attribution (CC BY) license (https://creativecommons.org/licenses/by/4.0/).
Share and Cite
Wang, B.; Xu, L.; Chen, T.; Hou, B.; Liu, J.; Shen, Y.; Kuang, R. High-Temperature Mechanical Properties of Basalt Fibers: A Step Towards Fire-Safe Materials for Photovoltaic Applications. Sustainability 2024, 16, 10853. https://doi.org/10.3390/su162410853
Wang B, Xu L, Chen T, Hou B, Liu J, Shen Y, Kuang R. High-Temperature Mechanical Properties of Basalt Fibers: A Step Towards Fire-Safe Materials for Photovoltaic Applications. Sustainability. 2024; 16(24):10853. https://doi.org/10.3390/su162410853
Chicago/Turabian StyleWang, Bangjian, Lihua Xu, Tianze Chen, Bowen Hou, Jianxun Liu, Yijun Shen, and Rao Kuang. 2024. "High-Temperature Mechanical Properties of Basalt Fibers: A Step Towards Fire-Safe Materials for Photovoltaic Applications" Sustainability 16, no. 24: 10853. https://doi.org/10.3390/su162410853
APA StyleWang, B., Xu, L., Chen, T., Hou, B., Liu, J., Shen, Y., & Kuang, R. (2024). High-Temperature Mechanical Properties of Basalt Fibers: A Step Towards Fire-Safe Materials for Photovoltaic Applications. Sustainability, 16(24), 10853. https://doi.org/10.3390/su162410853
 
        


 
       