The Evapotranspiration Characteristics and Evaporative Cooling Effects of Different Vegetation Types on an Intensive Green Roof: Dynamic Performance Under Different Weather Conditions
Abstract
1. Introduction
2. Materials and Methods
2.1. Study Area
2.2. Remote Sensing Data
2.2.1. Orthophoto Map
2.2.2. Thermal Infrared Data
2.3. Meteorological Data
2.4. Roof Surface Temperature Data
2.5. Methodology
2.5.1. Three-Temperature (3T) Model
2.5.2. Model Validation
2.5.3. Cooling Effect by Vegetation Evapotranspiration
3. Results
3.1. Method Verification
3.2. The Characteristics of Spatial and Temporal Variations in the Surface Temperature of the Different Types of Vegetation of the Intensive Green Roof
3.2.1. Temporal Variation in Surface Temperature of Different Vegetation Types
3.2.2. Spatial Variation in Surface Temperature of Different Vegetation Types
3.3. The Characteristics of the Spatial and Temporal Variation in the ET Rates of Different Vegetation Types of the Intensive Green Roof
3.3.1. Temporal Variation in ET Rate of Different Vegetation Types
3.3.2. Spatial Variation in the ET Rate of Different Vegetation Types
3.4. The Characteristics of the Spatial and Temporal Variation in the Evaporative Cooling Rate of Different Types of the Vegetation of the Intensive Green Roof
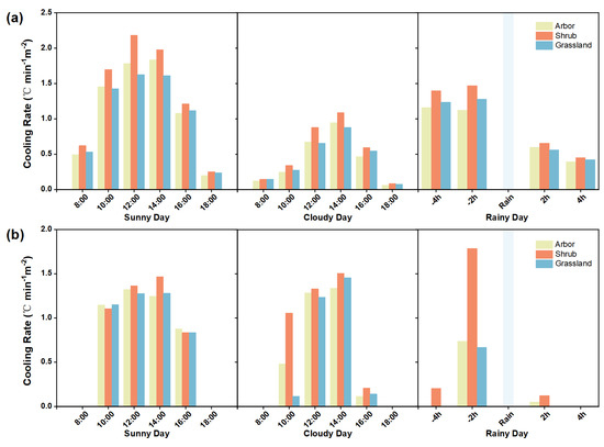
3.4.1. Temporal Variation in Evaporative Cooling Rate of Different Vegetation Types
3.4.2. Spatial Variation in Evaporative Cooling Rate of Different Vegetation
4. Discussion
4.1. The Influence of Climatic Factors on the Thermal Effect of Intensive Green Roof Vegetation
4.1.1. Solar Radiation
4.1.2. Rainfall
4.1.3. Wind Speed
4.2. Spatial and Temporal Characteristics of Evaporative Cooling Rate of Intensive Green Roofs
4.3. Limitations and Future Work
5. Conclusions
Author Contributions
Funding
Institutional Review Board Statement
Informed Consent Statement
Data Availability Statement
Conflicts of Interest
References
- Du, H.; Wang, D.; Wang, Y.; Zhao, X.; Qin, F.; Jiang, H.; Cai, Y. Influences of Land Cover Types, Meteorological Conditions, Anthropogenic Heat and Urban Area on Surface Urban Heat Island in the Yangtze River Delta Urban Agglomeration. Sci. Total Environ. 2016, 571, 461–470. [Google Scholar] [CrossRef] [PubMed]
- Zhou, X.; Chen, H. Impact of Urbanization-Related Land Use Land Cover Changes and Urban Morphology Changes on the Urban Heat Island Phenomenon. Sci. Total Environ. 2018, 635, 1467–1476. [Google Scholar] [CrossRef] [PubMed]
- Guo, A.; Yang, J.; Xiao, X.; Cecilia, J.X.; Jin, C.; Li, X. Influences of Urban Spatial Form on Urban Heat Island Effects at the Community Level in China. Sustain. Cities Soc. 2020, 53, 101972. [Google Scholar] [CrossRef]
- Yu, Z.; Guo, X.; Gertrud, J.; Henrik, V. How Can Urban Green Spaces Be Planned for Climate Adaptation in Subtropical Cities? Ecol. Indic. 2017, 82, 152–162. [Google Scholar] [CrossRef]
- Kim, S.W.; Brown, R.D. Urban Heat Island (Uhi) Intensity and Magnitude Estimations: A Systematic Literature Review. Sci. Total Environ. 2021, 779, 146389. [Google Scholar] [CrossRef] [PubMed]
- Yuan, J.; Lin, Q.; Chen, S.; Zhao, H.; Xie, X.; Cai, Z.; Zhang, J.; Cheng, T.; Hua, M.; Zhang, R. Influence of Global Warming and Urbanization on Regional Climate of Megacity: A Case Study of Chengdu, China. Urban Clim. 2022, 44, 101227. [Google Scholar] [CrossRef]
- Heaviside, C.; Macintyre, H.; Vardoulakis, S. The Urban Heat Island: Implications for Health in a Changing Environment. Curr. Environ. Health Rep. 2017, 4, 296–305. [Google Scholar] [CrossRef]
- Chen, Y.; Wang, Y.; Zhou, D.; Gu, Z.; Meng, X. Summer Urban Heat Island Mitigation Strategy Development for High-Anthropogenic-Heat-Emission Blocks. Sustain. Cities Soc. 2022, 87, 104197. [Google Scholar] [CrossRef]
- Joshi, M.Y.; Teller, J. Assessing Urban Heat Island Mitigation Potential of Realistic Roof Greening across Local Climate Zones: A Highly-Resolved Weather Research and Forecasting Model Study. Sci. Total Environ. 2024, 944, 173728. [Google Scholar] [CrossRef]
- Besir, A.B.; Cuce, E. Green Roofs and Facades: A Comprehensive Review. Renew. Sustain. Energy Rev. 2018, 82, 915–939. [Google Scholar] [CrossRef]
- Cuthbert, M.O.; Rau, G.C.; Ekström, M.; O’carroll, D.M.; Bates, A.J. Global Climate-Driven Trade-Offs between the Water Retention and Cooling Benefits of Urban Greening. Nat. Commun. 2022, 13, 518. [Google Scholar] [CrossRef] [PubMed]
- O’Carroll, D.M.; Sia, M.E.; Staniec, M.; Voogt, J.A.; Lundholm, J.T.; Smart, C.C.; Robinson, C.E. Influence of Vegetation Type and Climatological Conditions on Evapotranspiration from Extensive Green Roofs. J. Hydrol. 2023, 617, 128951. [Google Scholar] [CrossRef]
- Labuschagne, P.; Zulch, B. Green Rooftop Systems: A South African Perspective. Energy Procedia 2016, 96, 710–716. [Google Scholar] [CrossRef]
- Abuseif, M.; Dupre, K.; Michael, R.N. The Effect of Green Roof Configurations Including Trees in a Subtropical Climate: A Co-Simulation Parametric Study. J. Clean. Prod. 2021, 317, 128458. [Google Scholar] [CrossRef]
- Williams, N.S.; Bathgate, R.S.; Farrell, C.; Lee, K.E.; Szota, C.; Bush, J.; Johnson, K.A.; Miller, R.E.; Pianella, A.; Sargent, L.D.; et al. Ten Years of Greening a Wide Brown Land: A Synthesis of Australian Green Roof Research and Roadmap Forward. Urban For. Urban Green. 2021, 62, 127179. [Google Scholar] [CrossRef]
- Cascone, S.; Coma, J.; Gagliano, A.; Pérez, G. The Evapotranspiration Process in Green Roofs: A Review. Build. Environ. 2019, 147, 337–355. [Google Scholar] [CrossRef]
- Poë, S.; Stovin, V.; Berretta, C. Parameters Influencing the Regeneration of a Green Roof’s Retention Capacity Via Evapotranspiration. J. Hydrol. 2015, 523, 356–367. [Google Scholar] [CrossRef]
- Stovin, V.; Poë, S.; De-Ville, S.; Berretta, C. The Influence of Substrate and Vegetation Configuration on Green Roof Hydrological Performance. Ecol. Eng. 2015, 85, 159–172. [Google Scholar] [CrossRef]
- Brandão, C.; Cameira, M.D.R.; Valente, F.; de Carvalho, R.C.; Paço, T.A. Wet Season Hydrological Performance of Green Roofs Using Native Species under Mediterranean Climate. Ecol. Eng. 2017, 102, 596–611. [Google Scholar] [CrossRef]
- Wang, J.; Garg, A.; Huang, S.; Mei, G.; Liu, J.; Zhang, K.; Gan, L. The Rainwater Retention Mechanisms in Extensive Green Roofs with Ten Different Structural Configurations. Water Sci. Technol. 2021, 84, 1839–1857. [Google Scholar] [CrossRef]
- Berretta, C.; Poë, S.; Stovin, V. Moisture Content Behaviour in Extensive Green Roofs During Dry Periods: The Influence of Vegetation and Substrate Characteristics. J. Hydrol. 2014, 511, 374–386. [Google Scholar] [CrossRef]
- Tan, C.L.; Tan, P.Y.; Wong, N.H.; Takasuna, H.; Kudo, T.; Takemasa, Y.; Lim, C.V.J.; Chua, H.X.V. Impact of Soil and Water Retention Characteristics on Green Roof Thermal Performance. Energy Build. 2017, 152, 830–842. [Google Scholar] [CrossRef]
- Dong, Z.; Bain, D.J.; Paudel, S.; Buck, J.K.; Ng, C. Impact of Native Vegetation and Soil Moisture Dynamics on Evapotranspiration in Green Roof Systems. Sci. Total Environ. 2024, 952, 175747. [Google Scholar] [CrossRef] [PubMed]
- Feng, Y.; Burian, S.J.; Pardyjak, E.R. Observation and Estimation of Evapotranspiration from an Irrigated Green Roof in a Rain-Scarce Environment. Water 2018, 10, 262. [Google Scholar] [CrossRef]
- Kaiser, D.; Köhler, M.; Schmidt, M.; Wolff, F. Increasing Evapotranspiration on Extensive Green Roofs by Changing Substrate Depths, Construction, and Additional Irrigation. Buildings 2019, 9, 173. [Google Scholar] [CrossRef]
- Chow, M.F.; Abu Bakar, M.F.; Wong, J.K.; Ling, L. Evapotranspiration Measurement and Estimation of Crop Coefficient for Native Plant Species of Green Roof in the Tropics. Water 2021, 13, 1669. [Google Scholar] [CrossRef]
- Yan, J.; Zhang, S.; Zhang, J.; Zhang, S.; Zhang, C.; Yang, H.; Wang, R.; Wei, L. Stormwater Retention Performance of Green Roofs with Various Configurations in Different Climatic Zones. J. Environ. Manag. 2022, 319, 115447. [Google Scholar] [CrossRef]
- Zhang, Y.; Qin, H.; Zhang, J.; Hu, Y. An in-Situ Measurement Method of Evapotranspiration from Typical Lid Facilities Based on the Three-Temperature Model. J. Hydrol. 2020, 588, 125105. [Google Scholar] [CrossRef]
- Feng, L.; Tian, H.; Qiao, Z.; Zhao, M.; Liu, Y. Detailed Variations in Urban Surface Temperatures Exploration Based on Unmanned Aerial Vehicle Thermography. IEEE J. Sel. Top. Appl. Earth Obs. Remote Sens. 2020, 13, 204–216. [Google Scholar] [CrossRef]
- Chen, J.; Yin, H.; Kong, F. Measuring the Performance of Green Roof Cooling Effects from a Multi-Dimensional Perspective. Acta Ecol. Sin. 2020, 40, 1445–1454. [Google Scholar]
- Yu, X.; Yang, Y.; Tan, S.; Li, R.; Qin, H.; Qiu, G. Evapotranspiration and Its Cooling Effect of Urban Green Roof. Chin. J. Environ. Eng. 2017, 11, 5333–5340. [Google Scholar]
- Chen, P.-Y. Effects of Meteorological Variables and Substrate Moisture on Evapotranspiration and Thermal Performance of a Green Roof in a Subtropical Climate. Ecol. Eng. 2022, 180, 106663. [Google Scholar] [CrossRef]
- Liu, G.; Zhang, L.; He, B.; Jin, X.; Zhang, Q.; Razafindrabe, B.; You, H. Temporal Changes in Extreme High Temperature, Heat Waves and Relevant Disasters in Nanjing Metropolitan Region, China. Nat. Hazards 2015, 76, 1415–1430. [Google Scholar] [CrossRef]
- Kong, F.; Sun, C.; Liu, F.; Yin, H.; Jiang, F.; Pu, Y.; Cavan, G.; Skelhorn, C.; Middel, A.; Dronova, I. Energy Saving Potential of Fragmented Green Spaces Due to Their Temperature Regulating Ecosystem Services in the Summer. Appl. Energy 2016, 183, 1428–1440. [Google Scholar] [CrossRef]
- Qiu, G.Y.; Wang, B.; Li, T.; Zhang, X.; Zou, Z.; Yan, C. Estimation of the Transpiration of Urban Shrubs Using the Modified Three-Dimensional Three-Temperature Model and Infrared Remote Sensing. J. Hydrol. 2021, 594, 125940. [Google Scholar] [CrossRef]
- Xiong, B.-W.; Li, T.; Huang, Y.; Yan, C.-H.; Qiu, G.-Y. Effects of Different Reference Temperature Values on the Accuracy of Vegetation Transpiration Estimation by Three-Temperature Model. Chin. J. Plant Ecol. 2022, 46, 383–393. [Google Scholar] [CrossRef]
- Xiong, Y.J.; Qiu, G.Y. Simplifying the Revised Three-Temperature Model for Remotely Estimating Regional Evapotranspiration and Its Application to a Semi-Arid Steppe. Int. J. Remote Sens. 2014, 35, 2003–2027. [Google Scholar] [CrossRef]
- Jensen, M.E.; Allen, R.G. Evaporation, Evapotranspiration, and Irrigation Water Requirements; ASCE Press: Reston, VA, USA, 2016. [Google Scholar]
- Zou, Z.; Yang, Y.; Qiu, G.Y. Quantifying the Evapotranspiration Rate and Its Cooling Effects of Urban Hedges Based on Three-Temperature Model and Infrared Remote Sensing. Remote Sens. 2019, 11, 202. [Google Scholar] [CrossRef]
- Burman, R.D.; Cuenca, R.H.; Weiss, A. Techniques for Estimating Irrigation Water Requirements. In Advances in Irrigation; Daniel, H., Ed.; Elsevier: Amsterdam, The Netherlands, 1983; pp. 335–394. [Google Scholar]
- Mu, Q.; Zhao, M.; Running, S.W. Improvements to a Modis Global Terrestrial Evapotranspiration Algorithm. Remote Sens. Environ. 2011, 115, 1781–1800. [Google Scholar] [CrossRef]
- Feng, L.; Liu, Y.; Zhou, Y.; Yang, S. A Uav-Derived Thermal Infrared Remote Sensing Three-Temperature Model and Estimation of Various Vegetation Evapotranspiration in Urban Micro-Environments. Urban For. Urban Green. 2022, 69, 127495. [Google Scholar] [CrossRef]
- Gavilán, P.; Berengena, J. Accuracy of the Bowen Ratio-Energy Balance Method for Measuring Latent Heat Flux in a Semiarid Advective Environment. Irrig. Sci. 2007, 25, 127–140. [Google Scholar] [CrossRef]
- Dyer, A.J. A Review of Flux-Profile Relationships. Bound.-Layer Meteorol. 1974, 7, 363–372. [Google Scholar] [CrossRef]
- Zhu, L.-W.; Zhao, P. Temporal Variation in Sap-Flux-Scaled Transpiration and Cooling Effect of a Subtropical Schima Superba Plantation in the Urban Area of Guangzhou. J. Integr. Agric. 2013, 12, 1350–1356. [Google Scholar] [CrossRef]
- Feller, U. Stomatal Opening at Elevated Temperature: An Underestimated Regulatory Mechanism. Genet. Plant Physiol. 2006, 32, 19–31. [Google Scholar]
- Wen, H.Y.; Yan, C.H.; Gao, H.H.; Chen, Z.; Huang, W.B.; Qiu, G.Y. Study on Characteristics of Three-Dimensional Cool Island Effect and Evapotranspiration Contribution of Individual Urban Tree. Acta Sci. Nat. Univ. Pekin. 2021, 57, 975–982. [Google Scholar]
- Tabares-Velasco, P.C.; Srebric, J. A Heat Transfer Model for Assessment of Plant Based Roofing Systems in Summer Conditions. Build. Environ. 2012, 49, 310–323. [Google Scholar] [CrossRef]
- Jim, C.Y.; Tsang, S.W. Ecological Energetics of Tropical Intensive Green Roof. Energy Build. 2011, 43, 2696–2704. [Google Scholar] [CrossRef]
- Lazzarin, R.M.; Castellotti, F.; Busato, F. Experimental Measurements and Numerical Modelling of a Green Roof. Energy Build. 2005, 37, 1260–1267. [Google Scholar] [CrossRef]
- Lin, B.-S.; Yu, C.-C.; Su, A.-T.; Lin, Y.-J. Impact of Climatic Conditions on the Thermal Effectiveness of an Extensive Green Roof. Build. Environ. 2013, 67, 26–33. [Google Scholar] [CrossRef]
- Talebi, A.; Bagg, S.; Sleep, B.E.; O’Carroll, D.M. Water Retention Performance of Green Roof Technology: A Comparison of Canadian Climates. Ecol. Eng. 2019, 126, 1–15. [Google Scholar] [CrossRef]
- Citakoglu, H.; Cobaner, M.; Haktanir, T.; Kisi, O. Estimation of Monthly Mean Reference Evapotranspiration in Turkey. Water Resour. Manag. 2014, 28, 99–113. [Google Scholar] [CrossRef]
- Yu, H.; Wen, X.; Li, B.; Yang, Z.; Wu, M.; Ma, Y. Uncertainty Analysis of Artificial Intelligence Modeling Daily Reference Evapotranspiration in the Northwest End of China. Comput. Electron. Agric. 2020, 176, 105653. [Google Scholar] [CrossRef]
- Tabares-Velasco, P.C.; Srebric, J. Experimental Quantification of Heat and Mass Transfer Process through Vegetated Roof Samples in a New Laboratory Setup. Int. J. Heat Mass Transf. 2011, 54, 5149–5162. [Google Scholar] [CrossRef]
- Tsang, S.W.; Jim, C.Y. Theoretical Evaluation of Thermal and Energy Performance of Tropical Green Roofs. Energy 2011, 36, 3590–3598. [Google Scholar] [CrossRef]
- Liu, Z.; Cheng, W.; Jim, C.Y.; Morakinyo, T.E.; Shi, Y.; Ng, E. Heat Mitigation Benefits of Urban Green and Blue Infrastructures: A Systematic Review of Modeling Techniques, Validation and Scenario Simulation in Envi-Met V4. Build. Environ. 2021, 200, 107939. [Google Scholar] [CrossRef]
- Fleck, R.; Gill, R.L.; Saadeh, S.; Pettit, T.; Wooster, E.; Torpy, F.; Irga, P. Urban Green Roofs to Manage Rooftop Microclimates: A Case Study from Sydney, Australia. Build. Environ. 2022, 209, 108673. [Google Scholar] [CrossRef]
- Robbiati, F.; Cáceres, N.; Hick, E.; Suarez, M.; Soto, S.; Barea, G.; Matoff, E.; Galetto, L.; Imhof, L. Vegetative and Thermal Performance of an Extensive Vegetated Roof Located in the Urban Heat Island of a Semiarid Region. Build. Environ. 2022, 212, 108791. [Google Scholar] [CrossRef]
- Lilliana, P.; Jim, C. Seasonal and Diurnal Thermal Performance of a Subtropical Extensive Green Roof: The Impacts of Background Weather Parameters. Sustainability 2015, 7, 11098–11113. [Google Scholar] [CrossRef]
- He, Y.; Lin, E.S.; Zhang, W.; Tan, C.L.; Tan, P.Y.; Wong, N.H. Local Microclimate above Shrub and Grass in Tropical City: A Case Study in Singapore. Urban Clim. 2022, 43, 101142. [Google Scholar] [CrossRef]
- Takakura, T.; Kitade, S.; Goto, E. Cooling Effect of Greenery Cover over a Building. Energy Build. 2000, 31, 1–6. [Google Scholar] [CrossRef]
- Ferrante, P.; La Gennusa, M.; Peri, G.; Rizzo, G.; Scaccianoce, G. Vegetation Growth Parameters and Leaf Temperature: Experimental Results from a Six Plots Green Roofs’ System. Energy 2016, 115, 1723–1732. [Google Scholar] [CrossRef]









| Date | Weather Condition | Observation Time | Note Time Point |
|---|---|---|---|
| 28 July 2022 | Rainy | Before and after rain | 12,14,18,20 |
| 9 August 2022 | Sunny | All day | 8,10,12,14,16,18,20,22 |
| 10 August 2022 | Sunny | All day | 8,10,12,14,16,18,20,22 |
| 15 August 2022 | Sunny | All day | 8,10,12,14,16,18,20,22 |
| 16 August 2022 | Cloudy | All day | 8,10,12,14,16,18,20,22 |
| 17 August 2022 | Cloudy | All day | 8,10,12,14,16,18,20,22 |
| 20 August 2022 | Rainy | Before and after rain | 12,14,18,20 |
| 29 August 2022 | Rainy | Before and after rain | 8,10,14,16 |
| 15 December 2022 | Sunny | All day | 8,10,12,14,16,18,20,22 |
| 16 December 2022 | Rainy | Before and after rain | 10,12,20,22 |
| 28 December 2022 | Cloudy | All day | 8,10,12,14,16,18,20,22 |
| 30 December 2022 | Sunny | All day | 8,10,12,14,16,18,20,22 |
| 2 January 2023 | Cloudy | All day | 8,10,12,14,16,18,20,22 |
| 3 January 2023 | Sunny | All day | 8,10,12,14,16,18,20,22 |
| 5 January 2023 | Cloudy | All day | 8,10,12,14,16,18,20,22 |
| 12 January 2023 | Rainy | Before and after rain | 12,14,18,20 |
| 23 February 2023 | Rainy | Before and after rain | 8,10, next day 8,10 |
| Meteorological Elements | Equipment Model | Measuring Height (m) | Measuring Accuracy |
|---|---|---|---|
| Vegetation temperature and humidity | NB/LORA IOT wireless sensor | 2, 1.5 | 0.1 °C, 0.1%RH |
| Air temperature and humidity | TES-1341 hot-wire anemometer | 1.5 | 0.1 °C, 0.1%RH |
| Wind velocity | TES-1341 hot-wire anemometer | 1.5 | 0.01 m/s |
| Net solar radiation | TES-1333 solar power meter | 2 | 0.1 W/m2 |
| Atmospheric pressure | WheatA meteorological platforms | — | 10 km (hour-by-hour) |
Disclaimer/Publisher’s Note: The statements, opinions and data contained in all publications are solely those of the individual author(s) and contributor(s) and not of MDPI and/or the editor(s). MDPI and/or the editor(s) disclaim responsibility for any injury to people or property resulting from any ideas, methods, instructions or products referred to in the content. |
© 2024 by the authors. Licensee MDPI, Basel, Switzerland. This article is an open access article distributed under the terms and conditions of the Creative Commons Attribution (CC BY) license (https://creativecommons.org/licenses/by/4.0/).
Share and Cite
Xu, H.; Chen, H.; Qian, C.; Li, J. The Evapotranspiration Characteristics and Evaporative Cooling Effects of Different Vegetation Types on an Intensive Green Roof: Dynamic Performance Under Different Weather Conditions. Sustainability 2024, 16, 10812. https://doi.org/10.3390/su162410812
Xu H, Chen H, Qian C, Li J. The Evapotranspiration Characteristics and Evaporative Cooling Effects of Different Vegetation Types on an Intensive Green Roof: Dynamic Performance Under Different Weather Conditions. Sustainability. 2024; 16(24):10812. https://doi.org/10.3390/su162410812
Chicago/Turabian StyleXu, Haishun, Huiying Chen, Chen Qian, and Jining Li. 2024. "The Evapotranspiration Characteristics and Evaporative Cooling Effects of Different Vegetation Types on an Intensive Green Roof: Dynamic Performance Under Different Weather Conditions" Sustainability 16, no. 24: 10812. https://doi.org/10.3390/su162410812
APA StyleXu, H., Chen, H., Qian, C., & Li, J. (2024). The Evapotranspiration Characteristics and Evaporative Cooling Effects of Different Vegetation Types on an Intensive Green Roof: Dynamic Performance Under Different Weather Conditions. Sustainability, 16(24), 10812. https://doi.org/10.3390/su162410812
