How Green Transformational Leaders Trigger Environmental Performance? Unleashing the Missing Links Through Green Self-Efficacy, Green Empowerment, and Green Training of Employees
Abstract
1. Introduction
2. Theoretical Framework and Hypothesis Development
2.1. Dynamic Capabilities Theory (DCT)
2.2. Theoretical Framework
2.3. Green Transformational Leaders and Environmental Performance (GTL-EP)
2.4. Green Empowerment (GE) as a Mediator
2.5. Green Self-Efficacy (GSE) as a Mediator
2.6. Green Training (GT) as Moderator
3. Methodology
3.1. Study Context
3.2. Sampling Procedures
3.3. Questionnaire
3.4. Common Method Variance
4. Data Analysis and Results
4.1. Assessment of the Measurement Model
4.2. The Structural Model
5. Discussion
5.1. Theoretical Implications
5.2. Practical Implications
5.3. Limitations and Future Directions
Author Contributions
Funding
Institutional Review Board Statement
Informed Consent Statement
Data Availability Statement
Acknowledgments
Conflicts of Interest
References
- Mazurkiewicz, P. Corporate environmental responsibility: Is a common CSR framework possible. World Bank 2004, 2, 1–18. [Google Scholar]
- Babiak, K.; Trendafilova, S. CSR and environmental responsibility: Motives and pressures to adopt green management practices. Corp. Soc. Responsib. Environ. Manag. 2011, 18, 11–24. [Google Scholar] [CrossRef]
- Patil, D.Y.D. Corporate social responsibility towards environmental management. SSRN Electron. J. 2014. [Google Scholar] [CrossRef]
- Hunjet, A.; Jurinić, V.; Vuković, D. Environmental impact of corporate social responsibility. In SHS Web of Conferences; EDP Sciences: Les Ulis, France, 2021; Volume 92, p. 06013. [Google Scholar]
- Sun, X.; El-Askary, A.; Meo, M.S.; Hussain, B. Green transformational leadership and environmental performance in small and medium enterprises. Econ. Res.-Ekon. Istraživanja 2022, 35, 5273–5291. [Google Scholar] [CrossRef]
- Al-Swidi, A.K.; Gelaidan, H.M.; Saleh, R.M. The joint impact of green human resource management, leadership and organizational culture on employees’ green behaviour and organisational environmental performance. J. Clean. Prod. 2021, 316, 128112. [Google Scholar] [CrossRef]
- Chen, Y.S.; Chang, C.H.; Yeh, S.L.; Cheng, H.I. Green shared vision and green creativity: The mediation roles of green mindfulness and green self-efficacy. Qual. Quant. 2015, 49, 1169–1184. [Google Scholar] [CrossRef]
- Hu, X.; Li, R.Y.M.; Kumari, K.; Ben Belgacem, S.; Fu, Q.; Khan, M.A.; Alkhuraydili, A.A. Relationship between green leaders’ emotional intelligence and employees’ green behavior: A PLS-SEM approach. Behav. Sci. 2022, 13, 25. [Google Scholar] [CrossRef] [PubMed]
- Dubey, R.; Gunasekaran, A.; Ali, S.S. Exploring the relationship between leadership, operational practices, institutional pressures and environmental performance: A framework for green supply chain. Int. J. Prod. Econ. 2015, 160, 120–132. [Google Scholar] [CrossRef]
- Zafar, A.; Nisar, Q.A.; Shoukat, M.; Ikram, M. Green transformational leadership and green performance: The mediating role of green mindfulness and green self-efficacy. Int. J. Manag. Excell. 2017, 9, 1059–1066. [Google Scholar]
- Shaukat, F.; Ming, J. Green marketing orientation impact on business performance: Case of pharmaceutical industry of Pakistan. Front. Psychol. 2022, 13, 940278. [Google Scholar] [CrossRef]
- Belkhir, L.; Elmeligi, A. Carbon footprint of the global pharmaceutical industry and relative impact of its major players. J. Clean Prod. 2019, 214, 185–194. [Google Scholar] [CrossRef]
- Jose, J.; Philip, L. Continuous flow pulsed power plasma reactor for the treatment of aqueous solution containing volatile organic compounds and real pharmaceutical wastewater. J. Environ. Manag. 2021, 286, 112202. [Google Scholar] [CrossRef] [PubMed]
- Fallah, Z.; Zare, E.N.; Ghomi, M.; Ahmadijokani, F.; Amini, M.; Tajbakhsh, M.; Arjmand, M.; Sharma, G.; Ali, H.; Ahmad, A.; et al. Toxicity and remediation of pharmaceuticals and pesticides using metal oxides and carbon nanomaterials. Chemosphere 2021, 275, 130055. [Google Scholar] [CrossRef] [PubMed]
- Lin, J.; Zhou, Q.; Zhu, W.; Li, Q.; Xu, L.; Chen, W.; Wang, J.; Zhang, X.; Hu, W.; Li, M. Formation of formaldehyde as an artifact peak in head space GC analysis resulting from decomposition of sample diluent DMSO: A GC-MS investigation with deuterated DMSO. J. Pharm. Biomed Anal. 2020, 188, 113361. [Google Scholar] [CrossRef]
- Yaseen, G.; Ahmad, M.; Zafar, M.; Akram, A.; Sultana, S.; Kilic, O.; Sonmez, G.D. Current status of solvents used in the pharmaceutical industry. In Green Sustainable Process for Chemical and Environmental Engineering and Science; Elsevier: Amsterdam, The Netherlands, 2021; pp. 195–219. [Google Scholar]
- Jia, J.; Liu, H.; Chin, T.; Hu, D. The continuous mediating effects of GHRM on employees’ green passion via transformational leadership and green creativity. Sustainability 2018, 10, 3237. [Google Scholar] [CrossRef]
- Ahmeda, U.; Mozammelb, S.; Zamanc, F. Green HRM and green innovation: Can green transformational leadership moderate: Case of pharmaceutical firms in Australia. Syst. Rev. Pharm 2020, 11, 616–617. [Google Scholar]
- Begum, S.; Ashfaq, M.; Xia, E.; Awan, U. Does green transformational leadership lead to green innovation? The role of green thinking and creative process engagement. Bus. Strategy Environ. 2022, 31, 580–597. [Google Scholar] [CrossRef]
- Singh, S.K.; Del Giudice, M.; Chierici, R.; Graziano, D. Green innovation and environmental performance: The role of green transformational leadership and green human resource management. Technol. Forecast. Soc. Change 2020, 150, 119762. [Google Scholar] [CrossRef]
- Miranda, I.T.P.; Moletta, J.; Pedroso, B.; Pilatti, L.A.; Picinin, C.T. A review on green technology practices at BRICS countries: Brazil, Russia, India, China, and South Africa. Sage Open 2021, 11, 21582440211013780. [Google Scholar] [CrossRef]
- Manzoor, F.; Wei, L.; Nurunnabi, M.; Subhan, Q.A.; Shah, S.I.A.; Fallatah, S. The impact of transformational leadership on job performance and CSR as mediator in SMEs. Sustainability 2019, 11, 436. [Google Scholar] [CrossRef]
- Al-Ghazali, B.M.; Gelaidan, H.M.; Shah, S.H.A.; Amjad, R. Green transformational leadership and green creativity? The mediating role of green thinking and green organizational identity in SMEs. Front. Psychol. 2022, 13, 977998. [Google Scholar] [CrossRef] [PubMed]
- Tosun, C.; Parvez, M.O.; Bilim, Y.; Yu, L. Effects of green transformational leadership on green performance of employees via the mediating role of corporate social responsibility: Reflection from North Cyprus. Int. J. Hosp. Manag. 2022, 103, 103218. [Google Scholar] [CrossRef]
- Sheldon, C.; Yoxon, M. Environmental Management Systems: A Step-by-Step Guide to Implementation and Maintenance; Routledge: London, UK, 2012. [Google Scholar]
- Bass, B.M. The future of leadership in learning organizations. J. Leadersh. Stud. 2000, 7, 18–40. [Google Scholar] [CrossRef]
- Sobaih, A.E.E.; Gharbi, H.; Hasanein, A.M.; Elnasr, A.E.A. The mediating effects of green innovation and corporate social responsibility on the link between transformational leadership and performance: An examination using SEM analysis. Mathematics 2022, 10, 2685–2698. [Google Scholar] [CrossRef]
- Kusi, M.; Zhao, F.; Sukamani, D. Impact of perceived organizational support and green transformational leadership on sustainable organizational performance: A SEM approach. Bus. Process Manag. J. 2021, 27, 1373–1390. [Google Scholar] [CrossRef]
- D’amato, A.; Henderson, S.; Florence, S. Corporate Social Responsibility and Sustainable Business. A Guide to Leadership Tasks and Functions; Academia: Cambridge, MA, USA, 2009; p. 102. [Google Scholar]
- Eisenbach, R.; Watson, K.; Pillai, R. Transformational leadership in the context of organizational change. J. Organ. Change Manag. 1999, 12, 80–89. [Google Scholar] [CrossRef]
- Chen, Y.S.; Chang, C.H.; Lin, Y.H. Green transformational leadership and green performance: The mediation effects of green mindfulness and green self-efficacy. Sustainability 2014, 6, 6604–6621. [Google Scholar] [CrossRef]
- Ahuja, J.; Yadav, M.; Sergio, R.P. Green leadership and pro-environmental behaviour: A moderated mediation model with rewards, self-efficacy and training. Int. J. Ethics Syst. 2023, 39, 481–501. [Google Scholar] [CrossRef]
- Teece, D.J.; Pisano, G.; Shuen, A. Dynamic capabilities and strategic management. Strateg. Manag. J. 1997, 18, 509–533. [Google Scholar] [CrossRef]
- Strauss, K.; Lepoutre, J.; Wood, G. Fifty shades of green: How microfoundations of sustainability dynamic capabilities vary across organizational contexts. J. Organ. Behav. 2017, 38, 1338–1355. [Google Scholar] [CrossRef]
- Kevill, A.; Trehan, K.; Easterby-Smith, M. Perceiving ‘capability’within dynamic capabilities: The role of owner-manager self-efficacy. Int. Small Bus. J. 2017, 35, 883–902. [Google Scholar] [CrossRef]
- Beske, P. Dynamic capabilities and sustainable supply chain management. Int. J. Phys. Distrib. Logist. Manag. 2012, 42, 372–387. [Google Scholar] [CrossRef]
- Helfat, C.E.; Finkelstein, S.; Mitchell, W.; Peteraf, M.; Singh, H.; Teece, D.; Winter, S. Dynamic Capabilities—Understanding Strategic Change In Organizations; Blackwell Publishing: Hoboken, NJ, USA, 2007. [Google Scholar]
- Teece, D.J. Explicating dynamic capabilities: The nature and microfoundations of (sustainable) enterprise performance. Strateg. Manag. J. 2007, 28, 1319–1350. [Google Scholar] [CrossRef]
- Helfat, C.E.; Martin, J.A. Dynamic managerial capabilities: Review and assessment of managerial impact on strategic change. J. Manag. 2015, 41, 1281–1312. [Google Scholar] [CrossRef]
- Ledi, K.K.; Prah, J.; Ameza–Xemalordzo, E.; Bandoma, S. Environmental performance reclaimed: Unleashing the power of green transformational leadership and dynamic capability. Cogent Bus. Manag. 2024, 11, 2378922. [Google Scholar] [CrossRef]
- Dangelico, R.M.; Albino, V.; Pujari, D. Dynamic capabilities for environmental sustainability (DCES): Antecedents and characteristics. In Proceedings of the 2010 Academy of Marketing Science (AMS) Annual Conference, Portland, OR, USA, 26–29 May 2014; Springer International Publishing: Cham, Switzerland, 2014; p. 125. [Google Scholar]
- Xu, F.; Wang, X. Transactional leadership and dynamic capabilities: The mediating effect of regulatory focus. Manag. Decis. 2018, 57, 2284–2306. [Google Scholar] [CrossRef]
- Ahmad, B.; Shafique, I.; Qammar, A.; Ercek, M.; Kalyar, M.N. Prompting green product and process innovation: Examining the effects of green transformational leadership and dynamic capabilities. Technol. Anal. Strateg. Manag. 2022, 36, 1111–1123. [Google Scholar] [CrossRef]
- Spreitzer, G.M. Psychological empowerment in the workplace: Dimensions, measurement, and validation. Acad. Manag. J. 1995, 38, 1442–1465. [Google Scholar] [CrossRef]
- Conger, J.A. Motivate performance through empowerment. In The Blackwell Handbook of Principles of Organizational Behaviour; Wiley: Hoboken, NJ, USA, 2017; pp. 143–155. [Google Scholar]
- Bandura, A. Social Foundations of Thought and Action; Prentice Hall: Englewood Cliffs, NJ, USA, 1986; Volume 2, pp. 23–28. [Google Scholar]
- Chen, Y.S.; Chang, C.H. The determinants of green product development performance: Green dynamic capabilities, green transformational leadership, and green creativity. J. Bus. Ethics 2013, 116, 107–119. [Google Scholar] [CrossRef]
- Stern, P.C.; Dietz, T.; Abel, T.; Guagnano, G.A.; Kalof, L. A value-belief-norm theory of support for social movements: The case of environmentalism. Hum. Ecol. Rev. 1999, 6, 81–97. [Google Scholar]
- Renwick, D.W.; Redman, T.; Maguire, S. Green human resource management: A review and research agenda. Int. J. Manag. Rev. 2013, 15, 1–14. [Google Scholar] [CrossRef]
- Bandura, A. Self-efficacy: Toward a unifying theory of behavioral change. Adv. Behav. Res. Ther. 1977, 1, 139–161. [Google Scholar] [CrossRef]
- Zaccaro, S.J.; Banks, D.J. Leadership, vision, and organizational effectiveness. Nat. Organ. Leadersh. Underst. Perform. Imp. Confronting Today’s Lead. 2001, 85, 181–218. [Google Scholar]
- DeChurch, L.A.; Hiller, N.J.; Murase, T.; Doty, D.; Salas, E. Leadership across levels: Levels of leaders and their levels of impact. Leadersh. Q. 2010, 21, 1069–1085. [Google Scholar] [CrossRef]
- Arif, S.; Akram, A. Transformational leadership and organizational performance: The mediating role of organizational innovation. SEISENSE J. Manag. 2018, 1, 59–75. [Google Scholar] [CrossRef]
- Strukan, E.; Nikolić, M.; Sefić, S. Impact of Transformational Leadership on Business Performance. Teh. Vjesn. Tech. Gaz. 2017, 24, 435–444. [Google Scholar]
- Hurduzeu, R.E. The impact of leadership on organizational performance. SEA–Pract. Appl. Sci. 2015, 3, 289–293. [Google Scholar]
- Toufaili, E.B. The effects of transformational leadership on organizational performance—A theoretical approach. In Proceedings of the International Management Conference, Saint Petersburg, Russia, 16–17 March 2017; Volume 11, pp. 153–163. [Google Scholar]
- Elkins, T.; Keller, R.T. Leadership in research and development organizations: A literature review and conceptual framework. Leadersh. Q. 2003, 14, 587–606. [Google Scholar] [CrossRef]
- Rehman, S.U.; Bhatti, A.; Chaudhry, N.I. Mediating effect of innovative culture and organizational learning between leadership styles at third-order and organizational performance in Malaysian SMEs. J. Glob. Entrep. Res. 2019, 9, 36. [Google Scholar] [CrossRef]
- Yousaf, Z. Go for green: Green innovation through green dynamic capabilities: Accessing the mediating role of green practices and green value co-creation. Environ. Sci. Pollut. Res. 2021, 28, 54863–54875. [Google Scholar] [CrossRef]
- Rupp, D.E.; Williams, C.A.; Aguilera, R.V. Increasing corporate social responsibility through stakeholder value internalization (and the catalyzing effect of new governance): An application of organizational justice, self-determination, and social influence theories. In Managerial Ethics: Managing the Psychology of Morality; Routledge: London, UK, 2011; pp. 69–88. [Google Scholar]
- Al-Shami, S.; Rashid, N. A holistic model of dynamic capabilities and environment management system towards eco-product innovation and sustainability in automobile firms. J. Bus. Ind. Mark. 2022, 37, 402–416. [Google Scholar] [CrossRef]
- Foss, N.J.; Schmidt, J.; Teece, D.J. Ecosystem leadership as a dynamic capability. Long Range Plan. 2023, 56, 102270. [Google Scholar] [CrossRef]
- Mittal, S.; Dhar, R.L. Effect of green transformational leadership on green creativity: A study of tourist hotels. Tour. Manag. 2016, 57, 118–127. [Google Scholar] [CrossRef]
- Milfont, T.L.; Sibley, C.G. The big five personality traits and environmental engagement: Associations at the individual and societal level. J. Environ. Psychol. 2012, 32, 187–195. [Google Scholar] [CrossRef]
- Davies, I.A.; Crane, A. Corporate social responsibility in small-and medium-size enterprises: Investigating employee engagement in fair trade companies. Bus. Ethics A Eur. Rev. 2010, 19, 126–139. [Google Scholar] [CrossRef]
- Tariq, S.; Jan, F.A.; Ahmad, M.S. Green employee empowerment: A systematic literature review on state-of-art in green human resource management. Qual. Quant. 2016, 50, 237–269. [Google Scholar] [CrossRef]
- Ali, R.; Ahmed, M.S. The impact of reward and recognition programs on employee’s motivation and satisfaction: An empirical study. Int. Rev. Bus. Res. Pap. 2009, 5, 270–279. [Google Scholar]
- Jackson, S.E.; Schuler, R.S.; Jiang, K. An aspirational framework for strategic human resource management. Acad. Manag. Ann. 2014, 8, 1–56. [Google Scholar] [CrossRef]
- John, G.; Clements-Croome, D.; Jeronimidis, G. Sustainable building solutions: A review of lessons from the natural world. Build. Environ. 2005, 40, 319–328. [Google Scholar] [CrossRef]
- Ramus, C.A.; Steger, U. The roles of supervisory support behaviors and environmental policy in employee “Ecoinitiatives” at leading-edge European companies. Acad. Manag. J. 2000, 43, 605–626. [Google Scholar] [CrossRef]
- Hoffman, A.J. The importance of fit between individual values and organisational culture in the greening of industry. Bus. Strategy Environ. 1993, 2, 10–18. [Google Scholar] [CrossRef]
- Ramus, C.A. Organizational support for employees: Encouraging creative ideas for environmental sustainability. Calif. Manag. Rev. 2001, 43, 85–105. [Google Scholar] [CrossRef]
- Yue, T.; Gao, C.; Chen, F.; Zhang, L.; Li, M. Can empowering leadership promote employees’ pro-environmental behavior? Empirical analysis based on psychological distance. Front. Psychol. 2022, 13, 774561–774572. [Google Scholar] [CrossRef] [PubMed]
- Faraz, N.A.; Ahmed, F.; Ying, M.; Mehmood, S.A. The interplay of green servant leadership, self-efficacy, and intrinsic motivation in predicting employees’ pro-environmental behavior. Corp. Soc. Responsib. Environ. Manag. 2021, 28, 1171–1184. [Google Scholar] [CrossRef]
- Nisar, Q.A.; Haider, S.; Ali, F.; Gill, S.S.; Waqas, A. The Role of Green HRM on Environmental Performance of Hotels: Mediating Effect of Green Self-Efficacy & Employee Green Behaviors. J. Qual. Assur. Hosp. Tour. 2022, 25, 85–118. [Google Scholar]
- Yukl, G. An evaluation of conceptual weaknesses in transformational and charismatic leadership theories. Leadersh. Q. 1999, 10, 285–305. [Google Scholar] [CrossRef]
- Kirkpatrick, S.A.; Locke, E.A. Direct and indirect effects of three core charismatic leadership components on performance and attitudes. J. Appl. Psychol. 1996, 81, 36. [Google Scholar] [CrossRef]
- Zoogah, D.B. The dynamics of Green HRM behaviors: A cognitive social information processing approach. Ger. J. Hum. Resour. Manag. 2011, 25, 117–139. [Google Scholar] [CrossRef]
- Govindarajulu, N.; Daily, B.F. Motivating employees for environmental improvement. Ind. Manag. Data Syst. 2004, 104, 364–372. [Google Scholar] [CrossRef]
- Del Brío, J.Á.; Fernandez, E.; Junquera, B. Management and employee involvement in achieving an environmental action-based competitive advantage: An empirical study. Int. J. Hum. Resour. Manag. 2007, 18, 491–522. [Google Scholar] [CrossRef]
- Zibarras, L.D.; Coan, P. HRM practices used to promote pro-environmental behavior: A UK survey. Int. J. Hum. Resour. Manag. 2015, 26, 2121–2142. [Google Scholar] [CrossRef]
- Pham, N.T.; Phan, Q.P.T.; Tučková, Z.; Vo, N.; Nguyen, L.H. Enhancing the organizational citizenship behavior for the environment: The roles of green training and organizational culture. Manag. Mark. Chall. Knowl. Soc. 2018, 13, 1174–1189. [Google Scholar]
- Bissing-Olson, M.J.; Iyer, A.; Fielding, K.S.; Zacher, H. Relationships between daily affect and pro-environmental behavior at work: The moderating role of pro-environmental attitude. J. Organ. Behav. 2013, 34, 156–175. [Google Scholar] [CrossRef]
- Daily, B.F.; Huang, S.C. Achieving sustainability through attention to human resource factors in environmental management. Int. J. Oper. Prod. Manag. 2001, 21, 1539–1552. [Google Scholar] [CrossRef]
- ICAP.CA. 2018. Available online: https://www.icap.org.pk/paib/pdf/guidelines/PharmaIndustry.pdf (accessed on 5 October 2023).
- Kim, Y.J.; Kim, W.G.; Choi, H.M.; Phetvaroon, K. The effect of green human resource management on hotel employees’ eco-friendly behavior and environmental performance. Int. J. Hosp. Manag. 2019, 76, 83–93. [Google Scholar] [CrossRef]
- Roscoe, S.; Subramanian, N.; Jabbour, C.J.; Chong, T. Green human resource management and the enablers of green organisational culture: Enhancing a firm’s environmental performance for sustainable development. Bus. Strategy Environ. 2019, 28, 737–749. [Google Scholar] [CrossRef]
- Daily, B.F.; Bishop, J.W.; Massoud, J.A. The role of training and empowerment in environmental performance: A study of the Mexican maquiladora industry. Int. J. Oper. Prod. Manag. 2012, 32, 631–647. [Google Scholar] [CrossRef]
- Podsakoff, P.M.; MacKenzie, S.B.; Lee, J.Y.; Podsakoff, N.P. Common method biases in behavioral research: A critical review of the literature and recommended remedies. J. Appl. Psychol. 2003, 88, 879–891. [Google Scholar] [CrossRef]
- Hayes, A.F. Introduction to Mediation, Moderation, and Conditional Process Analysis. A Regression-Based Approach; The Guilford Press: New York, NY, USA, 2013. [Google Scholar]
- Hair, J.F., Jr.; Hult, G.T.M.; Ringle, C.M.; Sarstedt, M. A Primer on Partial Least Squares Structural Equation Modeling (PLS-SEM); Sage Publications: Thousand Oaks, CA, USA, 2021. [Google Scholar]
- Nunnally, J.C. Psychometric Theory—25 Years Ago and Now. Educ. Res. 1975, 4, 7–21. [Google Scholar]
- Fornell, C.; Larcker, D.F. Evaluating structural equation models with unobservable variables and measurement error. J. Mark. Res. 1981, 18, 39–50. [Google Scholar] [CrossRef]
- Nurul Alam, M.; Mashi, M.S.; Azizan, N.A.; Alotaibi, M.; Hashim, F. When and How Green Human Resource Management Practices Turn to Employees’ Pro-Environmental Behavior of Hotel Employees in Nigeria: The Role of Employee Green Commitment and Green Self-Efficacy. J. Qual. Assur. Hosp. Tour. 2023, 1–28. [Google Scholar] [CrossRef]
- Paillé, P.; Francoeur, V. Enabling employees to perform the required green tasks through support and empowerment. J. Bus. Res. 2022, 140, 420–429. [Google Scholar] [CrossRef]
- Pinto, L. Investigating the relationship between green supply chain purchasing practices and firms’ performance. J. Ind. Eng. Manag. 2023, 16, 78–101. [Google Scholar] [CrossRef]
- Sharma, M.; Shah, J.K.; Joshi, S. Modeling enablers of supply chain decarbonisation to achieve zero carbon emissions: An environment, social and governance (ESG) perspective. Environ. Sci. Pollut. Res. 2023, 30, 76718–76734. [Google Scholar] [CrossRef]
- Aragón-Correa, J.A.; Sharma, S. A contingent resource-based view of proactive corporate environmental strategy. Acad. Manag. Rev. 2003, 28, 71–88. [Google Scholar] [CrossRef]
- Saleem, M.; Qadeer, F.; Mahmood, F.; Han, H.; Giorgi, G.; Ariza-Montes, A. Inculcation of green behavior in employees: A multilevel moderated mediation approach. Int. J. Environ. Res. Public Health 2021, 18, 331. [Google Scholar] [CrossRef]
- Barney, J. Firm resources and sustained competitive advantage. J. Manag. 1991, 17, 99–120. [Google Scholar] [CrossRef]
- Jabbour, C.J.C. Environmental training and environmental management maturity of Brazilian companies with ISO14001: Empirical evidence. J. Clean. Prod. 2015, 96, 331–338. [Google Scholar] [CrossRef]
- Sharma, K.; Kaushik, G. Pharmaceuticals: An emerging problem of environment and its removal through biodegradation. In Environmental Microbiology and Biotechnology: Volume 2: Bioenergy and Environmental Health; Springer: Berlin/Heidelberg, Germany, 2021; pp. 267–292. [Google Scholar]
- Rizvi, Y.S.; Garg, R. The simultaneous effect of green ability-motivation-opportunity and transformational leadership in environment management: The mediating role of green culture. Benchmarking Int. J. 2021, 28, 830–856. [Google Scholar] [CrossRef]



| Category | No. of Respondents | Percentage | |
|---|---|---|---|
| Gender | Male | 147 | 59.5 |
| Female | 100 | 40.5 | |
| Age | 26–35 years | 53 | 21.5 |
| 36–45 years | 107 | 43.3 | |
| 46–55 years | 87 | 35.2 | |
| Experience | 1–5 years | 58 | 23.5 |
| 6–10 years | 99 | 40.1 | |
| Above 11 years | 90 | 36.4 | |
| Education | Bachelors | 96 | 38.9 |
| Masters | 129 | 52.2 | |
| MS/Phd | 22 | 8.9 |
| Construct/Variable | Standardized Coefficient | Average Variance Extracted | Cronbach’s Alpha | Composite Reliability |
|---|---|---|---|---|
| Green Transformational Leader (GTL) | 0.564 | 0.880 | 0.885 | |
| GTL1 | 0.686 | |||
| GTL 2 | 0.762 | |||
| GTL 3 | 0.774 | |||
| GTL 4 | 0.764 | |||
| GTL 5 | 0.849 | |||
| GTL 6 | 0.653 | |||
| Environmental Performance (EP) | 0.521 | 0.890 | 0.883 | |
| EP1 | 0.801 | |||
| EP 2 | 0.827 | |||
| EP 3 | 0.810 | |||
| EP 4 | 0.641 | |||
| EP 5 | 0.638 | |||
| EP 6 | 0.697 | |||
| EP 7 | 0.601 | |||
| Green Training (GT) | 0.651 | 0.894 | 0.903 | |
| GT 1 | 0.877 | |||
| GT 2 | 0.840 | |||
| GT 3 | 0.780 | |||
| GT 4 | 0.738 | |||
| GT 5 | 0.791 | |||
| Green Empowerment (GE) | 0.644 | 0.885 | 0.900 | |
| GE1 | 0.831 | |||
| GE2 | 0.724 | |||
| GE3 | 0.887 | |||
| GE4 | 0.770 | |||
| GE5 | 0.738 | |||
| Green Self-Efficacy (GSE) | 0.645 | 0.915 | 0.916 | |
| GSE1 | 0.810 | |||
| GSE2 | 0.767 | |||
| GSE3 | 0.842 | |||
| GSE4 | 0.798 | |||
| GSE5 | 0.791 | |||
| GSE6 | 0.808 |
| Factor | No of Items | Mean | s.d. | GTL | GE | GSF | GTD | EP | |
|---|---|---|---|---|---|---|---|---|---|
| 1 | GTL | 6 | 3.81 | 0.77 | 0.56 | ||||
| 2 | GE | 5 | 3.72 | 0.91 | 0.634 * (0.408) | 0.52 | |||
| 3 | GSF | 6 | 3.85 | 0.79 | 0.403 * (0.162) | 0.502 * (0.252) | 0.65 | ||
| 4 | GT | 5 | 2.96 | 1.09 | 0.367 * (0.135) | 0.475 * (0.225) | 0.294 * (0.086) | 0.64 | |
| 5 | EP | 7 | 4.95 | 1.06 | 0.335 * (0.112) | 0.404 * (0.163) | 0.444 * (0.197) | 0.375 * (0.140) | 0.65 |
| Path | Coefficient | Standard Error | t-Value | p-Value |
|---|---|---|---|---|
| GTL→EP | 0.125 | 0.20 | 1.197 | 0.231 |
| GTL→GSE | 0.477 | 0.06 | 6.349 | 0.000 |
| GTL→GE | 0.718 | 0.08 | 8.928 | 0.000 |
| GSE→EP | 0.387 | 0.06 | 5.138 | 0.000 |
| GE→EP | 0.166 | 0.08 | 1.740 | 0.082 |
| Standardized Effects using 2000 Bootstrap 95% CI | ||||
| Effect | Coefficient | Standard Error | 95% CI Lower Bound | 95% CI Upper Bound |
| Total | 0.429 * | 0.08 | 0.264 | 0.563 |
| Direct | 0.125 | 0.12 | −0.108 | 0.394 |
| Indirect | 0.304 * | 0.10 | 0.124 | 0.521 |
| Effects Using 5000 Bootstrap 95% CI | ||||
|---|---|---|---|---|
| Path | Coefficient | Standard Error | 95% CI Lower Bound | 95% CI Upper Bound |
| GTL→EP | 0.126 | 0.08 | −0.031 | 0.284 |
| GSE→EP | 0.251 * | 0.08 | 0.091 | 0.411 |
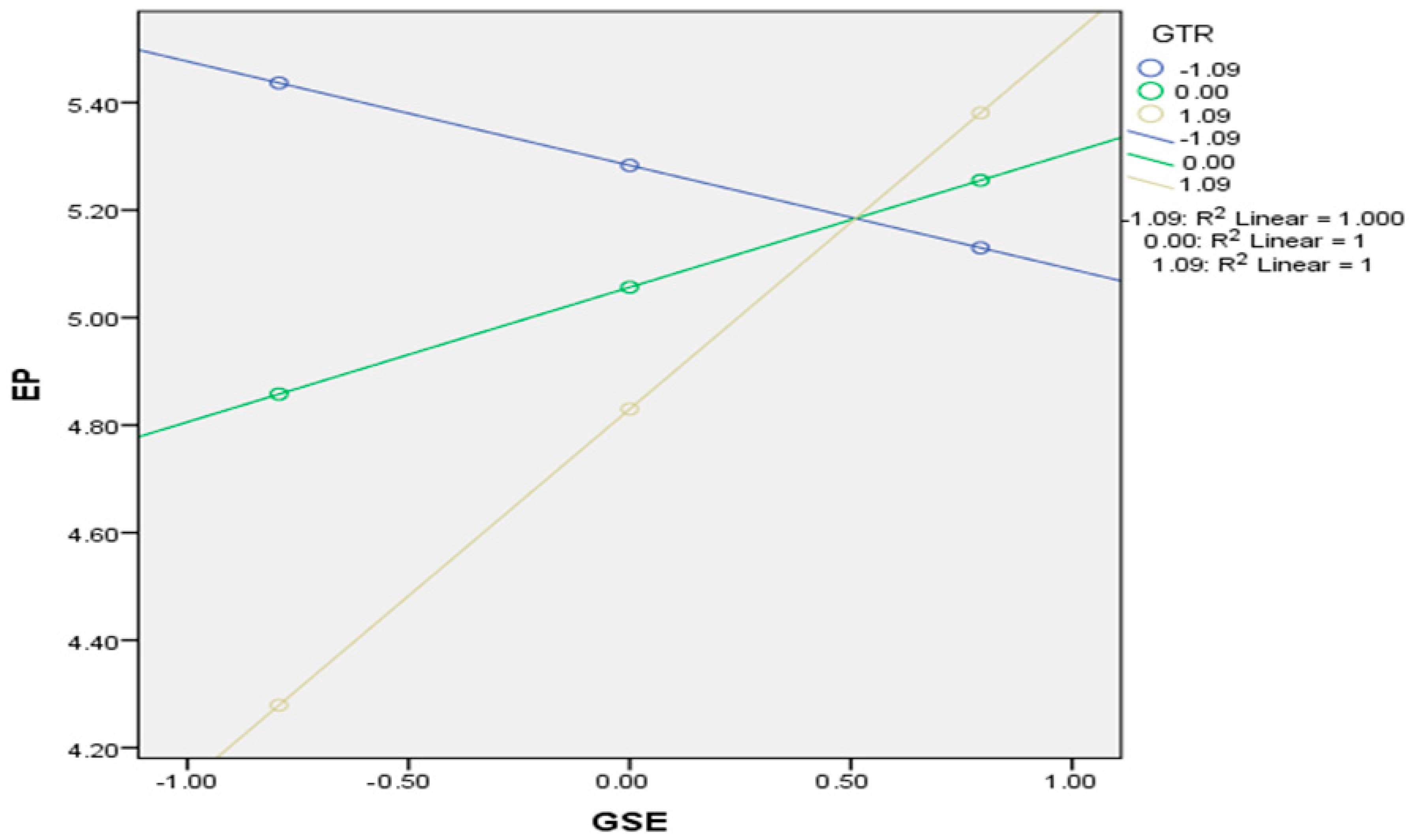
| GT→EP | −0.208 * | 0.05 | −0.315 | −0.101 |
| GSE-X-GT→EP | 0.408 * | 0.06 | 0.284 | 0.532 |
| Conditional Effects of GT Using 5000 Bootstrap 95% CI | ||||
| Green Training as Moderator | Coefficient | Standard Error | 95% CI Lower Bound | 95% CI Upper Bound |
| −1.089 (low) | −0.193 | 0.12 | −0.437 | 0.051 |
| 0.000 (moderate) | 0.251 * | 0.08 | 0.091 | 0.411 |
| 1.089 (high) | 0.695 * | 0.08 | 0.527 | 0.862 |
| Effects Using 5000 Bootstrap 95% CI | ||||
|---|---|---|---|---|
| Path | Coefficient | Standard Error | 95% CI Lower Bound | 95% CI Upper Bound |
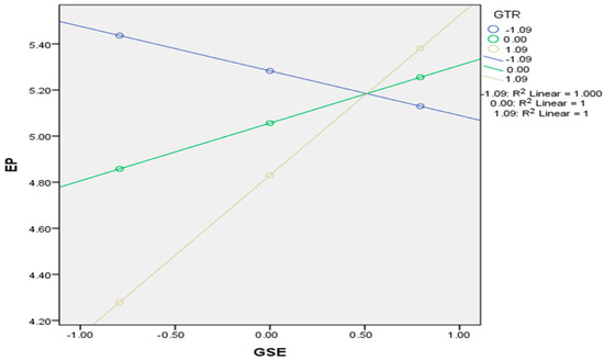
| GTL→EP | 0.068 | 0.10 | −0.129 | 0.265 |
| GE→EP | 0.160 *** | 0.09 | −0.020 | 0.340 |
| GTD→EP | −0.236 * | 0.06 | −0.358 | −0.115 |
| GE-X-GT→EP | 0.292 * | 0.06 | 0.164 | 0.420 |
| Conditional Effects of GT Using 5000 Bootstrap 95% CI | ||||
| Green Training as Moderator | Coefficient | Standard Error | 95% CI Lower Bound | 95% CI Upper Bound |
| −1.089 (low) | −0.158 | 0.13 | −0.414 | 0.098 |
| 0.000 (moderate) | 0.160 *** | 0.09 | −0.020 | 0.340 |
| 1.089 (high) | 0.478 * | 0.10 | 0.281 | 0.675 |
Disclaimer/Publisher’s Note: The statements, opinions and data contained in all publications are solely those of the individual author(s) and contributor(s) and not of MDPI and/or the editor(s). MDPI and/or the editor(s) disclaim responsibility for any injury to people or property resulting from any ideas, methods, instructions or products referred to in the content. |
© 2024 by the authors. Licensee MDPI, Basel, Switzerland. This article is an open access article distributed under the terms and conditions of the Creative Commons Attribution (CC BY) license (https://creativecommons.org/licenses/by/4.0/).
Share and Cite
Saleem, F.; Mateou, S.; Malik, M.I. How Green Transformational Leaders Trigger Environmental Performance? Unleashing the Missing Links Through Green Self-Efficacy, Green Empowerment, and Green Training of Employees. Sustainability 2024, 16, 9982. https://doi.org/10.3390/su16229982
Saleem F, Mateou S, Malik MI. How Green Transformational Leaders Trigger Environmental Performance? Unleashing the Missing Links Through Green Self-Efficacy, Green Empowerment, and Green Training of Employees. Sustainability. 2024; 16(22):9982. https://doi.org/10.3390/su16229982
Chicago/Turabian StyleSaleem, Farida, Sofia Mateou, and Muhammad Imran Malik. 2024. "How Green Transformational Leaders Trigger Environmental Performance? Unleashing the Missing Links Through Green Self-Efficacy, Green Empowerment, and Green Training of Employees" Sustainability 16, no. 22: 9982. https://doi.org/10.3390/su16229982
APA StyleSaleem, F., Mateou, S., & Malik, M. I. (2024). How Green Transformational Leaders Trigger Environmental Performance? Unleashing the Missing Links Through Green Self-Efficacy, Green Empowerment, and Green Training of Employees. Sustainability, 16(22), 9982. https://doi.org/10.3390/su16229982

