Novel Method for Evaluating Wetland Ecological Environment Quality Based on Coupled Remote Sensing Ecological Index and Landscape Pattern Indices: Case Study of Dianchi Lake Wetlands, China
Abstract
1. Introduction
2. Materials and Methods
2.1. Study Area
2.2. Data Source
2.3. Analytical Approaches
2.3.1. Landscape Pattern
2.3.2. Remote Sensing Ecological Index
2.3.3. RSEI Interference Proximity
3. Results and Analysis
3.1. Analysis of RSEI-K-Means Wetland Landscape Classification
3.2. Landscape Pattern Index
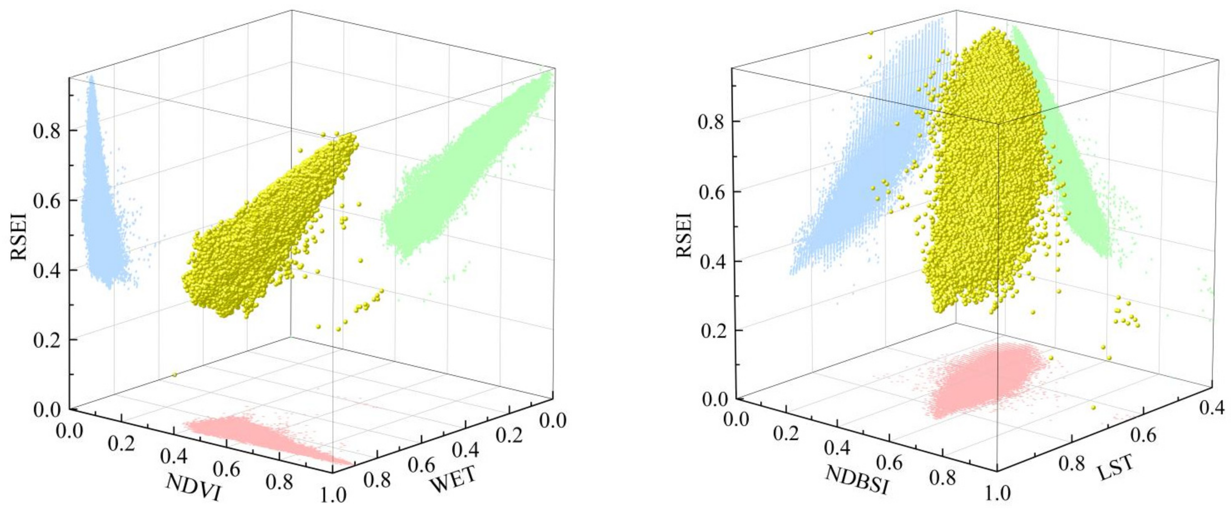
3.3. RSEI
4. Discussion
4.1. RSEI-K-Means Provides Effective Means for Wetland Landscape Classification
4.2. Human Activities Have Exacerbated the Fragmentation of the Landscape Patterns in the Dianchi Wetland
4.3. The Combined Effects of Human Activities and Landscape Patterns Have Made the Evolution Mechanism of Ecological Environment Quality in the Dianchi Wetland More Complex
4.4. Promotion of RSEI-K-Means for Wetland Ecological Environment Quality Assessment
5. Conclusions
- (1)
- This multi-indicator coupling approach provides a more detailed reflection of wetland ecological quality and serves as a robust method for monitoring environmental changes. Given that RSEI incorporates multiple ecological indicators, this method is broadly applicable to regions with complex landscape features and high ecological heterogeneity, especially in ecologically sensitive areas like the Dianchi wetlands. When evaluating multiple ecological indicators, the comprehensiveness of RSEI allows for strong adaptability to different ecological factors. The design of this method specifically considers the spatial heterogeneity of human activities, making it suitable for wetlands or other ecosystems significantly affected by human disturbances, such as areas impacted by urban expansion or agricultural development (e.g., the Guandu–Chenggong area studied here). Furthermore, the analysis based on RSEI disturbance proximity can further reveal the direct or indirect effects of human activities on ecosystems.
- (2)
- The incorporation of human disturbance metrics into the analysis further deepens our understanding of how the spatial heterogeneity of anthropogenic activities impacts wetland landscapes. This offers valuable insights into the dynamic interactions between landscape patterns and ecological changes across different spatial scales, revealing the mechanisms of landscape–ecology feedback. Consequently, this study presents a novel pathway for enhancing decision-making in wetland conservation and restoration efforts, emphasizing the spatial and temporal dimensions of human–environment interactions.
- (3)
- Future research directions should focus on refining the methodology by integrating additional ecological indicators and testing its application in diverse wetland types and geographic contexts. Moreover, the potential of RSEI for long-term monitoring under different climate scenarios and its use in predictive ecological modeling deserve further exploration. Such work will contribute to a deeper understanding of wetland ecosystem resilience and offer guidance for future conservation policies aimed at mitigating human impacts while promoting sustainable wetland management.
Author Contributions
Funding
Institutional Review Board Statement
Informed Consent Statement
Data Availability Statement
Conflicts of Interest
References
- An, S.; Li, H.; Guan, B.; Zhou, C.; Wang, Z.; Deng, Z.; Zhi, Y.; Liu, Y.; Xu, C.; Fang, S. China’s natural wetlands: Past problems, current status, and future challenges. AMBIO J. Hum. Environ. 2007, 36, 335–342. [Google Scholar] [CrossRef]
- QI, F.; WANG, F.; LIU, B.; FU, T.; GAO, H.; LIU, J. Supply and demand characteristics and scenario analysis of coastal wetland ecosystem services in Hebei Province. Chin. J. Eco-Agric. 2023, 31, 1133–1144. [Google Scholar]
- Ouyang, X.; Lee, S.Y. Improved estimates on global carbon stock and carbon pools in tidal wetlands. Nat. Commun. 2020, 11, 317. [Google Scholar] [CrossRef] [PubMed]
- Hanson, A.; Swanson, L.; Ewing, D.; Grabas, G.; Meyer, S.; Ross, L.; Watmough, M.; Kirkby, J. Wetland ecological functions assessment: An overview of approaches. Can. Wildl. Serv. Tech. Rep. Ser. 2008, 16, 123–125. [Google Scholar]
- Kaza, N.; BenDor, T.K. The land value impacts of wetland restoration. J. Environ. Manag. 2013, 127, 289–299. [Google Scholar] [CrossRef]
- Luan, G.; Zhao, F.; Xia, J.; Huang, Z.; Feng, S.; Song, C.; Dong, P.; Zhou, X. Analysis of long-term spatio-temporal changes of plateau urban wetland reveals the response mechanisms of climate and human activities: A case study from Dianchi Lake Basin 1993–2020. Sci. Total Environ. 2024, 912, 169447. [Google Scholar] [CrossRef]
- Huo, A.; Zhao, Z.; Luo, P.; Liu, Q.; Huang, Q.; Wang, Z.; Peng, J. Evolution of an arid social-ecosystem with different water utilization spanning 12,000 years. J. Clean. Prod. 2024, 460, 142548. [Google Scholar] [CrossRef]
- Zhou, K. Wetland landscape pattern evolution and prediction in the Yellow River Delta. Appl. Water Sci. 2022, 12, 190. [Google Scholar] [CrossRef]
- Ni, L.; Wang, D.; Singh, V.P.; Wu, J.; Wang, Y.; Tao, Y.; Liu, J.; Zou, Y.; He, R. A hybrid model-based framework for estimating ecological risk. J. Clean. Prod. 2019, 225, 1230–1240. [Google Scholar] [CrossRef]
- Murray, N.J.; Phinn, S.R.; DeWitt, M.; Ferrari, R.; Johnston, R.; Lyons, M.B.; Clinton, N.; Thau, D.; Fuller, R.A. The global distribution and trajectory of tidal flats. Nature 2019, 565, 222–225. [Google Scholar] [CrossRef]
- Xi, Y.; Peng, S.; Ciais, P.; Chen, Y. Future impacts of climate change on inland Ramsar wetlands. Nat. Clim. Chang. 2021, 11, 45–51. [Google Scholar] [CrossRef]
- Murray, N.J.; Clemens, R.S.; Phinn, S.R.; Possingham, H.P.; Fuller, R.A. Tracking the rapid loss of tidal wetlands in the Yellow Sea. Front. Ecol. Environ. 2014, 12, 267–272. [Google Scholar] [CrossRef]
- Shi, C.; Ding, H.; Zan, Q.; Li, R. Spatial variation and ecological risk assessment of heavy metals in mangrove sediments across China. Mar. Pollut. Bull. 2019, 143, 115–124. [Google Scholar] [CrossRef]
- Xu, H. A remote sensing index for assessment of regional ecological changes. China Environ. Sci. 2013, 33, 889–897. [Google Scholar]
- Su, H.; Lu, H.; Zheng, P.; Zheng, H.; Xue, Z.; Du, Q. Iterative Semi-Supervised Learning with Few-Shot Samples for Coastal Wetland Land Cover Classification. IEEE Trans. Geosci. Remote Sens. 2024, 62, 5529316. [Google Scholar] [CrossRef]
- Farsad Layegh, N.; Darvishzadeh, R.; Skidmore, A.K.; Persello, C.; Krüger, N. Integrating Semi-Supervised Learning with an Expert System for Vegetation Cover Classification Using Sentinel-2 and RapidEye Data. Remote Sens. 2022, 14, 3605. [Google Scholar] [CrossRef]
- Zhao, F.; Feng, S.; Xie, F.; Zhu, S.; Zhang, S. Extraction of long time series wetland information based on Google Earth Engine and random forest algorithm for a plateau lake basin—A case study of Dianchi Lake, Yunnan Province, China. Ecol. Indic. 2023, 146, 109813. [Google Scholar] [CrossRef]
- Yang, K.; Pan, M.; Luo, Y.; Chen, K.; Zhao, Y.; Zhou, X. A time-series analysis of urbanization-induced impervious surface area extent in the Dianchi Lake watershed from 1988–2017. Int. J. Remote Sens. 2019, 40, 573–592. [Google Scholar] [CrossRef]
- Guo, F.; Li, Z.; Meng, Q.; Ren, G.; Wang, L.; Wang, J.; Qin, H.; Zhang, J. Semi-supervised cross-domain feature fusion classification network for coastal wetland classification with hyperspectral and LiDAR data. Int. J. Appl. Earth Obs. Geoinf. 2023, 120, 103354. [Google Scholar] [CrossRef]
- Lin, Y.; Shen, M.; Liu, B.; Ye, Q. Remote sensing classification method of wetland based on an improved SVM. Int. Arch. Photogramm. Remote Sens. Spat. Inf. Sci. 2013, 40, 179–183. [Google Scholar] [CrossRef]
- Meng, X.; Zhang, S.; Zang, S. Lake wetland classification based on an SVM-CNN composite classifier and high-resolution images using wudalianchi as an example. J. Coast. Res. 2019, 93, 153–162. [Google Scholar] [CrossRef]
- Charvz Jr, P. Image-based atmospheric corrections-Revisited and revised. Photogramm. Eng. Remote Sens. 1996, 62, 1025–1036. [Google Scholar]
- Jin, W.; Li, H.; Wang, J.; Zhao, L.; Li, X.; Fan, W.; Chen, J. Continuous remote sensing ecological index (CRSEI): A novel approach for multitemporal monitoring of eco-environmental changes on large scale. Ecol. Indic. 2023, 154, 110739. [Google Scholar] [CrossRef]
- Yanming, Z.; Jun, W.; Xinhua, W. Study on the change trend of precipitation and temperature in Kunming city based on Mann-Kendall analysis. In Future Computer, Communication, Control and Automation, Proceedings of the 2011 International Symposium on Computer, Communication, Control and Automation (3CA 2011), Shanghai, China, 14–15 October 2011; Springer: Berlin/Heidelberg, Germany, 2012; pp. 505–513. [Google Scholar]
- Shen, F.; Li, L.; Zhai, H. Road network planning and street design based on the planning pattern of “High Street Density, Small Block Size”: A case study of central district planning in Chenggong new town of Kunming. City Plan. Rev. 2016, 40, 43–53. [Google Scholar]
- Lu, N.; Hernandez, A.J.; Ramsey, R.D. Land cover dynamics monitoring with Landsat data in Kunming, China: A cost-effective sampling and modelling scheme using Google Earth imagery and random forests. Geocarto Int. 2015, 30, 186–201. [Google Scholar] [CrossRef]
- Xiong, Y.; Mo, S.; Wu, H.; Qu, X.; Liu, Y.; Zhou, L. Influence of human activities and climate change on wetland landscape pattern—A review. Sci. Total Environ. 2023, 879, 163112. [Google Scholar] [CrossRef]
- Zhao, Z.; Huo, A.; Liu, Q.; Peng, J.; Elbeltagi, A.; Abuarab, M.E.-S.; Abu-Hashim, M.S.D. Spatiotemporal Variation in the Coupling Relationship between Human Activities and Soil Erosion—A Case Study in the Weihe River Basin. Sustainability 2023, 15, 10785. [Google Scholar] [CrossRef]
- Huo, A.; Liu, Q.; Zhao, Z.; Elbeltagi, A.; Abuarab, M.E.-S.; Ganjidoust, H. Habitat Quality Assessment and Driving Factor Analysis of Xiangyu in Feng River Basin Based on InVEST Model. Water 2023, 15, 4046. [Google Scholar] [CrossRef]
- Sun, Q.; Sun, J.; Baidurela, A.; Li, L.; Hu, X.; Song, T. Ecological landscape pattern changes and security from 1990 to 2021 in Ebinur Lake Wetland Reserve, China. Ecol. Indic. 2022, 145, 109648. [Google Scholar] [CrossRef]
- Yuan, J.; Cohen, M.J.; Kaplan, D.A.; Acharya, S.; Larsen, L.G.; Nungesser, M.K. Linking metrics of landscape pattern to hydrological process in a lotic wetland. Landsc. Ecol. 2015, 30, 1893–1912. [Google Scholar] [CrossRef]
- Gong, Y.; Ji, X.; Hong, X.; Cheng, S. Correlation analysis of landscape structure and water quality in Suzhou National Wetland Park, China. Water 2021, 13, 2075. [Google Scholar] [CrossRef]
- Yang, H.; Yu, J.; Xu, W.; Wu, Y.; Lei, X.; Ye, J.; Geng, J.; Ding, Z. Long-time series ecological environment quality monitoring and cause analysis in the Dianchi Lake Basin, China. Ecol. Indic. 2023, 148, 110084. [Google Scholar] [CrossRef]
- Wang, X.; Piao, S.; Ciais, P.; Li, J.; Friedlingstein, P.; Koven, C.; Chen, A. Spring temperature change and its implication in the change of vegetation growth in North America from 1982 to 2006. Proc. Natl. Acad. Sci. USA 2011, 108, 1240–1245. [Google Scholar] [CrossRef] [PubMed]
- Bastos, A.; Running, S.W.; Gouveia, C.; Trigo, R.M. The global NPP dependence on ENSO: La Niña and the extraordinary year of 2011. J. Geophys. Res. Biogeosciences 2013, 118, 1247–1255. [Google Scholar] [CrossRef]
- Kong Bo, K.B.; Deng Wei, D.W.; Tao HePing, T.H.; Yu Huan, Y.H.; Li AiNong, L.A. Patterns of human disturbance at multiple scales in the wetland of Sanjiang Plain, northeastern China. J. Beijing For. Univ. 2010, 32, 100–105. [Google Scholar] [CrossRef]
- Zhao, D.; Liu, J. Heterogeneity of wetland landscapes and their relationships with anthropogenic disturbances and precipitation in a semiarid region of China. Environ. Monit. Assess. 2022, 194, 786. [Google Scholar] [CrossRef]













| Landscape Pattern Index | Formulas and Explanations | Ecological Significance |
|---|---|---|
| Patch Density (PD) | ||
| where M represents the total area of all landscape types in the study area. C represents the quantity of individual landscapes in the study area. PD reflects the degree of landscape fragmentation and the level of human activity interference with the landscape. | The larger the PD, the higher the degree of landscape fragmentation. | |
| Contagion Index (CONTAG) | ||
| where M represents the total number of patch types, gik represents the probability that two randomly selected adjacent patches belong to types i and k, respectively. CONTAG reflects the degree of aggregation and the contagion trend of different patch types within the landscape. | A high CONTAG value indicates that landscape patches are highly aggregated, while a low value suggests that the lands cape is more fragmented and dispersed. | |
| Landscape Division Index (DIVISION) | ||
| where a represents the area of the j-th patch of the i-th landscape type, and A represents the total landscape area. DIVISION reflects the degree of segmentation and fragmentation in the landscape. | A higher DIVISION value indicates a greater degree of landscape separation. | |
| Shannon’s Diversity Index (SHDI) | ||
| where P represents the proportion of the total landscape area occupied by patch type, and i represents the number of patches. SHDI reflects the degree of landscape fragmentation and fragmentation. | A high SHDI value indicates a higher diversity within the landscape. | |
| Shannon’s Evenness Index (SHEI) | ||
| where P represents the proportion of the total landscape area occupied by patch type, and i represents the number of patches. SHEI reflects the uniformity of various patch categories on the landscape. | The SHEI value ranges between 0 and 1, with values closer to 1 indicating a more even distribution of patch types. |
| Paragraph | Wetland Park | Spearman’s Correlation | Paragraph | Wetland Park | Spearman’s Correlation |
|---|---|---|---|---|---|
| Guandu–Chenggong | Haidong | 0.674 | Caohai | Daguan | 0.806 |
| Wangguan | 0.683 | Haigeng | 0.784 | ||
| Laoyuhe | 0.749 | Haihong | 0.788 | ||
| Jinning-down | Dongda | 0.722 | Xishan | Xihua | 0.716 |
| Year | NDVI | WET | NDBSI | LST | Gap | |
|---|---|---|---|---|---|---|
| 2003 | 0.578 | 0.145 | −0.395 | −0.421 | 0.093 | 12.92% |
| 2009 | 0.488 | 0.126 | −0.351 | −0.372 | 0.109 | 17.79% |
| 2015 | 0.562 | 0.098 | −0.327 | −0.270 | −0.063 | −9.56% |
| 2023 | 0.680 | 0.105 | −0.418 | −0.163 | −0.203 | −25.92% |
| Mean value | 0.577 | 0.118 | −0.373 | −0.306 | −0.016 | −2.30% |
| Guandu–Chenggong | Jinning-Up | Jinning-Down | Xishan | Caohai | |
|---|---|---|---|---|---|
| Undisturbed (%) | 33 | 36 | 70 | 50 | 63 |
| Disturbed (%) | 67 | 64 | 30 | 50 | 37 |
Disclaimer/Publisher’s Note: The statements, opinions and data contained in all publications are solely those of the individual author(s) and contributor(s) and not of MDPI and/or the editor(s). MDPI and/or the editor(s) disclaim responsibility for any injury to people or property resulting from any ideas, methods, instructions or products referred to in the content. |
© 2024 by the authors. Licensee MDPI, Basel, Switzerland. This article is an open access article distributed under the terms and conditions of the Creative Commons Attribution (CC BY) license (https://creativecommons.org/licenses/by/4.0/).
Share and Cite
Zhao, Y.; Huo, A.; Zhao, Z.; Liu, Q.; Zhao, X.; Huang, Y.; An, J. Novel Method for Evaluating Wetland Ecological Environment Quality Based on Coupled Remote Sensing Ecological Index and Landscape Pattern Indices: Case Study of Dianchi Lake Wetlands, China. Sustainability 2024, 16, 9979. https://doi.org/10.3390/su16229979
Zhao Y, Huo A, Zhao Z, Liu Q, Zhao X, Huang Y, An J. Novel Method for Evaluating Wetland Ecological Environment Quality Based on Coupled Remote Sensing Ecological Index and Landscape Pattern Indices: Case Study of Dianchi Lake Wetlands, China. Sustainability. 2024; 16(22):9979. https://doi.org/10.3390/su16229979
Chicago/Turabian StyleZhao, Yilu, Aidi Huo, Zhixin Zhao, Qi Liu, Xuantao Zhao, Yuanjia Huang, and Jialu An. 2024. "Novel Method for Evaluating Wetland Ecological Environment Quality Based on Coupled Remote Sensing Ecological Index and Landscape Pattern Indices: Case Study of Dianchi Lake Wetlands, China" Sustainability 16, no. 22: 9979. https://doi.org/10.3390/su16229979
APA StyleZhao, Y., Huo, A., Zhao, Z., Liu, Q., Zhao, X., Huang, Y., & An, J. (2024). Novel Method for Evaluating Wetland Ecological Environment Quality Based on Coupled Remote Sensing Ecological Index and Landscape Pattern Indices: Case Study of Dianchi Lake Wetlands, China. Sustainability, 16(22), 9979. https://doi.org/10.3390/su16229979

