Abstract
This study analyzes the impact of social, ecological, and economic components on achieving Sustainable Development Goals (SDGs) in seven selected countries for the period 2000–2022 (Australia, Canada, Germany, the Netherlands, Switzerland, the United Kingdom, the United States). Using data from the Sustainable Development Reports 2017, 2019, and 2023, a correlation and regression analysis was conducted to assess the relationships between the components and the SDG Index. The results demonstrate a strong positive relationship between social, ecological, and economic factors and progress towards achieving the SDGs, with variations between countries. The study revealed the limitations of aggregated data analysis that negatively affect the implementation of the planning function. The research highlighted the importance of a country-by-country approach in assessing sustainable development progress. The results underscore the importance of developing tailored strategies for achieving the SDGs, which are sensitive to each country’s specific conditions, strengths, and weaknesses in different aspects of sustainability. These conclusions are important for the shaping of policies and strategic planning for achieving the SDGs.
1. Introduction
The global pursuit of sustainable development faces multiple challenges, with countries progressing at different rates towards the Sustainable Development Goals (SDGs). Understanding the factors that drive this progress is critical for effective policymaking and resource allocation. By examining the relationships between the social, economic, and ecological components of the SDGs and the overall sustainability index (SDG Index score), this study seeks to provide valuable insights into the complex dynamics of sustainable development. Moreover, it tests the hypothesis regarding the possibility of aggregating data across specific countries to study the influence of social, economic, and ecological components on trends (2000–2022) in the sustainability index. Through this comprehensive analysis, the study aims to contribute to the knowledge base on sustainable development and provide practical insights for policymakers and researchers in the field.
Sustainable development has become a key concept on the global agenda, especially since the adoption of the SDGs by the United Nations in 2015 [1]. The SDGs represent a comprehensive framework aimed at eradicating poverty, protecting the environment, and ensuring prosperity for all humanity. However, despite their critical importance, progress in achieving the SDGs remains insufficient, highlighting the need for significant changes in domestic and international policies to address persistent development challenges.
The integration of economic, social, and environmental aspects into policy and practical actions is a key factor in achieving the SDGs. Transformational changes are necessary to meet these goals. Additionally, the local context plays a significant role in the implementation of the SDGs. Our research shows that experts from different geographic regions focus on different SDGs depending on local issues, highlighting the importance of considering local challenges and their impact on achieving global sustainability. In this context, our study analyzes the impact of social, ecological, and economic components of sustainable development on the achievement of the SDGs in seven developed countries for the period 2000–2022. Using data from the Sustainable Development Reports 2017, 2019, and 2023 [2,3,4], we conduct correlation and regression analyses to assess the relationships between these components and the SDG Index.
This study aims to analyze the impact of individual components on achieving the goals of sustainable development through a cross-country assessment. Our research is based on a comprehensive analysis of the existing literature and data covering various aspects of progress in achieving the SDGs across different countries.
The results of this study have important implications for the development of policies and strategies aimed at accelerating progress towards the SDGs. They will also contribute to a deeper understanding of the complex interrelationships between different aspects of sustainable development and assist in developing more effective approaches to implementing global goals.
The relevance of this research is underscored by the growing need to understand the intricate interrelationships between different aspects of sustainable development, particularly in the context of global challenges such as climate change, inequality, and pandemics. Examining the impact of individual components on achieving the SDGs can provide key insights for developing effective strategies and policies aimed at accelerating progress towards these global goals.
The aim of this research is to investigate the relationship between social, ecological, and economic components and the achievement of the SDGs in seven selected countries from 2000 to 2022. This will be accomplished through cross-country evaluation and analysis, focusing on identifying patterns, trends, country-specific variations, and the prioritization of SDGs for the selected countries.
The objectives of this research are as follows:
- Analyze the correlation between social, ecological, and economic components and overall SDG performance across the selected countries;
- Examine the temporal dynamics of SDG progress over the 23-year period;
- Assess the impact of specific social, ecological, and economic components on SDG achievement;
- Test the hypothesis regarding the feasibility of aggregating data by individual countries to study the impact of social, economic, and ecological components of sustainable development on the dynamics of the Sustainable Development Index (SDG_index_score);
- Conduct cross-country comparisons throughout the 23-year period.
The structure of the article includes the following sections: the introduction is followed by a detailed literature review, which explores the current state of research on the interrelationships between the components of sustainable development and the achievement of the SDGs. The methodology section describes the research methods, including data sources, analysis techniques, and modeling approaches. The results section presents the key findings, including the impact of sustainable development components and the ranking of countries. The article concludes with recommendations for further research.
This research will contribute to a better understanding of the complex interrelationships between the components of sustainable development and the achievement of the SDGs, providing empirically based insights for developing effective strategies to achieve the SDGs at both global and national levels. Given the central role of the government in promoting sustainable development, our study aims to provide insights not only for academic and organizational use but also for integration into public policy and strategic governmental planning. By focusing on key elements like social, ecological, and economic sustainability, this research offers a basis for creating targeted government strategies that address both local and international sustainability goals.
2. Literature Review
According to the definition of “sustainable development” proposed by the UN Commission on Sustainable Development [5,6], this concept is defined as development that meets the needs of the present generation without jeopardizing the ability of future generations to meet their needs. It encompasses the following aspects: it calls for concerted efforts to build an inclusive, sustainable future for both people and the planet. To achieve this, it is essential to coordinate three key elements: economic growth, social inclusion, and environmental protection [7,8]. These components are closely interrelated and are vital for the well-being of both individuals and the planet as a whole.
Sustainable development is a key concept in environmental research and management, and its definition and application continue to evolve and expand over time [9]. The concept of ecological stability, which is an inseparable part of sustainable development, focuses on supporting or improving the life-support systems of the Earth, including biodiversity, climate stability, and ecosystem services [10].
To assess sustainability, each of them has its own advantages and limitations. Among the related methods, life cycle sustainability assessment in combination with multi-criteria decision-making is considered the most reliable and comprehensive tool as it allows taking into account various aspects of sustainability throughout the life cycle of a product or process [11].
The study of sustainable development has undergone significant evolution since the Brundtland Commission, which first proposed a widely accepted definition of sustainable development. Countries such as the USA, China, the United Kingdom, and Canada made a particularly significant contribution to the development of this sphere [12]. The studies covered a wide spectrum of topics but especially concentrated on sciences related to the environment, green technologies, and constant construction [13].
An important aspect of sustainable development research is the development of sustainability indicators. These indicators play a key role in integrating ecological and economic approaches, facilitating a better understanding of the costs and benefits associated with mitigating critical environmental impacts [14,15,16,17,18]. The development of such indicators requires an interdisciplinary approach that considers various factors, ranging from environmental to socio-economic aspects.
Four main categories of methods have been defined for the evaluation of sustainability-oriented business models, each with its own characteristics and areas of application [19]. These methods include both quantitative and qualitative approaches, allowing for a comprehensive assessment of various aspects of the sustainability of business models.
Sustainable development indices (SDIs) are particularly useful tools for measuring regional sustainability. They aggregate various indicators into a single index, simplifying the comparison and assessment of progress in achieving the SDGs. However, the development of such indices requires a contextual and consensual approach to ensure their relevance and acceptance by all stakeholders [20].
Jabareen [21] made a significant contribution to the theoretical understanding of sustainable development by formulating a new conceptual framework. It comprises seven distinct concepts that together form a comprehensive basis for understanding and implementing sustainable development. These concepts encompass various aspects of sustainability, from ecological to social and economic factors, allowing for a more holistic approach to addressing sustainable development challenges.
Silva et al. [22] proposed an innovative four-level structure for evaluating sustainable development. This framework focuses on three key capitals: natural, social, and built. This approach enables a more comprehensive assessment of progress toward achieving the Sustainable Development Goals by considering the interrelationships among various sustainability aspects.
Ramos and Caeiro [23] made a significant contribution to the methodology of evaluating sustainable development by establishing a conceptual basis for the development and evaluation of efficiency indicators related to sustainability. This framework ensures that the selected indicators are not only relevant but also effective in measuring progress toward the Sustainable Development Goals.
For an effective assessment of the Sustainable Development Goals adopted by the UN, it is crucial to have a clear conceptual basis for selecting appropriate indicators [24]. Such a framework helps ensure that the selected indicators are not only measurable but also accurately reflect progress toward the SDGs.
Renn et al. [25] presented a theoretical framework grounded in three regulatory and functional categories: systemic integrity, justice, and quality of life. This framework facilitates a more holistic approach to assessing sustainable development by considering not only environmental but also social and economic aspects.
The structure of the Sustainability Benchmarking Tool (SBT) has proven effective for evaluating and comparing indicators of sustainable development within organizations and supply chains [26]. This tool enables organizations to assess their own sustainability performance and compare it with that of other organizations in the industry.
Sustainability indicators and composite indices are extremely valuable tools for policy development and public communication [27]. They simplify complex concepts of sustainable development into more understandable indicators, making it easier to make informed decisions and communicate progress toward achieving the Sustainable Development Goals to the public.
The PICABUE framework is another important methodological approach for developing sustainable development indicators. This framework particularly emphasizes quality of life and ecological integrity, allowing for a more comprehensive assessment of sustainable development [28].
In general, the study of sustainable development continues to evolve and expand, encompassing more aspects of human activity and its impact on the environment. The focus is on developing effective assessment methods and indicators that can assist in decision-making and policy formulation to achieve the SDGs. This research is critical for ensuring a sustainable future for our planet and future generations.
In the context of the modern world, where global challenges are becoming increasingly complex and interdependent, achieving the SDGs has become a priority. The SDGs represent a comprehensive system aimed at eradicating poverty, protecting the environment, and ensuring prosperity for all humanity [29]. However, despite their critical importance, progress toward achieving the SDGs remains insufficient, indicating the need for significant changes in domestic and international aid policies to address sustainable development challenges [30].
The relationship between the well-being of the population and the achievement of the SDGs is characterized by complexity and multidimensionality. Research shows that goals such as ending poverty (SDG 1) and promoting health and well-being (SDG 3) have a synergistic effect on most other goals [31].
However, responsible consumption and production (SDG 12) often require trade-offs, which highlights the need for a balanced approach to the SDG implementation [31]. Integrating economic, social, and ecological aspects into policy and practical actions is a key factor in achieving the SDGs [29].
This paper analyzes how the SDGs can help address sustainability challenges. It presents case studies to demonstrate how the implementation of the SDGs can advance equal opportunity and foster economic empowerment [32]. The researchers propose an integrated framework that brings together development goals and environmental considerations, focusing on interrelated goals related to food, energy, water, and ecosystem services [33]. Such an approach can maximize synergies and effectively manage trade-offs between different SDGs.
Assessing progress in achieving the SDGs is critical for understanding the impact of well-being on their implementation. Research analyzing sustainable development indicators in OECD countries reveals areas of improvement and deterioration among the 17 SDGs, providing benchmarks for further progress [34]. These assessments help determine how well-being affects different aspects of sustainable development in various countries. Transformational changes are necessary to achieve the SDGs.
Researchers propose six key transformations as fundamental elements for achieving the SDGs, including education, healthcare, energy decarbonization, sustainable food systems, sustainable urban development, and the digital revolution [35]. Each of these transformations directly impacts the well-being of the population and, consequently, the ability of countries to achieve the SDGs.
It is important to note that progress toward achieving the SDGs is not uniform. Research shows that certain goals, such as reducing inequality (SDG 10), do not progress in sync with others [36]. This highlights the need for targeted efforts to improve the well-being of the most vulnerable populations as a key factor in achieving all the SDGs.
The local context also plays a significant role in the implementation of the SDGs. Research indicates that experts from different geographic regions focus on different SDGs depending on local issues [37]. This underscores the importance of considering local challenges and their impact on the well-being of the population to achieve global sustainability.
Integrating relationships between sectors, social actors, and countries is key to achieving the SDGs [38]. This requires a systems approach that considers the complex interactions between different aspects of well-being and their impact on the achievement of the SDGs.
Achieving the Sustainable Development Goals (SDGs) and improving the well-being of the population are interrelated processes that significantly impact global development. Research by Skevington and Epton (2018) demonstrated that the WHOQOL-BREF tool is effective for assessing quality of life in the context of the SDGs, showing significant changes across physical, psychological, social, and environmental domains [39].
An analysis of EU countries’ achievements in implementing SDG 3 (health and well-being) revealed positive changes in most indicators, with the exception of obesity levels. Sweden performed the best, while Latvia ranked the lowest, underscoring the importance of government and institutional interventions to improve the healthcare system [40].
International trade has a mixed effect on achieving the SDG environmental goals: it tends to have a positive impact in developed countries while negatively affecting developing countries. Interestingly, trade between distant countries contributes more to achieving global SDG goals than trade between neighboring countries [41].
Funding is a crucial factor in achieving the SDGs. Research by Stenberg et al. (2017) estimates that to achieve SDG 3 in low- and middle-income countries, an additional spending of USD 274–371 billion per year is required by 2030 [42].
Kubiszewski et al. (2021) found that only eight out of two hundred and thirty-two SDG indicators could explain 84% of the variation in life satisfaction. This finding emphasizes the need to prioritize goals and improve methods for measuring sustainable well-being [43].
For a comprehensive assessment of progress in achieving the SDGs and improving well-being, researchers suggest creating new indices. Costanza et al. (2016) proposed a Sustainable Well-Being Index (SWI) linked to the SDGs [18], while Elliott et al. (2017) developed a Global Index of Welfare (GLOWING) for countries with low- and middle-income levels [44].
A study by Del-Aguila-Arcentales et al. (2022) demonstrated that social and environmental SDGs positively influence economic SDGs, which in turn contribute to entrepreneurship and competitiveness [45]. Furthermore, Riumallo-Herl et al. (2018) proposed a new indicator, Poverty-Free Life Expectancy (PFLE), which combines health and economic well-being indicators. This indicator revealed significant differences between countries and highlighted gender gaps, underscoring the necessity of ensuring a minimum level of economic well-being for all [46].
Thus, achieving the SDGs and improving the well-being of the population requires an integrated approach that encompasses enhanced measurement methods, strategic planning, international cooperation, and substantial financial investment.
3. Materials and Methods
Data for the Sustainable Development Report (SDR) [47] and indicators related to the 17 Sustainable Development Goals (SDGs) are sourced from various international organizations that collect and publish information at the global level. The primary sources of data include the following:
United Nations (UN): It is the principal body that initiated the SDGs in 2015 and coordinates global tracking of progress on each goal and publishes annual reports;
World Bank: It provides data on economic, social, and environmental issues, e.g., on poverty, gender equality, economic growth, health, and education;
Organization for Economic Cooperation and Development (OECD): It publishes information on welfare, living standards, employment, and economic development;
World Health Organization (WHO): It provides global data on health, diseases, life expectancy, and quality of health services, particularly for Goal 3: good health and well-being;
International Monetary Fund (IMF): It offers economic and financial data related to global economic stability and development, particularly for Goal 8: decent work and economic growth;
United Nations Development Program (UNDP): It provides analytical reviews and reports from various countries on their progress toward achieving the SDGs;
Food and Agriculture Organization of the United Nations (FAO): It collects data on agriculture, food security, and access to clean water, relevant to Goals 2, 6, and 12;
International and National Statistical Services: Each country has organizations that collect data on demographics, the economy, education, health, and the environment. This national data contributes to global reports;
The seventeen Sustainable Development Goals were created as part of the UN’s global initiative to ensure a sustainable future by 2030. These goals cover a wide range of social, economic, and environmental issues, and each has a set of indicators to track progress, including poverty reduction; overcoming hunger; health and well-being; quality education; gender equality; clean water and sanitation; affordable and clean energy; decent work and economic growth; innovation and infrastructure; reducing inequality; sustainable cities and communities; responsible consumption and production; climate action; protection of marine ecosystems; protection of terrestrial ecosystems; peace, justice, and strong institutions; and partnerships to achieve the goals.
Data for these goals are published annually and reflect each country’s progress in achieving sustainable development. The methodology for calculating and measuring data in the Sustainable Development Report depends on each specific SDG and the corresponding indicators. The main aspects of the calculation method and measurement units are as follows:
- Scoring systems for each goal (SDG Score): (1) each country receives a score for each of the 17 goals based on a set of indicators. These assessments are usually presented as points on a scale from 0 to 100, where 100 means full achievement of the goal; (2) data are aggregated from different sources for each objective. For example, Goal 1 (no poverty) uses indicators related to the population living in poverty, while Goal 3 (good health and well-being) includes data on life expectancy, mortality rates, etc.;
- Aggregation of indicators: (1) for each goal, several indicators are selected to evaluate its achievement. For example, Goal 4 (quality education) assesses the level of literacy, access to primary and secondary education, and the percentage of children attending school; (2) each indicator is normalized on a scale from 0 to 100, where 100 means that the country has fully achieved the goal and 0 means that it faces significant difficulties;
- General index of sustainable development (SDG Index score): (1) the overall score is the average score across all 17 goals for each country. This score is also presented on a scale from 0 to 100 and reflects the country’s overall progress toward achieving all targets; (2) the general index indicates the country’s relative position in achieving sustainable development compared to other countries;
- Specific units of measurement for some indicators: (1) the poverty level is measured as a percentage (the share of the population living below the poverty line); (2) the mortality rate is measured in the number of deaths per 1000 or 100,000 people; (3) economic indicators (for Goal 8) are measured in US dollars or as a percentage of GDP; (4) energy consumption is measured in kilowatt-hours per capita (for Goal 7);
- Use of international standards: most of the indicators used to assess the Sustainable Development Goals are based on international standards and recommendations from organizations such as the UN, WHO, and World Bank; data are often collected through national statistical offices and then aggregated for global estimates.
Thus, the dataset uses aggregated scores from different sources, normalized to a scale of 0 to 100 for each country and each SDG. This allows for the calculation of the average value of several environmental indicators, such as those related to Goals 6 and 13–15, to assess the ecological component of sustainable development. Here is the methodology:
1. Selection of ecological indicators: Goal 6: clean water and sanitation (e.g., water resources, access to clean water); Goal 13: climate action (e.g., reduction of emissions, adaptation to climate change); Goal 14: life below water (e.g., conserving oceans and marine resources); Goal 15: life on land (e.g., preserving terrestrial ecosystems and biodiversity);
2. Calculation of the average value: Data for each of these goals is presented as a score from 0 to 100. The average value can be calculated as the arithmetic mean;
3. Interpretation: The obtained average value will indicate the overall ecological progress of the country based on these four environmental indicators. This will enable an assessment of how successfully the country is advancing in the field of environmental sustainability and the balance it achieves among various environmental goals;
4. Comparison: This average can be used to compare countries or to track a country’s progress over time. It can also serve as a foundation for further analysis of the connections between environmental factors and other aspects of sustainable development, such as economic or social dimensions.
This section outlines the methodological approach employed in the study, encompassing data collection, preprocessing, analysis techniques, and visualization methods. The research utilizes a comprehensive dataset from the Sustainable Development Report [47], focusing on seven selected countries over a 23-year period. Key components of this section include the following:
- Data collection and preprocessing: extraction and refinement of SDG indicators for the selected countries from 2000 to 2022;
- Analytical tools: utilization of SQL, Python, Google sheet, and MS Excel for data manipulation and statistical analysis;
- Analytical approaches: implementation of correlation analysis, regression modeling, time series analysis, and cross-country comparisons;
- Specific indicators: focus on social, ecological, and economic SDG components;
- Visualization techniques: employment of various data visualization methods to illustrate relationships and trends;
- Statistical measures: calculation of coefficients of determination (R2) for individual countries and aggregated data;
- Ranking countries by social, ecological, and economic components, their integral impact, and significance of the SDG Index score as a tool for cross-country analysis.
This study employs a comprehensive approach to analyze the impact of specific indicators on achieving the Sustainable Development Goals (SDGs) through a cross-country evaluation. The research utilizes Big Data techniques to process and analyze an extensive dataset from the Sustainable Development Report, available on Kaggle [48].
Data collection and preprocessing: The dataset encompasses SDG indicators for multiple countries from 2000 to 2022. We focused on seven countries: Australia, Canada, Germany, the Netherlands, Switzerland, the United Kingdom, and the United States. The selection criteria included geographical diversity, levels of economic development, and data availability.
Data analysis tools: For data manipulation and statistical analysis, we used SQL for database queries and data extraction; Python for advanced statistical modeling and visualization; and Google Sheets and MS Excel for initial data exploration and basic statistical calculations.
We focused on the following SDG components:
- Social goals: goal_1_score, goal_2_score, goal_3_score, goal_4_score, goal_5_score, and goal_11_score.
- Ecological goals: goal_6_score, goal_13_score, goal_14_score, and goal_15_score.
- Economic goals: goal_7_score, goal_8_score, goal_9_score, goal_10_score, and goal_12_score.
Goals 16 (peace, justice, and strong institutions) and 17 (partnerships for the goals) were not included in the study for the following reasons:
- The research focuses on more measurable economic, social, and environmental goals (Goals 1–15) that have specific quantitative indicators to analyze progress;
- Indicators for Goals 16 and 17 relate to institutional stability and international cooperation, which are challenging to quantitatively model within the framework of this study due to their multifaceted and intangible aspects;
- These topics are well studied in other scientific contexts (for example, in political science or international relations), so their role in this particular work may be marginalized or explored in separate studies.
Thus, the primary focus is on more quantifiable goals, allowing for more specific conclusions and recommendations.
Visualization: Data visualization techniques, including scatter plots and time series graphs, were employed to illustrate relationships and trends. Statistical measures: Coefficients of determination (R2) were calculated to quantify the strength of relationships between variables. These were computed for individual countries and for the aggregated dataset to compare the explanatory power of the models at different levels of analysis.
4. Results
The section describes the dynamics of the Sustainable Development Index for the selected group of countries from 2000 to 2022. It includes cross-country modeling of the impact of social, environmental, and economic components on achieving the SDGs during this period, as well as an analysis of their aggregated effects, empirical results, appropriate comparisons, and interpretations.
The study focused on the dynamics of the Sustainable Development Index for the selected countries from 2000 to 2022 and justified the choice of countries based on the following criteria:
- geographical diversity (the countries cover different regions of the world—North America, Europe, and Australia—allowing for comparisons of approaches to sustainable development under various socio-economic conditions);
- economic development (all these countries have highly developed economies, and their progress in achieving the SDGs may serve as benchmarks for others);
- stable data (these countries have stable and comprehensive data throughout the entire period, which is essential for applying a longitudinal approach);
- leadership in the SDGs (some of these countries, such as Germany and Switzerland, regularly rank among the top in the world for achieving the Sustainable Development Goals, providing unique examples of best practices).
Figure 1 shows the dynamics of the SDG Index score for the selected seven countries from 2000 to 2022.
Figure 1.
Dynamics of SDG Index score for selected countries in 2000–2022.
Based on data for the years 2000–2022 for the selected countries (Australia, Canada, Germany, the Netherlands, Switzerland, the United Kingdom, and the United States) regarding the indicators of the comprehensive assessment of progress in achieving the Sustainable Development Goals (SDGs), several general conclusions can be drawn:
- there is a gradual increase in indicators in all seven countries, which reflects progress in achieving the SDGs;
- European countries, such as Germany, the Netherlands, and Switzerland, have higher indicators compared to the USA and Australia;
- Germany and Switzerland show consistently high results with the best performance since 2015, reflecting their stable approach to sustainable development;
- in the USA, there are fluctuations from year to year, which indicates the difficulties in achieving steady progress;
- a more detailed analysis of these data may show a connection with specific events or political decisions in these countries.
We analyzed the trends for each of the countries based on Figure 1:
- Australia: there is a steady increase from 70.7 in 2000 to 75.9 in 2022, with the indicator reaching its peak in 2021 at 76;
- Canada shows constant growth from 74.5 in 2000 to 78.5 in 2022, with the highest indicator of 78.5 recorded in 2022;
- Germany exhibits consistent growth from 76.7 in 2000 to 83.4 in 2022;
- The Netherlands displays an increasing trend, rising from 75.6 in 2000 to 79.4 in 2022;
- Switzerland: the indicator increased from 76.7 in 2000 to 81.5 in 2021, followed by a slight decrease to 80.5 in 2022;
- The United Kingdom shows constant growth from 76.5 in 2000 to 81.7 in 2022;
- The United States experienced growth from 71.5 in 2000 to 75.9 in 2022, although there is some variation over the years.
Overall, all countries demonstrate an upward trend, with some slight declines in individual years.
A general overview of the dynamics of the indicators shows progress in achieving the SDGs in all seven countries; however, a more detailed analysis shows significant differences between them. To better understand these differences and uncover hidden trends, it is necessary to conduct a statistical analysis of the distribution (mean, max, median) for each country.
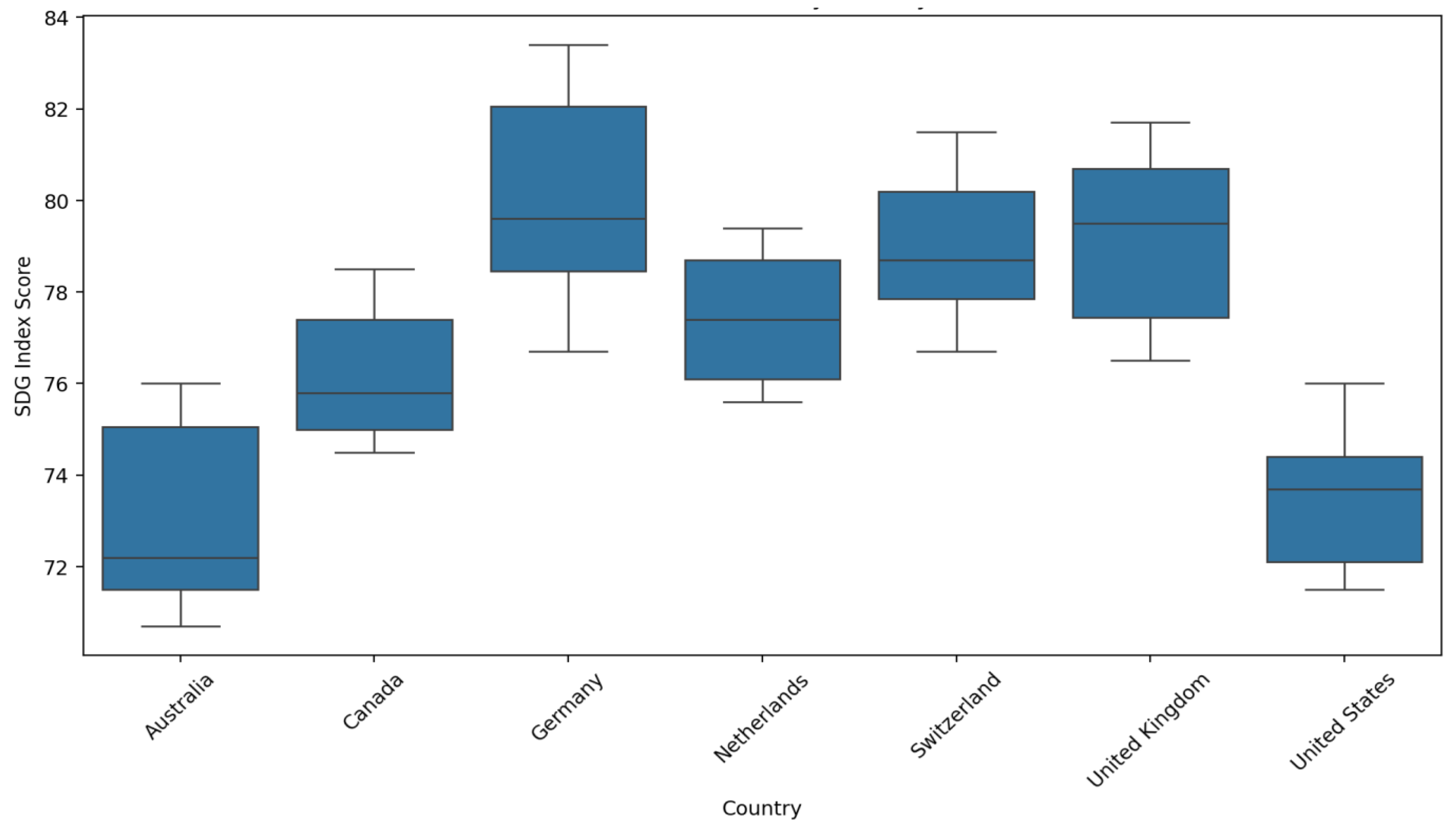
This allows us to identify the specificity of economic, social, and environmental impacts on the achievement of the SDGs. For this analysis, a box plot was utilized as it effectively displays the distribution of data, highlighting the median, quartiles, and potential outliers (Figure 2).
Figure 2.
Distribution of SDG Index score for selected countries in 2000–2022.
These aspects are crucial for understanding the variability and central tendency of the SDG Index scores across different countries. This type of plot is particularly useful in scientific contexts where understanding the spread of data and identifying outliers are important.
Germany shows a relatively high median score with a narrow interquartile range, indicating consistent performance over the years. In contrast, the USA has a lower median score compared to other countries, with a wider spread, suggesting greater variability in performance. Switzerland and the United Kingdom also exhibit high median scores and relatively narrow interquartile ranges, indicating stable and strong performance.
Any outliers present indicate years when the SDG Index score was significantly different from the typical range for that country. This analysis provides insights into the performance and consistency of each country’s progress towards the Sustainable Development Goals over the specified period.
Overall, this analysis offers a comprehensive view of countries’ progress in achieving the Sustainable Development Goals over the past two decades, highlighting both general trends and individual country characteristics. Therefore, it is essential to detail the general indicators of dynamics by the characteristics of the distribution indicators, which are presented in the calculated form in Table 1. This enhances the quality of cross-country SDG Index score analysis for the studied period.
Table 1.
Characteristics of SDG distribution indicators’ index scores for selected countries for the period 2000–2022.
Table 1 provides a clear view of the average SDG Index scores and their variability for each country. By analyzing these metrics, we can identify which countries have consistently higher scores, which exhibit more variability, and how they compare to one another. Let us proceed with a cross-country analysis based on these metrics.
Based on the summary table, here is a cross-country analysis of the SDG Index scores:
- Germany has the highest mean score among the countries, indicating strong performance in achieving the SDGs. The relatively higher standard deviation suggests some variability in scores over the years;
- The United Kingdom also shows high performance with a slightly lower mean score than Germany. The variability is moderate, indicating consistent progress;
- Switzerland has a high mean score with low variability, suggesting stable and consistent progress toward the SDGs;
- The Netherlands demonstrates good performance with low variability, indicating steady progress;
- Canada has a moderate mean score with low variability, suggesting consistent efforts in achieving the SDGs;
- The United States has the lowest mean score among the countries, indicating room for improvement. The variability is moderate;
- Australia has a mean score similar to that of the United States but exhibits slightly higher variability, indicating fluctuations in progress.
European countries (Germany, the UK, Switzerland, and the Netherlands) generally have higher mean scores compared to non-European countries (Canada, the US, and Australia). Germany leads in terms of mean score but also exhibits higher variability, suggesting periods of both strong and weaker performance. The USA and Australia have the lowest mean scores, indicating potential areas for policy focus and improvement in SDG achievement.
The cross-country analysis conducted in this work models the impact of social, ecological, and economic components on achieving the SDGs from 2000 to 2022. Based on this analysis, countries were ranked by individual components. The combined impact of these components on the SDGs is also assessed as an alternative to aggregating data for the population of countries.
Figure 3 visualizes the relationship between the social component and the SDG Index score for the seven selected countries from 2000 to 2022. A direct positive relationship between these variables is graphically demonstrated. This relationship was quantitatively assessed, and the results are presented in Table 2.
Figure 3.
Correlation between social component and SDG Index score for seven selected countries in 2000–2022.
Table 2.
Ranking of countries according to indicators of the relationship between the social component and the SDG Index score.
From the data presented in Table 2 regarding the relationship between the social component and the Sustainable Development Goals (SDG) Index score in different countries, the following can be determined:
The Netherlands has the highest correlation coefficient (R = 0.9818) and coefficient of determination (R2 = 0.9640), indicating a very strong relationship between the social component and the SDG Index score. The high slope (1.0611) suggests that growth in social indicators positively affects the SDG Index score. Australia follows with the second-highest correlation coefficient (R = 0.9803) and a high coefficient of determination (R2 = 0.9609), indicating a strong positive relationship. However, the lower slope (0.7725) suggests that the influence of social indicators on the SDG Index score is less pronounced compared to the Netherlands. Switzerland also demonstrates a very strong correlation (R = 0.9783) and coefficient of determination (R2 = 0.9570), highlighting a close relationship between social indicators and sustainable development with a proportional impact.
The United Kingdom has a slightly lower correlation coefficient (R = 0.9663), but the slope (1.1775) indicates a strong influence of social factors on the SDG Index score. Canada shows similar performance to the UK (R = 0.9642, slope = 1.1276), indicating a strong positive relationship between the social component and the SDG Index score, with R2 = 0.9297. The USA has a lower correlation coefficient (R = 0.9491) but a high slope (1.5425), indicating a significant influence of social indicators, albeit with a less pronounced relationship. Finally, Germany has the lowest correlation coefficient (R = 0.9125) and coefficient of determination (R2 = 0.8326), suggesting a lower priority of the social component in ensuring sustainable development compared to other countries. Nevertheless, the high slope (1.6302) indicates a significant influence of social indicators on the SDG Index score.
Figure 4 visualizes the relationship between the ecological component and the SDG Index score for the seven selected countries from 2000 to 2022. A direct positive relationship between these two variables is graphically illustrated. Notably, there is greater differentiation among countries compared to the social component. It is important to highlight that the dependency lines for individual countries do not intersect, with each maintaining its own area of dispersion. This unique separation indicates distinct trends in how each country approaches ecological sustainability.
Figure 4.
Correlation between ecological component and SDG Index score for seven selected countries in 2000–2022.
Quantitatively, this relationship is also assessed, with the corresponding results presented in Table 3.
Table 3.
Ranking of countries according to indicators of the connection between the ecological component and the SDG Index score.
The calculations presented in Table 3 regarding the impact of the ecological component on the SDG Index score reveal high correlations between these indicators in most countries. The correlation coefficient (R) for Canada, Germany, the USA, Australia, Switzerland, and the United Kingdom is notably high, indicating a strong positive relationship between the ecological component and the achievement of the SDGs. Canada exhibits the highest correlation (R = 0.9843), suggesting an almost perfect relationship between these indicators.
While the correlation coefficients for Switzerland (R = 0.9555) and the United Kingdom (R = 0.9534) are also high, these countries present a steeper slope compared to the others. This is particularly true for Switzerland, which may indicate a more rapid improvement in the SDG Index in response to advancements in environmental factors.
The Netherlands has the lowest correlation coefficient (R = 0.7904), signifying a weaker connection between the ecological component and the SDGs relative to the other countries. This is further supported by the coefficient of determination (R2 = 0.6248), which indicates that only 62.5% of the variation in the SDG Index can be explained by the environmental component.
The proposed model constructions demonstrate high explanatory power for Canada, Germany, the USA, and Australia, with R2 values exceeding 0.95. This indicates that more than 95% of the variation in the SDG Index is accounted for by environmental factors, underscoring the critical importance of the ecological component in achieving the Sustainable Development Goals in these countries. Notably, the highest slope is observed in Switzerland (2.3472), indicating a quicker rate of improvement in the SDG Index in response to environmental changes compared to the other countries.
Figure 5 illustrates a direct positive relationship between the economic component and the SDG Index score for the seven selected countries from 2000 to 2022. Additionally, there is observable differentiation in the distribution of the relevant characteristics among these countries. The results of the calculations regarding the correlation between these indicators are presented in Table 4.
Figure 5.
Correlation between economic component and SDG Index score for seven selected countries in 2000–2022.
Table 4.
Ranking of countries according to indicators of the relationship between the economic component and the SDG Index score.
Regarding the results of the calculations presented in Table 4, all countries demonstrate a very strong positive relationship between the studied indicators, with correlation coefficients exceeding 0.94. This indicates a significant influence of the economic component on the dynamics of the SDG Index score. The strongest relationship is observed for Canada, with a correlation of 0.9916.
In most countries, with the exception of Australia (slope of 1.4247), the slope values range from 0.5 to 0.9. This suggests that changes in economic policy have a proportional effect on the dynamics of sustainable development. In contrast, Australia’s higher slope indicates that changes in its economic indicators result in a more flexible response in the overall trend of sustainable development.
The calculated F-values for three series of model constructions exceed the critical (tabulated) values for significance levels of 0.05 and 0.01, indicating the statistical significance of the models. Based on this, the following conclusions can be made:
1. Model adequacy: Since the calculated F-value is greater than the critical value for the chosen significance levels (0.05 and 0.01), this means that the series of constructed models are adequate for describing the relationships between the variables. All included variables have a statistically significant effect on the dependent variables;
2. Statistical significance. The results indicate that the model series are adequate for explaining the variation in the dependent variables, and therefore the application of such models is appropriate for further analysis and forecasting.
Thus, the fact that the calculated F-value exceeds the critical value for significance levels of 0.05 and 0.01 confirms that the series of models are statistically significant, and their results can be used for making reasoned decisions.
In line with the hypothesis proposed in this study regarding the necessity of aggregating data by individual countries to examine the impact of social, economic, and ecological components on the dynamics of the Sustainable Development Index, an assessment of the aggregated impact of these components on achieving the SDGs from 2000 to 2022 is provided in Figure 6, Figure 7 and Figure 8.
Figure 6.
Aggregated correlation between social component and SDG Index score for seven selected countries in 2000–2022.
Figure 7.
Aggregated correlation between ecological component and SDG Index score for seven selected countries in 2000–2022.
Figure 8.
Aggregated correlation between economic component and SDG Index score for seven selected countries in 2000–2022.
Based on the calculations presented in Figure 6, we observe that the aggregated indicators reveal a significantly lower relationship between the social component and the SDG Index score (R2 = 0.8026) compared to the individual countries within the studied population. This disparity can be attributed to the heterogeneity of the data. When combining data from different countries, specific features unique to each country may not be adequately accounted for in the general model. Consequently, the higher R2 values for individual countries suggest that the model fits each country better than the aggregated data from all the countries combined.
The analysis of the correlation results for the aggregated data regarding the impact of the ecological component on the SDG Index score (Figure 7) indicates an insignificant dependence (R2 = 0.2778). This outcome can be attributed to the fact that the environmental component represents only one aspect of the overall picture, leading to considerable variability between countries and across different time periods.
Thus, testing the hypothesis regarding the feasibility of aggregating data from individual countries to study the impact of ecological components on the dynamics of the Sustainable Development Index has confirmed the impracticality of using aggregated data for the totality of countries when examining the factors influencing sustainable development dynamics.
According to the indicators presented in Figure 8, significant variability is observed in the SDG Index score across different levels of economic development. For instance, within the range of economic indicators between 75 and 78, the SDG Index score fluctuates significantly (from 72 to 84). This suggests that economic development alone is not the key factor in achieving a high Sustainable Development Index. Even for countries with higher economic indicators (above 78), the SDG Index score still varies, indicating that other factors, such as inclusiveness and environmental sustainability, may play crucial roles.
It can be concluded that economic development does not guarantee high sustainable development outcomes, as countries with similar economic indicators may exhibit differing SDG Index scores. This highlights the need for a balanced approach to development that incorporates both social and environmental aspects. While the economic component is important, it should not be considered the sole determinant of sustainable development. Countries must adopt integrated strategies that take into account all three dimensions of sustainable development: economic, ecological, and social.
The results of hypothesis testing regarding the feasibility of aggregating data by individual countries to study the impact of social, ecological, and economic components on the dynamics of the Sustainable Development Index have confirmed the impracticality of using aggregated data for the selected countries when examining the factors influencing sustainable development dynamics.
To better understand the discrepancies between aggregated data results and a detailed assessment of the impact of individual components of sustainable development, an analysis of the rankings of countries by social, ecological, and economic indicators was conducted. Table 5 presents these rankings, along with their cumulative impact on the SDG Index score, allowing us to identify discrepancies between the general indicators of countries and the influence of individual components on the dynamics of sustainable development for the period from 2000 to 2022.
Table 5.
Ranking of countries by social, ecological, and economic components; their cumulative impact; and the value of the SDG Index score.
Table 5 presents the rankings of countries from 2000 to 2022 based on their social, ecological, and economic components, along with their cumulative impact and the corresponding SDG Index score.
The Netherlands ranks first in the social component; however, its overall ranking in terms of the combined impact of all components is fifth. This discrepancy suggests that the Netherlands’ ecological and economic indicators are relatively weaker compared to its strong social performance, which lowers its overall rating.
Australia holds the second position in the social component, but due to comparatively weaker ecological and economic components (ranking fourth and seventh, respectively), it ranks fifth overall in terms of cumulative impact. This is further reflected in its low overall SDG Index score, placing Australia in last (seventh) position. Notably, Australia maintains stable rankings across both social and economic indicators.
Switzerland and the United Kingdom have similar total ranks (14), yet occupy different places in the overall ranking, with Switzerland in fourth and the United Kingdom also in fourth position. This similarity can be attributed to their balanced performance across all three components, showing no significant advantages in any particular area.
Canada excels in the aggregate impact of the components, achieving the lowest sum of ranks (7). This is bolstered by its top position in the economic component and a high average SDG Index score.
The United States ranks second in terms of the combined component impact, owing to its strong performance across social, ecological, and economic factors. However, its overall SDG Index score places it sixth, indicating that other factors may be influencing its sustainable development outcomes.
In summary, while Canada and the USA rank first and second, respectively, based on the impact of the social, ecological, and economic components on the SDG Index score, their positions shift to fifth and sixth, respectively, when considering the SDG Index score itself. This discrepancy highlights the complexity of measuring sustainable development and the multifaceted nature of the factors at play.
Germany achieves the highest SDG Index score, yet its cumulative impact from the social, ecological, and economic components ranks it third. This suggests that while Germany is making significant progress, the development of these components is more balanced rather than leading in any specific category.
The reasons for the discrepancies between the integral impact and the SDG index score are as follows:
- This study justifies the use of specific quantitative indicators to assess progress toward the Sustainable Development Goals (SDGs) 1–15, excluding institutional components (SDGs 16 and 17). We believe that the institutional component can significantly influence the overall SDG index score. Its absence from the aggregate analysis may contribute to discrepancies in the rankings as it plays a crucial role in facilitating progress across all goals.
- In some countries, strong performance in one area (social, ecological, or economic) can compensate for weaknesses in others. This phenomenon results in a scenario where the cumulative effect of the components does not align perfectly with the overall SDG Index score. In such cases, the strengths of certain indicators may “overshadow” the weaker aspects in other areas, leading to a misrepresentation of a country’s overall sustainable development performance.
5. Discussion and Conclusions
The results of our study highlight the intricate and multifaceted relationships between social, ecological, and economic components and the achievement of the Sustainable Development Goals (SDGs) in developed countries. By analyzing data from 2000 to 2022 for seven selected countries, several key trends and patterns emerged.
Firstly, the overall positive dynamics of the SDG Index across all countries indicate steady progress toward achieving the SDGs and strategic planning. However, the pace and nature of this progress differ significantly between countries. European nations, such as Germany, the Netherlands, and Switzerland, generally display higher indicators compared to non-European countries like the USA and Australia. These differences may reflect varying approaches to sustainable development policies and the level of priority placed on the SDGs within national development strategies.
When examining the impact of individual components on the SDG Index, strong positive correlations were found for all three components—social, ecological, and economic. However, the strength of these correlations varies across countries. For instance, the Netherlands showed the strongest correlation between the social component and the SDG Index, while Canada demonstrated the most substantial relationship between the ecological component and the SDG Index. These findings underscore the importance of adopting a tailored approach to each country when formulating strategies to meet SDG targets.
A crucial conclusion of our research is the limitation of using aggregated data analysis for a group of countries. The results reveal that when data from different countries are combined, the coefficients of determination (R2) are significantly reduced compared to those derived from individual country models. This reduction suggests the presence of country-specific factors that cannot be captured adequately by a generalized model, reinforcing the need for country-specific analysis when assessing progress toward sustainable development.
This study reaffirms the necessity of context-sensitive strategies and individualized approaches to sustainable development, where each nation’s unique social, ecological, and economic dynamics are taken into consideration.
Thus, our study confirms the necessity of a differentiated approach to analyzing progress toward the SDGs in different countries. The ranking of countries based on the impact of social, ecological, and economic components on the SDG Index reveals notable discrepancies between the overall ranking by component impact and the actual SDG Index value. For instance, Canada and the United States rank high in terms of component impact but are lower in the actual SDG Index rankings. This suggests the existence of additional factors influencing the overall SDG Index that were not accounted for in our analysis.
These findings have significant implications for sustainable development policy. They highlight the need for an integrated approach that considers the complex interrelationships between various components of sustainable development. The results underscore the importance of developing tailored strategies for achieving the SDGs, which are sensitive to each country’s specific conditions, strengths, and weaknesses in different aspects of sustainability.
The results of the study provide valuable insights for enhancing strategies aimed at achieving the SDGs. The in-depth analysis of the interconnections between social, economic, and ecological components allows us to identify the most influential factors contributing to the successful implementation of SDGs in different countries. These findings can be utilized to develop targeted policies that strengthen the advantages and address the weaknesses in sustainable development across various regions. Moreover, the results highlight the importance of adapting international strategies to meet national needs, which can improve their effectiveness at the local level. Applying these insights in practice will foster a more integrated approach to sustainable development, where all three components are considered holistically. Therefore, this study can serve as a solid foundation for developing and implementing sustainable development strategies that consider each country’s specific context and effectively support the achievement of global goals.
Our findings suggest several key avenues for governmental action in sustainable development. By identifying country-specific strengths in social, economic, and ecological components, governments can prioritize and target resources more effectively. Such tailored approaches can enhance the effectiveness of policies designed to advance SDGs, promoting a comprehensive, interlinked strategy that addresses environmental, social, and economic facets of development.
To address the complex interrelations between the components of sustainable development, we recommend that governments consider implementing strategic policies in the following areas:
1. Adopt policies aimed at reducing carbon footprints, incentivizing clean energy, and supporting biodiversity protection;
2. Develop fiscal policies that encourage businesses to engage in sustainable practices, such as green taxes, tax reliefs and subsidies;
3. Invest in social infrastructure, particularly in health and education sectors, to strengthen communities’ adaptive capacities and support long-term sustainable development in social resilience.
The integration of strategic planning at the governmental level can vastly enhance progress towards the SDGs. By adopting tailored policies that reflect national priorities in social, economic, and ecological areas, governments can provide an enabling environment that supports the Sustainable Development Goals. This approach not only bolsters local development but also aligns with global sustainability objectives, fostering international cooperation and resilience.
The limitations of our study include a focus on developed countries and the use of aggregated data, which may obscure critical nuances at regional and local levels. Future research could expand the scope by including a broader range of countries at different development stages and incorporating more detailed data at the subnational level to capture a more nuanced picture of sustainable development dynamics.
This research emphasizes the complexity and interconnectedness of factors influencing the achievement of the SDGs. It demonstrates the necessity for individualized approaches to assessing progress and developing sustainable development strategies. These findings can serve as a foundation for further research and inform the creation of more effective policies and strategies to achieve the SDGs globally.
Author Contributions
Conceptualization, Z.D., L.M. and S.S.-A.; methodology, Z.D., L.M. and B.S.; software, Z.D., N.H. and T.D.; validation, L.M., B.S. and S.S.-A.; formal analysis, L.B. and T.D.; investigation, Z.D., L.M., N.H. and L.B.; writing—original draft preparation, Z.D., L.M. and T.D.; writing—review and editing, N.H., L.B., S.S.-A. and B.S.; visualization, Z.D., L.M. and S.S.-A.; supervision, Z.D., L.M. and B.S.; project administration, Z.D., N.H. and T.D. All authors have read and agreed to the published version of the manuscript.
Funding
This research received no external funding.
Institutional Review Board Statement
Not applicable.
Informed Consent Statement
Not applicable.
Data Availability Statement
The statistical data used in this study cover the period from 2000 to 2022 and are sourced from the Sustainable Development Reports 2017, 2019, and 2023 [2,3,4]. The study focuses on seven developed countries: Australia, Canada, Germany, the Netherlands, Switzerland, the United Kingdom, and the United States. The dataset includes indicators related to the 17 Sustainable Development Goals (SDGs) as reported by the United Nations (UN), the World Bank, the Organization for Economic Cooperation and Development (OECD), and the World Health Organization (WHO). The variables were grouped into three categories—social, ecological, and economic components—with emphasis on the SDG Index performance and the interrelations among these components.
Conflicts of Interest
The authors declare no conflicts of interest.
References
- United Nations. Outcome Document of the United Nations Summit for the Adoption of the Post-2015 Development Agenda. Available online: https://sustainabledevelopment.un.org/post2015/summit (accessed on 15 September 2024).
- United Nations. Sustainable Development Goals. 2017. Available online: https://sdgs.un.org/goals (accessed on 15 September 2024).
- United Nations. Global Sustainable Development Report: The Future is Now: Science for Achieving Sustainable Development. 2019. Available online: https://sdgs.un.org/gsdr/gsdr2019 (accessed on 15 September 2024).
- United Nations. Global Sustainable Development Report 2023: Times of Crisis, Times of Change: Science for Accelerating Transformations to Sustainable Development. 2023. Available online: https://sdgs.un.org/sites/default/files/2023-09/FINAL%20GSDR%202023-Digital%20-110923_1.pdf (accessed on 15 September 2024).
- UN Commission on Sustainable Development. Available online: https://www.un.org/sustainabledevelopment/development-agenda-retired/ (accessed on 15 September 2024).
- World Commission on Environment and Development. Our Common Future: Report of the World Commission on Environment and Development; UN: New York, NY, USA, 1987; 374p, Available online: https://digitallibrary.un.org/record/139811?v=pdf (accessed on 15 September 2024).
- Publications Office of the European Union. Europe 2020 Strategy: Towards a Smarter, Greener and More Inclusive EU Economy. 2012. Available online: https://op.europa.eu/en/publication-detail/-/publication/0cdd4b0f-e11c-4537-a04c-1b372024768c (accessed on 15 September 2024).
- European Commission. Next Generation EU: A European Recovery Instrument. 2020. Available online: https://commission.europa.eu/strategy-and-policy/eu-budget/eu-borrower-investor-relations/nextgenerationeu_en (accessed on 15 September 2024).
- Ruggerio, C. Sustainability and sustainable development: A review of principles and definitions. Sci. Total Environ. 2021, 786, 147481. [Google Scholar] [CrossRef] [PubMed]
- Moldan, B.; Janoušková, S.; Hák, T. How to understand and measure environmental sustainability: Indicators and targets. Ecol. Indic. 2012, 17, 4–13. [Google Scholar] [CrossRef]
- Liu, Y.; Ren, J. Overview of Sustainability, Sustainable Development and Sustainability Assessment: Concepts and Methods. In Green Energy Technology; Springer International Publishing: Cham, Switzerland, 2021; pp. 1–29. [Google Scholar] [CrossRef]
- Olawumi, T.; Chan, D. A scientometric review of global research on sustainability and sustainable development. J. Clean. Prod. 2018, 183, 231–250. [Google Scholar] [CrossRef]
- Zhu, J.; Hua, W. Visualizing the knowledge domain of sustainable development research between 1987 and 2015: A bibliometric analysis. Scientometrics 2017, 110, 893–914. [Google Scholar] [CrossRef]
- Rennings, K.; Wiggering, H. Steps towards indicators of sustainable development: Linking economic and ecological concepts. Ecol. Econ. 1997, 20, 25–36. [Google Scholar] [CrossRef]
- European Commission. Guide to Cost-Benefit Analysis of Investment Projects; EC: Brussels, Belgium, 2015; Available online: https://ec.europa.eu/regional_policy/sources/studies/cba_guide.pdf (accessed on 15 September 2024).
- European Commission. Guide to Cost-Benefit Analysis of Investment Projects: Economic Appraisal Tool for Cohesion Policy 2014–2020. Available online: https://ec.europa.eu/regional_policy/en/information/publications/guides/2014/guide-to-cost-benefit-analysis-of-investment-projects-for-cohesion-policy-2014-2020 (accessed on 15 September 2024).
- Eurostat. Sustainable Development in the European Union: Overview of Progress Towards the SDGs in an EU Context; European Union: Luxembourg, 2022; Available online: https://ec.europa.eu/eurostat/web/products-flagship-publications/-/ks-09-22-019 (accessed on 15 September 2024).
- Costanza, R.; Daly, L.; Fioramonti, L.; Giovannini, E.; Kubiszewski, I.; Mortensen, L.; Pickett, K.; Ragnarsdóttir, K.; Vogli, R.; Wilkinson, R. Modeling and measuring sustainable well-being in connection with the UN Sustainable Development Goals. Ecol. Econ. 2016, 130, 350–355. [Google Scholar] [CrossRef]
- Süß, A.; Höse, K.; Götze, U. Sustainability-Oriented Business Model Evaluation—A Literature Review. Sustainability 2021, 13, 10908. [Google Scholar] [CrossRef]
- Kwatra, S.; Kumar, A.; Sharma, P. A critical review of studies related to construction and computation of Sustainable Development Indices. Ecol. Indic. 2020, 112, 106061. [Google Scholar] [CrossRef]
- Jabareen, Y. A New Conceptual Framework for Sustainable Development. Environ. Dev. Sustain. 2008, 10, 179–192. [Google Scholar] [CrossRef]
- Silva, J.; Fernandes, V.; Limont, M.; Rauen, W. Sustainable development assessment from a capital perspective: Analytical structure and indicator selection criteria. J. Environ. Manag. 2020, 260, 110147. [Google Scholar] [CrossRef]
- Ramos, T.; Caeiro, S. Meta-performance evaluation of sustainability indicators. Ecol. Indic. 2010, 10, 157–166. [Google Scholar] [CrossRef]
- Hák, T.; Janoušková, S.; Moldan, B. Sustainable Development Goals: A need for relevant indicators. Ecol. Indic. 2016, 60, 565–573. [Google Scholar] [CrossRef]
- Renn, O.; Jäger, A.; Deuschle, J.; Weimer-Jehle, W. A normative-functional concept of sustainability and its indicators. Int. J. Glob. Environ. Issues 2009, 9, 291–317. [Google Scholar] [CrossRef]
- Tasdemir, C.; Gazo, R.; Quesada, H. Sustainability benchmarking tool (SBT): Theoretical and conceptual model proposition of a composite framework. Environ. Dev. Sustain. 2019, 22, 6755–6797. [Google Scholar] [CrossRef]
- Singh, R.; Murty, H.; Gupta, S.; Dikshit, A. An overview of sustainability assessment methodologies. Ecol. Indic. 2009, 9, 189–212. [Google Scholar] [CrossRef]
- Mitchell, G.; May, A.; McDonald, A. PICABUE: A methodological framework for the development of indicators of sustainable development. Int. J. Sustain. Dev. World Ecol. 1995, 2, 104–123. [Google Scholar] [CrossRef]
- Morton, S.; Pencheon, D.; Squires, N. Sustainable Development Goals (SDGs), and their implementation: A national global framework for health, development and equity needs a systems approach at every level. Br. Med. Bull. 2017, 124, 81–90. [Google Scholar] [CrossRef]
- Moyer, J.; Hedden, S. Are we on the right path to achieve the sustainable development goals? World Dev. 2020, 127, 104749. [Google Scholar] [CrossRef]
- Fonseca, L.; Domingues, J.; Dima, A. Mapping the Sustainable Development Goals Relationships. Sustainability 2020, 12, 3359. [Google Scholar] [CrossRef]
- Filho, W.; Tripathi, S.; Guerra, J.; Giné-Garriga, R.; Lovren, V.; Willats, J. Using the sustainable development goals towards a better understanding of sustainability challenges. Int. J. Sustain. Dev. World Ecol. 2018, 26, 179–190. [Google Scholar] [CrossRef]
- Griggs, D.; Smith, M.; Rockström, J.; Öhman, M.; Gaffney, O.; Glaser, G.; Kanie, N.; Noble, I.; Steffen, W.; Shyamsundar, P. An integrated framework for sustainable development goals. Ecol. Soc. 2014, 19, 49. [Google Scholar] [CrossRef]
- Lamichane, S.; Egilmez, G.; Gedik, R.; Bhutta, M.; Erenay, B. Benchmarking OECD countries’ sustainable development performance: A goal-specific principal component analysis approach. J. Clean. Prod. 2020, 287, 125040. [Google Scholar] [CrossRef]
- Sachs, J.; Schmidt-Traub, G.; Mazzucato, M.; Messner, D.; Nakicenovic, N.; Rockström, J. Six Transformations to achieve the Sustainable Development Goals. Nat. Sustain. 2019, 2, 805–814. [Google Scholar] [CrossRef]
- Hegre, H.; Petrova, K.; Uexkull, N. Synergies and Trade-Offs in Reaching the Sustainable Development Goals. Sustainability 2020, 12, 8729. [Google Scholar] [CrossRef]
- Salvia, A.; Filho, W.; Brandli, L.; Griebeler, J. Assessing research trends related to Sustainable Development Goals: Local and global issues. J. Clean. Prod. 2019, 208, 841–849. [Google Scholar] [CrossRef]
- Stafford-Smith, M.; Griggs, D.; Gaffney, O.; Ullah, F.; Reyers, B.; Kanie, N.; Stigson, B.; Shrivastava, P.; Leach, M.; O’Connell, D. Integration: The key to implementing the Sustainable Development Goals. Sustain. Sci. 2016, 12, 911–919. [Google Scholar] [CrossRef]
- Skevington, S.; Epton, T. How will the sustainable development goals deliver changes in well-being? A systematic review and meta-analysis to investigate whether WHOQOL-BREF scores respond to change. BMJ Glob. Health 2018, 3, e000609. [Google Scholar] [CrossRef]
- Gavurová, B.; Megyesiova, S. Sustainable Health and Wellbeing in the European Union. Front. Public Health 2022, 10, 851061. [Google Scholar] [CrossRef]
- Xu, Z.; Li, Y.; Chau, S.; Dietz, T.; Li, C.; Wan, L.; Zhang, J.; Zhang, L.; Li, Y.; Chung, M.; et al. Impacts of international trade on global sustainable development. Nat. Sustain. 2020, 3, 964–971. [Google Scholar] [CrossRef]
- Stenberg, K.; Hanssen, O.; Edejer, T.; Bertram, M.; Brindley, C.; Meshreky, A.; Rosen, J.; Stover, J.; Verboom, P.; Sanders, R.; et al. Financing transformative health systems towards achievement of the health Sustainable Development Goals: A model for projected resource needs in 67 low-income and middle-income countries. Lancet Glob. Health 2017, 5, e875–e887. [Google Scholar] [CrossRef]
- Kubiszewski, I.; Mulder, K.; Jarvis, D.; Costanza, R. Toward better measurement of sustainable development and well-being: A small number of SDG indicators reliably predict life satisfaction. Sustain. Dev. 2021, 30, 139–148. [Google Scholar] [CrossRef]
- Elliott, S.; Dixon, J.; Bisung, E.; Kangmennaang, J. A GLOWING footprint: Developing an index of well-being for low to middle income countries. Int. J. Wellbeing 2017, 7, 1–27. [Google Scholar] [CrossRef]
- Del-Aguila-Arcentales, S.; Alvarez-Risco, A.; Jaramillo-Arévalo, M.; De-la-Cruz-Diaz, M.; Anderson-Seminario, M. Influence of Social, Environmental and Economic Sustainable Development Goals (SDGs) over Continuation of Entrepreneurship and Competitiveness. J. Open Innov. Technol. Mark. Complex. 2022, 8, 73. [Google Scholar] [CrossRef]
- Riumallo-Herl, C.; Canning, D.; Salomon, J. Measuring health and economic well-being in the Sustainable Development Goals era: Development of a poverty-free life expectancy metric and estimates for 90 countries. Lancet Glob. Health 2018, 6, e843–e858. [Google Scholar] [CrossRef]
- Kimura, Y. UN Sustainable Development Report. 2024. Available online: https://www.globalsociety.earth/post/un-sustainable-development-report-2024?gad_source=1&gclid=Cj0KCQjwr9m3BhDHARIsANut04aHULAqu5y5xfEMRpWWqbd3KBZliw8Xdvu21X53dEoMUj-NalvwuZAaArMXEALw_wcB (accessed on 15 September 2024).
- Islam, S. Sustainable Development Data. Global Trends in Sustainable Development Goals: 2000 to 2023. Available online: https://www.kaggle.com/datasets/sazidthe1/sustainable-development-report?resource=download (accessed on 15 September 2024).
Disclaimer/Publisher’s Note: The statements, opinions and data contained in all publications are solely those of the individual author(s) and contributor(s) and not of MDPI and/or the editor(s). MDPI and/or the editor(s) disclaim responsibility for any injury to people or property resulting from any ideas, methods, instructions or products referred to in the content. |
© 2024 by the authors. Licensee MDPI, Basel, Switzerland. This article is an open access article distributed under the terms and conditions of the Creative Commons Attribution (CC BY) license (https://creativecommons.org/licenses/by/4.0/).







