Numerical Simulation Investigation of Wind Field Characteristics and Acceleration Effects over V-Shaped Hills
Abstract
1. Introduction
2. Materials and Methods
3. Validation of Numerical Simulation Accuracy
4. Results and Discussion
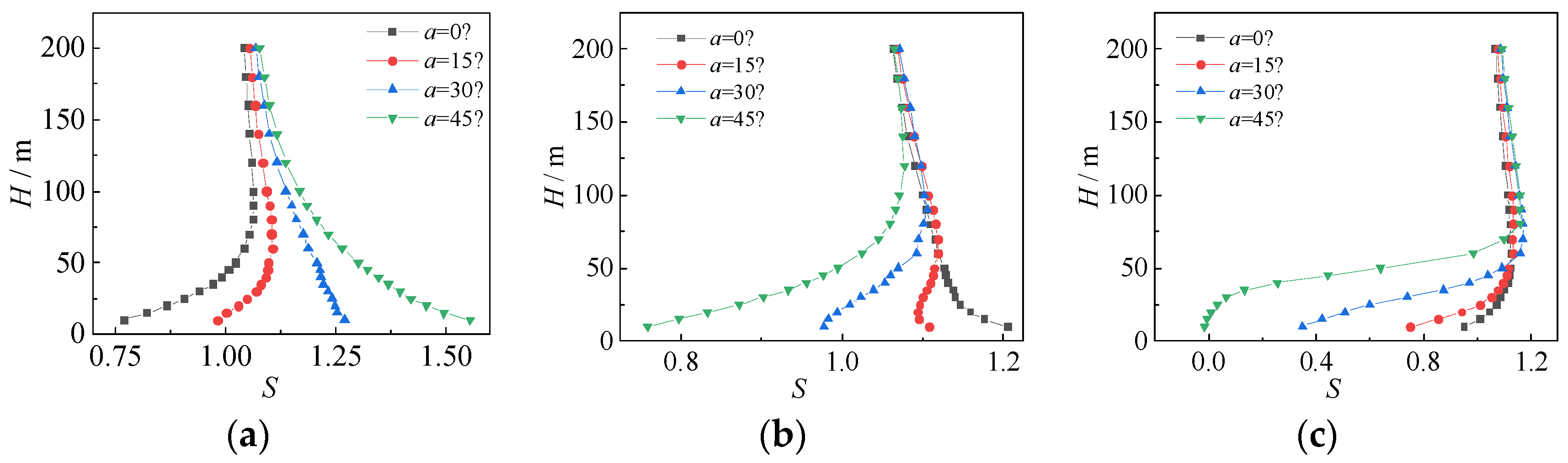
4.1. The Influence of Wind Direction
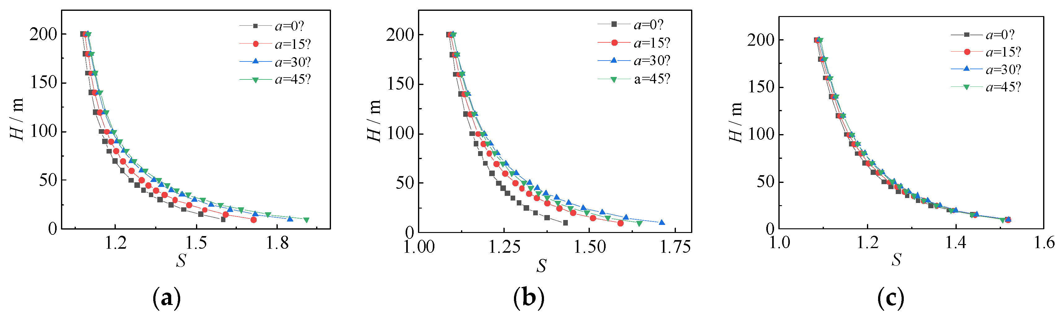
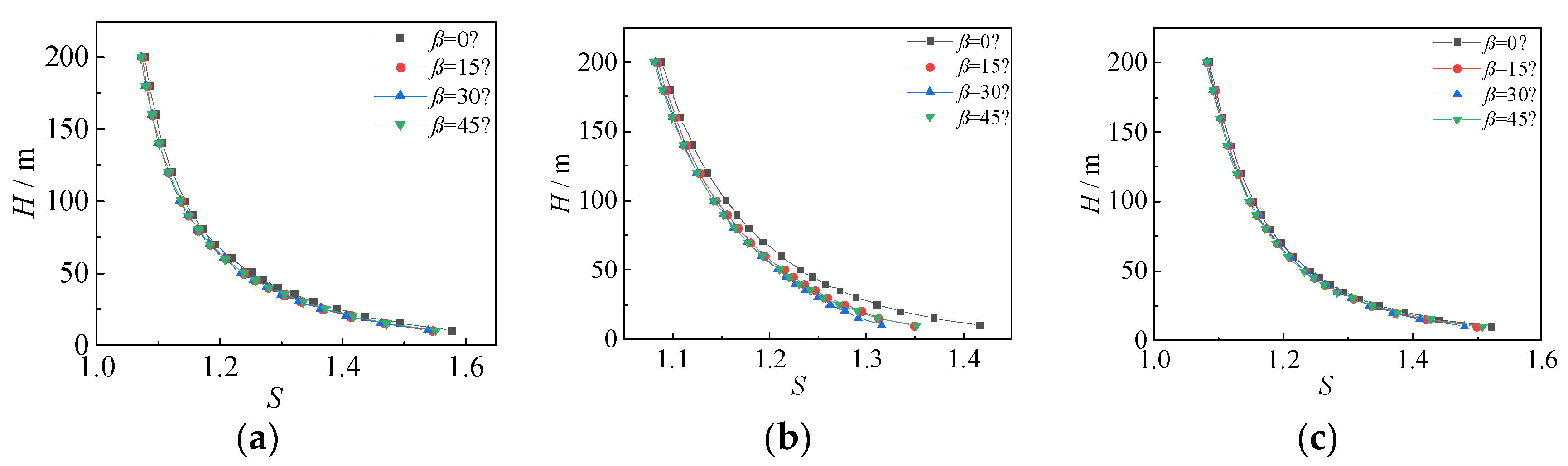
4.2. The Influence of Hill Pinch Angle
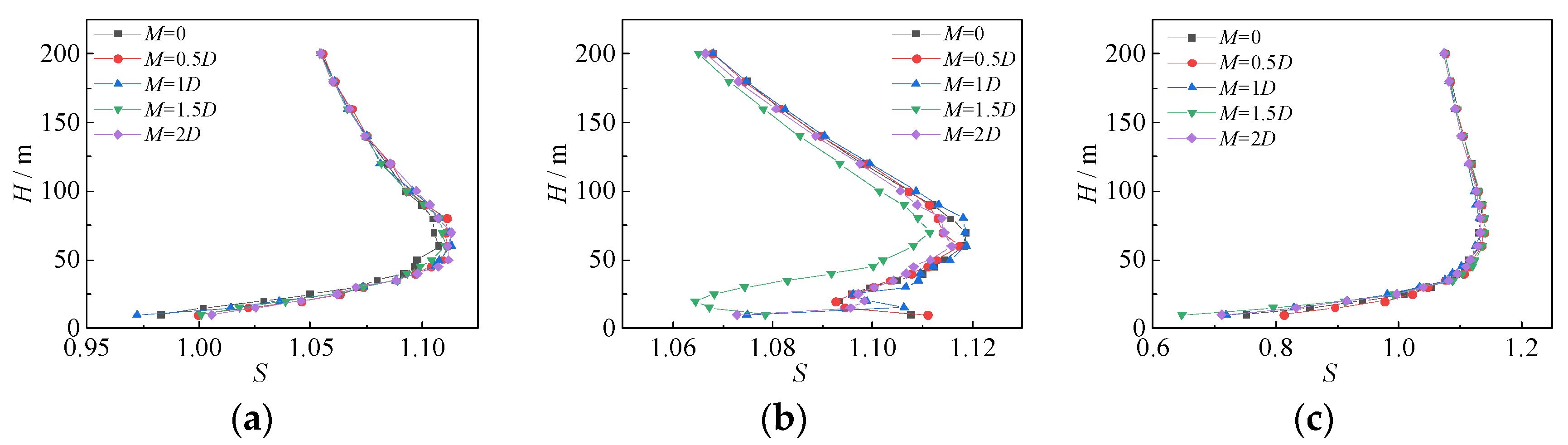
4.3. The Influence of Distance Between Hills
4.4. Comparison with Codes
4.5. The Suggestion of Wind Speed Acceleration Ratio
5. Conclusions
- (1)
- The wind speed at the hill’s top under various wind angles significantly exceeds that of surrounding areas, resulting in the formation of a wake area behind the V-shaped hill. Beyond a height of 200 m, the wind speed becomes independent of both the topography and wind angle. Generally, the acceleration ratio at the hill’s top demonstrates a declining trend as height increases.
- (2)
- At a wind angle of 15°, the V-shaped hill generates a wake zone behind it; moreover, when the pinch angle equals or exceeds 15°, the wake zone gradually transitions from two to one. The acceleration ratios at various locations at the hill’s base do not consistently change with height as the angle between the hills varies.
- (3)
- When subjected to oblique wind direction, the V-shaped hill forms a wake zone behind each of the two hills. Moreover, when the distance between the hills equals or exceeds 50 m, the wake zone gradually transitions from a single zone to two distinct zones. The spacing between hills minimally influences the acceleration ratio at both the mid-height and the top of the hill.
- (4)
- The specification of acceleration effects in hilly terrain varies across different codes. At the foot of the hill, the American code indicates the smallest acceleration ratio, which aligns closely with the results presented in this paper. Above 100 m, the American code yields the smallest ratio, while the Chinese code demonstrates the largest ratio below 100 m. The findings in this paper fall within the range of results obtained from the Japanese and Australian codes.
Author Contributions
Funding
Institutional Review Board Statement
Informed Consent Statement
Data Availability Statement
Conflicts of Interest
References
- Chen, Q.; Yu, C.; Li, Y.; Zhang, X.; He, P. Directional wind characteristics analysis in the mountainous area based on field measurement. J. Wind Eng. Ind. Aerodyn. 2022, 229, 105162. [Google Scholar] [CrossRef]
- Zou, Q.; Li, Z.; Zou, F.; Zeng, X.; Wang, C.; Pan, Y. A study on the characteristics of roof wind field by wind tunnel test. J. Build. Eng. 2021, 43, 103155. [Google Scholar] [CrossRef]
- Song, J.L.; Li, J.W.; Xu, R.Z.; Flay, R.G. Field measurements and CFD simulations of wind characteristics at the Yellow River bridge site in a converging-channel terrain. Eng. Appl. Comput. Fluid Mech. 2022, 16, 58–72. [Google Scholar] [CrossRef]
- Jackson, P.S.; Hunt, J.C.R. Turbulent wind flow over a low hill. Q. J. R. Meteorol. Soc. 1975, 101, 929–955. [Google Scholar] [CrossRef]
- Neff, D.E.; Meroney, R.N. Wind-tunnel modeling of hill and vegetation influence on wind power availability. J. Wind. Eng. Ind. Aerodyn. 1998, 74–76, 335–343. [Google Scholar] [CrossRef]
- Ishihara, T.; Hibi, K.; Oikawa, S. A wind tunnel study of turbulent flow over a three-dimensional steep hill. J. Wind. Eng. Ind. Aerodyn. 1999, 83, 95–107. [Google Scholar] [CrossRef]
- Lubitz, W.D.; White, B.R. Wind-tunnel and field investigation of the effect of local wind direction on speed-up over hills. J. Wind. Eng. Ind. Aerodyn. 2007, 95, 639–661. [Google Scholar] [CrossRef]
- Li, Z.L.; Sun, Y.; Wei, Q.K.; Chen, S. Numerical simulation of mean velocity speed-up effect in Hilly terrain. Eng. Mech. 2010, 27, 32–37. [Google Scholar]
- Song, J.L.; Li, J.W.; Flay, R.G.; Pirooz, A.A.S.; Fu, J.Y. Validation and application of pressure-driven RANS approach for wind parameter predictions in mountainous terrain. J. Wind. Eng. Ind. Aerodyn. 2023, 240, 105483. [Google Scholar] [CrossRef]
- Miller, C.A.; Davenport, A.G. Guidelines for the calculation of wind speed-ups in complex terrain. J. Wind. Eng. Ind. Aerodyn. 1998, 74–76, 189–197. [Google Scholar] [CrossRef]
- Carpenter, P.; Locke, N. Investigation of wind speeds over multiple twodimensional hills. J. Wind. Eng. Ind. Aerodyn. 1999, 83, 109–120. [Google Scholar] [CrossRef]
- Breuer, M.; Peller, N.; Rapp, C.; Manhart, M. Flow over periodic hills – Numerical and experimental study in a wide range of Reynolds numbers. Comput. Fluids 2009, 38, 433–457. [Google Scholar] [CrossRef]
- Li, Z.; Wei, Q.; Sun, Y. Experimental research on amplitude characteristics of complex hilly terrain wind field. Eng. Mech. 2012, 29, 184–191. [Google Scholar]
- Shen, G.H.; Yao, D.; Yu, S.C.; Lou, W.J.; Xing, Y.L. Wind tunnel test of wind field characteristics on isolated hill and two adjacent hills. J. Zhejiang Univ. (Eng. Sci.) 2016, 50, 812. [Google Scholar]
- Li, Z.-H.; Lou, W.-J.; Zhang, L.-G.; Bian, R. Numerical simulation of effects of topographic factors on wind speed in col. J. Zhejiang Univ. (Eng. Sci.) 2016, 50, 848–855. [Google Scholar]
- Lou, W.; Liu, M.; Li, Z.; Zhang, L.; Bian, R. Research on mean wind speed characteristics and speed-up effect in canyon terrain. J. Hunan Univ. (Nat. Sci.) 2016, 43, 8–15. [Google Scholar]
- Turnipseed, A.A.; Anderson, D.E.; Burns, S.; Blanken, P.D.; Monson, R.K. Airflows and turbulent flux measurements in mountainous terrain Part2: Mesoscale effects. Agric. For. Meteorol. 2004, 125, 187–205. [Google Scholar] [CrossRef]
- Bai, H.; Li, J.; Liu, J. Experimental study on wind field characteristics of Sanshui river bridge site located in west valley region. J. Vib. Shock. 2012, 31, 74–78. [Google Scholar]
- Jubayer, C.M.; Hangan, H. A hybrid approach for evaluating wind flow over a complex terrain. J. Wind. Eng. Ind. Aerodyn. 2018, 175, 65–76. [Google Scholar] [CrossRef]
- Yu, C.; Li, Y.; Zhang, M.; Zhang, Y.; Zhai, G. Wind characteristics along a bridge catwalk in a deep-cutting gorge from field measurements. J. Wind. Eng. Ind. Aerodyn. 2019, 186, 94–104. [Google Scholar] [CrossRef]
- Yang, Q.; Zhou, T.; Yan, B.; Liu, M.; Van Phuc, P.; Shu, Z. LES study of topographical effects of simplified 3D hills with different slopes on ABL flows considering terrain exposure conditions. J. Wind. Eng. Ind. Aerodyn. 2021, 210, 104513. [Google Scholar] [CrossRef]
- Cheng, X.; Yan, B.; Zhou, X.; Yang, Q.; Huang, G.; Su, Y.; Yang, W.; Jiang, Y. Wind resource assessment at mountainous wind farm: Fusion of RANS and vertical multi-point on-site measured wind field data. Appl. Energy 2024, 363, 123116. [Google Scholar] [CrossRef]
- GB 50009-2012; Load Code for the Design of Building Structures. Architecture and Building Press: Beijing, China, 2012.
- ASCE 7-10; Minimum Design Loads for Buildings and Other Structures. ASCE: New York, NY, USA, 2010.
- EN 2004-1-4; Actions on Structures; European standard. European Committee for Standardization: Brussels, Belgium, 2004.
- AS/NZS 1170.0; Structural design actions, Part 2: Wind actions. Australian/New Zealand Standard. Standards Australia: Sydney, NSW, Australia; Standards New Zealand: Wellington, New Zealand, 2011.
- Architectural Institute of Japan. AIJ Recommendations for Loads on Buildings; Architectural Institute of Japan: Tokyo, Japan, 2004. [Google Scholar]






















| Location | Boundary Condition |
|---|---|
| Inflow Surface | Velocity Inlet |
| Outflow Surface | Pressure Outlet |
| Side | Symmetry |
| Top Surface | Symmetry |
| Ground | Wall |
| Hill | Wall |
| No. | α | β | M |
|---|---|---|---|
| 1 | 0°~45°@15° | 30° | 0 |
| 2 | 15° | 0°~45°@15° | 0 |
| 3 | 15° | 30° | 0~2D@0.5D |
| Code | Calculation Method | Note |
|---|---|---|
| GB 50009-2012 [23] | tan α is the slope; κ is a constant; H is the height of the hill or the slope; and z is the height from the hill surface. | |
| ASCE 7-10 [24] | K1, K2, and K3 are the factors. | |
| EN 2004-1-4 [25] | φ is the upstream slope, and s is the orographic location factor. | |
| AS/NZS 1170.2 [26] | x is the distance from the hill center. L2 is 4 L1 at upstream slope and the ridge and 10 L1 at the downstream side. L1 is the greater of 0.36 Lu and 0.4 H. Lu is the horizontal distance from the hill crest to the upstream slope at 1/2 of the hill height. | |
| AIJ 2004 [27] | Hs is the hill height, and C1, C2, and C3 are coefficients. |
Disclaimer/Publisher’s Note: The statements, opinions and data contained in all publications are solely those of the individual author(s) and contributor(s) and not of MDPI and/or the editor(s). MDPI and/or the editor(s) disclaim responsibility for any injury to people or property resulting from any ideas, methods, instructions or products referred to in the content. |
© 2024 by the authors. Licensee MDPI, Basel, Switzerland. This article is an open access article distributed under the terms and conditions of the Creative Commons Attribution (CC BY) license (https://creativecommons.org/licenses/by/4.0/).
Share and Cite
Yao, J.; Tu, Z.; Xu, H. Numerical Simulation Investigation of Wind Field Characteristics and Acceleration Effects over V-Shaped Hills. Sustainability 2024, 16, 9274. https://doi.org/10.3390/su16219274
Yao J, Tu Z, Xu H. Numerical Simulation Investigation of Wind Field Characteristics and Acceleration Effects over V-Shaped Hills. Sustainability. 2024; 16(21):9274. https://doi.org/10.3390/su16219274
Chicago/Turabian StyleYao, Jianfeng, Zhibin Tu, and Haiwei Xu. 2024. "Numerical Simulation Investigation of Wind Field Characteristics and Acceleration Effects over V-Shaped Hills" Sustainability 16, no. 21: 9274. https://doi.org/10.3390/su16219274
APA StyleYao, J., Tu, Z., & Xu, H. (2024). Numerical Simulation Investigation of Wind Field Characteristics and Acceleration Effects over V-Shaped Hills. Sustainability, 16(21), 9274. https://doi.org/10.3390/su16219274

