Adsorption of Phosphate from Aqueous Solution Using Hydrochar Produced from Agricultural Wastes
Abstract
1. Introduction
2. Materials and Methods
2.1. Experimental Design and Statistical Analysis
2.2. Materials
2.3. Preparation of Adsorbents
2.3.1. Hydrochar Production
2.3.2. Activation
2.4. Characterization of Feedstocks and Adsorbents
2.5. Phosphate Adsorption in Batch Experiment
2.6. Phosphate Adsorption in Fixed-Bed Column Experiment
Thomas Model
3. Results and Discussion
3.1. HTC and Activation Yields
3.2. Characterization of Feedstocks and Adsorbents
3.3. Phosphate Adsorption in Batch Experiment
3.3.1. Adsorption Isotherm Model
3.3.2. Adsorption Kinetic Model
3.4. Characterization of Adsorbent Before and After Adsorption
3.4.1. SEM Analysis
3.4.2. FTIR Analysis
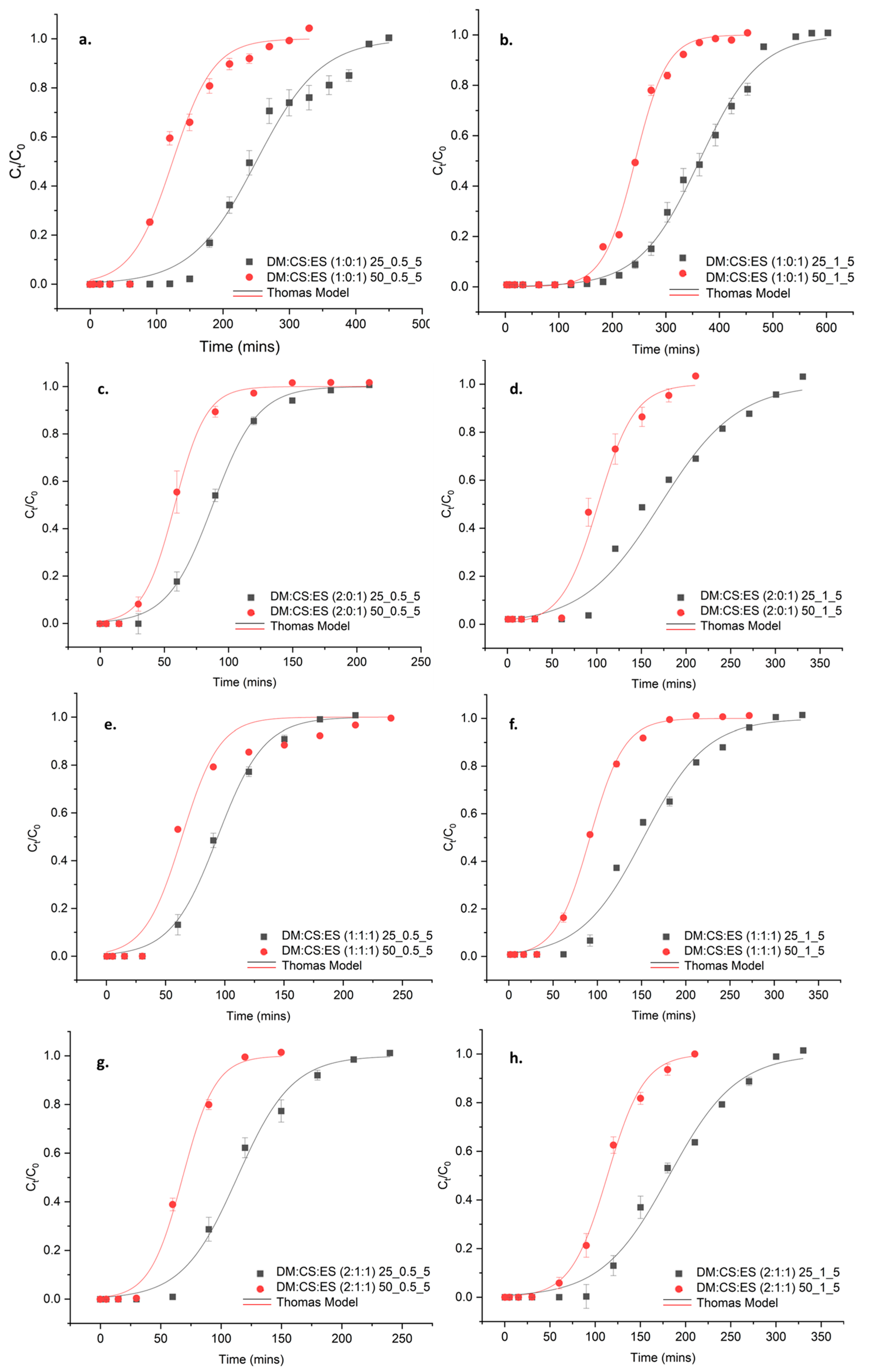
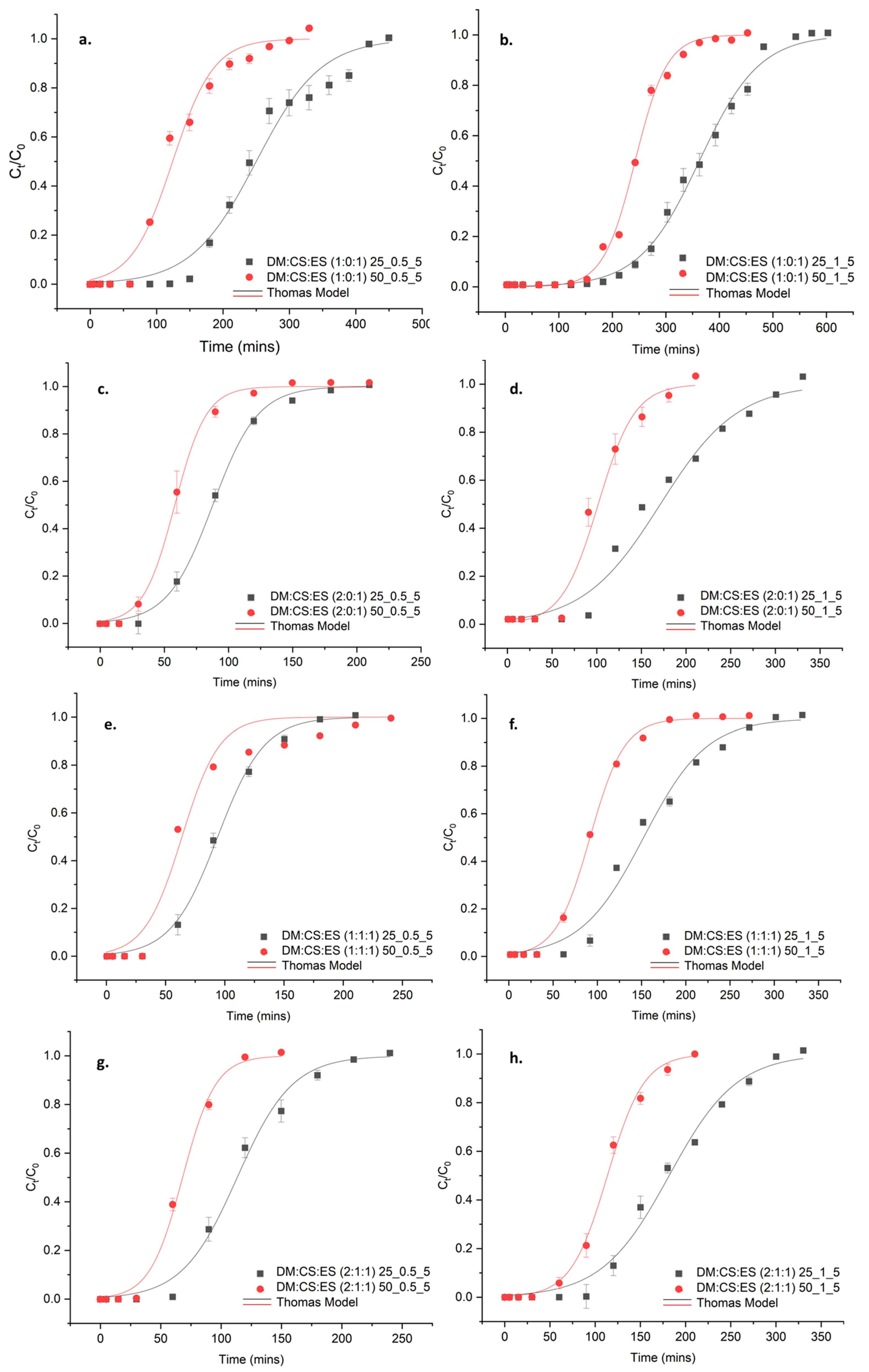
3.5. Phosphate Adsorption in Column Experiment
3.5.1. Effect of Adsorbent Dose on Breakthrough Curve
3.5.2. Effect of Initial Phosphate Concentration on Breakthrough Curve
3.5.3. Thomas Model Fit with the Experimental Values
3.5.4. Statistical Analysis
4. Conclusions
Supplementary Materials
Author Contributions
Funding
Institutional Review Board Statement
Informed Consent Statement
Data Availability Statement
Acknowledgments
Conflicts of Interest
References
- Manthiram, K.; Gribkoff, E. Fertilizer and Climate Change. Available online: https://climate.mit.edu/explainers/fertilizer-and-climate-change (accessed on 7 June 2022).
- Consumption of Agricultural Fertilizers in the United States from 2010 to 2021, by Nutrient. Available online: https://www.statista.com/statistics/1330021/fertilizer-consumption-by-nutrient-us/ (accessed on 2 August 2024).
- Usman, M.O.; Aturagaba, G.; Ntale, M.; Nyakairu, G.W. A Review of Adsorption Techniques for Removal of Phosphates from Wastewater. Water Sci. Technol. 2022, 86, 3113–3132. [Google Scholar] [CrossRef] [PubMed]
- Rittmann, B.E.; Mayer, B.; Westerhoff, P.; Edwards, M. Capturing the Lost Phosphorus. Chemosphere 2011, 84, 846–853. [Google Scholar] [CrossRef] [PubMed]
- Steffen, W.; Richardson, K.; Rockström, J.; Cornell, S.E.; Fetzer, I.; Bennett, E.M.; Biggs, R.; Carpenter, S.R.; De Vries, W.; De Wit, C.A. Planetary Boundaries: Guiding Human Development on a Changing Planet. Science 2015, 347, 1259855. [Google Scholar] [CrossRef]
- Fink, G.; Alcamo, J.; Flörke, M.; Reder, K. Phosphorus Loadings to the World’s Largest Lakes: Sources and Trends. Glob. Biogeochem. Cycles 2018, 32, 617–634. [Google Scholar] [CrossRef]
- Badylak, S.; Phlips, E.J. Spatial and Temporal Distributions of Zooplankton in Tampa Bay, Florida, Including Observations during a HAB Event. J. Plankton Res. 2008, 30, 449–465. [Google Scholar] [CrossRef]
- Hu, Z.; Sykes, R.; Davis, M.F.; Charles Brummer, E.; Ragauskas, A.J. Chemical Profiles of Switchgrass. Bioresour. Technol. 2010, 101, 3253–3257. [Google Scholar] [CrossRef]
- Davis, T.W.; Bullerjahn, G.S.; Tuttle, T.; McKay, R.M.; Watson, S.B. Effects of Increasing Nitrogen and Phosphorus Concentrations on Phytoplankton Community Growth and Toxicity during Planktothrix Blooms in Sandusky Bay, Lake Erie. Environ. Sci. Technol. 2015, 49, 7197–7207. [Google Scholar] [CrossRef] [PubMed]
- Jabbar, F.K. Statistical Assessment of Nonpoint Source Pollution in Agricultural Watersheds in the Lower Grand River Watershed, MO, USA. Environ. Sci. Pollut. Res. 2019, 26, 1487–1506. [Google Scholar] [CrossRef]
- Eaken, J.P. Toledo Invests $1 Billion in Water Treatment Plant. Available online: http://presspublications.com/content/toledo-invests-1-billion-water-treatment-plant-0 (accessed on 2 September 2020).
- Altamira-Algarra, B.; Puigagut, J.; Day, J.W.; Mitsch, W.J.; Vymazal, J.; Hunter, R.G.; García, J.; Liu, X.; Shen, F.; Qi, X. A Review of Technologies for Closing the P Loop in Agriculture Runoff: Contributing to the Transition towards a Circular Economy. Ecol. Eng. 2022, 177, 106571. [Google Scholar] [CrossRef]
- Liu, X.; Feng, S.; Qi, X. Adsorption Recovery of Phosphate from Aqueous Solution by CaO-Biochar Composites Prepared from Eggshell and Rice Straw. Sci. Total Environ. 2019, 666, 694–702. [Google Scholar] [CrossRef]
- Pratt, C.; Parsons, S.A.; Soares, A.; Martin, B.D. Biologically and Chemically Mediated Adsorption and Precipitation of Phosphorus from Wastewater. Curr. Opin. Biotechnol. 2012, 23, 890–896. [Google Scholar] [CrossRef] [PubMed]
- Zhuo, S.N.; Dai, T.C.; Ren, H.Y.; Liu, B.F. Simultaneous Adsorption of Phosphate and Tetracycline by Calcium Modified Corn Stover Biochar: Performance and Mechanism. Bioresour. Technol. 2022, 359, 127477. [Google Scholar] [CrossRef] [PubMed]
- Tee, G.T.; Gok, X.Y.; Yong, W.F. Adsorption of Pollutants in Wastewater via Biosorbents, Nanoparticles and Magnetic Biosorbents: A Review. Environ. Res. 2022, 212, 113248. [Google Scholar] [CrossRef]
- Chen, S.; Zhang, J.; Zhang, C.; Yue, Q.; Li, Y.; Li, C. Equilibrium and Kinetic Studies of Methyl Orange and Methyl Violet Adsorption on Activated Carbon Derived from Phragmites Australis. Desalination 2010, 252, 149–156. [Google Scholar] [CrossRef]
- Xu, C.; Liu, R.; Chen, L.; Wang, Q. Efficient Adsorption Removal of Phosphate from Rural Domestic Sewage by Waste Eggshell-Modified Peanut Shell Biochar Adsorbent Materials. Materials 2023, 16, 5873. [Google Scholar] [CrossRef] [PubMed]
- Zhang, S.; Pi, M.; Su, Y.; Xu, D.; Xiong, Y.; Zhang, H. Physiochemical Properties and Pyrolysis Behavior Evaluations of Hydrochar from Co-Hydrothermal Treatment of Rice Straw and Sewage Sludge. Biomass Bioenergy 2020, 140, 105664. [Google Scholar] [CrossRef]
- Sun, C.; Cao, H.; Huang, C.; Wang, P.; Yin, J.; Liu, H.; Tian, H.; Xu, H.; Zhu, J.; Liu, Z. Eggshell Based Biochar for Highly Efficient Adsorption and Recovery of Phosphorus from Aqueous Solution: Kinetics, Mechanism and Potential as Phosphorus Fertilizer. Bioresour. Technol. 2022, 362, 127851. [Google Scholar] [CrossRef]
- Wang, Q.; Wu, S.; Cui, D.; Pan, S.; Xu, F.; Xu, F.; Wang, Z.; Li, G. Co-Hydrothermal Carbonization of Corn Stover and Food Waste: Characterization of Hydrochar, Synergistic Effects, and Combustion Characteristic Analysis. J. Environ. Chem. Eng. 2022, 10, 108716. [Google Scholar] [CrossRef]
- Cao, H.; Wu, X.; Syed-Hassan, S.S.A.; Zhang, S.; Mood, S.H.; Milan, Y.J.; Garcia-Perez, M. Characteristics and Mechanisms of Phosphorous Adsorption by Rape Straw-Derived Biochar Functionalized with Calcium from Eggshell. Bioresour. Technol. 2020, 318, 124063. [Google Scholar] [CrossRef]
- Tu, W.; Liu, Y.; Xie, Z.; Chen, M.; Ma, L.; Du, G.; Zhu, M. A Novel Activation-Hydrochar via Hydrothermal Carbonization and KOH Activation of Sewage Sludge and Coconut Shell for Biomass Wastes: Preparation, Characterization and Adsorption Properties. J. Colloid Interface Sci. 2021, 593, 390–407. [Google Scholar] [CrossRef]
- Wang, X.; Liu, S.; Gao, C.; Feng, C.; Yang, J.; Liu, M.; Wu, L. Recovery of Ammonium and Phosphate from Wastewater by Wheat Straw-Based Amphoteric Adsorbent and Reusing as a Multifunctional Slow-Release Compound Fertilizer. ACS Sustain. Chem. Eng. 2016, 4, 2068–2079. [Google Scholar] [CrossRef]
- Xu, X.; Gao, B.; Wang, W.; Yue, Q.; Wang, Y.; Ni, S. Adsorption of Phosphate from Aqueous Solutions onto Modified Wheat Residue: Characteristics, Kinetic and Column Studies. Colloids Surf. B Biointerfaces 2009, 70, 46–52. [Google Scholar] [CrossRef] [PubMed]
- Yan, Y.; Sun, X.; Ma, F.; Li, J.; Shen, J.; Han, W.; Liu, X.; Wang, L. Removal of Phosphate from Etching Wastewater by Calcined Alkaline Residue: Batch and Column Studies. J. Taiwan Inst. Chem. Eng. 2014, 45, 1709–1716. [Google Scholar] [CrossRef]
- Kong, L.; Han, M.; Shih, K.; Su, M.; Diao, Z.; Long, J.; Chen, D.; Hou, L.; Peng, Y. Nano-Rod Ca-Decorated Sludge Derived Carbon for Removal of Phosphorus. Environ. Pollut. 2018, 233, 698–705. [Google Scholar] [CrossRef]
- Stobernack, N.; Malek, C. Hydrothermal Carbonization Combined with Thermochemical Treatment of Sewage Sludge: Effects of MgCl2 on the Migration of Phosphorus and Heavy Metal. Waste Manag. 2023, 165, 150–158. [Google Scholar] [CrossRef]
- Peng, G.; Jiang, S.; Wang, Y.; Zhang, Q.; Cao, Y.; Sun, Y.; Zhang, W.; Wang, L. Synthesis of Mn/Al Double Oxygen Biochar from Dewatered Sludge for Enhancing Phosphate Removal. J. Clean. Prod. 2020, 251, 119725. [Google Scholar] [CrossRef]
- Lin, J.C.; Mariuzza, D.; Volpe, M.; Fiori, L.; Ceylan, S.; Goldfarb, J.L. Integrated Thermochemical Conversion Process for Valorizing Mixed Agricultural and Dairy Waste to Nutrient-Enriched Biochars and Biofuels. Bioresour. Technol. 2021, 328, 124765. [Google Scholar] [CrossRef]
- Fu, M.; Mo, C.; Li, H.; Zhang, Y.; Huang, W. Comparison of Physicochemical Properties of Biochars and Hydrochars Produced from Food Wastes. J. Clean. Prod. 2019, 236, 117637. [Google Scholar] [CrossRef]
- Pagliari, P.; Wilson, M.; He, Z. Animal Manure Production and Utilization: Impact of Modern Concentrated Animal Feeding Operations. In Animal Manure; Wiley: Hoboken, NJ, USA, 2020; pp. 1–14. [Google Scholar]
- Wang, D.; Chen, N.; Yu, Y.; Hu, W.; Feng, C. Investigation on the Adsorption of Phosphorus by Fe-Loaded Ceramic Adsorbent. J. Colloid Interface Sci. 2016, 464, 277–284. [Google Scholar] [CrossRef]
- Mariuzza, D.; Lin, J.-C.; Volpe, M.; Fiori, L.; Ceylan, S.; Goldfarb, J.L. Impact of Co-Hydrothermal Carbonization of Animal and Agricultural Waste on Hydrochars’ Soil Amendment and Solid Fuel Properties. Biomass Bioenergy 2022, 157, 106329. [Google Scholar] [CrossRef]
- Koundinya, V. Corn Stover. Available online: https://www.agmrc.org/commodities-products/biomass/corn-stover (accessed on 17 April 2024).
- Wright, L.L.; Perlack, R.D.; Turnhollow, A.F.; Eaton, L.M. Switchgrass Production in the USA. Available online: https://www.ieabioenergy.com/wp-content/uploads/2018/01/IEA_Bioenergy_Task43_PR2011-03.pdf (accessed on 8 August 2024).
- Chen, Z.-L.; Zhang, J.-Q.; Huang, L.; Yuan, Z.-H.; Li, Z.-J.; Liu, M.-C. Removal of Cd and Pb with Biochar Made from Dairy Manure at Low Temperature. J. Integr. Agric. 2019, 18, 201–210. [Google Scholar] [CrossRef]
- Li, H.Z.; Zhang, Y.N.; Guo, J.Z.; Lv, J.Q.; Huan, W.W.; Li, B. Preparation of Hydrochar with High Adsorption Performance for Methylene Blue by Co-Hydrothermal Carbonization of Polyvinyl Chloride and Bamboo. Bioresour. Technol. 2021, 337, 125442. [Google Scholar] [CrossRef] [PubMed]
- Wang, L.; Wang, J.; Wei, Y. Facile Synthesis of Eggshell Biochar Beads for Superior Aqueous Phosphate Adsorption with Potential Urine P-Recovery. Colloids Surfaces A Physicochem. Eng. Asp. 2021, 622, 126589. [Google Scholar] [CrossRef]
- Jiang, D.; Chu, B.; Amano, Y.; Machida, M. Removal and Recovery of Phosphate from Water by Mg-Laden Biochar: Batch and Column Studies. Colloids Surfaces A Physicochem. Eng. Asp. 2018, 558, 429–437. [Google Scholar] [CrossRef]
- Shin, H.; Tiwari, D.; Kim, D.J. Phosphate adsorption/desorption kinetics and P bioavailability of Mg-biochar from ground coffee waste. J. Water Process Eng. 2020, 37, 101484. [Google Scholar] [CrossRef]
- Li, R.; Wang, J.J.; Zhou, B.; Awasthi, M.K.; Ali, A.; Zhang, Z.; Lahori, A.H.; Mahar, A. Recovery of Phosphate from Aqueous Solution by Magnesium Oxide Decorated Magnetic Biochar and Its Potential as Phosphate-Based Fertilizer Substitute. Bioresour. Technol. 2016, 215, 209–214. [Google Scholar] [CrossRef] [PubMed]
- Wang, S.; Kong, L.; Long, J.; Su, M.; Diao, Z.; Chang, X.; Chen, D.; Song, G.; Shih, K. Adsorption of Phosphorus by Calcium-Flour Biochar: Isotherm, Kinetic and Transformation Studies. Chemosphere 2018, 195, 666–672. [Google Scholar] [CrossRef]
- Liu, Q.; Xu, R.; Yan, C.; Han, L.; Lei, H.; Ruan, R.; Zhang, X. Fast Hydrothermal Co-Liquefaction of Corn Stover and Cow Manure for Biocrude and Hydrochar Production. Bioresour. Technol. 2021, 340, 125630. [Google Scholar] [CrossRef]
- Qin, X.; Meng, W.; Cheng, S.; Xing, B.; Shi, C.; Nie, Y.; Wang, Q.; Xia, H. Efficient Removal of Heavy Metal and Antibiotics from Wastewater by Phosphate-Modified Hydrochar. Chemosphere 2023, 345, 140484. [Google Scholar] [CrossRef]
- Tran, T.H.; Le, A.H.; Pham, T.H.; Nguyen, D.T.; Chang, S.W.; Chung, W.J.; Nguyen, D.D. Adsorption Isotherms and Kinetic Modeling of Methylene Blue Dye onto a Carbonaceous Hydrochar Adsorbent Derived from Coffee Husk Waste. Sci. Total Environ. 2020, 725, 138325. [Google Scholar] [CrossRef]
- Hames, B.; Ruiz, R.; Scarlata, C.; Sluiter, A.; Sluiter, J.; Templeton, D. Preparation of Samples for Compositional Analysis; NREL: Golden, CO, USA, 2008. [Google Scholar]
- Sluiter, A.; Hames, B.; Ruiz, R.; Scarlata, C.; Sluiter, J.; Templeton, D. Determination of Ash in Biomass; NREL: Golden, CO, USA, 2008. [Google Scholar]
- Köse, T.E.; Kivanç, B. Adsorption of Phosphate from Aqueous Solutions Using Calcined Waste Eggshell. Chem. Eng. J. 2011, 178, 34–39. [Google Scholar] [CrossRef]
- Panagiotou, E.; Kafa, N.; Koutsokeras, L.; Kouis, P.; Nikolaou, P.; Constantinides, G.; Vyrides, I. Turning Calcined Waste Egg Shells and Wastewater to Brushite: Phosphorus Adsorption from Aqua Media and Anaerobic Sludge Leach Water. J. Clean. Prod. 2018, 178, 419–428. [Google Scholar] [CrossRef]
- U.S. Environmental Protection Agency. Method 365.3: Phosphorous, All Forms (Colorimetric, Ascorbic Acid, Two Reagent). 1978. Available online: https://www.epa.gov/sites/default/files/2015-08/documents/method_365-3_1978.pdf (accessed on 7 August 2024).
- Wang, J.; Guo, X. Adsorption Isotherm Models: Classification, Physical Meaning, Application and Solving Method. Chemosphere 2020, 258, 127279. [Google Scholar] [CrossRef] [PubMed]
- Ramirez, A.; Giraldo, S.; García-Nunez, J.; Flórez, E.; Acelas, N. Phosphate Removal from Water Using a Hybrid Material in a Fixed-Bed Column. J. Water Process Eng. 2018, 26, 131–137. [Google Scholar] [CrossRef]
- Zhang, Y.P.; Adi, V.S.K.; Huang, H.L.; Lin, H.P.; Huang, Z.H. Adsorption of Metal Ions with Biochars Derived from Biomass Wastes in a Fixed Column: Adsorption Isotherm and Process Simulation. J. Ind. Eng. Chem. 2019, 76, 240–244. [Google Scholar] [CrossRef]
- Zhang, X.; Li, Y.; Wu, M.; Pang, Y.; Hao, Z.; Hu, M.; Qiu, R.; Chen, Z. Enhanced Adsorption of Tetracycline by an Iron and Manganese Oxides Loaded Biochar: Kinetics, Mechanism and Column Adsorption. Bioresour. Technol. 2021, 320, 124264. [Google Scholar] [CrossRef]
- Mekonnen, D.T.; Alemayehu, E.; Lennartz, B. Fixed-Bed Column Technique for the Removal of Phosphate from Water Using Leftover Coal. Materials 2021, 14, 5466. [Google Scholar] [CrossRef]
- Jung, K.W.; Jeong, T.U.; Choi, J.W.; Ahn, K.H.; Lee, S.H. Adsorption of Phosphate from Aqueous Solution Using Electrochemically Modified Biochar Calcium-Alginate Beads: Batch and Fixed-Bed Column Performance. Bioresour. Technol. 2017, 244, 23–32. [Google Scholar] [CrossRef]
- Jang, J.; Lee, D.S. Effective Phosphorus Removal Using Chitosan/Ca-Organically Modified Montmorillonite Beads in Batch and Fixed-Bed Column Studies. J. Hazard. Mater. 2019, 375, 9–18. [Google Scholar] [CrossRef]
- Zheng, Y.; Wang, B.; Wester, A.E.; Chen, J.; He, F.; Chen, H.; Gao, B. Reclaiming Phosphorus from Secondary Treated Municipal Wastewater with Engineered Biochar. Chem. Eng. J. 2019, 362, 460–468. [Google Scholar] [CrossRef]
- Bulgariu, D.; Bulgariu, L. Bioresource Technology Sorption of Pb (II) onto a Mixture of Algae Waste Biomass and Anion Exchanger Resin in a Packed-Bed Column. Bioresour. Technol. 2013, 129, 374–380. [Google Scholar] [CrossRef] [PubMed]
- Zhang, C.; Zheng, C.; Ma, X.; Zhou, Y.; Wu, J. Co-Hydrothermal Carbonization of Sewage Sludge and Banana Stalk: Fuel Properties of Hydrochar and Environmental Risks of Heavy Metals. J. Environ. Chem. Eng. 2021, 9, 106051. [Google Scholar] [CrossRef]
- Cao, X.; Harris, W. Bioresource Technology Properties of Dairy-Manure-Derived Biochar Pertinent to Its Potential Use in Remediation. Bioresour. Technol. 2010, 101, 5222–5228. [Google Scholar] [CrossRef] [PubMed]
- Yue, Y.; Lin, Q.; Xu, Y.; Li, G.; Zhao, X. Slow Pyrolysis as a Measure for Rapidly Treating Cow Manure and the Biochar Characteristics. J. Anal. Appl. Pyrolysis 2017, 124, 355–361. [Google Scholar] [CrossRef]
- Wu, K.; Gao, Y.; Zhu, G.; Zhu, J.; Yuan, Q.; Chen, Y.; Cai, M.; Feng, L. Characterization of Dairy Manure Hydrochar and Aqueous Phase Products Generated by Hydrothermal Carbonization at Different Temperatures. J. Anal. Appl. Pyrolysis 2017, 127, 335–342. [Google Scholar] [CrossRef]
- Liu, Z.; Zhang, Y.; Liu, Z. Comparative Production of Biochars from Corn Stalk and Cow Manure. Bioresour. Technol. 2019, 291, 121855. [Google Scholar] [CrossRef]
- Manure Value. 2024. Available online: https://water.unl.edu/manure-value (accessed on 4 February 2024).
- Takaya, C.A.; Fletcher, L.A.; Singh, S.; Anyikude, K.U.; Ross, A.B. Phosphate and Ammonium Sorption Capacity of Biochar and Hydrochar from Different Wastes. Chemosphere 2016, 145, 518–527. [Google Scholar] [CrossRef]
- Pérez, S.; Muñoz-Sadaña, J.; Acelas, N.; Flórez, E. Phosphate Removal from Aqueous Solutions by Heat Treatment of Eggshell and Palm Fiber. J. Environ. Chem. Eng. 2021, 9, 104684. [Google Scholar] [CrossRef]
- Yang, J.; Zhang, M.; Wang, H.; Xue, J.; Lv, Q.; Pang, G. Efficient Recovery of Phosphate from Aqueous Solution Using Biochar Derived from Co-Pyrolysis of Sewage Sludge with Eggshell. J. Environ. Chem. Eng. 2021, 9, 105354. [Google Scholar] [CrossRef]
- Fang, L.; Li, J.-S.; Donatello, S.; Cheeseman, C.; Poon, C.S.; Tsang, D.C. Use of Mg/Ca Modified Biochars to Take up Phosphorus from Acid-Extract of Incinerated Sewage Sludge Ash (ISSA) for Fertilizer Application. J. Clean. Prod. 2020, 244, 118853. [Google Scholar] [CrossRef]
- Lin, Q.-X.; Zhang, C.-H.; Wang, X.-H.; Cheng, B.-G.; Mai, N.; Ren, J.-L. Impact of Activation on Properties of Carbon-Based Solid Acid Catalysts for the Hydrothermal Conversion of Xylose and Hemicelluloses. Catal. Today 2019, 319, 31–40. [Google Scholar] [CrossRef]
- Jurado-Davila, V.; De Oliveira, J.T.; Estumano, D.; Féris, L.A. Fixed-Bed Column for Phosphate Adsorption Combining Experimental Observation, Mathematical Simulation, and Statistics: Classical and Bayesian. Sep. Purif. Technol. 2023, 317, 123914. [Google Scholar] [CrossRef]
- Patel, H. Batch and Continuous Fixed Bed Adsorption of Heavy Metals Removal Using Activated Charcoal from Neem (Azadirachta Indica) Leaf Powder. Sci. Rep. 2020, 10, 16895. [Google Scholar] [CrossRef] [PubMed]
- de Franco, M.A.E.; de Carvalho, C.B.; Bonetto, M.M.; de Pelegrini Soares, R.; Féris, L.A. Diclofenac Removal from Water by Adsorption Using Activated Carbon in Batch Mode and Fixed-Bed Column: Isotherms, Thermodynamic Study and Breakthrough Curves Modeling. J. Clean. Prod. 2018, 181, 145–154. [Google Scholar] [CrossRef]
- Jung, J.; Maeda, M.; Chang, A.; Bhandari, M.; Ashapure, A.; Landivar-Bowles, J. The Potential of Remote Sensing and Artificial Intelligence as Tools to Improve the Resilience of Agriculture Production Systems. Curr. Opin. Biotechnol. 2021, 70, 15–22. [Google Scholar] [CrossRef]
- Paudyal, H.; Pangeni, B.; Inoue, K.; Kawakita, H.; Ohto, K.; Alam, S. Adsorptive Removal of Fluoride from Aqueous Medium Using a Fixed Bed Column Packed with Zr (IV) Loaded Dried Orange Juice Residue. Bioresour. Technol. 2013, 146, 713–720. [Google Scholar] [CrossRef]
- Abid, M.; Altufaily, M.; Al-mansori, N.J. Mathematical Modeling of Fixed-Bed Columns for the Adsorption of Methylene Blue on to Fired Clay Pot. Int. J. ChemTech Res. 2019, 12, 70–80. [Google Scholar]









| Treatments | Feedstock Mix DM/CS/ES | Justification for Selection |
|---|---|---|
| 1 | 1:0:0 | Control dairy manure (DM) |
| 2 | 1:1:0 | Test impact of corn stover (CS) |
| 3 | 2:1:0 | Test if similar results can be obtained with less quantity of CS |
| 4 | 1:0:1 | Test impact of eggshell (ES) |
| 5 | 2:0:1 | Test if similar results can be obtained with less quantity of ES |
| 6 | 1:1:1 | Test combined effect of CS and ES |
| 7 | 2:1:1 | Test combined effect with less CS and ES |
| Feedstock Mix DM/CS/ES | HTC Yield (% of Dry Feedstock) | Activation Yield (% of Dry Hydrochar) |
|---|---|---|
| 1:0:0 | 67.7 ± 1.86 a | 27.0 ± 1.32 B |
| 1:1:0 | 59.7 ± 0.323 b | 28.4 ± 1.26 B |
| 2:1:0 | 58.4 ± 0.747 b | 27.3 ± 0.46 B |
| 1:0:1 | 66.1 ± 0.902 a | 47.9 ± 4.39 A |
| 2:0:1 | 63.9 ± 0.72 ab | 35.9 ± 2.77 B |
| 1:1:1 | 67 ± 0.872 a | 35.4 ± 1.43 B |
| 2:1:1 | 65.7 ± 1.36 a | 34.8 ± 1.83 B |
| Feedstock Mix DM/CS/ES | C (%) | N (%) | Ca (%) | P (%) | |||||||||
|---|---|---|---|---|---|---|---|---|---|---|---|---|---|
| Raw | HC | AHC | Raw | HC | AHC | Raw | HC | AHC | Raw | HC | AHC | P-AHC | |
| CS | 47.7 | - | - | 0.5 | - | - | 0.3 | - | - | 0.1 | - | - | - |
| ES | 15.2 | - | - | 0.6 | - | - | 24.3 | - | - | 0.1 | - | - | - |
| DM | 44.1 | 55.2 | 55.3 | 2.6 | 2.5 | 2.5 | 2.3 | 2.4 | 10.0 | 0.7 | 0.9 | 1.7 | 2.8 |
| 1:1:0 | 45.9 | 56.5 | 60.6 | 1.6 | 1.9 | 2.4 | 1.3 | 1.4 | 3.4 | 0.4 | 0.4 | 1.0 | 1.3 |
| 2:1:0 | 45.3 | 56.7 | 63.6 | 1.9 | 2.1 | 3.2 | 1.6 | 1.6 | 4.0 | 0.5 | 0.6 | 1.4 | 1.7 |
| 1:0:1 | 29.7 | 27.8 | 5.9 | 1.6 | 0.6 | 0.0 | 13.3 | 19.4 | 32.1 | 0.4 | 0.4 | 0.7 | 2.4 |
| 2:0:1 | 34.5 | 35.1 | 13.4 | 1.9 | 1.0 | 0.6 | 9.6 | 14.8 | 25.5 | 0.5 | 0.5 | 0.9 | 3.5 |
| 1:1:1 | 35.7 | 37.6 | 21.6 | 1.2 | 1.0 | 0.8 | 9.0 | 12.8 | 25.1 | 0.3 | 0.3 | 0.6 | 2.9 |
| 2:1:1 | 39.1 | 42.0 | 25.4 | 0.8 | 1.5 | 1.2 | 6.6 | 9.9 | 22.9 | 0.2 | 0.4 | 0.9 | 3.2 |
| Feedstock Mix DM/CS/ES | qe (mg/g) | ||
|---|---|---|---|
| HC | AHC | AFM | |
| 1:0:0 | 7.84 ± 3.99 e | 7.93 ± 0.542 e | 5.44 ± 1.64 e |
| 1:1:0 | 1.09 ± 1.09 e | 8.32 ± 1.11 e | 8.13 ± 4.39 e |
| 2:1:0 | 10.00 ± 2.54 e | 7.11 ± 0.57 e | 6.67 ± 0.77 e |
| 1:0:1 | 62.20 ± 10.20 d | 209.00 ± 0.60 a | 115.00 ± 3.76 c |
| 2:0:1 | 1.96 ± 0.75 e | 198.00 ± 1.67 a | 153.00 ± 0.62 b |
| 1:1:1 | 10.90 ± 2.74 e | 200.00 ± 1.77 a | 171.00 ± 4.12 b |
| 2:1:1 | 0.87 ± 0.58 e | 157.00 ± 3.19 b | 122.00 ± 4.22 c |
| Types of Adsorbents | P Adsorption Capacity qmax (mg/g) | References |
|---|---|---|
| Dairy manure and eggshell-activated hydrochar | 209.0 | This study |
| Eggshell-modified peanut shell biochar | 191.1 | [18] |
| Eggshell and palm fiber biochar | 72.0 | [68] |
| Eggshell-modified biochar | 136.8 | [39] |
| Sewage sludge and eggshell biochar | 107.0 | [69] |
| Rapeseed and eggshell biochar | 109.7 | [22] |
| Ca-modified biochar | 129.8 | [70] |
| Rice straw and eggshell biochar | 231.0 | [13] |
| Ca-decorated biochar | 116.8 | [27] |
| Ca-modified biochar | 314.2 | [43] |
| Feedstock Mix DM/CS/ES | Langmuir Model | Freundlich Model | ||||
|---|---|---|---|---|---|---|
| KL | qmax (mg/g) | R2 | KF | 1/n | R2 | |
| 1:0:0 | 0.22 | 7.87 | 0.9947 | 5.65 | 0.056 | 0.7732 |
| 1:1:0 | 0.10 | 7.44 | 0.9854 | 3.77 | 0.112 | 0.8337 |
| 2:1:0 | 0.08 | 7.41 | 0.9955 | 3.46 | 0.126 | 0.9171 |
| 1:0:1 | 39.13 | 192.91 | 0.9341 | 104.44 | 0.126 | 0.9173 |
| 2:0:1 | 40.78 | 176.06 | 0.8974 | 95.87 | 0.122 | 0.8760 |
| 1:1:1 | 36.45 | 176.96 | 0.8802 | 94.77 | 0.126 | 0.8780 |
| 2:1:1 | 0.25 | 135.30 | 0.8925 | 40.58 | 0.230 | 0.9516 |
| Feedstock Mix DM/CS/ES | Pseudo-First-Order Model | Pseudo-Second-Order Model | ||||
|---|---|---|---|---|---|---|
| k1 (/h) | qe (mg/g) | R2 | k2 (/h) | qe (mg/g) | R2 | |
| 1:0:0 | 5.856 | 30.681 | 0.9130 | 0.314 | 32.041 | 0.9669 |
| 1:1:0 | 9.535 | 22.919 | 0.8886 | 0.617 | 24.009 | 0.9517 |
| 2:1:0 | 16.143 | 24.312 | 0.8654 | 0.798 | 25.580 | 0.9225 |
| 1:0:1 | 1.491 | 197.317 | 0.9103 | 0.010 | 213.878 | 0.9636 |
| 2:0:1 | 1.632 | 179.255 | 0.9026 | 0.012 | 193.878 | 0.9383 |
| 1:1:1 | 0.832 | 192.916 | 0.9213 | 0.005 | 214.223 | 0.9612 |
| 2:1:1 | 0.208 | 127.272 | 0.8818 | 0.002 | 150.564 | 0.8989 |
| Feedstock Mix DM/CS/ES | C0 (mg/L) | Adsorbent Dose (g) | Experimental Values | Thomas Model | ||
|---|---|---|---|---|---|---|
| qe (mg/g) | Kth (mL/min mg) | q0 (mg/g) | R2 | |||
| 1:0:1 | 50 | 1.0 | 60.15 ± 1.68 | 0.67 | 60.67 | 0.9962 |
| 25 | 1.0 | 45.21 ± 4.27 | 0.71 | 45.34 | 0.9952 | |
| 50 | 0.5 | 65.97 ± 9.04 | 0.65 | 62.03 | 0.9826 | |
| 25 | 0.5 | 64.30 ± 9.60 | 0.82 | 62.49 | 0.9808 | |
| 2:0:1 | 50 | 1.0 | 26.64 ± 2.63 | 0.97 | 25.41 | 0.9840 |
| 25 | 1.0 | 20.80 ± 0.91 | 0.93 | 21.40 | 0.9806 | |
| 50 | 0.5 | 26.36 ± 5.02 | 1.63 | 29.05 | 0.9980 | |
| 25 | 0.5 | 23.10 ± 1.75 | 2.28 | 21.93 | 0.9985 | |
| 1:1:1 | 50 | 1.0 | 23.31 ± 0.19 | 1.03 | 22.92 | 0.9980 |
| 25 | 1.0 | 19.59 ± 0.65 | 1.13 | 19.04 | 0.9870 | |
| 50 | 0.5 | 38.40 ± 0.98 | 1.26 | 31.92 | 0.9710 | |
| 25 | 0.5 | 24.00 ± 1.64 | 2.03 | 23.50 | 0.9971 | |
| 2:1:1 | 50 | 1.0 | 28.64 ± 2.22 | 0.99 | 28.38 | 0.9966 |
| 25 | 1.0 | 22.93 ± 0.17 | 1.07 | 22.73 | 0.9905 | |
| 50 | 0.5 | 35.01 ± 1.40 | 1.47 | 34.03 | 0.9926 | |
| 25 | 0.5 | 28.90 ± 2.36 | 1.76 | 28.33 | 0.9926 | |
| Effect | Num DF | F Value | p-Value |
|---|---|---|---|
| Feedstock mix | 3 | 45.21 | <0.0001 |
| Initial concentration | 1 | 9.96 | 0.0035 |
| Adsorbent dose | 1 | 6.73 | <0.0142 |
| Feedstock mix × initial concentration | 3 | 0.07 | 0.9734 |
| Feedstock mix × adsorbent dose | 3 | 1.73 | 0.1809 |
| Initial concentration × adsorbent dose | 1 | 0.01 | 0.9046 |
| Feedstock mix × initial conc. × adsorbent dose | 3 | 1.04 | 0.3870 |
| Factors | Levels | P Adsorption (mg/g) |
|---|---|---|
| Adsorbent dose (g) | 0.5 | 37.4 ± 4.1 Aa |
| 1.0 | 30.9 ± 2.9 Bb | |
| Initial concentration (mg/L) | 25 | 30.2 ± 3.5 B |
| 50 | 38.1 ± 3.5 A | |
| Mix ratio (DM/CS/ES) | 1:0:1 | 58.9 ± 4.4 a |
| 2:0:1 | 22.4 ± 2.3 b | |
| 1:1:1 | 26.3 ± 2.2 b | |
| 2:1:1 | 28.9 ± 1.6 b |
Disclaimer/Publisher’s Note: The statements, opinions and data contained in all publications are solely those of the individual author(s) and contributor(s) and not of MDPI and/or the editor(s). MDPI and/or the editor(s) disclaim responsibility for any injury to people or property resulting from any ideas, methods, instructions or products referred to in the content. |
© 2024 by the authors. Licensee MDPI, Basel, Switzerland. This article is an open access article distributed under the terms and conditions of the Creative Commons Attribution (CC BY) license (https://creativecommons.org/licenses/by/4.0/).
Share and Cite
Shrestha, E.; Manandhar, A.; Shah, A. Adsorption of Phosphate from Aqueous Solution Using Hydrochar Produced from Agricultural Wastes. Sustainability 2024, 16, 9259. https://doi.org/10.3390/su16219259
Shrestha E, Manandhar A, Shah A. Adsorption of Phosphate from Aqueous Solution Using Hydrochar Produced from Agricultural Wastes. Sustainability. 2024; 16(21):9259. https://doi.org/10.3390/su16219259
Chicago/Turabian StyleShrestha, Esha, Ashish Manandhar, and Ajay Shah. 2024. "Adsorption of Phosphate from Aqueous Solution Using Hydrochar Produced from Agricultural Wastes" Sustainability 16, no. 21: 9259. https://doi.org/10.3390/su16219259
APA StyleShrestha, E., Manandhar, A., & Shah, A. (2024). Adsorption of Phosphate from Aqueous Solution Using Hydrochar Produced from Agricultural Wastes. Sustainability, 16(21), 9259. https://doi.org/10.3390/su16219259

