Evaluating the Efficacy of Limestone Powder as a Partial Replacement of Ordinary Portland Cement for the Sustainable Stabilization of Sulfate-Bearing Saline Soil
Abstract
1. Introduction
2. Research Scope and Objectives
3. Materials and Methods
3.1. Materials
3.1.1. Soil
3.1.2. Chemical Stabilizers
3.2. Mix Design, Sample Preparation, and Test Methods
3.2.1. Mix Design and Sample Preparation
3.2.2. Determination of Durability Parameters of Stabilized Soil
- (1)
- The cylindrical soil sample (cured for 7 days) was covered with a rubber membrane;
- (2)
- Filter paper and a porous stone were placed at the bottom, and filter paper, a plastic sheet, and porous stones were placed on the top of the sample;
- (3)
- The specimen was then placed in a container filled with deionized water, which allowed the water to soak through the porous stone from the bottom of the sample for a specified period.
3.2.3. Determination of Geochemical and Mineralogical Characteristics of Stabilized Soil
3.2.4. Determination of Mechanical Properties of Stabilized Soil
4. Results and Discussion
4.1. Plasticity
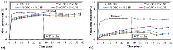
4.2. Swelling Characteristics
4.3. Geochemical Properties
4.4. Mineralogical Compositions
4.5. Mechanical Properties
5. Conclusions
- The stabilization of the sulfate-bearing saline soil with OPC and LSP reduced soil plasticity. The maximum reduction of 91% was achieved with purely 8% OPC treatment, while a 25% OPC replacement with LSP (6% OPC + 2% LSP) resulted in a comparable 86% reduction. However, higher levels of LSP substitution were less effective in reducing plasticity;
- The stabilized soil samples exhibited lower volumetric expansion compared to the untreated soil. The best-performing mix was a combination of 6% OPC and 2% LSP. Wetting–drying cycles demonstrated that the stabilized soil samples maintained their volumetric stability better than the untreated samples, with partial OPC replacement with LSP still proving effective;
- Chemical treatment transformed the initially acidic soil into an alkaline material, promoting pozzolanic reactions. The reduction in the pH over the prolonged exposure to capillary suction and wetting–drying cycles highlighted the importance of selecting an optimal stabilizer dosage. The analysis also showed a significant reduction in the sulfate and chloride concentrations, with LSP contributing to a notable increase in calcite content due to its initial abundance;
- Stabilized mixes demonstrated considerably higher UCS and shear strength compared to untreated soil. The partial substitution of OPC with LSP resulted in decreased UCS, but still provided significant strength improvement. The durability experiments confirmed that the residual strength of the stabilized samples exceeded the recommended thresholds, indicating the designed mixes’ long-term stability, resilience, and durability.
Author Contributions
Funding
Institutional Review Board Statement
Informed Consent Statement
Data Availability Statement
Acknowledgments
Conflicts of Interest
References
- Carteret, R.D.; Buzzi, O.; Fityus, S. A Review of the Effects of Salinity on Road Pavements and Bituminous Surfacings. In Proceedings of the 24th ARRB Conference—Building on 50 Years of Road and Transport Research, Melbourne, Australia, 12–15 October 2010; Available online: https://www.railknowledgebank.com/Presto/content/Detail.aspx?ctID=MjE1ZTI4YzctZjc1YS00MzQ4LTkyY2UtMDJmNTgxYjg2ZDA5&rID=Nzc=&qrs=RmFsc2U=&ph=VHJ1ZQ==&bckToL=VHJ1ZQ==&rrtc=VHJ1ZQ== (accessed on 30 September 2019).
- Horpibulsuk, S.; Phojan, W.; Suddeepong, A.; Chinkulkijniwat, A.; Liu, M.D. Strength development in blended cement admixed saline clay. Appl. Clay Sci. 2012, 55, 44–52. [Google Scholar] [CrossRef]
- Zhao, X.; Shen, A.; Guo, Y.; Li, P.; Lv, Z. Pavement mechanic response of sulfate saline soil subgrade section based on fluid–structure interaction model. Int. J. Pavement Res. Technol. 2017, 10, 497–506. [Google Scholar] [CrossRef]
- Behnood, A. Soil and clay stabilization with calcium- and non-calcium-based additives: A state-of-the-art review of challenges, approaches and techniques. Transp. Geotech. 2018, 17, 14–32. [Google Scholar] [CrossRef]
- Saylak, D.; Mishra, S.K.; Mejeoumov, G.G.; Shon, C.-S. Fly Ash-Calcium Chloride Stabilization in Road Construction. Transp. Res. Rec. 2008, 2053, 23–29. [Google Scholar] [CrossRef]
- Firoozi, A.A.; Guney Olgun, C.; Firoozi, A.A.; Baghini, M.S. Fundamentals of soil stabilization. Int. J. Geo-Eng. 2017, 8, 26. [Google Scholar] [CrossRef]
- Afrin, H. Review on Different Types Soil Stabilization Techniques. Int. J. Transp. Eng. Technol. 2017, 3, 19–24. [Google Scholar] [CrossRef]
- Da Fonseca, A.V.; Cruz, R.C.; Consoli, N.C. Strength Properties of Sandy Soil–Cement Admixtures. Geotech. Geol. Eng. 2009, 27, 681–686. [Google Scholar] [CrossRef]
- Shooshpasha, I.; Shirvani, R.A. Effect of cement stabilization on geotechnical properties of sandy soils. Geomech. Eng. 2015, 8, 17–31. [Google Scholar] [CrossRef]
- Li, X. Shrinkage Cracking of Soils and Cementitiously-Stabilized Soils: Mechanisms and Modeling. Ph.D. Thesis, Washington State University, Pullman, WA, USA, 2014. Available online: https://hdl.handle.net/2376/5088 (accessed on 17 January 2020).
- Cabalar, A.F.; Omar, R.A. Stabilizing a silt using waste limestone powder. Bull. Eng. Geol. Environ. 2023, 82, 300. [Google Scholar] [CrossRef]
- Ibrahim, H.H.; Alshkane, Y.M.; Mawlood, Y.I.; Noori, K.M.G.; Hasan, A.M. Improving the geotechnical properties of high expansive clay using limestone powder. Innov. Infrastruct. Solut. 2020, 5, 112. [Google Scholar] [CrossRef]
- Brooks, R.; Udoeyo, F.F.; Takkalapelli, K.V. Geotechnical Properties of Problem Soils Stabilized with Fly Ash and Limestone Dust in Philadelphia. J. Mater. Civ. Eng. 2011, 23, 711–716. [Google Scholar] [CrossRef]
- Okagbue, C.O.; Yakubu, J.A. Limestone ash waste as a substitute for lime in soil improvement for engineering construction. Bull. Eng. Geol. Environ. 2000, 58, 107–113. [Google Scholar] [CrossRef]
- Pastor, J.L.; Tomás, R.; Cano, M.; Riquelme, A.; Gutiérrez, E. Evaluation of the Improvement Effect of Limestone Powder Waste in the Stabilization of Swelling Clayey Soil. Sustainability 2019, 11, 679. [Google Scholar] [CrossRef]
- Al-Joulani, N.M.A. Effect of stone powder and lime on strength, compaction and CBR properties of fine soils. Jordan J. Civ. Eng. 2012, 6, 1–16. [Google Scholar]
- Shah, S.H.A.; Sajjad, R.U.; Javed, A.; Habib, U.; Ahmad, F.; Mohamed, A. Geotechnical investigation and stabilization of soils through limestone powder at Abbottabad, Khyber-Pakhtunkhwa, Pakistan: A cost effective and sustainable approach. Front. Earth Sci. 2023, 11, 1243975. [Google Scholar] [CrossRef]
- Puppala, A.J.; Congress, S.S.C.; Talluri, N.; Wattanasanthicharoen, E. Sulfate-Heaving Studies on Chemically Treated Sulfate-Rich Geomaterials. J. Mater. Civ. Eng. 2019, 31, 04019076. [Google Scholar] [CrossRef]
- Puppala, A.J.; Talluri, N.; Chittoori, B.C.S. Calcium-based stabiliser treatment of sulfate-bearing soils. Proc. Inst. Civ. Eng.-Ground Improv. 2014, 167, 162–172. [Google Scholar] [CrossRef]
- Shon, C.-S.; Scullion, T.; Blackmon, W.; Zhang, D.; Kim, J.R. Characterization of Mellowing Process to Control Expansion in High-Sulfate-Bearing Soil. Transp. Res. Rec. 2022, 2676, 355–364. [Google Scholar] [CrossRef]
- Harris, J.P.; Sebesta, S.; Scullion, T. Hydrated Lime Stabilization of Sulfate-Bearing Vertisols in Texas. Transp. Res. Rec. 2004. 1868, 31–39. [Google Scholar] [CrossRef]
- Harris, P.; von Holdt, J.; Sebesta, S.; Scullion, T. Recommendations for stabilization of high-sulfate soils in Texas. Transp. Res. Rec. 2006, 1952, 71–79. [Google Scholar] [CrossRef]
- Little, D.N.; Herbert, B.; Kunagalli, S.N. Ettringite Formation in Lime-Treated Soils. Transp. Res. Rec. 2005, 1936, 51–59. [Google Scholar] [CrossRef]
- Ehwailat, K.I.A.; Ismail, M.A.M.; Ezreig, A.M.A. Ettringite Formation and Stabilization Methods of Sulfate-Bearing Soil: A State-of-the-Art Review. Indian Geotech. J. 2022, 52, 927–941. [Google Scholar] [CrossRef]
- McCarthy, M.J.; Csetenyi, L.J.; Sachdeva, A.; Jones, M.R. Role of fly ash in the mitigation of swelling in lime stabilised sulfate-bearing soils. In Proceedings of the 2009 World of Coal Ash (WOCA) Conference, Lexington, KY, USA, 4–7 May 2009; pp. 1–18. Available online: https://uknowledge.uky.edu/cgi/viewcontent.cgi?article=2148&context=woca (accessed on 15 September 2020).
- McCarthy, M.J.; Csetenyi, L.J.; Sachdeva, A.; Dhir, R.K. Engineering and durability properties of fly ash treated lime-stabilised sulphate-bearing soils. Eng. Geol. 2014, 174, 139–148. [Google Scholar] [CrossRef]
- Mahedi, M.; Cetin, B.; White, D.J. Cement, Lime, and Fly Ashes in Stabilizing Expansive Soils: Performance Evaluation and Comparison. J. Mater. Civ. Eng. 2020, 32, 04020177. [Google Scholar] [CrossRef]
- ASTM D6276; Standard Test Method for Using pH to Estimate the Soil-Lime Proportion Requirement for Soil Stabilization. ASTM International: West Conshohocken, PA, USA, 2019.
- Almajed, A.; Dafalla, M.; Shaker, A.A. The Combined Effect of Calcium Chloride and Cement on Expansive Soil Materials. Appl. Sci. 2023, 13, 4811. [Google Scholar] [CrossRef]
- Anburuvel, A. The Engineering Behind Soil Stabilization with Additives: A State-of-the-Art Review. Geotech. Geol. Eng. 2024, 42, 1–42. [Google Scholar] [CrossRef]
- Thirumalai, R.; Suresh Babu, S.; Naveennayak, V.; Nirmal, R.; Lokesh, G. A Review on Stabilization of Expansive Soil Using Industrial Solid Wastes. Engineering 2017, 9, 1008–1017. [Google Scholar] [CrossRef]
- Su, Y.; Luo, B.; Luo, Z.; Xu, F.; Huang, H.; Long, Z.; Shen, C. Mechanical Characteristics and Solidification Mechanism of Slag/Fly Ash-Based Geopolymer and Cement Solidified Organic Clay: A Comparative Study. J. Build. Eng. 2023, 71, 106459. [Google Scholar] [CrossRef]
- Akula, P.; Little, D.N. Coupled Thermodynamic and Experimental Approach to Evaluate Ettringite Formation in A Soil Stabilized with Fluidized Bed Ash By-Product: A Case Study. Transp. Geotech. 2020, 23, 100352. [Google Scholar] [CrossRef]
- Wang, Z.; Sigdel, P.; Hu, L. Chemo-Mechanical Interactions in the Ettringite Induced Expansion of Sulfate-Bearing Soils. Geosciences 2019, 9, 375. [Google Scholar] [CrossRef]
- Ehwailat, K.I.A.; Ismail, M.A.M.; Ezreig, A.M.A. Novel Approach for Suppression of Ettringite Formation in Sulfate-Bearing Soil Using Blends of Nano-Magnesium Oxide, Ground Granulated Blast-Furnace Slag and Rice Husk Ash. Appl. Sci. 2021, 11, 6618. [Google Scholar] [CrossRef]
- Wild, S.; Kinuthia, J.M.; Robinson, R.B.; Humphreys, I. Effects of Ground Granulated Blast Furnace Slag (GGBS) on the Strength and Swelling Properties of Lime-Stabilized Kaolinite in the Presence of Sulphates. Clay Miner. 1996, 31, 423–433. [Google Scholar] [CrossRef]
- Pastor, J.L.; Chai, J.; Sánchez, I. Strength and Microstructure of a Clayey Soil Stabilized with Natural Stone Industry Waste and Lime or Cement. Appl. Sci. 2023, 13, 2583. [Google Scholar] [CrossRef]
- Caselles, L.D.; Hot, J.; Roosz, C.; Cyr, M. Stabilization of Soils Containing Sulfates by Using Alternative Hydraulic Binders. Appl. Geochem. 2020, 113, 104494. [Google Scholar] [CrossRef]
- Luo, Y.; Zhou, P.; Ni, P.; Peng, X.; Ye, J. Degradation of Rammed Earth under Soluble Salts Attack and Drying-Wetting Cycles: The Case of Fujian Tulou, China. Appl. Clay Sci. 2021, 212, 106202. [Google Scholar] [CrossRef]
- Shahidzadeh-Bonn, N.; Desarnaud, J.; Bertrand, F.; Chateau, X.; Bonn, D. Damage in Porous Media Due to Salt Crystallization. Phys. Rev. E 2010, 81, 066110. [Google Scholar] [CrossRef]
- Sabat, A.K.; Muni, P.K. Effects of limestone dust on geotechnical properties of an expansive soil. Int. J. Appl. Eng. Res. 2015, 10, 37724–37730. [Google Scholar]
- Hina, A.; Nancollas, G.H. Precipitation and Dissolution of Alkaline Earth Sulfates: Kinetics and Surface Energy. Rev. Mineral. Geochem. 2000, 40, 277–301. [Google Scholar] [CrossRef]
- Guo, Y.; Becker-Fazekas, S.; Mühling, K.H. Impact of Different Chloride Salts and Their Concentrations on Nitrification and Trace Gas Emissions from A Sandy Soil Under A Controlled Environment. Soil Use Manag. 2022, 38, 861–872. [Google Scholar] [CrossRef]
- Little, D.N.; Scullion, T.; Kota, P.B.V.S.; Bhuiyan, J. Guidelines for Mixture Design and Thickness Design for Stabiliized Bases and Subgrades. Research Report FHWA/TX-95/1287-3F. 1995. Available online: http://tti.tamu.edu/documents/1287-3F.pdf (accessed on 1 August 2020).
















| Geotechnical Properties | |||||||||||
|---|---|---|---|---|---|---|---|---|---|---|---|
| USCS and AASHTO Classification | Atterberg Limits (%) | Compaction Data | |||||||||
| LL | PL | PI | OMC (%) | MDD (kg/m3) | |||||||
| SP-SM, A-2-4 | 19.16 | 16.67 | 2.49 | 10.80 | 1941.00 | ||||||
| Chemical concentration | |||||||||||
| Concentration (ppm) | pH | ||||||||||
| Sulfate | Chloride | ||||||||||
| 16,931.00 | 10,681.98 | 6.32 | |||||||||
| Chemical compositions | |||||||||||
| Oxide (wt.%) | CaO | SiO2 | Al2O3 | Fe2O3 | SO3 | MgO | Na2O | K2O | TiO2 | Other | LOI |
| 39.78 | 20.22 | 4.55 | 11.68 | 10.6 | 1.66 | 0.84 | 4.16 | 1.61 | 4.36 | 0.54 | |
| Oxide | OPC (wt.%) | LSP (wt.%) |
|---|---|---|
| CaO | 64.48 | 68.05 |
| SiO2 | 21.05 | 11.16 |
| Al2O3 | 3.79 | 3.62 |
| Fe2O3 | 4.47 | 9.44 |
| SO3 | 2.88 | 0.7 |
| MgO | 1.77 | 1 |
| Na2O | 0.11 | 0.6 |
| K2O | 0.32 | 2.58 |
| TiO2 | NA | 1.23 |
| Other | 0.58 | 1.21 |
| LOI | 0.55 | 0.41 |
| Mix No. | Dosage (%) | Compaction Data | Curing Period (Days) | |||
|---|---|---|---|---|---|---|
| OPC | LSP | Total | OMC (%) | MDD (kg/m3) | ||
| 1 | 0 | 0 | 0 | 10.78 | 1941.00 | 7 and 28 days |
| 2 | 8 | - | 8 | 12.78 | 1916.37 | |
| 3 | 6 | 2 | 12.78 | 1925.65 | ||
| 4 | 4 | 4 | 12.78 | 1936.80 | ||
| 5 | 2 | 6 | 12.78 | 1935.56 | ||
Disclaimer/Publisher’s Note: The statements, opinions and data contained in all publications are solely those of the individual author(s) and contributor(s) and not of MDPI and/or the editor(s). MDPI and/or the editor(s) disclaim responsibility for any injury to people or property resulting from any ideas, methods, instructions or products referred to in the content. |
© 2024 by the authors. Licensee MDPI, Basel, Switzerland. This article is an open access article distributed under the terms and conditions of the Creative Commons Attribution (CC BY) license (https://creativecommons.org/licenses/by/4.0/).
Share and Cite
Bazarbekova, A.; Shon, C.-S.; Kissambinova, A.; Zhang, D.; Kim, J. Evaluating the Efficacy of Limestone Powder as a Partial Replacement of Ordinary Portland Cement for the Sustainable Stabilization of Sulfate-Bearing Saline Soil. Sustainability 2024, 16, 9224. https://doi.org/10.3390/su16219224
Bazarbekova A, Shon C-S, Kissambinova A, Zhang D, Kim J. Evaluating the Efficacy of Limestone Powder as a Partial Replacement of Ordinary Portland Cement for the Sustainable Stabilization of Sulfate-Bearing Saline Soil. Sustainability. 2024; 16(21):9224. https://doi.org/10.3390/su16219224
Chicago/Turabian StyleBazarbekova, Ayazhan, Chang-Seon Shon, Aizhan Kissambinova, Dichuan Zhang, and Jong Kim. 2024. "Evaluating the Efficacy of Limestone Powder as a Partial Replacement of Ordinary Portland Cement for the Sustainable Stabilization of Sulfate-Bearing Saline Soil" Sustainability 16, no. 21: 9224. https://doi.org/10.3390/su16219224
APA StyleBazarbekova, A., Shon, C.-S., Kissambinova, A., Zhang, D., & Kim, J. (2024). Evaluating the Efficacy of Limestone Powder as a Partial Replacement of Ordinary Portland Cement for the Sustainable Stabilization of Sulfate-Bearing Saline Soil. Sustainability, 16(21), 9224. https://doi.org/10.3390/su16219224

