Abstract
This review examines the impact of recycled aggregates (RAs) on the fresh and mechanical properties of high-strength concrete (HSC). The results revealed that incorporating RAs can reduce the compressive strength of HSC by up to 25%, with strength values ranging from 40 to 70 MPa depending on the RA content. The addition of supplementary materials like silica fume, fly ash, and polycarboxylate ether significantly mitigated these negative effects, enhancing the compressive strength by approximately 15–20% compared with the control mixes without additives. Furthermore, the tensile strength was observed to decrease by up to 18% with increasing RA content, but fiber reinforcement improved this by 10%, demonstrating the potential of additives to offset mechanical weaknesses. The modulus of elasticity also declined by up to 30% with higher RA dosages, highlighting the critical impact of the adhered mortar quality on the overall stiffness of the concrete. According to the literature, it was noticed that, when the dosage of RCAs is increased, there is a drop in the strength activity index (SAI). When the substitute dosage exceeded 50%, the SAI decreased. These findings underscore the importance of using optimized additive combinations to improve the mechanical performance of RA concrete, making it a viable option for sustainable construction. Overall, the findings suggest that, although RAs may negatively affect certain physical traits of HSC, the use of appropriate additives can optimize its performance, making it a viable option for sustainable construction practices.
1. Introduction
One of the most widely used materials in this field is concrete, second to water. According to available statistics, the consumption rate of concrete by every person on Earth is 8.25 kg/day []. However, the production of concrete has a significant environmental impact because it requires large amounts of natural resources such as sand, gravel, and cement, and generates substantial amounts of carbon dioxide emissions during the production process []. Several researchers have recommended using agricultural and industrial waste as additives or substitutes for ingredients to provide socioeconomic and environmental benefits [,,]. One of the major components in concrete is aggregates, which provide dimensional stability and occupy 70% to 85% of the total volume and almost 90% of the concrete weight [,]. de Bortoli, 2023 [] reported that 34 billion metric tons of natural aggregates (NAs) [natural fine aggregate and natural coarse aggregate] are extracted in 2016, which is enhanced to 62.9 billion metric tons by the end of 2024 []. Negative impacts associated with NA extraction include erosion of ecosystems, loss of habitats, release of greenhouse gases, consumption of energy, reduction in air quality, etc. Various stages of the production of aggregates, including extraction, transportation, crushing, and sieving, lead to increased costs of construction materials (de Bortoli, 2023) [].
The shape, size, surface, and type of NAs influence the properties of fresh concrete. The interaction between the binder paste and aggregate defines the physical traits []. Waste that is generated as a result of renovation work, new construction activities, and the demolition of current construction is called construction and demolition waste (CDW). CDW consists of a lot of materials like concrete, bricks, tiles, glass, plastics, rocks, and soil. On a global scale, the largest production of CDW was produced by China at approximately 2360 million tons and the second largest production of CDW was by the United States at approximately 600 million tons, followed by India with the third largest production at approximately 530 million tons. In the European Union, most of the CDW is produced by France and Germany at approximately 240 and 225 million tons [].
There is an enhancement in the growth rate of NAs in the global market of approximately 4%, which pushes researchers to find alternatives for NAs []; the consumption rate is exactly 48.3 billion tons []. One such substitution material reported by most researchers is recycled materials from construction industries. At present, the use of recycled concrete aggregate compared to other recycled materials is widely implemented for recycled aggregates (RAs) in construction, and many countries have even started developing specifications []. The recycling of CDW has become a prominent issue and the main objective of waste management policies. This has led to a greater emphasis on reusing, minimizing, and recycling CDW trash rather than disposing of it in landfills []. Recently, there has been an increasing focus on using RAs as environmentally friendly alternatives to NAs in concrete manufacturing. This is due to the construction industry’s significant impact, accounting for 50% of natural resource consumption, generating 50% of all waste, and consuming 40% of all energy [].
The use of recycled aggregates in high-strength concrete (HSC) has gained significant attention in recent years due to its potential to reduce environmental impacts and conserve natural resources. The research background and significance of using RAs in HSC can be attributed to the increasing waste generation and the construction industry’s need to develop sustainable materials. RAs, which are typically derived from CDW, can replace NAs in HSC production, thereby reducing the number of virgin materials used. Subsequent studies have investigated the mechanical properties, durability, and environmental benefits of RA-based HSC, and the results have been promising.
RAs are materials obtained from the demolition and processing of concrete structures and can be used as a sustainable source of materials to help reduce the environmental impact of concrete production. The production of high-performance concrete (HPC) and HSC with the help of RAs leads to environmentally friendly solutions []. The production of HSC with 25% RAs leads to better physical traits as reported by Etxeberria et al., 2007 []. The range of compressive strength (CS) obtained in their study was concluded to be 40–70 MPa. Based on HSC applications in high-rise buildings, bridges, offshore structures, etc., in various locations around the world, the minimum grade of concrete designed is 40 MPa []. From these results, it can be concluded that HSC is a type of concrete characterized by a high CS, typically exceeding 40 MPa. Most studies suggested using mineral admixtures like lime powder, ground granular blast furnace slag, fly ash, etc., to achieve the required properties.
To attain sustainability in HSC production, apart from the addition of mineral admixtures, the main ingredients like NAs are replaced by RAs without compromising the fresh and hardening properties of HSC. RAs extracted from different types and the exposure conditions of buildings and structures result in a huge variation in their properties due to diverse sources. Figure 1 shows schematic diagrams showing the basic matrix difference between two concretes with NAs and RAs, respectively []. Several methods to enhance the surface properties of recycled concrete aggregates (RCAs) have been reported, with the effect of the enhanced RCAs on the development of strength and durability properties being a CS of 50 MPa []. The properties of RCAs are contingent on the quality and quantity of the adhered mortar. Mortar in RCAs is a porous material; the porosity is contingent on the water-to-binder ratio of recycled concrete aggregates []. From the literature, several methods are recommended to reduce the quantity of mortar in the RCAs by several methods, like the polymer treatment process, mechanical grinding process, thermal process, and chemical process, so that the properties of the RCAs were improved []. The fresh and hardened properties of RA concrete were affected by the porous nature of RCAs, and this property can be differentiated from NCAs.

Figure 1.
Difference among matrixes of (a) NA and (b) RA concrete [].
The most widely used method for the prediction of concrete properties and the one recommended by many researchers is the regression method. Regression is typically appropriate for independent variables that exhibit linear connections. Cabral et al., 2010 [] suggested that the model considered different RA materials for both fine and coarse aggregates and combined the effects of both aggregates. Lovato et al., 2012 [] presented a method to establish the correlation among the CS and modulus of elasticity of RA concrete. The study is further extended to the correlation between the CS and water absorption and between the CS and carbonation of RA concrete. The development of a multi-linear regression analysis of the mechanical and durability properties of RAs was proposed by Younis and Pilakoutas, 2013 [] based on experimental results.
1.1. Application Areas of the Studies
The utilization of RAs in HSC has undergone thorough examination in recent years due to their capacity to diminish the ecological footprint of concrete manufacturing while simultaneously enhancing its structural characteristics. Here are some applications of RAs in HSC and their corresponding studies:
- Bridges: Many bridges constructed are exposed to severe environmental conditions; thus, the concrete used should possess high strength and long-term performance. From 1967 to 1990, HSC was used in bridges mostly in France, Japan, Norway, and the USA, with maximum spans varying from 24 m to 425 m. The CS range of concrete in this bridge construction ranges from 30 MPa to 79 MPa [].
- High-rise buildings: From 1965 onwards, HSC buildings were constructed mostly in Chicago, New York, and Seattle, with the number of stories varying from 15 to 79. The CS range of concrete in these buildings ranges from 45 MPa to 115 MPa [].
- Offshore constructions: Comprehensive investigations on offshore structures demonstrate that these structures are quite good, even after service periods of up to 60 years. From 1973 to 1999, the usage of HSC in offshore concrete structures in different countries varied from 16 m to 350 m with the concrete strength varying from 40 to 80 MPa []. These structures are subjected to very severe exposure environmental conditions, and the concrete requires long-term performance and strength.
- Cold-area constructions: High-strength RA concrete is suitable for cold-area constructions, as recommended by Haitao and Shizhu, 2015 [].
- The use of RAs in HSC has the potential to reduce the environmental impact of concrete production while improving its mechanical properties. However, the use of RAs can have an impact on the fresh and physical traits of concrete, and the use of a mineral admixture can help mitigate any negative effects. Overall, the use of RAs in HSC is a promising approach toward sustainable construction practices.
1.2. Importance of the Research
The use of RAs in HSC has been a research topic for several years. However, there are several aspects of this research that make it unique. To date, several review papers on RA concrete are available, for both conventional and other types of concrete. The main focus is on recent reviews on the characteristics of RAs and fresh and hardened concrete properties of RA concrete; the review is even extended to the quality of the improvement of the properties of Ras, as summarized by Wang et al., 2021 [], in addition to the state-of-the-art application of RAs on physical traits and the development of models associated with among them. The study also extended to the relationship between dosage of RAs and mechanical properties. Moreover, this study specifically examined the impact of the RA ratio on the physical characteristics, such as compressive and flexural strength. The models developed for the RA concrete are summarized in this study. This review emphasizes the significance of thoroughly evaluating the utilization of RAs in HSC and the possibility of incorporating additional materials to enhance the performance of concrete.
1.3. Research Objectives
The research objectives for examining the impact of RAs on the mechanical characteristics and freshness of HSC are as follows:
- To examine the effect of the proportion of RAs on the fresh possessions of HSC, including workability and setting time;
- To study the effect of the proportion of RAs on the physical traits of HSC, including compressive and flexural strength;
- To develop a relationship among the physical traits of RA concrete, the dosage of RAs, and the mechanical properties.
2. Material Characterization
2.1. Recycled Coarse Aggregates
Different physical behaviors of RCAs need to be investigated before they can be used again in concrete production. The density, quality of mortar, water absorption, grading of RCAs, particle size, specific gravity, abrasion, and crushing value of RCAs are considered the physical behaviors to be summarized. The summarized results will provide overview information about the RCAs. Compared to natural coarse aggregates, there is a reduction in the properties of RFAs, such as higher water absorption, Los Angeles abrasion, and lower specific gravity, as described by Zega et al., 2010 []. The impact of the crushed process on the quality of RCAs was confirmed by Hansen, 1986 []. The particle size of the distribution of RCAs is independent of the water-to-binder proportion of the RCA-blended concrete, as reported by Hansen, 1986 []. A decrease in the hardened concrete properties of the concrete with RCAs is due to the poor link between RCAs and the cement matrix interfacial transition zone (ITZ). The improved ITZ was achieved by improving the surface and shape of the coarse aggregate [].
Microcracks in the RCAs are generated during recycling, which results in water accessing the pores. The RCA porosity is calculated by estimating the total quantity of void space reachable from the RCA surface. There is an indirect relationship between the void proportion and the packing density of RCAs, as reported by Salgado and Silva, 2021 []. The water absorption of RCAs is more than three times that of NCAs, as reported by Zega et al., 2010 []. The relationship between porosity and specific gravity, porosity, and absorbing water was noted by Hansen in 1986 []. Most reviewers state that the quality of the adhered mortar influences the properties of RCAs, based on the crusher and method of RCA production, and the shape, size, and texture of RCAs. The properties of RCAs depend on the parent concrete, as reported in most studies. The physical properties of RCAs are summarized in Table 1, and some of the physical properties of NCAs are summarized in Table 2. The collected data on RAs strengthen the analysis by visually representing the differences and allow for a direct comparative analysis of the physical properties of recycled aggregates versus natural aggregates, as shown in Figure 2.

Table 1.
Characteristics of RCAs.
Table 1.
Characteristics of RCAs.
References | Specific Gravity | Water Absorption (%) | Density (g/cm3) | Crushing Value (%) | Abrasion Value (%) |
---|---|---|---|---|---|
Puthussery et al., 2017 [] | 2.58 | 5 | - | 27.3 | 23.8 |
Mukharjee et al., 2015 [] | 2.46 | 6 | 14.18 | 31.52 | 36.56 |
Wang et al., 2019 [] | - | 9.15 | 13.05 | 14.9 | - |
Rakshhvir et al., 2006 [] | 2.65 | 1.65 | - | 27.3 | - |
Zhou and Chen., 2017 [] | 2.65 | 3.16 | 12.7 | - | - |
Junaka and Sicakova, 2017 [] | 2.26 | 5.6 | - | 21 | 32 |
Maruthupandian et al., 2013 [] | 2.5 | 2.76 | 13.4 | 28.87 | 29.24 |
Abdulla., 2014 [] | 2.41 | 6.2 | 12.41 | 27.7 | 30 |
Geng et al., 2015 [] | 2.81 | 7.16 | - | 8.8 | - |
Gomes et al., 2014 [] | 2.53 | 8.49 | 13 | - | 37.96 |
Kothari et al., 2016 [] | 2.38 | 1.57 | 12.39 | 36 | 45 |
Kukadia et al., 2017 [] | 2.41 | 9.7 | - | 32.95 | 24.92 |
Revathi et al., 2015 [] | 2.38 | 1.56 | 12.39 | 36 | 45 |
Shrinath et al., 2016 [] | 2.15 | 4.5 | - | 16.5 | 17 |
Sahoo et al., 2016 [] | 2.48 | 4.469 | 14.09 | 26.51 | - |
Wang et al., 2024 [] | - | 5.2 | - | 14.2 | - |
Wang et al., 2024 [] | - | 5.1 | - | 14.1 | - |
Liu et al., 2023 [] | - | 6.8 | 2.59 | 11.4 | - |
Fang et al., 2023 [] | 2.62 | - | - | - | - |
Vijayan et al., 2024 [] | 2.62 | 2.86 | 13.86 | 22.64 | 27.13 |
Vijayan et al., 2024 [] | 2.48 | 2.86 | 13.84 | 30.13 | 37.12 |
Stephen et al., 2019 [] | 2.14 | 5.32 | 12.34 | - | - |
Araf et al., 2018 [] | 2.36 | 4.10 | 13.96 | - | - |

Table 2.
Characteristics of NCAs.
Table 2.
Characteristics of NCAs.
References | Specific Gravity | Water Absorption (%) | Density (g/cm3) | Crushing Value (%) | Abrasion Value (%) |
---|---|---|---|---|---|
Vijayan et al., 2024 [] | 2.72 | 0.73 | 17.5 | 13.63 | 17.88 |
Stephen et al., 2019 [] | 2.68 | 1.25 | 16.32 | - | - |
Araf et al., 2018 [] | 2.86 | 0.90 | 15.04 | - | - |

Figure 2.
Physical characteristics of NCAs and RCAs [,,].
2.2. Recycled Fine Aggregates
There was no significant influence of different jaw apertures on the fineness modulus of RFAs, as reported by Evangelista et al., 2015 []. The effects of different investigations on the fresh and hardened properties of RAs have been reported in the literature [,]. For the sieve sizes used in RFAs, 50% of the particle size diameter was less than the sieve size used. The effect of partially hydrated cement particles in the RFAs on the density and absorbing water characteristics can be seen, and particles with a size of less than 63 µm are predominantly used as filler material in the concrete matrix. The introduction of a sodium hexametaphosphate solution decreases the formation of RFA agglomeration, as reported by Rodrigues et al., 2013 []. Reduced density and enhanced water absorption are the outcomes of the adhering mortar in RFAs. The range of water absorption varies from 4.3% to 13.1%, whereas the density varies from 1.91 to 2.56 g/cm3 [,,]. From the literature, it is noted that RFA particles are angular in shape, irregular in size, and porous in their surface compared to NFAs. The porosity in the surface of RFAs enhances their surface area; for example, as reported by Fumoto and Yamada, 2002 [], the surface area of RFAs is 400% higher than that of NFAs.
The major components required for binding components are silicon dioxide in the range of 60.1% to 81.1% and CaO content in the range of 4.3% to 12.4% [,]. There is a linear relationship exiting among the absorbing water and dry particle density that was proposed []. Bonding between RFAs and binder content results in a weak ITZ []. Calcium carbonate in RFAs is high, in the range of 39%–58% in the overall weight proportion with respect to hydrated concrete compounds, whereas the presence of calcium hydroxide is in a low volume proportion []. The use of RFAs had a negative effect on the workability and physical traits of ultra-HSC []. However, this will be overcome by the usage of high-range water-reducing admixtures and silica fumes, which improve the workability and mechanical properties.
3. Fresh Concrete Properties
There are no empirical experiments that can deliver complete information on the rheological properties of SCC, and it is indispensable to use different parameters to characterize the properties of fresh concrete. As reported by Tang et al., 2023 [], none of the experiments alone can fully explain the qualities of fresh concrete. The substitution of NCAs by RCAs had no negative influence on the consistency of the mix, as reported by Hamad and Dawi, 2017 []. An increase in the proportion of RFAs and RCAs in the concrete results in a decrease in the slump, as reported by Hassan, 2018 []. However, the rate of decrease in RCAs was greater than that in RFAs, which is due to the water-absorbing nature of RAs. Younis and Pilakoutas, 2013 [] reported that the effect of RCAs on the slump value is not significant. An improvement in workability is achieved by the addition of superplasticizers. On comparing the slump flow of the control SCC mix with that of the 20% RCA-blended SCC, a reduction in slump flow of about 6% to 8% was noted. The flow reduction is due to a decrease in homogeneity and poor cohesion in the mixtures []. SCC mixes with coarse RCAs and rubble powder as the mineral admixture showed higher fresh concrete properties than control mixes, as reported by Corinaldsesi and Moriconi, 2011 []. This is due to the resistance to segregation, which contributes to the flowability of fine RCAs and rubble powder. If the coarse RCA content in SCC is enhanced, there is a decrease in the properties of fresh concrete, and this is overcome by enhancing the dosage of the superplasticizer. These findings will be confirmed by other researchers [,].
Increasing the proportion of fine RCAs in the SCC decreased the flowability and passing ability. In addition, there is a significant effect of the fine RCAs on the J-ring experiment compared to the slump flow experiment. However, this slump value satisfies the EFNARC standard []. Enhancing the substitution of NCAs from 20% to 60% by RCAs results in a significant increase in the viscosity of the SCC []. The V-funnel and L box blocking proportions of SCC, with a high dosage of RCAs above 50%, resulted in classes VF1 and PA2, as per EFNARC standards [,]. On further investigation by Singh and Singh, 2018 [], the deformability of the SCC was measured by a U box experiment and was within the satisfactory range of 0–30 mm. From Figure 3, it is noted that the effect of RCAs on the slump flow with and without a J ring. An observed correlation exists between an increase in RCA dosage and an increase in slump flow [].

Figure 3.
Effect of RCA proportion on slump flow SRC [].
According to many studies [,], the utilization of RCAs under saturated surface dry conditions has been recommended in the literature to enhance the workability of SCC. Satisfactory results were obtained for the workability of SCC when the RCAs were pre-saturated, which resulted in good rheological behavior []. Modani and Mohitkar, 2014 [] reported that coarse RCAs immersed in water for 24 h before usage in an SCC mix result in a satisfactory level of fluidity in terms of flow ability. This pre-saturation of RCAs counteracts the negative effects caused by the high water-absorbing properties of RCAs. Another investigation by Kou and Poon, 2009 [] reported that the use of fine RCAs compared to coarse RCAs results in a satisfactory level of the slump flow diameter and segregation proportion. Comparing 50% RCA with 100% RCA in the SCC, satisfactory results for the passing and filling ability were reported by Carro-Lopez et al., 2015 []. These satisfactory results are due to the use of fine RCAs with an appropriate particle size distribution and with a lower mortar adhesion to it. Fine RCAs have fewer porous surfaces, resulting in lower water absorption.
4. Mechanical Properties
In this part of the study, the physical traits of such concretes are examined in detail in light of the results of previous studies.
4.1. Compressive Strength
In the literature, a series of concrete combinations have been performed to measure the influence of concrete RCAs on ceiling strength. The normalized cube CS effect on RCA dosage was reported by Younis and Pilakoutas, 2013 []. A decrease in the cube CS is due to the lower resistance strength produced by poor and low density (loose, weak layers of mortars, and which are porous in their surface). There was a linear relationship exhibited among the normalized cube concrete strength and normalized particle density, which was noted with a coefficient of determination (R2) of 0.94. With the help of several experimental results from the literature, Xiao et al., 2006 [] confirmed a similar relationship. The influence of the Los Angeles strength of RCAs and NCAs on the cube CS for high-strength RCA-blended concrete was also confirmed. SCC with fine RCAs act as a filler, and, also, to enhance the fresh and hardened properties, a superplasticizer was introduced []. The higher surface areas of quartz filler materials result in enhanced density, which contributes to enhanced mechanical properties. The normalized CS was obtained by the proportion of the different CS dosages in the reference CS of SCC. The normalized cube CS of SCC blended with different dosages of RCAs on behalf of NCAs is shown in Figure 4a,b.
The inverse relationship between the CS and RCA dosage was reported by Khodair and Luqman, 2017 []. A similar relationship between the CS and dosage of RCAs for 28 days was noted by Babu et al., 2014 [,], Kou et al., 2011 [], and Younis and Pilakoutas, 2013 [], as shown in Figure 4b. The decrease in CS was due to weak bonds between the RAC and binder and also to the high water-absorbing characteristics of the RAC. An enhancement in the absorption of water results in a decrease in CS []. For longer curing periods, there is an enhancement in the CS when RAC is used with natural pozzolan, as reported by Omrane et al., 2017 []. There is no significant reduction in the CS with an increase in the dosage of RCAs, which is compromised by the use of a ternary mixture of supplementary cementitious materials []. Kurda et al., 2020 [] observed that the normalized cube CS of SCC blended with RFAs decreased as the dosage of RFAs increased. Figure 5 shows that, as the cure period increased, the normalized cube CS also increased. The decrease in cube CS was due to the poor RFA characteristics.

Figure 5.
Effect of RFA proportion on normalized cube CS of SRC [] at 28 days.

Figure 4.
(a) Effect of RCA proportion on normalized cylinder CS of SRCAs at 28 days. (b) Effect of RCA proportion on normalized cylinder CS of SRCAs at 28 days [,,,,,,,,,,,].
4.2. Split Tensile Strength
Weak bonding between the RAC and binder is due to the adhered mortar in the RAC resulting in a decrease in STS []. The enhancement in the substitution of NCA by RCA content decreases with spilt tensile strength. The reduction in STS is due to weak bonds between the binder content and RCAs, which is due to the poor microstructure of the ternary mixture of the SCM and binder []. This reduction in STS is enhanced by the addition of fibers, which results in the enhancement of microcracks, which was also confirmed by Ahmed et al., 2023 []. The effect of RCAs on the normalized STS based on literature for 7 and 28 days is depicted in Figure 6. An enhancement in the normalized STS with an enhancement in the curing period (7 and 28 days) is noted.
The addition of sisal fiber to the SRC with metakolin results in an enhancement in STS of approximately 8% [,,,]. The STS enhancement is due to the bridging mechanism of fiber in the cementitious system having SCC mixed with RCAs. With an increase in the RCA dosage, there is a decrease in the proportion of STS to cylinder CS, and a similar trend was noted by Akinpelu et al., 2019 []. An increase in the curing period results in an increase in the proportion of split tensile strength to cylinder CS, which is noted in Figure 7. Failure of the SCC starts at the weakest points of the cement paste among the RCAs and binder. The weakest point in the cement matrix system of SRC are old mortar adhering to the RCAs, and the RCAs themselves, as reported by Gesoglu et al., 2015 []. The effect of the water–cement content on the CS was reported by Fiol et al., 2018 [], whereas there was no effect of the water–cement content on the STS [,,].

Figure 6.
(a) Effect of RCA proportion on the normalized STS of SRC at 7 days. (b) Effect of RCA proportion on normalized STS at 28 days [,,,,,,,,,,,].

Figure 7.
(a) Effect of RCA proportion on STS/Cylinder CS of SRC at 7 days. (b) Effect of RCA proportion on STS/cylinder CS of SRC at 28 days [,,,,,,,,,,,].
4.3. Flexural Strength
An increase in the dosage of RCAs results in a decrease in flexural strength, which is compensated by the use of a ternary mixture of SCM along with fibers, as reported by Ahmed et al., 2023 []. A decrease in FS with an increase in RCA content was reported by Mohammed and Najim, 2020 []. This is due to the weaker RCA strength compared with NCAs, in the addition to the bonding between the surface of RCAs and the new mortar. This leads to the initiation of microcracks at points that accelerate the distribution of microcracks to cracks within the ITZ. The STS and FS of SRC are enhanced when RAC arrives from the higher CS of SCC []. The behavior of STS and FS was reported by Fiol et al., 2018 []. Figure 8 indicates that an increase in the dosage of RCAs results in a decrease in the normalized FS as reported by Mesgari et al., 2020 [], Marie and Quiasrawi, 2012 [], and Tijani et al., 2015 [], whereas the researchers like Andreu and Miren, 2014 [], Ali et al., 2020 [], and Zareei et al., 2019 [] reported that an increase in the dosage of RCAs results in an increase in the normalized flexural strength.

Figure 8.
Effect of RCA proportion on FS SRC at 28 days [,,,,,].
4.4. The Modulus of Elasticity
An enhancement in the MOE with an enhancement in the RCAs in SCC is achieved by the addition of fibers, as reported by Kavitha et al., 2020 []. The effect of RCAs on SRC results in a decrease in MOE due to the porous nature of the adhered mortar attached to RCAs and also the strength of RCAs []. From Figure 9, it is noted that, with an increase in the dosage of RCAs, there is a decrease in the normalized modulus of elasticity reported by Ali et al., 2020 [], Pedro et al., 2018 [], Andreu and Miren, 2014 [], Tijani et al., 2015 [], Fonseca et al., 2011 [], and Hamad and Dawi, 2017 [], where an increase in the normalized modulus of elasticity was reported by Etxeberria et al., 2007 [], Mesgari et al., 2020 [], and Zareei et al., 2019 []. These comparative insights confirm that the primary mechanical mechanism influencing the performance of recycled aggregate concrete is the compromised interfacial transition zone (ITZ) between the recycled aggregates and cement paste, which leads to reduced overall mechanical properties.

Figure 9.
Effect of RCA proportion on the modulus of elasticity SRC at 28 days [,,,,,,,,,,].
5. Influence of RAs on the Relationship Properties
5.1. Cylinder Compressive Strength
It is necessary to identify the relationship among the CS on days 28 and other curing period days. This may lead to many advantages for engineers and academicians like time savings, materials saving, and cost reduction. From Figure 10a, it is noted that the relationship among the cylinder CSs at 28 and 90 days is depicted in Equation (1) with the help of several studies ([,,,,,,]), which is noted as R2 as 0.96, whereas, from Figure 10b, the relationship among the cylinder CS at 28 and 56 days is depicted in Equation (2) with the help of several studies ([,,,]), which is noted as R2 = 0.99. The relationship among the cylinder CS at 28 and 14 days is depicted in Equation (3) with the help of several studies ([,]) which is noted as R2 = 0.99 in Figure 10c. The relationship among the cylinder CS at 28 and 7 days is depicted in Equation (4) with the help of several studies ([,,,,,,,,,,,,]), which is noted as R2 = 0.99 in Figure 10d. The relationship among the cylinder CS at 28 and 3 days is shown in Equation (5) with the help of several studies ([,,,]), which is noted as R2 = 0.92 in Figure 10e. From Figure 10f, it is noted that the relationship between the cylinder CS at 28 days and 1 day is depicted in Equation (6) with the help of several examples from literature [,,,]), which is noted as R2 as 0.96.




Figure 10.
(a) Relationship between the cylinder CS at 90 and 28 days. (b) Relationship between the cylinder CS at 56 and 28 days. (c) Relationship between the cylinder CS at 14 and 28 days. (d) Relationship between the cylinder CS at 7 and 28 days. (e) Relationship between the cylinder CS at 3 and 28 days. (f) Relationship between the cylinder CS at 1 and 28 days [,,,,,,,,,,,,,].
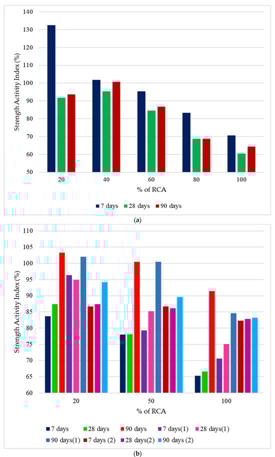
The strength activity index (SAI), according to ASTM C 311, is the ratio of the average compressive strength of the reference cement mortar at a given age to the compressive strength of mortar containing substitute materials at a rate of 20% by the mass of the binder. The SAI for strength can be estimated as the proportion of the CS of different dosages of concrete to the CS of the reference concrete, as depicted in Equation (7).
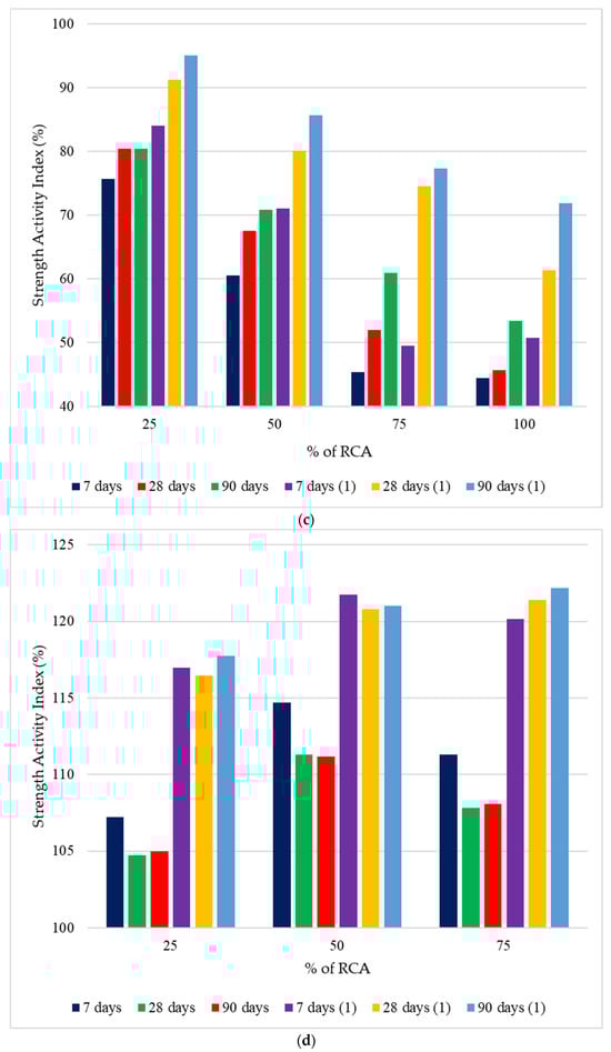
Figure 11 shows that Fonseca et al., 2011 [] noted that most of the SAI values from the 20% to 100% substitution of NCAs by RCAs are greater than 90%, indicating that all substitutions can be used for various applications. The 7-day curing period shows the lowest SAI for a 20% substitution of NCAs by RCAs, whereas, with the enhancement in the curing period, an enhancement in the SAI is noted. Sobuz et al., 2022 [] noted that the 15% substitution of NCAs by RCAs shows an SAI > 90%, whereas the 30% substitution of NCAs by RCAs shows an SAI > 80%, and an enhancement in the substitution of NCAs by RCAs of approximately 45% shows an SAI > 70% (Figure 11a). Younis and Pilakoutas, 2013 [] reported that the 20% substitution of NCAs by RCAs shows an SAI > 70%, whereas the 50% substitution of NCAs by RCAs shows an SAI > 65%, and the 75% substitution of NCAs by RCAs shows an SAI > 60%. Finally, the 100% substitution of NCAs with RCAs resulted in an SAI > 50% (Figure 11b). From Figure 11c, it is noted that the dosage of RCAs decreased the SAI. For a higher substitution dosage above 50%, a decrease in the SAI below 70% was noted. Similar to Younis and Pilakoutas, 2013 [], the same behavior is noted; Sim et al., 2011 [] demonstrated the same behavior in Figure 11d, with a decrease in the SAI below 50%. From Figure 11e, it is noted that there is a decrease in the SAI with an increase in the dosage of RCA; for the higher curing period, the SAI shows a similar behavior, as noted by Zareei et al., 2019 []. Elhakam et al., 2012 [] noted that an increase in the dosage of RCAs results in a decrease in SAI, but the SAI value is above 75% (Figure 11f). Most studies in the literature indicate that the SAI value is higher than 75% for a dosage substitution of up to 50%.




Figure 11.
(a) SAI of cube CS []. (b) SAI of cube CS []. (c) SAI of cube CS []. (d) SAI of cube CS []. (e) SAI of cube CS []. (f) SAI of cube CS [].
5.2. Cube Compressive Strength
Similar to the cylinder compressive strength, a relationship between the cube CS for different curing periods and at 28 days was established. The relationship between the cube CS at 28 days and other curing periods by Kurda et al., 2020 [] is depicted in Figure 12. Figure 12a indicates the relationship between the cube CS at 365 days and the cube CS at 28 days of SRC, and their relationship is shown in Equation (8) with an R2 value of 0.82.


Figure 12.
(a) Relationship between cube CS for 365 days and 28 days []. (b) Relationship between cube CS for 180 days and 28 days []. (c) Relationship between cube CS for 90 days and 28 days []. (d) Relationship between cube CS for 7 and 28 days [].
The linear relationship between the cube CS at 180 days and cube CS at 28 days (Figure 12b) is shown in Equation (9) with an R2 value of 0.89. The linear relationship between cube CS at 90 days and cube CS at 28 days (Figure 12c) is shown in Equation (10) with an R2 value of 0.93. Figure 12d indicates the relationship between the cube CS at 14 days and the cube CS at 28 days of SRC and their relationship is shown in Equation (11) with an R2 value of 0.92. The SAI for the cube CS, with respect to the 50% and 100% substitution of NCAs by RCAs, is above 60% for all curing periods, as noted by Kurda et al., 2020 [] (Figure 13). Experts have noted that, for one mix proportion of SRC, all SRC mixes showed higher SAI values above 75% for the entire curing period.

Figure 13.
SAI of cube CS (MPa) at various ages of curing []. Lowercase letters in brackets indicate the different types of RCAs used.
5.3. Elasticity Properties
The relationship between the MOE at various curing periods and the MOE at a 28-day curing period is depicted in Figure 14. Figure 14a indicates the relationship between the MOE at 90 days and the MOE at 28 days of SRC, and their relationship is shown in Equation (12) with an R2 value of 0.95. The linear relationship between the MOE at 180 days and the MOE at 28 days (Figure 14b) is shown in Equation (13) with an R2 value of 0.90. Figure 14c indicates the relationship between the MOE at 365 days and the MOE at 28 days of SRC, and their relationship is shown in Equation (14) with an R2 value of 0.83.


Figure 14.
(a) Relationship between the modulus of elasticity at 90 and 28 days []. (b) Relationship between the modulus of elasticity at 180 and 28 days []. (c) Relationship between the modulus of elasticity at 365 days and 28 days [].
The results are displayed in Figure 15a,b, where an increase in the RA content caused a linear decrease in the HPC’s elastic stiffness. The strong correlation among this connection can be attributed to the resilient nature of HPC, which is unaffected by variations in its composition. It is generally agreed upon by investigators that RCAs have a detrimental impact on the modulus of elasticity. This is due to the poor interfacial bond quality that is generated among old adhered cement and new cement (Padmini et al., 2009) []. The concrete grade, flexibility, w/c proportions, quantity of recycled materials, and CS are all directly affected by the modulus of elasticity (Soares et al., 2014 [], and Padmini et al., 2009 []). The modulus of elasticity and RCA dose are displayed in Figure 15a,b.


Figure 15.
(a) Modulus of elasticity and dosage of RCAs. (b) Modulus of elasticity and dosage of RCAs. Lowercase letters in brackets indicate the different types of RCA [,,,,,,].
5.4. Tensile Strength
The correlation between the STS at 28 days and the STS at 7 and 90 days for SRC is shown in Figure 16. With the assistance of numerous research studies ([,,,,,], the correlations among the STS at 28 days and the STS at 7 and 90 days for SRC are provided in Equations (15) and (16). The relationship between these values is indicated by R2 = 0.907 and R2 = 0.8127 in Figure 16. As observed by Hassan, 2018 [], Zareei et al., 2019 [], Kou et al., 2012 [], and Elhakam et al., 2012 [] in Figure 16 and Figure 17, the SAI values for the STS with respect to 20%, 50%, and 100% were used as a substitute for all curing durations. It is worth noting that some standards, including ASTM C618, EN 450-1, and IRAM 1668, recommend that, if the SAI exceeds 75% at both 7 and 28 days, the substance is considered active in enhancing the strength properties of solid pastes.


Figure 16.
(a) Relationship between STS at 7 and 28 days for SRC. (b) Relationship between STS at 90 and 28 days for SRC [,,,,,,].


Figure 17.
(a) SAI of SRC []. (b) SAI of SRC []. (c) SAI of SRC []. (d) SAI of SRC []. Numbers in brackets indicate different mix proportions.
6. Conclusions
An extensive review analysis was conducted to examine the impact of RAs on the fresh and hardened characteristics of HSC. Based on the previously completed investigations, the following results were derived:
- Due to the material behavior of RAs, they require a large amount of water compared to natural aggregates, and they are less easy to work with.
- The reason for the reduction in the CS due to the poor and low density (loose, weak layers of mortars, which are porous on their surface) is the reduced ability to withstand the strength created.
- A reduction in FS occurs in conjunction with an increase in RCA content. A number of factors contribute to this, including the bonding between the surface of the RCAs and the new mortar, as well as the fact that the strength of the RCAs is lower than that of the NCAs. Consequently, it causes the initiation of microcracks at the spots, which, in turn, accelerates the distribution of microfracts to cracks within the new ITZ.
- A greater RA content results in a decrease in both the tensile strength and FS of the concrete, regardless of the concrete age. Furthermore, compared to the use of natural aggregates, the use of RAs results in an increase in splitting and flexural strength.
- RCAs and RFAs are both possible applications of RAs when the substitution proportion is high. There is even the possibility of acquiring HPC through a complete rebuild.
- According to the literature, it was noticed that, when the RCA dosage is increased, there is a drop in the SAI. When the substitute dosage exceeded 50%, the SAI decreased.
- As a consequence of the porous nature of the adhering mortar attached to the RCAs and the strength of the RCAs, the impact of RCAs on the SRC leads to a reduction in the modulus of elasticity. It was observed that the normalized modulus of elasticity decreased with the increasing dosage of RCAs. This indicates the captured information.
The analysis of the following points should be the primary focus of future work:
- Not only is the application of RAs in geopolymer concrete essential, but it is also recommended that research be conducted on precast concrete.
- The abrasion resistance of HPC produced with RAs has not been discussed in any of the previous studies. Because of this, it is strongly suggested that future work should be concentrated in this particular area.
Author Contributions
Conceptualization, K.K., P.J. and Y.O.Ö.; methodology, K.K., P.J. and Y.O.Ö.; investigation, E.M., M.K. and E.A.; data curation, E.A., M.K. and Y.O.Ö., writing—original draft preparation, K.K., P.J., E.M. and M.K.; writing—review and editing, E.A., M.K. and Y.O.Ö.; visualization, E.A., P.K., M.K. and Y.O.Ö.; funding, E.A. All authors have read and agreed to the published version of the manuscript.
Funding
The authors extend their appreciation to the Deanship of Scientific Research at King Khalid University, Abha, Kingdom of Saudi Arabia for funding this work through Large Groups RGP2/563/44.
Data Availability Statement
All data generated or analyzed during this study are included in this published article.
Acknowledgments
The authors extend their appreciation to the Deanship of Scientific Research at King Khalid University, Abha, Kingdom of Saudi Arabia for funding this work through Large Groups RGP2/563/44.
Conflicts of Interest
The authors declare that they have no known competing financial interests or personal relationships that could have appeared to influence the work reported in this paper.
References
- Gagg, C.R. Cement and concrete as an engineering material: An historic appraisal and case study analysis. Eng. Fail. Anal. 2014, 40, 114–120. [Google Scholar] [CrossRef]
- Belaid, F. How does concrete and cement industry transformation contribute to mitigating climate change challenges? Resour. Conserv. Recycl. Adv. 2022, 15, 200084. [Google Scholar] [CrossRef]
- Kaish, A.B.M.A.; Odimegwu, T.C.; Zakaria, I.; Abood, M.M. Effects of different industrial waste materials as partial replacement of fine aggregate on strength and microstructure properties of concrete. J. Build. Eng. 2021, 35, 102092. [Google Scholar] [CrossRef]
- Kaza, S.; Yao, L.S.; Bhada-Tata, P.; Woerden, V.F. What a waste 2.0: A global snapshot of solid waste management to 2050. In Urban Development; World Bank Publications: Chicago, IL, USA, 2018; Available online: https://hdl.handle.net/10986/30317 (accessed on 6 December 2018).
- Jagadesh, P.; Ramachandramurthy, A.; Murugesan, R. Processing of sugar cane bagasse ash and properties of processed sugar cane bagasse ash blended cements. Sadhana Acad. Sci. 2022, 47, 147. [Google Scholar] [CrossRef]
- Babu, V.S.; Mullick, A.K.; Jain, K.K.; Singh, P.K. Strength and durability characteristics of high-strength concrete with recycled aggregate—Influence of processing. J. Sustain. Cem.-Based Mater. 2014, 3, 88–110. [Google Scholar] [CrossRef]
- Nincevic, K.; Boumakis, I.; Marcon, M.; Wan-Wender, R. Aggregate effect on concrete cone capacity. Eng. Struct. 2019, 191, 358–369. [Google Scholar] [CrossRef]
- de Bortoli, A. Understanding the environmental impacts of virgin aggregates: Critical literature review and primary comprehensive life cycle assessments. J. Clean. Prod. 2023, 415, 137629. [Google Scholar] [CrossRef]
- Martinez-Garcia, R.; Jagadesh, P.; Burdalo-Salcedo, G.; Palencia, C.; Fernandez-Raga, M.; Fraile-Fernandez, F.J. Impact of design parameters on the ratio of compressive to spilt tensile strength of self-compacting concrete with recycled aggregate. Materials 2021, 14, 3480. [Google Scholar] [CrossRef]
- Wang, B.; Yan, L.; Fu, Q.; Kasal, B. A comprehensive review on recycled aggregate and recycled aggregate concrete. Resour. Conserv. Recycl. 2021, 171, 105565. [Google Scholar] [CrossRef]
- Tang, W.; Khavarian, M.; Yousefi, A.; Landenberger, B.; Cui, H. Influence of mechanical screened recycled coarse aggregates on the properties of self-compacting concrete. Materials 2023, 16, 1483. [Google Scholar] [CrossRef]
- Bai, G.; Zhu, C.; Liu, C.; Liu, B. An evaluation of the recycled aggregate characteristics and the recycled aggregate concrete mechanical properties. Constr. Build. Mater. 2020, 240, 117978. [Google Scholar] [CrossRef]
- Martin-Morales, M.; Zamorano, M.; Ruiz-Moyano, A.; Valverde-Espinosa, I. Characterization of recycled aggregates construction and demolition waste for concrete production following the Spanish structural concrete code EHE-08. Constr. Build. Mater. 2011, 25, 742–748. [Google Scholar] [CrossRef]
- Okionomou, N.D. Recycled concrete aggregates. Cem. Concr. Compos. 2005, 27, 315–318. [Google Scholar] [CrossRef]
- Ajdukiewicz, A.; Kliszczewicz, A. Influence of recycled aggregates on mechanical properties of HS/HPC. Cem. Concr. Compos. 2022, 24, 269–279. [Google Scholar] [CrossRef]
- Etxeberria, M.; Vázquez, E.; Marí, A.; Barra, M. Influence of amount of recycled coarse aggregates and production process on properties of recycled aggregate concrete. Cem. Concr. Res. 2007, 37, 735–742. [Google Scholar] [CrossRef]
- Gjorv, O.E. High-strength concrete. In Development in the Formulation and Reinforcement of Concrete; Woodhead Publishing Series in Civil and Structural Engineering; Woodhead Publishing: Sawston, UK, 2008; pp. 153–170. [Google Scholar] [CrossRef]
- Behera, M.; Bhattacharyya, S.K.; Minocha, A.K.; Deoliya, R.; Maiti, S. Recycled aggregate from C&D waste & its use in concrete—A breakthrough towards sustainability in construction sector: A review. Constr. Build. Mater. 2014, 68, 501–516. [Google Scholar] [CrossRef]
- Shayan, A.; Xu, A. Performance and properties of structural concrete made with recycled concrete aggregate. ACI Mater. J. 2003, 100, 371–380. [Google Scholar]
- Spaeth, V.; Tegguer, A.D. Improvement of recycled concrete aggregate properties by polymer treatments. Int. J. Sustain. Built Dev. 2013, 2, 143–152. [Google Scholar] [CrossRef]
- Cabral, A.E.B.; Sdchalch, V.; Molin, D.C.C.D.; Ribeiro, J.L.D. Mechanical properties modeling of recycled aggregate concrete. Constr. Build. Mater. 2010, 25, 421–430. [Google Scholar] [CrossRef]
- Lovato, P.S.; Possan, E.; Molin, D.C.C.D.; Masuero, A.B.; Ribeiro, J.L.D. Modelling of mechanical properties and durability of recycled aggregate concretes. Constr. Build. Mater. 2012, 26, 437–447. [Google Scholar] [CrossRef]
- Younis, K.H.; Pilakoutas, K. Strength prediction model and methods for improving recycled aggregate concrete. Constr. Build. Mater. 2013, 49, 688–701. [Google Scholar] [CrossRef]
- Moksnes, J.; Sandvik, M. Offshore concrete in the North Sea—A review of 25 years continuous development and practice in concrete technology. In Proceedings of the Odd E. Gjorv Symposium on Concrete for Marine Structure; Mehta, P.K., Ed.; CANMET/ACI: Ottawa, ON, Canada, 1996; pp. 1–22. [Google Scholar]
- Haitao, Y.; Shizhu, T. Preparation and properties of high strength recycled concrete in cold areas. Mater. Constr. 2015, 65, e050. [Google Scholar] [CrossRef]
- Zega, C.J.; Villagran-Zaccardi, Y.A.; Maio, A.A.D. Effect of natural coarse aggregate type on the physical and mechanical properties of recycled coarse aggregates. Mater. Struct. 2010, 43, 195–202. [Google Scholar] [CrossRef]
- Hansen, T.C. Recycled aggregates and recycled aggregate concrete, second state of the art, Report developments. RILEM technical committee-37-DRC, 1945-1985, demolition and recycling of concrete. Mater. Struct. 1986, 19, 201–246. [Google Scholar] [CrossRef]
- Zhou, C.; Chen, Z. Mechanical properties of recycled concrete made with different types of coarse aggregate. Constr. Build. Mater. 2017, 134, 497–506. [Google Scholar] [CrossRef]
- Salgado, F.A.; Silva, F.A. Properties of recycled aggregates from different composition and its influence on concrete strength. IBRACON Struct. Mater. J. 2021, 14, e14605. [Google Scholar] [CrossRef]
- Puthussery, J.; Kumar, R.; Garg, A. Evaluation of recycled concrete aggregates for their suitability in construction activities: An experimental study. Waste Manag. 2017, 60, 270–276. [Google Scholar] [CrossRef]
- Mukharjee, B.B.; Barai, S.V. Development of construction materials using nano-silica and aggregates recycled from construction and demolition waste. Waste Manag. Res. 2015, 33, 515–523. [Google Scholar] [CrossRef]
- Wang, Y.; Feng, P.; Sun, W.; Zhang, S.; Sun, Y. The Effect of Recycled Concrete Aggregates on the Workability Properties of Ultra-High-Performance Concrete. Materials 2019, 12, 4152. [Google Scholar] [CrossRef]
- Rakshvir, M.; Kumar, S.; Barai, V. Studies on recycled aggregates-based Concrete. Waste Manag. Res. 2006, 24, 225–233. [Google Scholar] [CrossRef] [PubMed]
- Junaka, J.; Sicakova, A. Concrete containing recycled concrete aggregate with modified surface. Procedia Eng. 2017, 180, 1284–1291. [Google Scholar] [CrossRef]
- Maruthupandian, S.; Rao, K.; Lakshmy Parameswaran, V.V. Recycled Aggregate Concrete for Transportation Infrastructure. Procedia—Soc. Behav. Sci. 2013, 104, 1158–1167. [Google Scholar]
- Abdulla, N.A. Effect of Recycled Coarse Aggregate Type on Concrete. J. Mater. Civ. Eng. 2014, 27, 1–9. [Google Scholar] [CrossRef]
- Geng, Y.; Wang, Y.; Chen, J. Time-Dependent Behavior of Recycled Aggregate Concrete–Filled Steel Tubular Columns. J. Struct. Eng. 2015, 141, 04015011. [Google Scholar] [CrossRef]
- Gomes, M.; de Brito, J.; Bravo, M. Mechanical performance of structural concrete with the incorporation of coarse recycled concrete and ceramic aggregates. J. Mater. Civ. Eng. 2014, 26, 04014076. [Google Scholar] [CrossRef]
- Kothari, B.R.; Abhay, S. Experimental Investigation of Recycle Concrete Aggregate. Int. J. Innov. Res. Sci. Technol. 2016, 3, 511–515. [Google Scholar]
- Kukadia, V.P.; Parekh, D.N.; Gajjar, R.K. Influence of Aggregate’s Treatment on Properties of Recycled Aggregate Concrete. Int. J. Civ. Eng. Technol. 2017, 8, 351–361. [Google Scholar]
- Revathi, P.; Amirthavalli, R.R.; Karan, L. Influence of Treatment Methods on the Strength and Performance Characteristics of Recycled Aggregate Concrete. J. Mater. Civ. Eng. 2015, 27, 04014168. [Google Scholar] [CrossRef]
- Shrinath, H.; Kumar, B.; Avinash, S.; Vinod Kumar, L. Influence of Treatment Methods on Recycled Aggregate Concrete made with Recycled Coarse Aggregate. Int. J. Sci. Eng. Dev. Res. 2016, 1, 836–842. [Google Scholar]
- Sahoo, K.; Arakha, M.; Sarkar, P.; Davis, R.P.; Jha, S. Enhancement of properties of recycled coarse aggregate concrete using bacteria. Int. J. Smart Nano Mater. 2016, 7, 22–38. [Google Scholar] [CrossRef]
- Wang, Q.; Zhao, H.; Luo, Z.; Liu, S.; Zhou, C.; Liu, H. Properties evaluation of concrete made with recycled coarse aggregate modified by graphene oxide. J. Build. Eng. 2024, 84, 108546. [Google Scholar] [CrossRef]
- Liu, J.; Ma, K.; Shen, J.; Zhu, J.; Long, G.; Xie, Y.; Liu, B. Influence of recycled concrete aggregate enhancement methods on the change of microstructure of ITZs in recycled aggregate concrete. Constr. Build. Mater. 2023, 371, 130772. [Google Scholar] [CrossRef]
- Fang, G.; Chen, J.; Dong, B.; Liu, B. Microstructure and micromechanical properties of interfacial transition zone in green recycled aggregate concrete. J. Build. Eng. 2023, 66, 105860. [Google Scholar] [CrossRef]
- Vijayan, V.; Shukla, S.K.; Mini, K.M. Slurry infiltrated low-quality construction and demolition coarse aggregate waste in concrete—A sustainable construction. Mater. Res. Express 2024, 11, 085505. [Google Scholar] [CrossRef]
- Stephen, F.S.; Chockalingam, M.P.; Nalanth, N. Durability Properties of Modified Self Compacting Concrete with Recycled Concrete Aggregate. Int. J. Eng. Adv. Technol. 2019, 9, 5102–5106. [Google Scholar] [CrossRef]
- Araf, S.S.; Shahjalal, M.; Ahmed, T.; Juthi, S.I.; Rahman, S.M.; Islam, M.J. Mechanical and Durability Properties of Induction Furnace Slag and Recycled Aggregate Concrete. Adv. Civ. Eng. 2018, 3297342, 11. [Google Scholar] [CrossRef]
- Evangelista, L.; Guedas, M.; de Brito, J.; Ferro, A.C.; Pereira, M.F. Physical, chemical and mineralogical properties of fine recycled aggregates made from concrete waste. Constr. Build. Mater. 2015, 86, 178–188. [Google Scholar] [CrossRef]
- Liu, S.; Liao, J.; Hu, W.; Zhang, Z.; Ashiru, M.; Fang, C.; Chen, Y. Study on the influence of coarse aggregate distribution uniformity on the compaction characteristics of gap-graded gravels. Comput. Geotech. 2024, 170, 106293. [Google Scholar] [CrossRef]
- Zhang, Z.T.; Gao, W.H. Effect of different test methods on the disintegration behaviour of soft rock and the evolution model of disintegration breakage under cyclic wetting and drying. Eng. Geol. 2020, 279, 105888. [Google Scholar] [CrossRef]
- Rodrigues, F.; Evangelista, L.; de Brito, J. A new method to determine the density and water absorption of fine recycled aggregates. Mater. Res. 2013, 16, 1045–1051. [Google Scholar] [CrossRef]
- Evangelista, L.; de Brito, J. Mechanical behaviour of concrete made with fine recycled concrete aggregates. Cem. Concr. Compos. 2007, 29, 397–401. [Google Scholar] [CrossRef]
- Hansen, T.C. Recycled aggregate and recycled aggregate concrete: Third state of the art report 1945–1989. In Recycling of Demolished Concrete and Masonry; Hansen, T.C., Ed.; CRC Press: London, UK, 1992; pp. 1–163. [Google Scholar]
- Evangelista, L.; de Brito, J. Concrete with fine recycled aggregates: A review. Eur. J. Environ. Civ. Eng. 2014, 18, 129–172. [Google Scholar] [CrossRef]
- Fumoto, T.; Yamada, M. Influence of the quality of recycled fine aggregates on the properties of concrete. Mem. Fac. Eng. 2002, 43, 97–103. [Google Scholar]
- Solyman, M. Classification of Recycled Sands and Their Applications as Fine Aggregates for Concrete and Bituminous Mixtures. Ph.D. Thesis, Civil Engineering, Universitat Kassel, Kassel, Germany, 2005. [Google Scholar]
- Dhir, R.K.; Paine, K.A.; Halliday, J.E. Facilitating the Wider Use of Coarse and Fine Recycled Aggregates from Washing Plants; WRAP Final Report; WRAP: Banbury, UK, 2008. [Google Scholar]
- Ukrainczyk, N.; Ukrainczyk, M.; Sipusic, J.; Matusinovic, T. XRD and TGA investigation of hardened cement paste. In Proceedings of the 11th Conference on Materials, Processes, Friction and Wear, Vela Luka, Croatia, 24 June 2006; pp. 22–24. [Google Scholar]
- Jiao, Y.; Zhang, Y.; Guo, M.; Zhang, L.; Ning, H.; Liu, S. Mechanical and fracture properties of ultra-high-performance concrete (UHPC) containing waste glass sand as partial replacement material. J. Clean. Prod. 2020, 277, 123501. [Google Scholar] [CrossRef]
- Hamad, B.S.; Dawi, A.H. Sustainable normal and high strength recycled aggregate concretes using crushed tested cylinders as coarse aggregates. Case Stud. Constr. Mater. 2017, 7, 228–239. [Google Scholar] [CrossRef]
- Hassan, S.S. Effects of recycled concrete aggregate on some mechanical properties of high strength concrete. IOP Conf. Ser. Mater. Sci. Eng. 2018, 433, 012033. [Google Scholar] [CrossRef]
- Mohseni, E.; Saadati, R.; Kordbacheh, N.; Parpinchi, Z.S.; Tang, W. Engineering and microstructural assessment of fibre reinforced self-compacting concrete containing recycled coarse aggregate. J. Clean. Prod. 2017, 168, 605–613. [Google Scholar] [CrossRef]
- Corinaldesi, V.; Moriconi, G. The role of industrial by-products in self-compacting concrete. Constr. Build. Mater. 2011, 25, 3181–3186. [Google Scholar] [CrossRef]
- Tuyan, M.; Mardani-Aghabaglou, A.; Ramyar, K. Freeze-thaw resistance, mechanical and transport properties of self-consolidating concrete incorporating coarse recycled concrete aggregate. Mater. Des. 2014, 53, 983–991. [Google Scholar] [CrossRef]
- Tang, W.; Ryan, P.; Cui, H.; Liao, W. Self-compacting concrete with recycled coarse aggregate. Adv. Mater. Sci. Eng. 2016, 11, 2761294. [Google Scholar] [CrossRef]
- EFNARC. Specification Guidelines for Self-Compacting Concrete; European Federation Produces and Applicators of Special Products for Structures, EFNARC: Surrey, UK, 2005. [Google Scholar]
- Singh, N.; Singh, S.P. Evaluating the performance of self-compacting concretes made with recycled coarse and fine aggregates using non-destructive testing techniques. Constr. Build. Mater. 2018, 181, 73–84. [Google Scholar] [CrossRef]
- Khodair, Y.; Luqman. Self-compacting concrete using recycled asphalt pavement and recycled concrete aggregate. J. Build. Eng. 2017, 12, 282–287. [Google Scholar] [CrossRef]
- Ortiz, J.A.; De La Fuente, A.; Sebastia, F.M.; Segura, I.; Aguado, A. Steel-fibre-reinforced self-compacting concrete with 100% recycled mixed aggregates suitable for structural applications. Constr. Build. Mater. 2017, 156, 230–241. [Google Scholar] [CrossRef]
- Modani, P.O.; Mohitkar, V.M. Self-compacting concrete with recycled aggregate: A solution for sustainable development. Int. J. Civ. Struct. Eng. 2014, 4, 430–440. [Google Scholar]
- Kou, S.C.; Poon, C.S. Properties of self-compacting concrete prepared with coarse and fine recycled concrete aggregates. Cem. Concr. Compos. 2009, 31, 622–627. [Google Scholar] [CrossRef]
- Carro-Lopez, D.; Gonazalez-Fonteboa, B.; De Brito, J.; Martinez-Abella, F.; Gonzalez-Taboada, I.; Silva, P. Study of the rheology of self-compacting concrete with fine recycled concrete aggregates. Constr. Build. Mater. 2015, 96, 491–501. [Google Scholar] [CrossRef]
- Xiao, J.Z.; Li, J.B.; Zhang, C. On relationships between the mechanical properties of recycled aggregate concrete: An overview. Mater. Struct. 2006, 39, 655–664. [Google Scholar] [CrossRef]
- Larsen, O.A.; Komoleva, I.V.; Tobolev, P.D.; Naruts, V.V.; Badamshin, S.O. Structure and properties of recycled concrete aggregate. J. Phys. Conf. Ser. 2019, 164, 012005. [Google Scholar] [CrossRef]
- Tijani, A.I.; Yang, J.; Dirar, S. Enhancing the performance of recycled aggregate concrete with micro-silica. Int. J. Struct. Civ. Eng. Res. 2015, 4, 347–353. [Google Scholar] [CrossRef]
- Kou, S.C.; Poon, C.S.; Agrela, F. Comparisons of natural and recycled aggregate concretes prepared with the addition of different mineral admixtures. Cem. Concr. Compos. 2011, 33, 788–795. [Google Scholar] [CrossRef]
- Omrane, M.; Kenai, S.; Kadri, E.-H.; Ait-Mokhtar, A. Performance and durability of self-compacting concrete using recycled concrete aggregates and natural pozzolan. J. Clean. Prod. 2017, 165, 415–430. [Google Scholar] [CrossRef]
- Ahmed, S.; El-Zohairy, A.; Elsa, A.S.; Mohamed, M.A.E.B.; Abdo, A. Experimental investigations of self-compacting concrete with recycled concrete aggregate. Buildings 2023, 13, 856. [Google Scholar] [CrossRef]
- Kurda, R.; de Brito, J.; Silvestre, J.D. A comparative study of the mechanical and life cycle assessment of high content fly ash and recycled aggregate concrete. J. Build. Eng. 2020, 29, 101173. [Google Scholar] [CrossRef]
- Andreu, G.; Miren, E. Experimental analysis of properties of high performance recycled aggregate concrete. Constr. Build. Mater. 2014, 52, 227–235. [Google Scholar] [CrossRef]
- Marie, I.; Quiasrawi, H. Closed loop recycling of recycled concrete aggregates. J. Clean. Prod. 2012, 37, 243–248. [Google Scholar] [CrossRef]
- Kou, S.C.; Poon, C.S.; Wan, H.W. Properties of concrete prepared with low-grade recycled aggregates. Constr. Build. Mater. 2012, 36, 881–889. [Google Scholar] [CrossRef]
- Elhakam, A.A.; Mohamed, A.E.; Awad, E. Influence of self-healing, mixing method and adding silica fume on mechanical properties of recycled aggregate concrete. Constr. Build. Mater. 2012, 35, 421–427. [Google Scholar] [CrossRef]
- Mesgari, S.; Akbarnezhad, A.; Xiao, J.Z. Recycled geopolymer aggregates as coarse aggregates for Portland cement concrete and geopolymer concrete: Effects on mechanical properties. Constr. Build. Mater. 2020, 236, 117571. [Google Scholar] [CrossRef]
- Zareei, S.A.; Ameri, F.; Bahrami, N.; Shoaei, P.; Musaeei, H.R.; Nurian, F. Green high strength concrete containing recycled waste ceramic aggregates and waste carpet fibers: Mechanical, durability and microstructural properties. J. Build. Eng. 2019, 26, 100914. [Google Scholar] [CrossRef]
- Tamayo, P.; Pacheco, J.; Thomas, C.; de Brito, J.; Rico, J. Mechanical and durability properties of concrete with coarse recycled aggregate produced with electric arc furnace slag concrete. Appl. Sci. 2020, 10, 216. [Google Scholar] [CrossRef]
- Sim, J.; Park, C. Compressive strength and resistance to chloride ion penetration and carbonation of recycled aggregate concrete with varying amount of fly ash and fine recycled aggregate. Waste Manag. 2011, 31, 2352–2360. [Google Scholar] [CrossRef] [PubMed]
- Kavitha, S.M.; Venkatesan, G.; Avudaiappan, S.; Flores, E.I.S. Mechanical and flexural performance of self-compacting concrete with natural fiber. Rev. Constr. 2020, 19, 370. [Google Scholar]
- Akinpelu, M.A.; Odeyemi, S.O.; Olafusi, O.S.; Muhammed, F.Z. Evaluation of splitting tensile and compressive strength relationship of self-compacting concrete. J. King Saud Univ.—Eng. Sci. 2019, 31, 19–25. [Google Scholar] [CrossRef]
- Gesoglu, M.; Guneuisi, E.; Oz, H.O.; Taha, I.; Yasemin, M.T. Failure characteristics of self-compacting concretes made with recycled aggregates. Constr. Build. Mater. 2015, 98, 334–344. [Google Scholar] [CrossRef]
- Fiol, F.; Thomas, C.; Munoz, C.; Ortega-Lopez, V.; Manso, M. The influence of recycled aggregate from precast elements on the mechanical properties of structural self-compacting concrete. Constr. Build. Mater. 2018, 182, 309–323. [Google Scholar] [CrossRef]
- Sobuz, M.H.R.; Datta, S.D.; Akid, A.S.M.; Tam, V.W.Y.; Islam, S.; Rana, M.J.; Aslani, F.; Yalcinkaya, C.; Sutan, N.M. Evaluating the effects of recycled concrete aggregate size and concentration on properties of high-strength sustainable concrete. J. King Saud Univ.—Eng. Sci. 2022, 36, 216–227. [Google Scholar] [CrossRef]
- Pedro, D.; de Brito, J.; Evangelista, L.; Bravo, M. Technical specification proposal for use of high performance recycled concrete aggregates in high performance concrete production. J. Mater. Civ. Eng. 2018, 30, 04018324. [Google Scholar] [CrossRef]
- Fonseca, N.; de Brito, J.; Evangelista, L. The influence of curing conditions on the mechanical performance of concrete made with recycled concrete waste. Cem. Concr. Compos. 2021, 33, 637–643. [Google Scholar] [CrossRef]
- Ali, A.A.M.; Zidan, R.S.; Ahmed, T.W. Evaluation of high strength concrete made with recycled aggregate under effect of well water. Case Stud. Constr. Mater. 2020, 12, e00338. [Google Scholar] [CrossRef]
- Mohammed, S.I.; Najim, K.B. Mechanical strength, flexural behavior and fracture energy of recycled concrete aggregate self-compacting concrete. Structures 2020, 23, 34–43. [Google Scholar] [CrossRef]
- Babalola, O.E.; Awoyera, P.O.; Tran, M.T.; Le, D.H.; Olalusi, O.B.; Viloria, A.; Gazabon, D.O. Mechanical and durability properties of recycled aggregate concrete with ternary binder system and optimized mix proportion. J. Mater. Res. Technol. 2020, 9, 6521–6532. [Google Scholar] [CrossRef]
Disclaimer/Publisher’s Note: The statements, opinions and data contained in all publications are solely those of the individual author(s) and contributor(s) and not of MDPI and/or the editor(s). MDPI and/or the editor(s) disclaim responsibility for any injury to people or property resulting from any ideas, methods, instructions or products referred to in the content. |
© 2024 by the authors. Licensee MDPI, Basel, Switzerland. This article is an open access article distributed under the terms and conditions of the Creative Commons Attribution (CC BY) license (https://creativecommons.org/licenses/by/4.0/).