A Serial Mediation Model of the Relationship between Digital Entrepreneurial Education, Alertness, Motivation, and Intentions
Abstract
1. Introduction
- To evaluate the direct impact of DEE, DEA, and DEM on DEI.
- To examine the indirect influence of DEE on DEI (via the mediation of DEA and DEM individually).
- To examine the indirect influence of DEE on DEI (via the serial mediation of DEA and DEM).

2. Literature Review and Supporting Theories
2.1. Social Cognitive Theory
2.2. Stimulus-Organism-Response Theory
3. Conceptual Framework and Research Hypotheses
3.1. DEE and DEI
3.2. DEA and DEIs
3.3. DEM and DEI
3.4. The Mediating Role of DEA
3.5. The Mediating Role of DEM
3.6. Serial Mediation through DEA and DEM
4. Methods
4.1. Research Design
4.2. Participants and Data Collection
4.3. Measures
Control Variables
4.4. Data Screening
5. Results
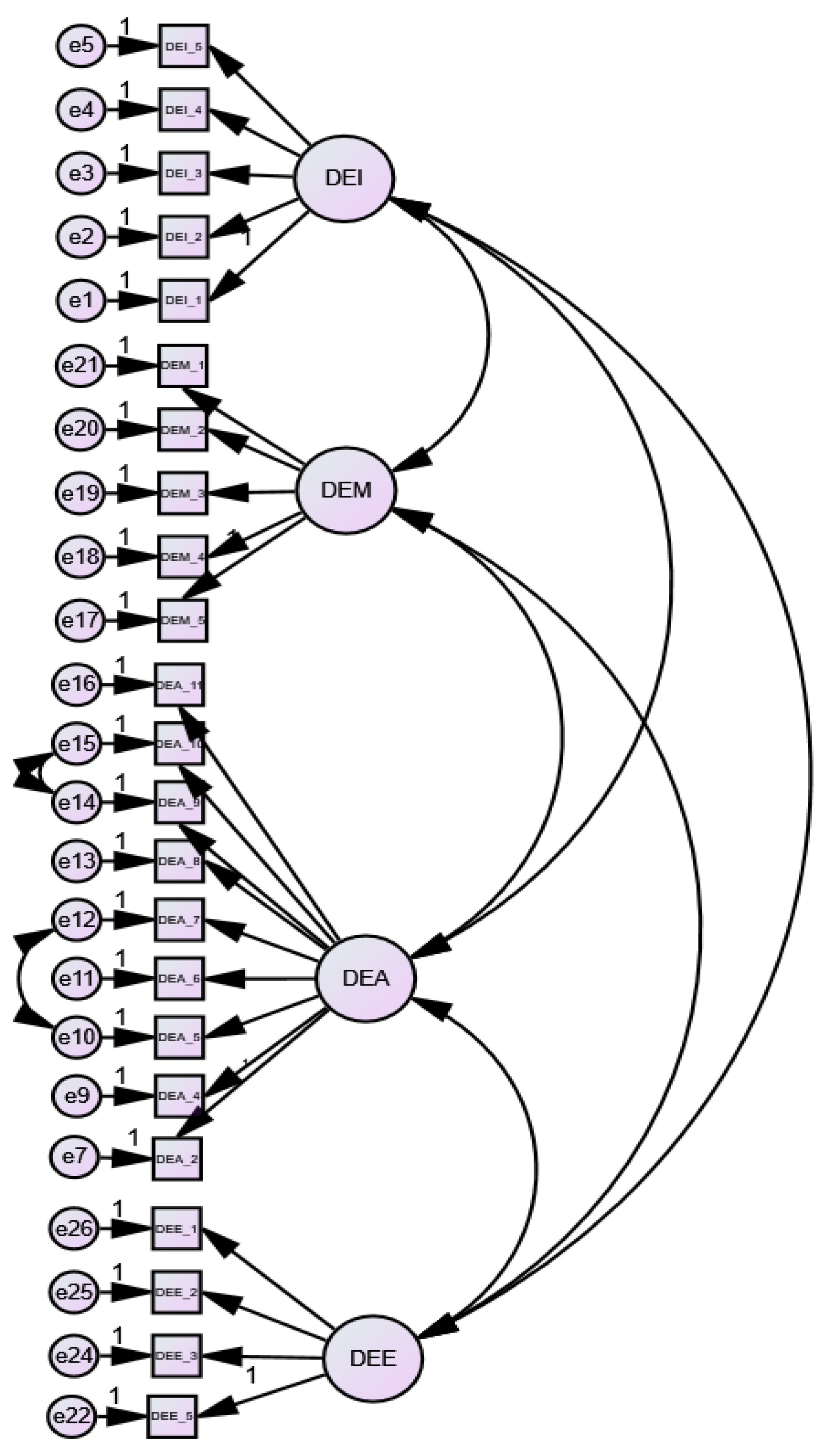
5.1. Measurement Model
5.2. Structural Model and Hypothesis Testing
5.2.1. Direct Effects
5.2.2. Indirect Effects
6. Discussion
7. Conclusions
8. Theoretical Contributions and Practical Implication
8.1. Theoretical Contributions
8.2. Practical Implication
9. Limitations and Future Direction
Author Contributions
Funding
Institutional Review Board Statement
Informed Consent Statement
Data Availability Statement
Acknowledgments
Conflicts of Interest
References
- König, M.; Ungerer, C.; Baltes, G.; Terzidis, O. Different patterns in the evolution of digital and non-digital ventures’ business models. Technol. Forecast. Soc. Chang. 2019, 146, 844–852. [Google Scholar] [CrossRef]
- Nambisan, S. Digital entrepreneurship: Toward a digital technology perspective of entrepreneurship. Entrep. Theory Pract. 2017, 41, 1029–1055. [Google Scholar] [CrossRef]
- Kollmann, T.; Kleine-Stegemann, L.; de Cruppe, K.; Then-Bergh, C. Eras of Digital Entrepreneurship. Bus. Inf. Syst. Eng. 2022, 64, 15–31. [Google Scholar] [CrossRef]
- Neumeyer, X.; Santos, S. Digitalization and the Entrepreneurial Mindset: A Conceptualization and Research Framework; IEEE: Piscataway, NJ, USA, 2022; pp. 198–203. [Google Scholar]
- Giones, F.; Brem, A. Digital technology entrepreneurship: A definition and research agenda. Technol. Innov. Manag. Rev. 2017, 7, 44–51. [Google Scholar] [CrossRef]
- Elnadi, M.; Gheith, M.H.; Farag, T. How Does the Perception of Entrepreneurial Ecosystem Affect Entrepreneurial Intention Among University Students in Saudi Arabia? Int. J. Entrep. 2020, 24, 1–15. [Google Scholar]
- Mahmud, M. Impact Analysis of Digital Transformations on Entrepreneurial Ecosystem in the Eastern Province of Saudi Arabia. J. Entrep. Educ. 2020, 23, 1–15. [Google Scholar]
- McAdam, M.; Crowley, C.; Harrison, R.T. “To boldly go where no [man] has gone before”—Institutional voids and the development of women’s digital entrepreneurship. Technol. Forecast. Soc. Chang. 2019, 146, 912–922. [Google Scholar] [CrossRef]
- McAdam, M.; Crowley, C.; Harrison, R.T. Digital girl: Cyberfeminism and the emancipatory potential of digital entrepreneurship in emerging economies. Small Bus. Econ. 2020, 55, 349–362. [Google Scholar] [CrossRef]
- Saudi Council of Economic and Development Affairs. Saudi Vision 2030. 2016. Available online: http://vision2030.gov.sa/download/file/fid/417 (accessed on 3 April 2024).
- An Impactful Vision. 2023. Available online: https://www.vision2030.gov.sa/media/p21jxnk1/english-ntp-anuual-report-2023.pdf (accessed on 4 April 2024).
- Aloulou, W.; Ayadi, F.; Ramadani, V.; Dana, L.-P. Dreaming digital or chasing new real pathways? Unveiling the determinants shaping Saudi youth’s digital entrepreneurial intention. Int. J. Entrep. Behav. Res. 2023, 30, 709–734. [Google Scholar] [CrossRef]
- Alferaih, A. Starting a new business? Assessing university students’ intentions towards digital entrepreneurship in Saudi Arabia. Int. J. Inf. Manag. Data Insights 2022, 2, 100087. [Google Scholar] [CrossRef]
- Elia, G.; Margherita, A.; Passiante, G. Digital entrepreneurship ecosystem: How digital technologies and collective intelligence are reshaping the entrepreneurial process. Technol. Forecast. Soc. Chang. 2020, 150, 119791. [Google Scholar] [CrossRef]
- Martins, J.; Rodrigues, R. Motivations in the adoption and conversion of freemium services: Insights for digital entrepreneurship. Rev. Manag. Sci. 2024, 1–22. [Google Scholar] [CrossRef]
- Paul, J.; Alhassan, I.; Binsaif, N.; Singh, P. Digital entrepreneurship research: A systematic review. J. Bus. Res. 2023, 156, 113507. [Google Scholar] [CrossRef]
- Sahut, J.-M.; Iandoli, L.; Teulon, F. The age of digital entrepreneurship. Small Bus. Econ. 2021, 56, 1159–1169. [Google Scholar] [CrossRef]
- Steininger, D.M. Linking information systems and entrepreneurship: A review and agenda for IT-associated and digital entrepreneurship research. Inf. Syst. J. 2019, 29, 363–407. [Google Scholar] [CrossRef]
- Wibowo, A.; Narmaditya, B.S.; Saptono, A.; Effendi, M.S.; Mukhtar, S.; Mohd Shafiai, M.H. Does digital entrepreneurship education matter for students’ digital entrepreneurial intentions? The mediating role of entrepreneurial alertness. Cogent Educ. 2023, 10, 2221164. [Google Scholar] [CrossRef]
- Wibowo, A.; Saptono, A.; Narmaditya, B.S.; Effendi, M.S.; Mukhtar, S.; Suparno; Shafiai, M.H.M. Using technology acceptance model to investigate digital business intention among Indonesian students. Cogent Bus. Manag. 2024, 11, 2314253. [Google Scholar] [CrossRef]
- Wibowo, A.; Narmaditya, B.S. Predicting Students’ Digital Entrepreneurial Intention: The Mediating Role of Knowledge and Inspiration. Din. Pendidik. 2022, 17, 25–36. [Google Scholar] [CrossRef]
- Zaheer, H.; Breyer, Y.; Dumay, J. Digital entrepreneurship: An interdisciplinary structured literature review and research agenda. Technol. Forecast. Soc. Chang. 2019, 148, 119735. [Google Scholar] [CrossRef]
- Anwar, I.; Saleem, I.; Islam, K.B.; Thoudam, P.; Khan, R. Entrepreneurial intention among female university students: Examining the moderating role of entrepreneurial education. J. Int. Bus. Entrep. Dev. 2020, 12, 217–234. [Google Scholar] [CrossRef]
- Jena, R.K. Measuring the impact of business management Student’s attitude towards entrepreneurship education on entrepreneurial intention: A case study. Comput. Human Behav. 2020, 107, 106275. [Google Scholar] [CrossRef]
- Thompson, E.R. Individual entrepreneurial intent: Construct clarification and development of an internationally reliable metric. Entrep. Theory Pract. 2009, 33, 669–694. [Google Scholar] [CrossRef]
- Obschonka, M.; Hakkarainen, K.; Lonka, K.; Salmela-Aro, K. Entrepreneurship as a twenty-first century skill: Entrepreneurial alertness and intention in the transition to adulthood. Small Bus. Econ. 2017, 48, 487–501. [Google Scholar] [CrossRef]
- Markman, G.D.; Balkin, D.B.; Baron, R.A. Inventors and new venture formation: The effects of general self–efficacy and regretful thinking. Entrep. Theory Pract. 2002, 27, 149–165. [Google Scholar] [CrossRef]
- Rauch, A.; Hulsink, W. Putting entrepreneurship education where the intention to act lies: An investigation into the impact of entrepreneurship education on entrepreneurial behavior. Acad. Manag. Learn. Educ. 2015, 14, 187–204. [Google Scholar] [CrossRef]
- Pruett, M. Entrepreneurship education: Workshops and entrepreneurial intentions. J. Educ. Bus. 2012, 87, 94–101. [Google Scholar] [CrossRef]
- Paliwal, M.; Rajak, B.K.; Kumar, V.; Singh, S. Assessing the role of creativity and motivation to measure entrepreneurial education and entrepreneurial intention. Int. J. Educ. Manag. 2022, 36, 854–874. [Google Scholar] [CrossRef]
- Jardim, J. Entrepreneurial skills to be successful in the global and digital world: Proposal for a frame of reference for entrepreneurial education. Educ. Sci. 2021, 11, 356. [Google Scholar] [CrossRef]
- Nabi, G.; Liñán, F.; Fayolle, A.; Krueger, N.; Walmsley, A. The impact of entrepreneurship education in higher education: A systematic review and research agenda. Acad. Manag. Learn. Educ. 2017, 16, 277–299. [Google Scholar] [CrossRef]
- Otache, I.; Edopkolor, J.E.; Kadiri, U. A serial mediation model of the relationship between entrepreneurial education, orientation, motivation and intentions. Int. J. Manag. Educ. 2022, 20, 100645. [Google Scholar] [CrossRef]
- Otache, I.; Umar, K.; Audu, Y.; Onalo, U. The effects of entrepreneurship education on students’ entrepreneurial intentions: A longitudinal approach. Educ. Train. 2019, 63, 967–991. [Google Scholar] [CrossRef]
- Fayolle, A. Personal views on the future of entrepreneurship education. In A Research Agenda for Entrepreneurship Education; Edward Elgar Publishing: Cheltenham, UK, 2018; pp. 127–138. [Google Scholar]
- Neneh, B.N. From entrepreneurial alertness to entrepreneurial behavior: The role of trait competitiveness and proactive personality. Personal. Individ. Differ. 2019, 138, 273–279. [Google Scholar] [CrossRef]
- Kirzner, I.M. Perception, Opportunity, and Profit: Studies in the Theory of Entrepreneurship; University of Chicago Press: Chicago, IL, USA, 1979; Available online: https://bac-lac.on.worldcat.org/oclc/299983841 (accessed on 5 April 2024).
- Herron, L.; Robinson, R.B. A structural model of the effects of entrepreneurial characteristics on venture performance. J. Bus. Ventur. 1993, 8, 281–294. [Google Scholar] [CrossRef]
- Naffziger, D.W.; Hornsby, J.S.; Kuratko, D.F. A Proposed Research Model of Entrepreneurial Motivation. Entrep. Theory Pract. 1994, 18, 29–42. [Google Scholar] [CrossRef]
- Hassan, A.; Anwar, I.; Saleem, I.; Islam, K.M.B.; Hussain, S.A. Individual entrepreneurial orientation, entrepreneurship education and entrepreneurial intention: The mediating role of entrepreneurial motivations. Ind. High. Educ. 2021, 35, 403–418. [Google Scholar] [CrossRef]
- Anwar, I.; Ahmad, A.; Saleem, I.; Yasin, N. Role of entrepreneurship education, passion and motivation in augmenting Omani students’ entrepreneurial intention: A stimulus-organism-response approach. Int. J. Manag. Educ. 2023, 21, 100842. [Google Scholar] [CrossRef]
- Bandura, A. Social Foundations of Thought and Action: A Social Cognitive Theory; Prentice-Hall, Inc.: Englewood Cliffs, NJ, USA, 1986; pp. xiii, 617. ISBN 978-0-13-815614-5. [Google Scholar]
- Mehrabian, A.; Russell, J.A. An Approach to Environmental Psychology; The MIT Press: Cambridge, MA, USA, 1974; pp. xii, 266. ISBN 978-0-262-13090-5. [Google Scholar]
- Anwar, I.; Thoudam, P.; Saleem, I. Role of entrepreneurial education in shaping entrepreneurial intention among university students: Testing the hypotheses using mediation and moderation approach. J. Educ. Bus. 2022, 97, 8–20. [Google Scholar] [CrossRef]
- Otache, I. Enhancing the effectiveness of entrepreneurship education: The role of entrepreneurial lecturers. Educ. Train. 2019, 61, 918–939. [Google Scholar] [CrossRef]
- Wibowo, A.; Narmaditya, B.S.; Suparno; Sebayang, K.D.A.; Mukhtar, S.; Shafiai, M.H.M. How does digital entrepreneurship education promote entrepreneurial intention? The role of social media and entrepreneurial intuition. Soc. Sci. Humanit. Open 2023, 8, 100681. [Google Scholar] [CrossRef]
- Wood, R.; Bandura, A. Social Cognitive Theory of Organizational Management. Acad. Manag. Rev. 1989, 14, 361–384. [Google Scholar] [CrossRef]
- Hoang, G.; Luu, T.T.; Le, T.T.T.; Tran, N.; Tran, A.K.T. Examining the effects of entrepreneurship education on entrepreneurial intentions of Vietnamese business students: The roles of entrepreneurial alertness and resilience. J. Educ. Bus. 2023, 98, 462–470. [Google Scholar] [CrossRef]
- Chopdar, P.K.; Balakrishnan, J. Consumers response towards mobile commerce applications: SOR approach. Int. J. Inf. Manag. 2020, 53, 102106. [Google Scholar] [CrossRef]
- Çera, G.; Ndoka, M.; Dika, I.; Çera, E. Examining the Impact of COVID-19 on Entrepreneurial Intention through a Stimulus-Organism-Response Perspective. Adm. Sci. 2022, 12, 184. [Google Scholar] [CrossRef]
- Hasan, S.M.; Khan, E.A.; Nabi, M.N.U. Entrepreneurial education at university level and entrepreneurship development. Educ. Train. 2017, 59, 888–906. [Google Scholar] [CrossRef]
- Izedonmi, P.F.; Okafor, C. The effect of entrepreneurship education on students’ entrepreneurial intentions. Glob. J. Manag. Bus. Res. 2010, 10, 49–60. [Google Scholar]
- ZAINAL, N.T.A.; YONG, K. Examining the digital entrepreneurship education effectiveness on soft skills among undergraduates. MANU J. Pus. Penataran Ilmu Dan Bhs. 2020, 31, 139–151. [Google Scholar] [CrossRef]
- Nowiński, W.; Haddoud, M.Y.; Lančarič, D.; Egerová, D.; Czeglédi, C. The impact of entrepreneurship education, entrepreneurial self-efficacy and gender on entrepreneurial intentions of university students in the Visegrad countries. Stud. High. Educ. 2019, 44, 361–379. [Google Scholar] [CrossRef]
- Ratten, V.; Usmanij, P. Entrepreneurship education: Time for a change in research direction? Int. J. Manag. Educ. 2021, 19, 100367. [Google Scholar] [CrossRef]
- Mukhtar, S.; Wardana, L.W.; Wibowo, A.; Narmaditya, B.S. Does entrepreneurship education and culture promote students’ entrepreneurial intention? The mediating role of entrepreneurial mindset. Cogent Educ. 2021, 8, 1918849. [Google Scholar] [CrossRef]
- Kraus, S.; Palmer, C.; Kailer, N.; Kallinger, F.L.; Spitzer, J. Digital entrepreneurship: A research agenda on new business models for the twenty-first century. Int. J. Entrep. Behav. Res. 2019, 25, 353–375. [Google Scholar] [CrossRef]
- Hassan, A.; Saleem, I.; Anwar, I.; Hussain, S.A. Entrepreneurial intention of Indian university students: The role of opportunity recognition and entrepreneurship education. Educ. Train. 2020, 62, 843–861. [Google Scholar] [CrossRef]
- Kumar, S.; Paray, Z.A.; Dwivedi, A.K. Student’s entrepreneurial orientation and intentions: A study across gender, academic background, and regions. High. Educ. Ski. Work-Based Learn. 2020, 11, 78–91. [Google Scholar] [CrossRef]
- Singh, R.; Kumar, V.; Singh, S.; Dwivedi, A.; Kumar, S. Measuring the impact of digital entrepreneurship training on entrepreneurial intention: The mediating role of entrepreneurial competencies. J. Work-Appl. Manag. 2023; ahead-of-print. [Google Scholar] [CrossRef]
- Kirzner, I.M. The alert and creative entrepreneur: A clarification. Small Bus. Econ. 2009, 32, 145–152. [Google Scholar] [CrossRef]
- Baron, R.A. Opportunity recognition as pattern recognition: How entrepreneurs “connect the dots” to identify new business opportunities. Acad. Manag. Perspect. 2006, 20, 104–119. [Google Scholar] [CrossRef]
- Chavoushi, Z.H.; Zali, M.R.; Valliere, D.; Faghih, N.; Hejazi, R.; Dehkordi, A.M. Entrepreneurial alertness: A systematic literature review. J. Small Bus. Entrep. 2021, 33, 123–152. [Google Scholar] [CrossRef]
- Li, Z.; Zhang, W.; Zhou, Y.; Kang, D.; Feng, B.; Zeng, Q.; Xu, L.; Zhang, M. College students’ entrepreneurial intention and alertness in the context of the COVID-19 pandemic. Sustainability 2022, 14, 7713. [Google Scholar] [CrossRef]
- Cui, J.; Bell, R. Behavioural entrepreneurial mindset: How entrepreneurial education activity impacts entrepreneurial intention and behaviour. Int. J. Manag. Educ. 2022, 20, 100639. [Google Scholar] [CrossRef]
- Tang, J.; Kacmar, K.M.; Busenitz, L. Entrepreneurial alertness in the pursuit of new opportunities. J. Bus. Ventur. 2012, 27, 77–94. [Google Scholar] [CrossRef]
- Awwad, M.S.; Al-Aseer, R.M.N. Big five personality traits impact on entrepreneurial intention: The mediating role of entrepreneurial alertness. Asia Pac. J. Innov. Entrep. 2021, 15, 87–100. [Google Scholar] [CrossRef]
- Samo, A.H.; Hashim, N. The impact of entrepreneurial alertness on entrepreneurial intentions. J. Int. Bus. Res. Mark. 2016, 1, 7–11. [Google Scholar] [CrossRef]
- Ugwueze, A.U.; Ike, O.O.; Ugwu, L. Responding to social change: Innovativeness, entrepreneurial alertness, and entrepreneurial intention in Nigeria: The role of family support. Entrep. Educ. 2022, 5, 465–485. [Google Scholar] [CrossRef]
- Saoula, O.; Shamim, A.; Ahmad, M.J.; Abid, M.F. Do entrepreneurial self-efficacy, entrepreneurial motivation, and family support enhance entrepreneurial intention? The mediating role of entrepreneurial education. Asia Pac. J. Innov. Entrep. 2023, 17, 20–45. [Google Scholar] [CrossRef]
- Johnson, B.R. Toward a multidimensional model of entrepreneurship: The case of achievement motivation and the entrepreneur. Entrep. Theory Pract. 1990, 14, 39–54. [Google Scholar] [CrossRef]
- Carsrud, A.; Brännback, M. Entrepreneurial motivations: What do we still need to know? J. Small Bus. Manag. 2011, 49, 9–26. [Google Scholar] [CrossRef]
- Fayolle, A.; Liñán, F.; Moriano, J.A. Beyond entrepreneurial intentions: Values and motivations in entrepreneurship. Int. Entrep. Manag. J. 2014, 10, 679–689. [Google Scholar] [CrossRef]
- Alam, M.Z.; Kousar, S.; Rehman, C.A. Role of Entrepreneurial Motivation on Entrepreneurial Intentions and Behaviour: Theory of Planned Behaviour Extension on Engineering Students in Pakistan. J. Glob. Entrep. Res. 2019, 9, 50. [Google Scholar] [CrossRef]
- Thoudam, P.; Anwar, I.; Bino, E.; Thoudam, M.; Chanu, A.M.; Saleem, I. Passionate, motivated and creative yet not starting up: A moderated-moderation approach with entrepreneurship education and fear of failure as moderators. Ind. High. Educ. 2023, 37, 294–308. [Google Scholar] [CrossRef]
- Anwar, I.; Alalyani, W.R.; Thoudam, P.; Khan, R.; Saleem, I. The role of entrepreneurship education and inclination on the nexus of entrepreneurial motivation, individual entrepreneurial orientation and entrepreneurial intention: Testing the model using moderated-mediation approach. J. Educ. Bus. 2022, 97, 531–541. [Google Scholar] [CrossRef]
- Barba-Sánchez, V.; Atienza-Sahuquillo, C. Entrepreneurial motivation and self-employment: Evidence from expectancy theory. Int. Entrep. Manag. J. 2017, 13, 1097–1115. [Google Scholar] [CrossRef]
- Pham, M.; Nguyen, A.T.T.; Tran, D.T.; Mai, T.T.; Nguyen, V.T. The impact of entrepreneurship knowledge on students’e-entrepreneurial intention formation and the moderating role of technological innovativeness. J. Innov. Entrep. 2023, 12, 80. [Google Scholar] [CrossRef]
- Sang, D.; Lin, J. How does entrepreneurial education influence the entrepreneurial intention of college students: The moderating and mediating effects of entrepreneurial alertness. Int. J. Emerg. Technol. Learn. 2019, 14, 139. [Google Scholar] [CrossRef]
- Gimeno, J.; Folta, T.B.; Cooper, A.C.; Woo, C.Y. Survival of the fittest? Entrepreneurial human capital and the persistence of underperforming firms. Adm. Sci. Q. 1997, 42, 750–783. [Google Scholar] [CrossRef]
- Santos, S.C.; Costa, S.F.; Neumeyer, X.; Caetano, A. Bridging entrepreneurial cognition research and entrepreneurship education: What and how. In Annals of Entrepreneurship Education and Pedagogy–2016; Edward Elgar Publishing: Cheltenham, UK, 2016; pp. 83–108. ISBN 1-78471-916-1. [Google Scholar]
- Naveed, M.; Zia, M.Q.; Younis, S.; Shah, Z.A. Relationship of individual social entrepreneurial orientations and intentions: Role of social entrepreneurship education. Asia Pac. J. Innov. Entrep. 2021, 15, 39–50. [Google Scholar] [CrossRef]
- Otache, I.; Edopkolor, J.E.; Sani, I.A.; Umar, K. Entrepreneurship education and entrepreneurial intentions: Do entrepreneurial self-efficacy, alertness and opportunity recognition matter? Int. J. Manag. Educ. 2024, 22, 100917. [Google Scholar] [CrossRef]
- Urban, B. Entrepreneurial alertness, self-efficacy and social entrepreneurship intentions. J. Small Bus. Enterp. Dev. 2020, 27, 489–507. [Google Scholar] [CrossRef]
- Adeel, S.; Daniel, A.D.; Botelho, A. The effect of entrepreneurship education on the determinants of entrepreneurial behaviour among higher education students: A multi-group analysis. J. Innov. Knowl. 2023, 8, 100324. [Google Scholar] [CrossRef]
- Ho, M.-H.R.; Uy, M.A.; Kang, B.N.Y.; Chan, K.-Y. Impact of Entrepreneurship Training on Entrepreneurial Efficacy and Alertness among Adolescent Youth. Front. Educ. 2018, 3, 13. [Google Scholar] [CrossRef]
- Saadat, S.; Aliakbari, A.; Alizadeh Majd, A.; Bell, R. The effect of entrepreneurship education on graduate students’ entrepreneurial alertness and the mediating role of entrepreneurial mindset. Educ. Train. 2021, 64, 892–909. [Google Scholar] [CrossRef]
- Mand, H.S.; Atri, M.; Gill, A. Influence of unemployment and education on women’s intentions to start e-entrepreneurship: Evidence from Indian survey data. Int. J. Entrep. Small Bus. 2018, 35, 203–219. [Google Scholar] [CrossRef]
- Martin, B.C.; McNally, J.J.; Kay, M.J. Examining the formation of human capital in entrepreneurship: A meta-analysis of entrepreneurship education outcomes. J. Bus. Ventur. 2013, 28, 211–224. [Google Scholar] [CrossRef]
- Yordanova, D.; Filipe, J.A.; Pacheco Coelho, M. Technopreneurial intentions among Bulgarian STEM students: The role of university. Sustainability 2020, 12, 6455. [Google Scholar] [CrossRef]
- Bae, T.J.; Qian, S.; Miao, C.; Fiet, J.O. The relationship between entrepreneurship education and entrepreneurial intentions: A meta–analytic review. Entrep. Theory Pract. 2014, 38, 217–254. [Google Scholar] [CrossRef]
- Martínez-Gregorio, S.; Badenes-Ribera, L.; Oliver, A. Effect of entrepreneurship education on entrepreneurship intention and related outcomes in educational contexts: A meta-analysis. Int. J. Manag. Educ. 2021, 19, 100545. [Google Scholar] [CrossRef]
- MacKinnon, D.P.; Coxe, S.; Baraldi, A.N. Guidelines for the Investigation of Mediating Variables in Business Research. J. Bus. Psychol. 2012, 27, 1–14. [Google Scholar] [CrossRef]
- Solesvik, M.Z. Entrepreneurial motivations and intentions: Investigating the role of education major. Educ. Train. 2013, 55, 253–271. [Google Scholar] [CrossRef]
- Farhangmehr, M.; Gonçalves, P.; Sarmento, M. Predicting entrepreneurial motivation among university students: The role of entrepreneurship education. Educ. Train. 2016, 58, 861–881. [Google Scholar] [CrossRef]
- Khalili, B.; Tojari, F.; Rezaei, M. The Impact of an Entrepreneurship Training Course on the Development of Entrepreneurial FeaturesThe Impact of an Entrepreneurship Training Course on the Development of Entrepreneurial Features. Eur. Acad. Res. 2014, 2, 11942–11953. [Google Scholar]
- Bhunia, A.K.; Shome, M.K. An Empirical Comparative Study Between the Theory of Planned Behavior and Psychological Capital in Predicting Entrepreneurial Intention. J. Syst. Manag. Sci. 2023, 13, 447–468. [Google Scholar]
- Boomsma, A. On the Robustness of LISREL (Maximum Likelihood Estimation) against Small Sample Size and Nonnormality; University of Groningen: Groningen, The Netherlands, 1983. [Google Scholar]
- Kline, R.B. Principles and Practice of Structural Equation Modeling, 3rd ed.; Guilford Press: New York, NY, USA, 2011. [Google Scholar]
- Nicolaou, A.I.; Masoner, M.M. Sample size requirements in structural equation models under standard conditions. Int. J. Account. Inf. Syst. 2013, 14, 256–274. [Google Scholar] [CrossRef]
- Vejayaratnam, N.; Paramasivam, T.; Mustakim, S.S. Digital entrepreneurial intention among private technical and vocational education (TVET) Students. Int. J. Acad. Res. Bus. Soc. Sci. 2019, 9, 110–120. [Google Scholar]
- Denanyoh, R.; Adjei, K.; Nyemekye, G.E. Factors that impact on entrepreneurial intention of tertiary students in Ghana. Int. J. Bus. Soc. Res. 2015, 5, 19–29. [Google Scholar]
- Hassan, H.; Sade, A.B.; Rahman, M.S. Shaping entrepreneurial intention among youngsters in Malaysia. J. Humanit. Appl. Soc. Sci. 2020, 2, 235–251. [Google Scholar] [CrossRef]
- Bullough, A.; Renko, M.; Myatt, T. Danger zone entrepreneurs: The importance of resilience and self–efficacy for entrepreneurial intentions. Entrep. Theory Pract. 2014, 38, 473–499. [Google Scholar] [CrossRef]
- Carr, J.C.; Sequeira, J.M. Prior family business exposure as intergenerational influence and entrepreneurial intent: A theory of planned behavior approach. J. Bus. Res. 2007, 60, 1090–1098. [Google Scholar] [CrossRef]
- Croson, R.; Gneezy, U. Gender differences in preferences. J. Econ. Lit. 2009, 47, 448–474. [Google Scholar] [CrossRef]
- Gujrati, D.R.; Tyagi, D.V.; Lawan, L.A. Family Financial Status and Students’ Entrepreneurial Intention: The Mediatory Role of Entrepreneurship Education. J. Manag. 2019, 10, 6–9. [Google Scholar] [CrossRef]
- Shirokova, G.; Osiyevskyy, O.; Bogatyreva, K. Exploring the intention–behavior link in student entrepreneurship: Moderating effects of individual and environmental characteristics. Eur. Manag. J. 2016, 34, 386–399. [Google Scholar] [CrossRef]
- Cohen, J.; Cohen, P.; West, S.G.; Aiken, L.S. Applied Multiple Regression/Correlation Analysis for the Behavioral Sciences; Taylor & Francis: Abingdon, UK, 2014. [Google Scholar] [CrossRef]
- Kline, R.B. Principles and Practice of Structural Equation Modeling, 4th ed.; Guilford Publications: New York, NY, USA, 2015. [Google Scholar]
- Roy, R.; Akhtar, F.; Das, N. Entrepreneurial intention among science & technology students in India: Extending the theory of planned behavior. Int. Entrep. Manag. J. 2017, 13, 1013–1041. [Google Scholar]
- Lynch, S.M. Cohort and life-course patterns in the relationship between education and health: A hierarchical approach. Demography 2003, 40, 309–331. [Google Scholar] [CrossRef]
- Byrne, B.M. Structural Equation Modeling with AMOS: Basic Concepts, Applications, and Programming, 2nd ed.; Routledge: New York, NY, USA, 2013; ISBN 978-0-203-80553-4. [Google Scholar]
- Hair, J.; Black, W.C.; Babin, B.J.; Anderson, R.E. Multivariate Data Analysis, 7th ed.; Pearson Educational International: Upper Saddle River, NJ, USA, 2010. [Google Scholar]
- MacKenzie, S.B.; Podsakoff, P.M. Common Method Bias in Marketing: Causes, Mechanisms, and Procedural Remedies. J. Retail. 2012, 88, 542–555. [Google Scholar] [CrossRef]
- Harman, H.H. Modern Factor Analysis, 3rd ed.; U Chicago Press: Oxford, UK, 1976; pp. xx, 487. [Google Scholar]
- Hair, J.F.; Black, W.; Babin, B.; Anderson, R. Multivariate data analysis (8. Baskı). Eight Ed. Cengage Learn. EMEA. 2019. Available online: https://books.google.iq/books/about/Multivariate_Data_Analysis.html?id=0R9ZswEACAAJ&redir_esc=y (accessed on 5 April 2024).
- Trivedi, R.; Pattusamy, M. Performance pressure and innovative work behaviour: The role of problem-orientated daydreams. IIMB Manag. Rev. 2022, 34, 333–345. [Google Scholar] [CrossRef]
- Anderson, J.C.; Gerbing, D.W. Structural equation modeling in practice: A review and recommended two-step approach. Psychol. Bull. 1988, 103, 411. [Google Scholar] [CrossRef]
- Henseler, J.; Ringle, C.M.; Sinkovics, R.R. The use of partial least squares path modeling in international marketing. In New Challenges to International Marketing; Emerald Group Publishing Limited: Bingley, UK, 2009; ISBN 1-84855-468-0. [Google Scholar]
- Chin, W.W.; Gopal, A.; Salisbury, W.D. Advancing the theory of adaptive structuration: The development of a scale to measure faithfulness of appropriation. Inf. Syst. Res. 1997, 8, 342–367. [Google Scholar] [CrossRef]
- Doll, W.J.; Xia, W.; Torkzadeh, G. A confirmatory factor analysis of the end-user computing satisfaction instrument. MIS Q. 1994, 18, 453–461. [Google Scholar] [CrossRef]
- Wheaton, B.; Muthen, B.; Alwin, D.F.; Summers, G.F. Assessing reliability and stability in panel models. Sociol. Methodol. 1977, 8, 84–136. [Google Scholar] [CrossRef]
- Shevlin, M.; Miles, J.N. Effects of sample size, model specification and factor loadings on the GFI in confirmatory factor analysis. Personal. Individ. Differ. 1998, 25, 85–90. [Google Scholar] [CrossRef]
- Hu, L.; Bentler, P.M. Cutoff criteria for fit indexes in covariance structure analysis: Conventional criteria versus new alternatives. Struct. Equ. Model. A Multidiscip. J. 1999, 6, 1–55. [Google Scholar] [CrossRef]
- MacCallum, R.C.; Browne, M.W.; Sugawara, H.M. Power analysis and determination of sample size for covariance structure modeling. Psychol. Methods 1996, 1, 130. [Google Scholar] [CrossRef]
- Bagozzi, R.P.; Yi, Y. On the evaluation of structural equation models. J. Acad. Mark. Sci. 1988, 16, 74–94. [Google Scholar] [CrossRef]
- Gefen, D.; Straub, D.; Boudreau, M.-C. Structural equation modeling and regression: Guidelines for research practice. Commun. Assoc. Inf. Syst. 2000, 4, 7. [Google Scholar] [CrossRef]
- Elnadi, M.; Gheith, M.H. The role of individual characteristics in shaping digital entrepreneurial intention among university students: Evidence from Saudi Arabia. Think. Ski. Creat. 2023, 47, 101236. [Google Scholar] [CrossRef]
- Fornell, C.; Larcker, D.F. Evaluating structural equation models with unobservable variables and measurement error. J. Mark. Res. 1981, 18, 39–50. [Google Scholar] [CrossRef]
- Biswas, A.; Verma, R.K. Attitude and alertness in personality traits: A pathway to building entrepreneurial intentions among university students. J. Entrep. 2021, 30, 367–396. [Google Scholar] [CrossRef]
- MacKinnon, D.P.; Lockwood, C.M.; Williams, J. Confidence limits for the indirect effect: Distribution of the product and resampling methods. Multivar. Behav. Res. 2004, 39, 99–128. [Google Scholar] [CrossRef]
- Little, T.D.; Card, N.A.; Bovaird, J.A.; Preacher, K.J.; Crandall, C.S. Structural equation modeling of mediation and moderation with contextual factors. Model. Context. Eff. Longitud. Stud. 2007, 1, 207–230. [Google Scholar]
- Yang, Y.; Sun, L.; Han, B.; Liu, P. The Trajectory of Anthropomorphism and Pro-Environmental Behavior: A Serial Mediation Model. Int. J. Environ. Res. Public Health 2023, 20, 2393. [Google Scholar] [CrossRef]
- Hu, R.; Wang, L.; Zhang, W.; Bin, P. Creativity, proactive personality, and entrepreneurial intention: The role of entrepreneurial alertness. Front. Psychol. 2018, 9, 951. [Google Scholar] [CrossRef]
- McMullen, J.S.; Shepherd, D.A. Entrepreneurial action and the role of uncertainty in the theory of the entrepreneur. Acad. Manag. Rev. 2006, 31, 132–152. [Google Scholar] [CrossRef]
- Hassan, A.; Anwar, I.; Saleem, A.; Alalyani, W.R.; Saleem, I. Nexus between entrepreneurship education, motivations, and intention among Indian university students: The role of psychological and contextual factors. Ind. High. Educ. 2022, 36, 539–555. [Google Scholar] [CrossRef]
- Iffan, M. “Impact of Entrepreneurial Motivation on Entrepreneurship Intention”, Proceedings of the International Conference on Business, Economic, Social Science and Humanities (ICOBEST 2018), Bandung, Indonesia, 22 November 2018; Atlantis Press: Amsterdam, The Netherlands, 2018; pp. 208–211. [Google Scholar]
- Kim-Soon, N. Entrepreneurial Motivation and Entrepreneurship Career Intention: Case at a Malaysian Public University. Crafting Glob. Compet. Econ. 2014, 2020, 1001–1011. [Google Scholar]
- Schediwy, L.; Loots, E.; Bhansing, P. With their feet on the ground: A quantitative study of music students’ attitudes towards entrepreneurship education. J. Educ. Work 2018, 31, 611–627. [Google Scholar] [CrossRef]
- Ahmad, A.; Albarrak, M.S.; Akhtar, S.; Akram, H.W. Sustainable development and Saudi vision 2030: Entrepreneurial orientation of students toward E-businesses and proposed model of “virtual business incubator” for SEU. Educ. Res. Int. 2023, 2023, 6106580. [Google Scholar] [CrossRef]
- Puni, A.; Anlesinya, A.; Korsorku, P.D.A. Entrepreneurial education, self-efficacy and intentions in Sub-Saharan Africa. Afr. J. Econ. Manag. Stud. 2018, 9, 492–511. [Google Scholar] [CrossRef]
- Otache, I.; Edopkolor, J.E.; Okolie, U.C. Entrepreneurial self-confidence, perceived desirability and feasibility of hospitality business and entrepreneurial intentions of hospitality management technology students. Int. J. Manag. Educ. 2021, 19, 100507. [Google Scholar] [CrossRef]
- Lee, S.S.; Osteryoung, J.S. A comparison of critical success factors for effective operations of university business incubators in the United States and Korea. J. Small Bus. Manag. 2004, 42, 418–426. [Google Scholar] [CrossRef]
- Hassan, N.A. University business incubators as a tool for accelerating entrepreneurship: Theoretical perspective. Rev. Econ. Political Sci. 2020; ahead-of-print. [Google Scholar]
- Darmanto, S.; Darmawan, D.; Ekopriyono, A.; Dhani, A.U. Development of digital entrepreneurial intention model in Uncertain Era. Uncertain Supply Chain. Manag. 2022, 10, 1091–1102. [Google Scholar] [CrossRef]
- Le Dinh, T.; Vu, M.C.; Ayayi, A. Towards a living lab for promoting the digital entrepreneurship process. Int. J. Entrep. 2018, 22, 1–17. [Google Scholar]
- Feder, E.-S.; Niţu-Antonie, R.-D. Connecting gender identity, entrepreneurial training, role models and intentions. Int. J. Gend. Entrep. 2017, 9, 87–108. [Google Scholar] [CrossRef]


| Dimensions | Category | Frequency | Percentage |
|---|---|---|---|
| Age | 19–21 | 153 | 69.20 |
| 22–24 | 67 | 30.30 | |
| 25 | 01 | 0.50 | |
| Gender | Male | 170 | 76.90 |
| Female | 51 | 23.10 | |
| Employment | Full-time student | 194 | 87.80 |
| Part-time job | 14 | 6.30 | |
| In-campus job | 06 | 2.70 | |
| Full-time job | 07 | 3.20 | |
| Enrollment Status | Freshman | 20 | 09 |
| Junior | 55 | 24 | |
| Sophomore | 56 | 25 | |
| Senior | 90 | 40 | |
| Student Type | International | 18 | 08 |
| Domestic | 203 | 91 | |
| Family Business | Yes | 63 | 28.50 |
| No | 158 | 71.50 | |
| Monthly Family Income | Less than 2000 SR | 08 | 3.60 |
| 2000–5999 SR | 09 | 4.10 | |
| 6000–9999 SR | 22 | 10.00 | |
| 10,000–15,000 SR | 33 | 14.90 | |
| More than 15,000 SR | 149 | 67.40 |
| Fit Indices | Recommended Value | Source | Obtain Value |
|---|---|---|---|
| CMIN/df | 1–4 | [123] | 1.843 |
| GFI | >0.90 | [124] | 0.862 |
| TLI | >0.90 | [125] | 0.922 |
| CFI | >0.90 | [125] | 0.931 |
| RMSEA | <0.08 | [126] | 0.061 |
| Construct | Item | Factor Loadings | CR | AVE | Cronbach’s α |
|---|---|---|---|---|---|
| DEI | DEI_1 | 0.656 | 0.861 | 0.555 | 0.859 |
| DEI_2 | 0.805 | ||||
| DEI_3 | 0.783 | ||||
| DEI_4 | 0.745 | ||||
| DEI_5 | 0.726 | ||||
| DEA | DEA_2 | 0.666 | 0.917 | 0.554 | 0.891 |
| DEA_4 | 0.750 | ||||
| DEA_5 | 0.795 | ||||
| DEA_6 | 0.788 | ||||
| DEA_7 | 0.791 | ||||
| DEA_8 | 0.780 | ||||
| DEA_9 | 0.696 | ||||
| DEA_10 | 0.659 | ||||
| DEA_11 | 0.757 | ||||
| DEM | DEM_1 | 0.753 | 0.863 | 0.557 | 0.862 |
| DEM_2 | 0.757 | ||||
| DEM_3 | 0.714 | ||||
| DEM_4 | 0.764 | ||||
| DEM_5 | 0.743 | ||||
| DEE | DEE_1 | 0.696 | 0.805 | 0.509 | 0.776 |
| DEE_2 | 0.766 | ||||
| DEE_3 | 0.736 | ||||
| DEE_5 | 0.652 | ||||
| Constructs | DEI | DEA | DEM | DEE |
|---|---|---|---|---|
| DEI | 0.745 | |||
| DEA | 0.602 | 0.744 | ||
| DEM | 0.561 | 0.425 | 0.746 | |
| DEE | 0.636 | 0.584 | 0.398 | 0.714 |
| Fit Indices | Recommended Value | Source | Obtain Value |
|---|---|---|---|
| CMIN/df | 1–4 | [123] | 1.458 |
| GFI | >0.90 | [124] | 0.854 |
| TLI | >0.90 | [125] | 0.917 |
| CFI | >0.90 | [125] | 0.930 |
| RMSEA | <0.08 | [126] | 0.045 |
| Path | Direct Effect | p Value | Indirect Effect | p Value | ||
|---|---|---|---|---|---|---|
| β | 95% CI LLCI ULCI | β | 95% CI LLCI ULCI | |||
| DEE ⟶ DEI | 0.324 | [0.093, 0.549] | 0.006 | |||
| DEA ⟶ DEI | 0.278 | [0.063, 0.497] | 0.011 | |||
| DEM ⟶ DEI | 0.333 | [0.140, 0.513] | <0.001 | |||
| DEE ⟶ DEA ⟶ DEI | 0.166 | [0.045, 0.339] | 0.007 | |||
| DEE ⟶ DEM ⟶ DEI | 0.083 | [0.011, 0.199] | 0.025 | |||
| DEE ⟶ DEA ⟶ DEM ⟶ DEI | 0.057 | [0.010, 0.170] | 0.010 | |||
Disclaimer/Publisher’s Note: The statements, opinions and data contained in all publications are solely those of the individual author(s) and contributor(s) and not of MDPI and/or the editor(s). MDPI and/or the editor(s) disclaim responsibility for any injury to people or property resulting from any ideas, methods, instructions or products referred to in the content. |
© 2024 by the authors. Licensee MDPI, Basel, Switzerland. This article is an open access article distributed under the terms and conditions of the Creative Commons Attribution (CC BY) license (https://creativecommons.org/licenses/by/4.0/).
Share and Cite
Alzahrani, S.; Bhunia, A.K. A Serial Mediation Model of the Relationship between Digital Entrepreneurial Education, Alertness, Motivation, and Intentions. Sustainability 2024, 16, 8858. https://doi.org/10.3390/su16208858
Alzahrani S, Bhunia AK. A Serial Mediation Model of the Relationship between Digital Entrepreneurial Education, Alertness, Motivation, and Intentions. Sustainability. 2024; 16(20):8858. https://doi.org/10.3390/su16208858
Chicago/Turabian StyleAlzahrani, Saeed, and Anish Kumar Bhunia. 2024. "A Serial Mediation Model of the Relationship between Digital Entrepreneurial Education, Alertness, Motivation, and Intentions" Sustainability 16, no. 20: 8858. https://doi.org/10.3390/su16208858
APA StyleAlzahrani, S., & Bhunia, A. K. (2024). A Serial Mediation Model of the Relationship between Digital Entrepreneurial Education, Alertness, Motivation, and Intentions. Sustainability, 16(20), 8858. https://doi.org/10.3390/su16208858

