Effect of Plow Pan on the Redistribution Dynamics of Water and Nutrient Transport in Soils
Abstract
1. Introduction
2. Materials and Methods
2.1. Soil
2.2. Soil Column Leaching Experiment
2.3. Physical and Chemical Analyses
2.4. Data Statistics
3. Results
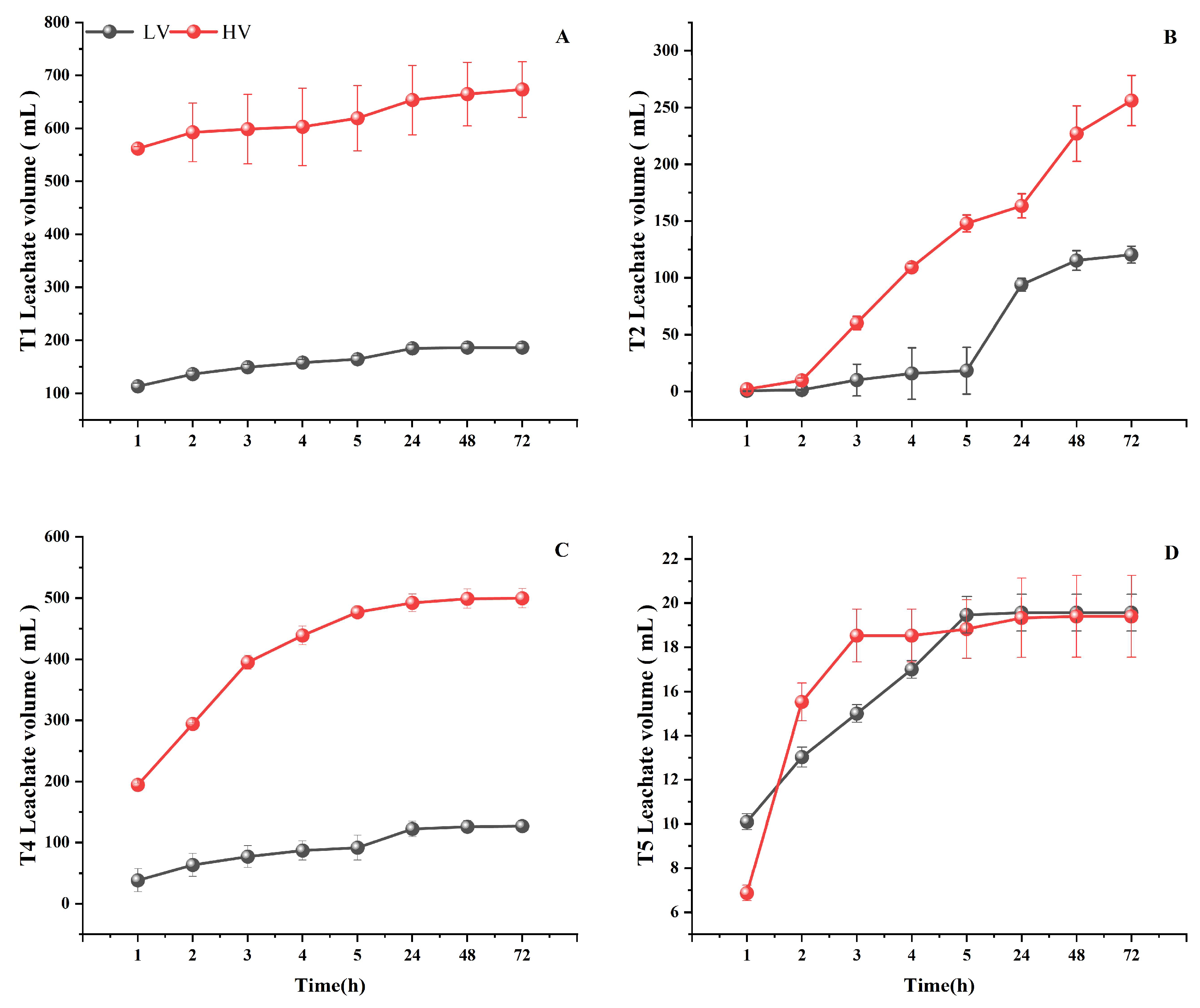
3.1. Effect of the Height and Bulk Density of Plow Pan on Leachate Volumes
3.2. Effect of Soil Bulk Density on Nutrient Concentrations in the Leachate
3.3. Nutrient Contents in Different Soil Layers
3.4. Redundancy Analysis
4. Discussion
4.1. Effect of Plow Pan on Leachate Volume and Nutrient Concentrations
4.2. Effect of Plow Pan on Nutrient Distribution in Soil Layers
5. Conclusions
Supplementary Materials
Author Contributions
Funding
Institutional Review Board Statement
Informed Consent Statement
Data Availability Statement
Conflicts of Interest
References
- Asenso, E.; Zhang, L.Y.; Tang, L.M.; Issaka, F.; Tian, K.; Li, J.H.; Hu, L. Moldboard plowing with direct seeding improves soil properties and sustainable productivity in ratoon rice farmland in southern China. Sustainability 2019, 11, 6499. [Google Scholar] [CrossRef]
- Yue, J.K.; Zhang, C.; Guo, J.X.; Xu, X.Q.; Li, Q.Y. Effects of different tillage methods on soil physical and chemical properties and crop growth. Xinjiang Agric. Mech. 2015, 5, 15–18. (In Chinese) [Google Scholar] [CrossRef]
- Qin, C.; Zheng, F.; Wells, R.R.; Xu, X.; Wang, B.; Zhong, K. A laboratory study of channel sidewall expansion in upland concentrated flows. Soil Till. Res. 2018, 178, 22–31. [Google Scholar] [CrossRef]
- Kim, H.M.; Anderson, S.; Motavalli, P.; Gantzer, C. Compaction effects on soil macropore geometry and related parameters for an arable field. Geoderma 2010, 160, 244–251. [Google Scholar] [CrossRef]
- Lipiec, J.; Czyz, E.A.; Dexter, A.R.; Siczek, A. Effects of soil deformation on clay dispersion in loess soil. Soil Till. Res. 2018, 184, 203–206. [Google Scholar] [CrossRef]
- Zhuo, Z.; Xing, A.; Cao, M.; Li, Y.; Zhao, Y.; Guo, X.; Huang, Y. Identifying the position of the compacted layer by measuring soil penetration resistance in a dryland farming region in Northeast China. Soil Use Manag. 2020, 36, 494–506. [Google Scholar] [CrossRef]
- Simsek, U.; Shein, E.V.; Mikailsoy, F.; Bolotov, A.G.; Erdel, E. Subsoil Compaction: The intensity of manifestation in silty clayey calcic pantofluvic fluvisols of the idr region (eastern Turkey). Eur. Soil Sci. 2019, 52, 296–299. [Google Scholar] [CrossRef]
- Sharpley, A.N.; Menzel, R.G. The impact of soil and fertilizer phosphorus on the environment. Adv. Agron. 1987, 41, 297–324. [Google Scholar] [CrossRef]
- Medvedev, V.V. Physical properties and spatial distribution of the plow pan in different arable soils. Eurasian Soil Sci. 2011, 44, 1364–1372. [Google Scholar] [CrossRef]
- McGrath, D.; Henry, J. Organic amendments decrease bulk density and improve tree establishment and growth in roadside plantings. Urban For. Urban Green. 2016, 20, 120–127. [Google Scholar] [CrossRef]
- Suzuki, L.E.A.S.; Reichert, J.M.; Reinert, D.J. Degree of compactness, soil physical properties and yield of soybean in six soils under no-tillage. Soil Res. 2013, 51, 311–321. [Google Scholar] [CrossRef]
- Singh, K.; Singh, M.; Mishra, S.; Soufan, W.; Habib-ur-Rahman, M.; El Sabagh, A. Reduced tillage and subsurface fertigation improve productivity and economic benefits in the cotton-wheat cropping system. Front. Sustain. Food Syst. 2023, 7, 1185805. [Google Scholar] [CrossRef]
- Younesi Alamooti, M.; Navabzadeh, M. Investigation of plowing depth effect on some soil physical properties. Pak. J. Biol. Sci. 2008, 10, 4510–4514. [Google Scholar] [CrossRef][Green Version]
- Li, Y.; Zhai, Z.; Cong, P.; Zhang, Y.; Pang, H.; Dong, G.; Gao, J. Effect of plough pan thickness on crop growth parameters, nitrogen uptake and greenhouse gas (CO2 and N2O) emissions in a wheat-maize double-crop rotation in the Northern China plain: A one-year study. Agric. Water Manag. 2019, 213, 534–545. [Google Scholar] [CrossRef]
- Colombani, N.; Mastrocicco, M.; Di Giuseppe, D.; Faccini, B.; Coltorti, M. Batch and column experiments on nutrient leaching in soils amended with Italian natural zeolitites. Geoderma 2015, 267, 12–23. [Google Scholar] [CrossRef]
- Bender, S.F.; van der Heijden, M.G.A. Soil biota enhance agricultural sustainability by improving crop yield, nutrient uptake, and reducing nitrogen leaching losses. J. Appl. Ecol. 2014, 51, 1317–1325. [Google Scholar] [CrossRef]
- Czyż, E.A. Effects of traffic on soil aeration, bulk density and growth of spring barley. Soil Tillage Res. 2004, 79, 153–166. [Google Scholar] [CrossRef]
- Hamoud, Y.A.; Guo, X.; Wang, Z.; Shaghaleh, H.; Chen, S.; Hassan, A.; Bakour, A. Effects of irrigation regime and soil clay content and their interaction on the biological yield, nitrogen uptake and nitrogen-use efficiency of rice grown in southern China. Agric. Water Manag. 2019, 213, 934–946. [Google Scholar] [CrossRef]
- Seneviratne, S.; Corti, T.; Davin, E.; Hirschi, M.; Jaeger, E.; Lehner, I.; Orlowsky, B.; Teuling, A. Investigating soil moisture-climate interactions in a changing climate: A review. Earth-Sci. Rev. 2010, 99, 125–161. [Google Scholar] [CrossRef]
- Bruulsema, T. Managing nutrients to mitigate soil pollution. Environ. Pollut. 2018, 243, 1602–1605. [Google Scholar] [CrossRef]
- Bronick, C.; Lal, R. Soil structure and management: A review. Geoderma 2005, 124, 3–22. [Google Scholar] [CrossRef]
- Zhou, H.; Xu, W.; Wang, J.; Li, R. A simple method for soil particle size analysis. Soil Fertil. Stn. Zhejiang Prov. Hangzhou 2009, 310020, 964–965. (In Chinese) [Google Scholar]
- Bao, S.D. Soil Agrochemical Analysis; China Agricultural Press: Beijing, China, 2000. [Google Scholar]
- Ministry of Ecology and Environment of the People’s Republic of China. Soil—Determination of Particle Size Distribution—Pipette Method and Hydrometer Method; HJ 1068-2019; Ministry of Ecology and Environment of the People’s Republic of China: Beijing, China, 2020. (In Chinese) [Google Scholar]
- Thiex, N. Determination of nitrogen, phosphorus, and potassium release rates of slow- and controlled-release fertilizers: Single-laboratory validation. J. AOAC Int. 2024, 99, 353–359. [Google Scholar] [CrossRef] [PubMed]
- Chang, F.; Gao, F.S.; Hong, M.; Wu, Y.; Li, Y.Q. Effects of fertilization measures on nitrogen leaching and maize yield in Hetao Irrigation District. Ecol. J. 2018, 37, 2951–2958. (In Chinese) [Google Scholar] [CrossRef]
- Kumar, A.; Shekhar, S.; Paul, A.; Patel, K.; Singh, R.; Mishra, N. Measurements and comparison of saturated hydraulic conductivity under different land uses. J. Inst. Eng. India Ser. A 2022, 103, 509–518. [Google Scholar] [CrossRef]
- Korenkova, L.; Urik, M. Soil moisture and its effect on bulk density and porosity of intact aggregates of three Mollic soils. Indian J. Agric. Sci. 2012, 82, 172–176. [Google Scholar] [CrossRef]
- Ren, C.J.; Zhao, Y.; Wang, J.H.; Bai, D.; Zhao, X.Y.; Tian, J.Y. Lateral hydraulic performance of subsurface drip irrigation based on spatial variability of soil: Simulation. Agric. Water Manag. 2017, 193, 232–239. [Google Scholar] [CrossRef]
- Ma, R.; Kou, T.; Cheng, X.; Yu, N. Long-term warming altered soil physical structure and soil organic carbon pools in wheatland field. Exp. Agric. 2024, 60, e1. [Google Scholar] [CrossRef]
- Pan, L.M.; Chen, Y.Y.; Xu, Y.; Li, J.; Lu, H.Z. A model for soil moisture content prediction based on the change in ultrasonic velocity and bulk density of tillage soil under alternating drying and wetting conditions. Measurement 2022, 189, 110459. [Google Scholar] [CrossRef]
- Jacoby, R.; Peukert, M.; Succurro, A.; Koprivova, A.; Kopriva, S. The role of soil microorganisms in plant mineral nutrition—Current knowledge and future directions. Front. Plant Sci. 2017, 8, 1617. [Google Scholar] [CrossRef]
- Chen, L.F.; He, Z.B.; Zhao, W.Z.; Liu, J.L.; Zhou, H.; Li, J.; Meng, Y.Y.; Wang, L.S. Soil structure and nutrient supply drive changes in soil microbial communities during conversion of virgin desert soil to irrigated cropland. Eur. J. Soil Sci. 2020, 71, 768–781. [Google Scholar] [CrossRef]
- Rovira, P.; Sauras-Yera, T.; Romanya, J. Equivalent-mass versus fixed-depth as criteria for quantifying soil carbon sequestration: How relevant is the difference? Catena 2022, 214, 106283. [Google Scholar] [CrossRef]
- Williamson, J.C.; Johnson, D. Conservation of mineral nitrogen in restored soils at opencast coal mine sites: II. The effects of inhibition of nitrification and organic amendments on nitrogen losses and soil microbial biomass. Eur. J. Soil Sci. 1994, 45, 319–326. [Google Scholar] [CrossRef]
- Guo, B.X.; Zhou, J.; Zhan, L.Q.; Wang, Z.Y.; Wu, W.; Liu, H.B. Spatial and temporal variability of soil ph, organic matter and available nutrients (N, P and K) in Southwestern China. Agronomy 2024, 14, 1796. [Google Scholar] [CrossRef]
- Min, O.J.; Kim, T.-h.; Lee, J.; Kim, J. Behavioral characteristics of phosphorus in sediments according to the forms of phosphorus. J. Ecol. Environ. 2015, 38, 319–326. [Google Scholar] [CrossRef]
- Kleinman, P.J.A. The persistent environmental relevance of soil phosphorus sorption saturation. Curr. Pollut. Rep. 2017, 3, 141–150. [Google Scholar] [CrossRef]
- van Doorn, M.; van Rotterdam, D.; Ros, G.; Koopmans, G.F.; Smolders, E.; de Vries, W. The phosphorus saturation degree as a universal agronomic and environmental soil P test. Crit. Rev. Environ. Sci. Technol. 2024, 54, 385–404. [Google Scholar] [CrossRef]
- Tian, P.; Lian, H.; Wang, Z.; Jiang, Y.; Li, C.; Sui, P.; Qi, H. Effects of deep and shallow tillage with straw incorporation on soil organic carbon, total nitrogen and enzyme activities in northeast China. Sustainability 2020, 12, 8679. [Google Scholar] [CrossRef]
- Oliveira, C.E.S.; Zoz, T.; Castagnara, D.D.; Zoz, A.; Mortinho, E.S.; Fernandes, G.C.; Sobrinho, R.L.; Faria, G.A. Growth of crambe under different soil bulk densities and water restriction. Russ. J. Plant Physiol. 2023, 70, 134–142. [Google Scholar] [CrossRef]
- Zhang, C.B.; Li, R.; Jiang, J.; Yang, Q.H. Morphological and pull-out mechanical properties of alfalfa roots in the seedling stage. J. Soil Sci. Plant Nutr. 2023, 23, 6754–6766. [Google Scholar] [CrossRef]
- Longepierre, M.; Conz, R.F.; Barthel, M.; Bru, D.; Philippot, L.; Six, J.; Hartmann, M. Mixed effects of soil compaction on the nitrogen cycle under pea and wheat. Front. Microbiol. 2022, 12, 822487. [Google Scholar] [CrossRef] [PubMed]
- Gao, Y.; Li, Z.; Sun, D.A.; Yu, H.H. A simple method for predicting the hydraulic properties of unsaturated soils with different void ratios. Soil Tillage Res. 2021, 209, 104913. [Google Scholar] [CrossRef]
- Reintam, E.; Kuht, J.; Loogus, H.; Nugis, E.; Trükmann, K. Soil compaction and fertilisation effects on nutrient content and cellular fluid pH of spring barley (Hordeum vulgare L.). Agron. Res. 2005, 3, 189–202. [Google Scholar]
- Zhang, X.D. Effects of Water-Nitrogen-Phosphorus Coupling on the Growth, Nutrient Distribution, and Fruit Quality of Main-Bearing Jujube Trees. Master’s Thesis, Tarim University, Alar, China, 2023. (In Chinese). [Google Scholar] [CrossRef]
- Phefadu, K.C.; Munjonji, L. Unearthing soil structure dynamics under long-term no-tillage system in clayey soils. Sustainability 2023, 15, 13478. [Google Scholar] [CrossRef]
- Wang, Y.; Li, A.; Cui, C.-W. Remediation of heavy metal-contaminated soils by electrokinetic technology: Mechanisms and applicability. Chemosphere 2020, 265, 129071. [Google Scholar] [CrossRef]
- Zhang, R.H.; Gong, M.; Yan, Y.J.; Ma, J.Y.; Zhang, H.W. The transformation and regulation of phosphorus in model compound and waste biomass from hydrothermal conversion. J. Environ. Chem. Eng. 2022, 10, 108754. [Google Scholar] [CrossRef]
- Zhao, Y.T.; Wang, H.Y.; Huang, H.; Xiao, Q.L.; Xu, Y.H.; Guo, Z.N.; Xie, H.H.; Shao, J.D.; Sun, Z.B.; Han, W.J.; et al. Surface coordination of black phosphorus for robust air and water stability. Angew. Chem. Int. Ed. 2016, 55, 5003–5007. [Google Scholar] [CrossRef]
- Wu, D.; Sun, K.; Jiao, J.; Zhang, W. The effects of struvite on biomass and soil phosphorus availability and uptake in Chinese cabbage, cowpea, and maize. Agronomy 2024, 14, 1852. [Google Scholar] [CrossRef]
- Wang, Q.; Qin, Z.; Sun, Z.; Zhang, S. Quantitative evaluation of the crop yield, soil-available phosphorus, and total phosphorus leaching caused by phosphorus fertilization: A meta-analysis. Agronomy 2023, 13, 2436. [Google Scholar] [CrossRef]
- Wu, X.; Du, E.; Guo, Y.; Xia, N.; Tang, Y.; Wang, Y.; Guo, H. Climate control of topsoil potassium, calcium, and magnesium concentrations in urban forests across eastern China. J. Geophys. Res. Biogeosci. 2021, 126, 2020JG006230. [Google Scholar] [CrossRef]
- Oliveira, R.H.; Rosolem, C.A.; Trigueiro, R.M. Importance of mass flow and diffusion on the potassium supply to cotton plants as affected by soil water and potassium. Rev. Bras. Ciênc. Solo 2024, 48, e0200171. [Google Scholar]







| Treatment | Height (cm) | Bulk Density (g cm−3) | Saturated Hydraulic Conductivity (cm s−1) | Porosity of Plow Pan (%) |
|---|---|---|---|---|
| T1 | 10 | 1.2 | 4.2 × 10−3 | 54.7 |
| T2 | 10 | 1.4 | 1.8 × 10−4 | 47.2 |
| T3 | 10 | 1.6 | / | 39.6 |
| T4 | 15 | 1.2 | 2.1 × 10−3 | 54.7 |
| T5 | 15 | 1.4 | 3.5 × 10−4 | 47.2 |
| T6 | 15 | 1.6 | / | 39.6 |
Disclaimer/Publisher’s Note: The statements, opinions and data contained in all publications are solely those of the individual author(s) and contributor(s) and not of MDPI and/or the editor(s). MDPI and/or the editor(s) disclaim responsibility for any injury to people or property resulting from any ideas, methods, instructions or products referred to in the content. |
© 2024 by the authors. Licensee MDPI, Basel, Switzerland. This article is an open access article distributed under the terms and conditions of the Creative Commons Attribution (CC BY) license (https://creativecommons.org/licenses/by/4.0/).
Share and Cite
Zhang, M.; Dai, S.; Gul, S.; He, L.; Chen, H.; Liu, D. Effect of Plow Pan on the Redistribution Dynamics of Water and Nutrient Transport in Soils. Sustainability 2024, 16, 8859. https://doi.org/10.3390/su16208859
Zhang M, Dai S, Gul S, He L, Chen H, Liu D. Effect of Plow Pan on the Redistribution Dynamics of Water and Nutrient Transport in Soils. Sustainability. 2024; 16(20):8859. https://doi.org/10.3390/su16208859
Chicago/Turabian StyleZhang, Meng’en, Shuting Dai, Saima Gul, Lizhi He, Hanbo Chen, and Dan Liu. 2024. "Effect of Plow Pan on the Redistribution Dynamics of Water and Nutrient Transport in Soils" Sustainability 16, no. 20: 8859. https://doi.org/10.3390/su16208859
APA StyleZhang, M., Dai, S., Gul, S., He, L., Chen, H., & Liu, D. (2024). Effect of Plow Pan on the Redistribution Dynamics of Water and Nutrient Transport in Soils. Sustainability, 16(20), 8859. https://doi.org/10.3390/su16208859
