Effects of Straw Return Duration on Soil Carbon Fractions and Wheat Yield in Rice–Wheat Cropping System
Abstract
1. Introduction
2. Materials and Methods
2.1. Experimental Site
2.2. Experimental Design
2.3. Sample Collection and Analytical Methods
2.4. Data Analysis
3. Results and Analysis
3.1. Soil Organic Carbon
3.2. Light and Heavy Fraction Organic Carbon
3.3. Particulate Organic Carbon and Mineral-Associated Organic Carbon
3.4. Changes in the Compound Annual Growth Rate of Organic Carbon and Its Components
3.5. Variability in SOC and Its Components
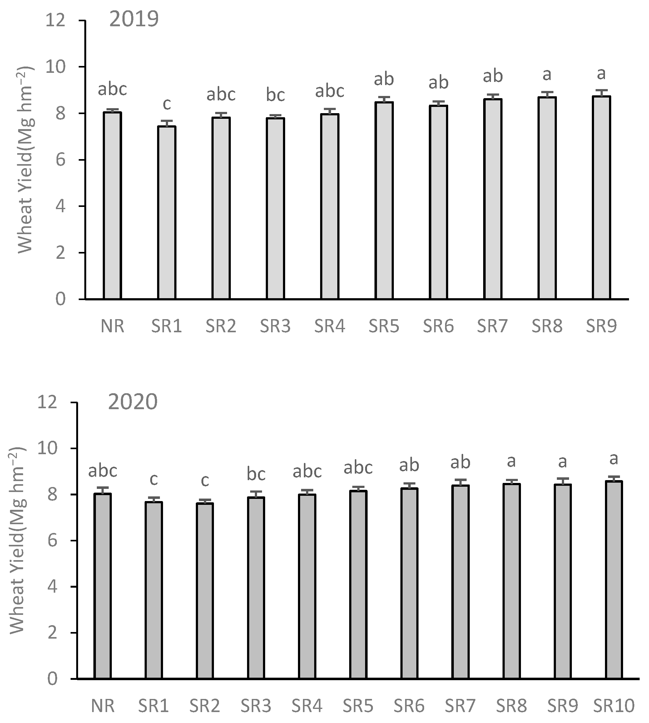
3.6. Wheat Yield
4. Discussion
4.1. Impact of Straw Return Duration on Soil Organic Carbon Content
4.2. Influence of Straw Return Duration on Soil Organic Carbon Components
4.3. Relationships among Soil Organic Carbon and Its Components and Their Impact on Wheat Yield
5. Conclusions
Author Contributions
Funding
Institutional Review Board Statement
Informed Consent Statement
Data Availability Statement
Acknowledgments
Conflicts of Interest
References
- Loveland, P.; Webb, J. Is there a critical level of organic matter in the agricultural soils of temperate regions: A review. Soil Tillage Res. 2003, 70, 1–18. [Google Scholar] [CrossRef]
- Pan, G.X.; Smith, P.; Pan, W.N. The role of soil organic matter in maintaining the productivity and yield stability of cereals in China. Agric. Ecosyst. Environ. 2009, 129, 344–348. [Google Scholar] [CrossRef]
- Haynes, R.J. Labile organic matter as an indicator of organic matter quality in arable and pastoral soils in New Zealand. Soil Biol. Biochem. 2000, 32, 211–219. [Google Scholar] [CrossRef]
- Liu, E.K.; Teclemariam, S.G.; Yan, C.R.; Yu, J.M.; Gu, R.S.; Liu, S.; He, W.Q.; Liu, Q. Long-term effects of no-tillage management practice on soil organic carbon and its fractions in the northern China. Geoderma 2014, 213, 379–384. [Google Scholar] [CrossRef]
- Xue, J.F. Effects of Tillage on Soil Carbon and Nitrogen in Double Paddy Cropping System of Southern China. Ph.D. Thesis, China Agriculture University, Beijing, China, 2015. (In Chinese with English Abstract). [Google Scholar]
- Chan, K.Y.; Heenan, D.P.; Oates, A. Soil carbon fractions and relationship to soil quality under different tillage and stubble management. Soil Tillage Res. 2002, 63, 133–139. [Google Scholar] [CrossRef]
- Tan, Z.; Lal, R.; Owens, L.; Izaurralde, R.C. Distribution of light and heavy fractions of soil organic carbon as related to land use and tillage practice. Soil Tillage Res. 2007, 92, 53–59. [Google Scholar] [CrossRef]
- Yang, Y.H.; Su, C.; He, Z.C.; Yu, M.; Chen, X.J.; Shen, A.L. Transformation and distribution of straw-derived carbon in soil and the effects on soil organic carbon pool: A review. Chin. J. Appl. Ecol. 2019, 30, 668–676, (In Chinese with English Abstract). [Google Scholar]
- Chen, Z.M.; Wang, H.Y.; Liu, X.W.; Zhao, X.L.; Lu, D.J.; Zhou, J.M.; Li, C.Z. Changes in soil microbial community and organic carbon fractions under short-term straw return in a rice–wheat cropping system. Soil Tillage Res. 2017, 165, 121–127. [Google Scholar] [CrossRef]
- Yan, S.S.; Song, J.M.; Fan, J.S.; Yan, C.; Dong, S.K.; Ma, C.M.; Gong, Z.P. Changes in soil organic carbon fractions and microbial community under rice straw return in Northeast China. Glob. Ecol. Conserv. 2020, 22, e962. [Google Scholar] [CrossRef]
- Zhang, Z.H.; Nie, J.; Liang, H.; Wei, C.L.; Wang, Y.; Liao, Y.L.; Lu, Y.H.; Zhou, G.P.; Gao, S.J.; Cao, W.D. The effects of co-utilizing green manure and rice straw on soil aggregates and soil carbon stability in a paddy soil in southern China. J. Integr. Agric. 2023, 22, 1529–1545. [Google Scholar] [CrossRef]
- Dong, L.L.; Wang, H.H.; Shen, Y.; Wang, L.Q.; Zhang, H.D.; Shi, L.L.; Lu, C.Y.; Shen, M.X. Straw type and returning amount affects SOC fractions and Fe/Al oxides in a rice-wheat rotation system. Appl. Soil Ecol. 2023, 183, 104736. [Google Scholar] [CrossRef]
- Liu, B.; Xia, H.; Jiang, C.C.; Riaz, M.; Yang, L.; Chen, Y.F.; Fan, X.P.; Xia, X.G. 14 year applications of chemical fertilizers and crop straw effects on soil labile organic carbon fractions, enzyme activities and microbial community in rice-wheat rotation of middle China. Sci. Total Environ. 2022, 841, 156608. [Google Scholar] [CrossRef] [PubMed]
- Mi, W.H.; Sun, Y.; Zhao, C.; Wu, L.H. Soil organic carbon and its labile fractions in paddy soil as influenced by water regimes and straw management. Agric. Water Manag. 2019, 224, 105752. [Google Scholar] [CrossRef]
- Mitchell, E.; Scheer, C.; David, R.; Conant, R.T.; Cotrufo, M.F.; Grace, P. Amount and incorporation of plant residue inputs modify residue stabilisation dynamics in soil organic matter fractions. Agric. Ecosyst. Environ. 2018, 256, 82–91. [Google Scholar] [CrossRef]
- Xu, S.Q.; Cui, S.Y.; Chen, F.; Xiao, X.P.; Zhang, H.L. Effect of Tillage on Content of Density Fractions of Paddy Soil Organic Carbon and Its Spatial Distribution. J. Agro-Environ. Sci. 2011, 30, 127–132, (In Chinese with English Abstract). [Google Scholar]
- Zhang, J.K.; Jiang, Z.S.; Hao, Q.J.; Wu, Y.; Xie, D.T. Effect of tillage systems on light fraction carbon in a purple paddy soil. Acta Ecol. Sin. 2012, 32, 4379–4387, (In Chinese with English Abstract). [Google Scholar] [CrossRef]
- Hu, N.J.; Chen, Q.; Zhu, L.Q. Life Cycle Environmental Impact Assessment on Rice-Winter Wheat Rotation System in the Middle and Lower Reaches of Yangtze River: A Case Study of Nanjing, Jiangsu Province. Resour. Environ. Yangtze Basin 2019, 28, 1111–1120, (In Chinese with English Abstract). [Google Scholar]
- Gong, Z.T.; Zhang, G.L.; Chen, Z.C. Pedogenesis and Soil Taxonomy; Sciences Press: Beijing, China, 2007. (In Chinese) [Google Scholar]
- Bao, S.D. Soil Agro-Chemistrical Analysis, 3rd ed.; China Agriculture Press: Beijing, China, 2000; (In Chinese with English Abstract). [Google Scholar]
- Lee, J.H. An overview of phytoremediation as a potentially promising technology for environmental pollution control. Biotechnol. Bioprocess Eng. 2013, 18, 431–439. [Google Scholar] [CrossRef]
- Daniel, P.B.; Jorge, Á.F.; Carlos, C.M. Identifying soil organic carbon fractions sensitive to agricultural management practices. Soil Tillage Res. 2014, 139, 19–22. [Google Scholar]
- Li, S.; Li, Y.B.; Wang, S.J.; Shi, J.L.; Tian, X.H. Effects of different straw-returning regimes on soil organic carbon and carbon pool management index in Guanzhong Plain, Northwest China. Chin. J. Appl. Ecol. 2015, 26, 1215–1222, (In Chinese with English Abstract). [Google Scholar]
- Wang, H.H.; Jin, M.J.; Lu, Z.Y.; Shi, L.L.; Zhou, X.W.; Shen, M.X.; Ji, G.J.; Zhang, Y.C. Effects of Patterns of Returning Straw to Field on Soil Carbon Pool and Yield in Rice-wheat Double Cropping Systems. J. Nat. Resour. 2017, 32, 755–764, (In Chinese with English Abstract). [Google Scholar]
- Zhang, P.; Li, H.; Jia, Z.K.; Wang, W.; Lu, W.T.; Zhang, H.; Yang, B.P. Effects of Straw Returning on Soil Organic Carbon and Carbon Mineralization in Semi-arid Areas of Southern Ningxia, China. J. Agro-Environ. Sci. 2011, 30, 2518–2525, (In Chinese with English Abstract). [Google Scholar]
- Dai, H.C.; Chen, Y.Q.; Zhao, Y.X.; Cui, J.X.; Yang, X.L.; Xiao, H.; Sui, P. Effects and causes of different organic materials amendment on soil organic carbon in North China Plain. Trans. Chin. Soc. Agric. Eng. 2016, 32, 103–110, (In Chinese with English Abstract). [Google Scholar]
- Wu, Y.H.; Hao, X.S.; Tian, X.H.; Chen, Y.L.; Zhang, C.H.; Chen, H.; Li, H.H.; Qin, Y.H.; Huang, Z. Effect of Straw Returning on the Contents of Soil Organic Carbon Fractions, Carbon Storage and Crop Yields of Paddy Field in Hanzhong Basin. J. Soil Water Conserv. 2017, 31, 325–331, (In Chinese with English Abstract). [Google Scholar]
- Ussiri, D.A.N.; Lal, R. Long-term tillage effects on soil carbon storage and carbon dioxide emissions in continuous corn cropping system from an alfisol in Ohio. Soil Tillage Res. 2009, 104, 39–47. [Google Scholar] [CrossRef]
- Poeplau, C.; Kätterer, T.; Bolinder, M.A.; Börjesson, G.; Berti, A.; Lugato, E. Low stabilization of aboveground crop residue carbon in sandy soils of Swedish long-term experiments. Geoderma 2015, 237–238, 246–255. [Google Scholar] [CrossRef]
- Zhao, H.L.; Shar, A.G.; Li, S.; Chen, Y.L.; Shi, J.L.; Zhang, X.Y.; Tian, X.H. Effect of straw return mode on soil aggregation and aggregate carbon content in an annual maize-wheat double cropping system. Soil Tillage Res. 2018, 175, 178–186. [Google Scholar] [CrossRef]
- Li, J.; Tao, B.R.; Jiao, M.L.; Yin, S.H.; Zhu, L.Q. Assessment on topsoil carbon sequestration potential under straw return modes in paddy fields in South China—Based on a Meta-analysis. J. Nanjing Agric. Univ. 2015, 38, 351–359, (In Chinese with English Abstract). [Google Scholar]
- Guttières, R.; Nunan, N.; Raynaud, X.; Lacroix, G.; Barot, S.; Barré, P.; Girardin, C.; Guenet, B.; Lata, J.C.; Abbadie, L. Temperature and soil management effects on carbon fluxes and priming effect intensity. Soil Biol. Biochem. 2021, 153, 108103. [Google Scholar] [CrossRef]
- Jiao, L.N.; Li, Z.H.; Yin, C.C.; Wang, X.F.; Xin, S.Y.; Yu, L. Effect of incorporation of crop straw on composition of soil organic matter and enzyme activity in black soil relative to depth and rate of the incorporation. Acta Pedol. Sin. 2015, 52, 665–672, (In Chinese with English Abstract). [Google Scholar]
- Dong, S.S.; Dou, S.; Lin, C.M.; Li, L.B.; Tan, C. Decomposition Rate of Corn Straw in Soil and Its Effects on Soil Humus Composition. J. Jilin Agric. Univ. 2016, 38, 579–586, (In Chinese with English Abstract). [Google Scholar]
- Desrochers, J.; Brye, K.R.; Gbur, E.; Pollock, E.D.; Savin, M.C. Long-term residue and water management practice effects on particulate organic matter in a loessial soil in eastern Arkansas, USA. Geoderma 2019, 337, 792–804. [Google Scholar] [CrossRef]
- Domínguez, G.F.; Diovisalvi, N.V.; Studdert, G.A.; Monterubbianesi, M.G. Soil organic C and N fractions under continuous cropping with contrasting tillage systems on mollisols of the southeastern Pampas. Soil Tillage Res. 2009, 102, 93–100. [Google Scholar] [CrossRef]
- Duan, Y.; Chen, L.; Li, Y.M.; Wang, Q.Y.; Zhang, C.Z.; Ma, D.H.; Li, J.Y.; Zhang, J.B. N, P and straw return influence the accrual of organic carbon fractions and microbial traits in a Mollisol. Geoderma 2021, 403, 115373. [Google Scholar] [CrossRef]
- Liu, J.; Li, L.L.; Xie, J.H.; Deng, C.C.; Peng, Z.K.; Yeboah, S.; Lamptey, S. Soil total organic carbon and its light fractions in response to 14 years of conservation tillage. Agric. Res. Arid. Areas 2017, 35, 8–13, (In Chinese with English Abstract). [Google Scholar]
- Islam, M.U.; Guo, Z.C.; Jiang, F.H.; Peng, X.H. Does straw return increase crop yield in the wheat-maize cropping system in China? A meta-analysis. Field Crops Res. 2022, 279, 108447. [Google Scholar] [CrossRef]
- Guo, L.J.; Li, Z.; Liu, L.; Sheng, F.; Cao, C.G.; Li, C.F. Effects of long-term no tillage and straw return on greenhouse gas emissions and crop yields from a rice-wheat system in central China. Agric. Ecosyst. Environ. 2021, 322, 107650. [Google Scholar] [CrossRef]
- Xu, J.L.; Hu, N.J.; Zhu, L.Q. Effect of Amount of Annual Straw Returning on Soil Nutrients and Yield in Winter Wheat Field. J. Triticeae Crops 2016, 36, 215–222, (In Chinese with English Abstract). [Google Scholar]
- Li, Y.; Feng, H.; Dong, Q.G.; Xia, L.L.; Li, J.C.; Li, C.; Zang, H.D.; Andersen, M.N.; Olesen, J.E.; Jørgensen, U.; et al. Ammoniated straw incorporation increases wheat yield, yield stability, soil organic carbon and soil total nitrogen content. Field Crops Res. 2022, 284, 108558. [Google Scholar] [CrossRef]







| Soil Depth/cm | Year | SOC | LFOC | HFOC | POC | MOC | |||||
|---|---|---|---|---|---|---|---|---|---|---|---|
| Before SR8 | After SR8 | Before SR8 | After SR8 | Before SR8 | After SR8 | Before SR8 | After SR8 | Before SR8 | After SR8 | ||
| 0–5 | 2019 | 4.25 | 1.38 | 13.08 | 3.91 | 3.74 | 1.16 | 7.80 | 3.90 | 2.78 | 0.08 |
| 2020 | 4.33 | 1.91 | 12.80 | 4.69 | 3.81 | 1.66 | 7.06 | 5.28 | 3.13 | 0.10 | |
| 5–10 | 2019 | 4.36 | 1.06 | 12.57 | 10.14 | 3.88 | 0.30 | 7.51 | 2.78 | 3.03 | 0.19 |
| 2020 | 4.32 | 1.91 | 12.67 | 4.68 | 3.81 | 1.66 | 7.38 | 5.16 | 2.96 | 0.12 | |
| 10–20 | 2019 | 4.01 | 2.05 | 9.98 | 5.51 | 3.70 | 2.89 | 8.35 | 4.15 | 2.17 | 2.45 |
| 2020 | 4.24 | 2.31 | 10.08 | 6.67 | 3.92 | 2.00 | 7.83 | 5.61 | 2.60 | 0.38 | |
| 2019 | 2020 | |||||||
|---|---|---|---|---|---|---|---|---|
| LFOC | HOC | POC | MOC | LFOC | HFOC | POC | MOC | |
| SOC | 0.972 ** | 0.999 ** | 0.969 ** | 0.922 ** | 0.974 ** | 0.999 ** | 0.986 ** | 0.980 ** |
| Soil Depth (cm) | Treatments | 2019 | 2020 | ||||||||
|---|---|---|---|---|---|---|---|---|---|---|---|
| SOC/% | LFOC/% | HFOC/% | POC/% | MOC/% | SOC/% | LFOC/% | HFOC/% | POC/% | MOC/% | ||
| 0–5 | NR | 0.00 | 0.00 | 0.00 | 0.00 | 0.00 | 0.00 | 0.00 | 0.00 | 0.00 | 0.00 |
| SR1 | 3.67 | 10.09 | 2.22 | 1.00 | 4.61 | 1.98 | 2.96 | 1.93 | 0.74 | 2.45 | |
| SR2 | 10.84 | 23.15 | 6.79 | 7.99 | 11.84 | 6.51 | 23.82 | 5.72 | 8.39 | 5.78 | |
| SR3 | 19.09 | 45.43 | 12.08 | 21.56 | 18.22 | 12.03 | 52.46 | 10.19 | 17.15 | 10.05 | |
| SR4 | 25.80 | 82.49 | 17.51 | 32.85 | 23.33 | 18.13 | 83.91 | 15.14 | 34.96 | 11.63 | |
| SR5 | 30.89 | 109.25 | 26.97 | 48.92 | 24.56 | 24.52 | 113.38 | 20.48 | 42.27 | 17.67 | |
| SR6 | 33.31 | 132.12 | 29.12 | 62.97 | 22.91 | 31.14 | 138.41 | 26.27 | 50.31 | 23.75 | |
| SR7 | 36.98 | 151.10 | 32.14 | 73.06 | 24.33 | 35.68 | 150.41 | 30.46 | 61.13 | 25.85 | |
| SR8 | 39.53 | 167.29 | 34.11 | 82.36 | 24.50 | 40.38 | 162.08 | 34.85 | 72.60 | 27.95 | |
| SR9 | 41.45 | 177.74 | 35.66 | 89.47 | 24.60 | 43.17 | 175.10 | 37.17 | 79.79 | 29.04 | |
| SR10 | / | / | / | / | / | 45.79 | 187.22 | 39.36 | 91.32 | 28.21 | |
| 5–10 | NR | 0.00 | 0.00 | 0.00 | 0.00 | 0.00 | 0.00 | 0.00 | 0.00 | 0.00 | 0.00 |
| SR1 | 2.33 | 10.23 | 1.98 | 6.02 | 0.99 | 1.97 | 1.92 | 1.97 | 4.14 | 1.14 | |
| SR2 | 10.93 | 22.08 | 10.44 | 16.08 | 9.06 | 6.53 | 24.18 | 5.73 | 13.16 | 3.98 | |
| SR3 | 19.03 | 46.92 | 17.80 | 27.96 | 15.79 | 12.67 | 55.53 | 10.72 | 23.10 | 8.66 | |
| SR4 | 26.91 | 69.81 | 25.02 | 43.62 | 20.85 | 19.14 | 80.36 | 16.36 | 35.67 | 12.79 | |
| SR5 | 32.02 | 94.35 | 29.27 | 55.38 | 23.54 | 24.10 | 109.78 | 20.21 | 50.34 | 14.01 | |
| SR6 | 36.40 | 112.51 | 33.04 | 65.94 | 25.69 | 30.74 | 132.97 | 26.10 | 59.02 | 19.88 | |
| SR7 | 38.35 | 140.00 | 33.86 | 72.20 | 26.06 | 36.20 | 144.84 | 31.27 | 67.63 | 24.13 | |
| SR8 | 40.73 | 157.90 | 35.56 | 78.53 | 27.02 | 40.26 | 159.65 | 34.83 | 76.74 | 26.24 | |
| SR9 | 42.23 | 184.06 | 35.97 | 83.49 | 27.26 | 43.24 | 172.46 | 37.37 | 87.83 | 26.11 | |
| SR10 | / | / | / | / | / | 45.66 | 184.53 | 39.35 | 95.45 | 26.53 | |
| 10–20 | NR | 0.00 | 0.00 | 0.00 | 0.00 | 0.00 | 0.00 | 0.00 | 0.00 | 0.00 | 0.00 |
| SR1 | 1.41 | −1.87 | 1.55 | 0.24 | 1.82 | 0.18 | 6.75 | −0.11 | −0.90 | 0.59 | |
| SR2 | 5.48 | 10.70 | 5.26 | 12.17 | 3.17 | 3.25 | 20.95 | 2.48 | 8.84 | 1.12 | |
| SR3 | 12.90 | 28.86 | 12.23 | 28.27 | 7.61 | 8.79 | 35.19 | 7.64 | 18.02 | 5.26 | |
| SR4 | 18.08 | 49.81 | 16.74 | 46.61 | 8.26 | 15.47 | 47.51 | 14.08 | 32.62 | 8.92 | |
| SR5 | 24.91 | 66.74 | 23.15 | 61.43 | 12.34 | 21.91 | 66.32 | 19.98 | 43.23 | 13.77 | |
| SR6 | 29.74 | 89.28 | 27.23 | 74.61 | 14.29 | 28.72 | 81.96 | 26.40 | 57.03 | 17.90 | |
| SR7 | 34.57 | 100.65 | 31.79 | 83.53 | 17.72 | 34.80 | 98.37 | 32.03 | 68.40 | 21.96 | |
| SR8 | 36.98 | 114.03 | 33.74 | 90.01 | 18.73 | 39.98 | 115.58 | 36.68 | 82.81 | 23.61 | |
| SR9 | 41.17 | 125.81 | 37.60 | 97.89 | 21.64 | 42.75 | 131.17 | 38.89 | 90.69 | 24.43 | |
| SR10 | / | / | / | / | / | 45.88 | 145.25 | 41.55 | 95.46 | 23.70 | |
| Pearson correlation coefficients | |||||||||||
| Variation of SOC | 0.958 ** | 0.990 ** | 0.949 ** | 0.922 ** | / | 0.959 ** | 0.998 ** | 0.991 ** | 0.982 ** | ||
| Soil Depth (cm) | Carbon Components | Pearson’s Correlation Coefficients with Wheat Yield | Linear Regression Equation | ||
|---|---|---|---|---|---|
| 2019 | 2020 | 2019 | 2020 | ||
| 0–5 | SOC | 0.901 ** | 0.919 ** | y = 0.1424x + 5.0953 R2 = 0.8118 | y = 0.103x + 5.9387 R2 = 0.8445 |
| LFOC | 0.903 ** | 0.918 ** | y = 0.8275x + 7.0535 R2 = 0.816 | y = 0.5696x + 7.2799 R2 = 0.8432 | |
| HFOC | 0.899 ** | 0.918 ** | y = 0.1716x + 4.6967 R2 = 0.809 | y = 0.1254x + 5.6479 R2 = 0.843 | |
| POC | 0.914 ** | 0.925 ** | y = 0.2587x + 6.4962 R2 = 0.8358 | y = 0.1937x + 6.8133 R2 = 0.8558 | |
| MOC | 0.706 * | 0.898 ** | y = 0.2593x + 4.1777 R2 = 0.4988 | y = 0.2131x + 5.0443 R2 = 0.8058 | |
| 5–10 | SOC | 0.860 ** | 0.917 ** | y = 0.1329x + 5.1938 R2 = 0.7395 | y = 0.1001x + 5.9308 R2 = 0.8415 |
| LFOC | 0.899 ** | 0.917 ** | y = 0.8107x + 7.0502 R2 = 0.8087 | y = 0.5647x + 7.27 R2 = 0.8415 | |
| HFOC | 0.844 ** | 0.917 ** | y = 0.1559x + 4.8963 R2 = 0.7115 | y = 0.1214x + 5.6466 R2 = 0.84 | |
| POC | 0.887 ** | 0.915 ** | y = 0.2657x + 6.3383 R2 = 0.7874 | y = 0.1789x + 6.8347 R2 = 0.8377 | |
| MOC | 0.816 ** | 0.912 ** | y = 0.256x + 4.204 R2 = 0.6654 | y = 0.2229x + 4.8446 R2 = 0.831 | |
| 10–20 | SOC | 0.902 ** | 0.936 ** | y = 0.1551x + 5.0124 R2 = 0.814 | y = 0.1047x + 6.0068 R2 = 0.8767 |
| LFOC | 0.914 ** | 0.911 ** | y = 1.2298x + 6.8488 R2 = 0.8348 | y = 0.8463x + 7.1417 R2 = 0.8294 | |
| HFOC | 0.900 ** | 0.939 ** | y = 0.1773x + 4.7511 R2 = 0.8102 | y = 0.1193x + 5.8507 R2 = 0.8818 | |
| POC | 0.907 ** | 0.929 ** | y = 0.2466x + 6.5832 R2 = 0.8223 | y = 0.1758x + 6.951 R2 = 0.8631 | |
| MOC | 0.889 ** | 0.935 ** | y = 0.4125x + 2.4259 R2 = 0.7897 | y = 0.2525x + 4.7044 R2 = 0.874 | |
Disclaimer/Publisher’s Note: The statements, opinions and data contained in all publications are solely those of the individual author(s) and contributor(s) and not of MDPI and/or the editor(s). MDPI and/or the editor(s) disclaim responsibility for any injury to people or property resulting from any ideas, methods, instructions or products referred to in the content. |
© 2024 by the authors. Licensee MDPI, Basel, Switzerland. This article is an open access article distributed under the terms and conditions of the Creative Commons Attribution (CC BY) license (https://creativecommons.org/licenses/by/4.0/).
Share and Cite
Cui, S.; Cao, G.; Zhu, X. Effects of Straw Return Duration on Soil Carbon Fractions and Wheat Yield in Rice–Wheat Cropping System. Sustainability 2024, 16, 754. https://doi.org/10.3390/su16020754
Cui S, Cao G, Zhu X. Effects of Straw Return Duration on Soil Carbon Fractions and Wheat Yield in Rice–Wheat Cropping System. Sustainability. 2024; 16(2):754. https://doi.org/10.3390/su16020754
Chicago/Turabian StyleCui, Siyuan, Guangqiao Cao, and Xinkai Zhu. 2024. "Effects of Straw Return Duration on Soil Carbon Fractions and Wheat Yield in Rice–Wheat Cropping System" Sustainability 16, no. 2: 754. https://doi.org/10.3390/su16020754
APA StyleCui, S., Cao, G., & Zhu, X. (2024). Effects of Straw Return Duration on Soil Carbon Fractions and Wheat Yield in Rice–Wheat Cropping System. Sustainability, 16(2), 754. https://doi.org/10.3390/su16020754

