Thermal Performance Analysis of Porous Foam-Assisted Flat-Plate Solar Collectors with Nanofluids
Abstract
1. Introduction
2. Mathematical Model
2.1. Mathematical Model and Assumptions
2.2. Governing Equations
- Continuity Equation:where u and v represent the velocity components in the x and y directions, respectively.
- Momentum equations:
- Governing equations in the fluid domain.
- Governing equations in the porous medium domain.where is the combined velocity of transverse and longitudinal, ε is the porosity, and K is the permeability of the porous medium. Other variables include ρ for fluid density, p for fluid pressure, μ for dynamic viscosity, and μeff for effective viscosity. is the inertial factor [33].
- Energy equation:where T is the temperature, and τ is the thermal diffusivity.
2.3. Boundary Conditions
2.4. Nanofluid Parametric Definitions
2.5. Collector Control Parameters
3. Numerical Details
3.1. Numerical Method
3.2. Grid Independence Validation
3.3. Numerical Verification
4. Results and Discussions
4.1. Heat Transfer Performance and Resistance Loss of the Collector
4.2. Outlet Temperature of the Collector
4.3. Thermal Efficiency of Solar Collector
4.4. Performance Evaluation Criteria (PEC)
5. Conclusions
- (1)
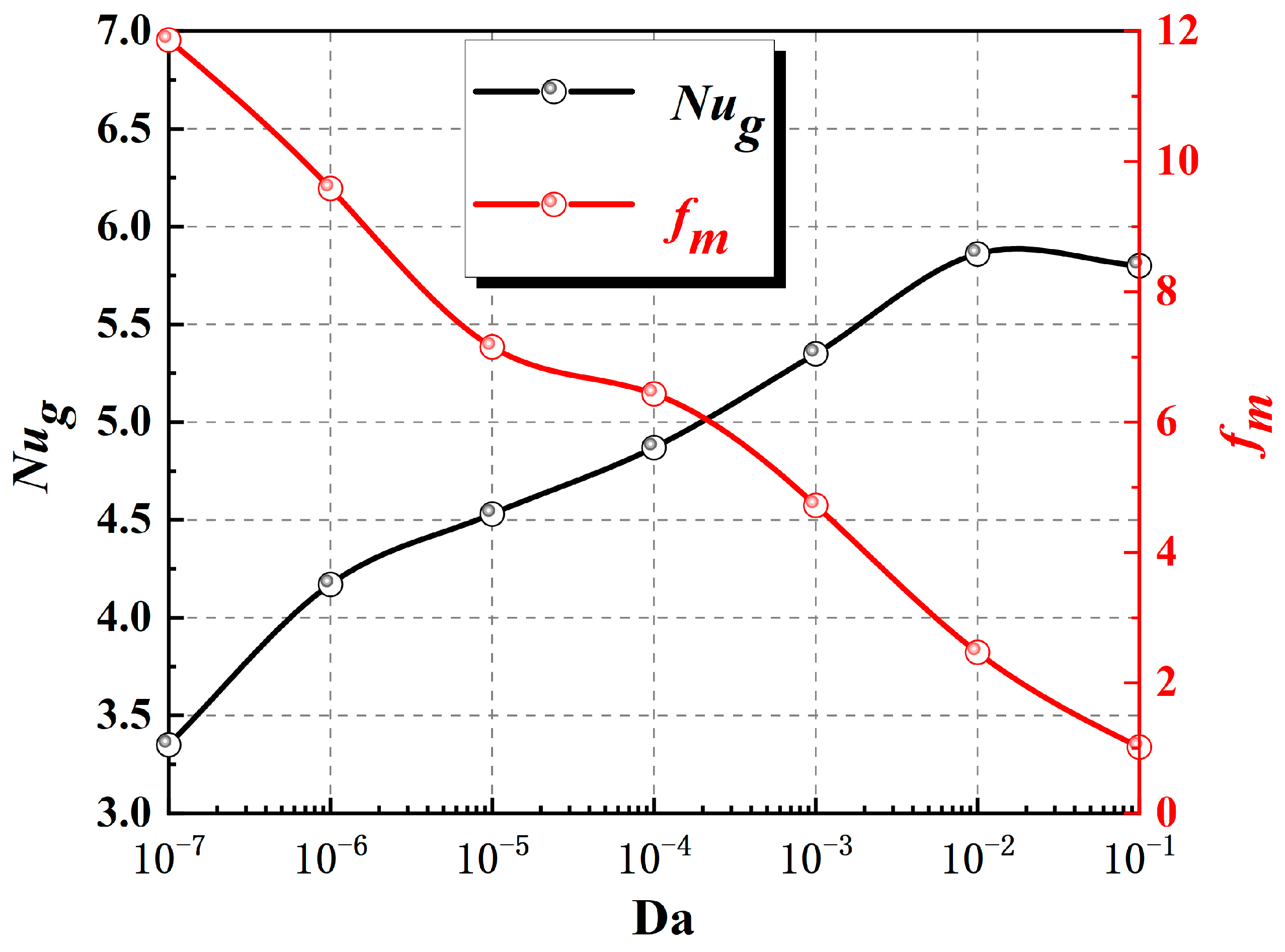
- Regarding the impact of the flow state within the channel, observations indicate that fluids with high Reynolds numbers (within the laminar range) can markedly improve heat transfer performance within the FPSC channel. However, this improvement is counterbalanced by increased pumping power requirements. In scenarios with high Darcy numbers, the shape and permeability of the porous block demonstrate a substantial influence on heat transfer performance.
- (2)
- The introduction of nanoparticles has a pronounced effect on the heat transfer performance within FPSC channels. It is apparent that a higher volume fraction of nanoparticles results in enhanced heat transfer performance. Additionally, the type of nanoparticles plays a critical role. Cu nanoparticles exhibit enhanced heat transfer performance compared to Al2O3 nanoparticles. Consequently, when both Al2O3 and Cu nanoparticles are introduced, a higher percentage of Cu nanoparticles results in improved heat transfer performance. Notably, the highest Nusselt number (Nug) achieved for the channel is 6.80, achieved with a nanoparticle volume fraction of 3% and φc = 100%.
- (3)
- Additional analysis of the thermal efficiency in the FPSC channel reveals that at Re = 234, the thermal efficiency is high and is notably affected by the shape of the porous block, with superior performance observed in the REC porous block configuration and the large Da values. For instance, when the volume percentage of nanoparticles is 3% and φc = 100%, the thermal efficiency can reach a maximum of 70.5%, which is roughly 2.5% greater than that of φc = 0% (the nanoparticle is Al2O3).
- (4)
- A comprehensive performance evaluation criteria (PEC) analysis for FPSC indicates that the rectangular REC porous block configuration performs optimally for high Darcy numbers (Da = 10−2). Taking into account the influence of the flow regime in the FPSC channel, the PEC value reaches its peak at 1.68 under conditions of low Reynolds numbers (Re = 234), representing a 68% enhancement compared to an empty channel. Furthermore, it is crucial to emphasize that the PEC is affected by the characteristics of the heat transfer fluid, with a maximum value of 1.90 attained for the channel PEC under the condition of a nanoparticle volume fraction of 3% and φc = 100%.
Author Contributions
Funding
Informed Consent Statement
Data Availability Statement
Acknowledgments
Conflicts of Interest
References
- Said, Z.; Hachicha, A.A.; Aberoumand, S.; Yousef, B.A.A.; Sayed, E.T.; Bellos, E. Recent advances on nanofluids for low to medium temperature solar collectors: Energy, exergy, economic analysis and environmental impact. Prog. Energy Combust. Sci. 2021, 84, 100898. [Google Scholar] [CrossRef]
- Hashim, W.M.; Shomran, A.T.; Jurmut, H.A.; Gaaz, T.S.; Kadhum, A.A.H.; Al-Amiery, A.A. Case study on solar water heating for flat plate collector. Case Stud. Therm. Eng. 2018, 12, 666–671. [Google Scholar] [CrossRef]
- Sakhaei, S.A.; Valipour, M.S. Performance enhancement analysis of The flat plate collectors: A comprehensive review. Renew. Sustain. Energy Rev. 2019, 102, 186–204. [Google Scholar] [CrossRef]
- Wang, D.; Mo, Z.; Liu, Y.; Ren, Y.; Fan, J. Thermal performance analysis of large-scale flat plate solar collectors and regional applicability in China. Energy 2022, 238, 121931. [Google Scholar] [CrossRef]
- Vengadesan, E.; Senthil, R. Experimental thermal performance and enviroeconomic analysis of serpentine flow channeled flat plate solar water collector. Environ. Sci. Pollut. Res. Int. 2022, 29, 17241–17259. [Google Scholar] [CrossRef] [PubMed]
- Bhattacharyya, S.; B, H.; Paul, A. The effect of circular hole spring tape on the turbulent heat transfer and entropy analysis in a heat exchanger tube: An experimental study. Exp. Heat Transf. 2020, 34, 493–512. [Google Scholar] [CrossRef]
- Garcia, R.P.; Oliveira, S.d.R.; Scalon, V.L. Thermal efficiency experimental evaluation of solar flat plate collectors when introducing convective barriers. Sol. Energy 2019, 182, 278–285. [Google Scholar] [CrossRef]
- Aref, L.; Fallahzadeh, R.; Shabanian, S.R.; Hosseinzadeh, M. A novel dual-diameter closed-loop pulsating heat pipe for a flat plate solar collector. Energy 2021, 230, 120751. [Google Scholar] [CrossRef]
- Chen, C.-C.; Huang, P.-C.; Hwang, H.-Y. Enhanced forced convective cooling of heat sources by metal-foam porous layers. Int. J. Heat Mass Transf. 2013, 58, 356–373. [Google Scholar] [CrossRef]
- Ahmadi, A.; Ehyaei, M.A.; Doustgani, A.; El Haj Assad, M.; Hmida, A.; Jamali, D.H.; Kumar, R.; Li, Z.X.; Razmjoo, A. Recent residential applications of low-temperature solar collector. J. Clean. Prod. 2021, 279, 123549. [Google Scholar] [CrossRef]
- Gorjian, S.; Ebadi, H.; Calise, F.; Shukla, A.; Ingrao, C. A review on recent advancements in performance enhancement techniques for low-temperature solar collectors. Energy Convers. Manag. 2020, 222, 113246. [Google Scholar] [CrossRef]
- Tonekaboni, N.; Salarian, H.; Nimvar, M.E.; Khaleghinia, J. Exergoeconomic analysis of a solar CCHP with partially porous material filled collector. Int. J. Exergy 2022, 37, 181–199. [Google Scholar] [CrossRef]
- Alagumalai, A.; Qin, C.; Vimal, K.E.K.; Solomin, E.; Yang, L.; Zhang, P.; Otanicar, T.; Kasaeian, A.; Chamkha, A.J.; Rashidi, M.M.; et al. Conceptual analysis framework development to understand barriers of nanofluid commercialization. Nano Energy 2022, 92, 106736. [Google Scholar] [CrossRef]
- Menni, Y.; Chamkha, A.J.; Azzi, A. Nanofluid flow in complex geometries a review. J. Nanofluids 2019, 8, 893–916. [Google Scholar] [CrossRef]
- Zaboli, M.; Saedodin, S.; Ajarostaghi, S.S.M.; Karimi, N. Recent progress on flat plate solar collectors equipped with nanofluid and turbulator: State of the art. Environ. Sci. Pollut. Res. Int. 2023, 30, 109921–109954. [Google Scholar] [CrossRef]
- Jouybari, H.J.; Saedodin, S.; Zamzamian, A.; Nimvari, M.E. Experimental investigation of thermal performance and entropy generation of a flat-plate solar collector filled with porous media. Appl. Therm. Eng. 2017, 127, 1506–1517. [Google Scholar] [CrossRef]
- Ali, R.M.K.; Lafta Ghashim, S. Numerical analysis of the heat transfer enhancement by using metal foam. Case Stud. Therm. Eng. 2023, 49, 103336. [Google Scholar] [CrossRef]
- Anirudh, K.; Dhinakaran, S. Numerical analysis of the performance improvement of a flat-plate solar collector using conjugated porous blocks. Renew. Energy 2021, 172, 382–391. [Google Scholar] [CrossRef]
- Fu, Y.; Xia, Y.; Lin, X.; Cheng, Z.; Zhang, Z.; Feng, J.; Wang, H. A novel structure design and numerical analysis of porous media-assisted enhanced thermal performance of flat-plate solar collector. Therm. Sci. Eng. Prog. 2023, 40, 101777. [Google Scholar] [CrossRef]
- Bovand, M.; Rashidi, S.; Esfahani, J.A. Heat transfer enhancement and pressure drop penalty in porous solar heaters: Numerical simulations. Sol. Energy 2016, 123, 145–159. [Google Scholar] [CrossRef]
- Saedodin, S.; Zamzamian, S.A.H.; Nimvari, M.E.; Wongwises, S.; Jouybari, H.J. Performance evaluation of a flat-plate solar collector filled with porous metal foam: Experimental and numerical analysis. Energy Convers. Manag. 2017, 153, 278–287. [Google Scholar] [CrossRef]
- Anirudh, K.; Dhinakaran, S. Performance improvement of a flat-plate solar collector by inserting intermittent porous blocks. Renew. Energy 2020, 145, 428–441. [Google Scholar] [CrossRef]
- Xia, Y.; Lin, X.; Shu, Y.; Cheng, Z. Enhanced thermal performance of a flat-plate solar collector inserted with porous media: A numerical simulation study. Therm. Sci. Eng. Prog. 2023, 44, 102063. [Google Scholar] [CrossRef]
- Ziyadanogullari, N.B.; Yucel, H.L.; Yildiz, C. Thermal performance enhancement of flat-plate solar collectors by means of three different nanofluids. Therm. Sci. Eng. Prog. 2018, 8, 55–65. [Google Scholar] [CrossRef]
- Saffarian, M.R.; Moravej, M.; Doranehgard, M.H. Heat transfer enhancement in a flat plate solar collector with different flow path shapes using nanofluid. Renew. Energy 2020, 146, 2316–2329. [Google Scholar] [CrossRef]
- Gupta, S.; Rajale, S.; Raval, F.; Sojitra, M.; Tiwari, A.K.; Joshi, A.; Singh, R. Comparative performance analysis of flat plate solar collectors with and without aluminium oxide-based nano-fluid. Mater. Today Proc. 2021, 46, 5378–5383. [Google Scholar] [CrossRef]
- Darbari, B.; Rashidi, S. Thermal efficiency of flat plate thermosyphon solar water heater with nanofluids. J. Taiwan Inst. Chem. Eng. 2021, 128, 276–287. [Google Scholar] [CrossRef]
- Esmaeili, M.; Karami, M.; Delfani, S. Performance enhancement of a direct absorption solar collector using copper oxide porous foam and nanofluid. Int. J. Energy Res. 2020, 44, 5527–5544. [Google Scholar] [CrossRef]
- Xiong, Q.; Tayebi, T.; Izadi, M.; Siddiqui, A.A.; Ambreen, T.; Li, L.K.B. Numerical analysis of porous flat plate solar collector under thermal radiation and hybrid nanoparticles using two-phase model. Sustain. Energy Technol. Assess. 2021, 47, 101404. [Google Scholar] [CrossRef]
- NematpourKeshteli, A.; Iasiello, M.; Langella, G.; Bianco, N. Increasing melting and solidification performances of a phase change material-based flat plate solar collector equipped with metal foams, nanoparticles, and wavy wall-Y-shaped surface. Energy Convers. Manag. 2023, 291, 117–268. [Google Scholar] [CrossRef]
- Aghili Yegane, S.P.; Kasaeian, A. Thermal performance assessment of a flat-plate solar collector considering porous media, hybrid nanofluid and magnetic field effects. J. Therm. Anal. Calorim. 2020, 141, 1969–1980. [Google Scholar] [CrossRef]
- Vafai, K.; Tien, C.L. Boundary and inertia effects on flow and heat transfer in porous media. Int. J. Heat Mass Transf. 1981, 24, 195–203. [Google Scholar] [CrossRef]
- Vijaybabu, T.R.; Anirudh, K.; Dhinakaran, S. LBM simulation of unsteady flow and heat transfer from a diamond-shaped porous cylinder. Int. J. Heat Mass Transf. 2018, 120, 267–283. [Google Scholar] [CrossRef]
- Chen, Z.; Gu, M.; Peng, D. Heat transfer performance analysis of a solar flat-plate collector with an integrated metal foam porous structure filled with paraffin. Appl. Therm. Eng. 2010, 30, 1967–1973. [Google Scholar] [CrossRef]
- Samiezadeh, S.; Khodaverdian, R.; Doranehgard, M.H.; Chehrmonavari, H.; Xiong, Q. CFD simulation of thermal performance of hybrid oil-Cu-Al2O3 nanofluid flowing through the porous receiver tube inside a finned parabolic trough solar collector. Sustain. Energy Technol. Assess. 2022, 50, 101888. [Google Scholar] [CrossRef]
- Zhou, S.-Q.; Ni, R. Measurement of the specific heat capacity of water-based Al2O3 nanofluid. Appl. Phys. Lett. 2008, 92, 093123. [Google Scholar] [CrossRef]
- Jouybari, H.J.; Saedodin, S.; Zamzaman, A.; Nimvari, M.E.; Wongwises, S. Effects of porous material and nanoparticles on the thermal performance of a flat plate solar collector: An experimental study. Renew. Energy 2017, 114, 1407–1418. [Google Scholar] [CrossRef]



















| Parameters | Value | Unit |
|---|---|---|
| Total length | 0.36 | m |
| Height | 0.0078 | m |
| Density | 3.5 × 103 | kg/m3 |
| Thermal conductivity | 29 | W/(m∙K) |
| Specific heat capacity | 750 | J/(kg∙K) |
| Darcy number | Da = 10−5, 10−4, 10−3, 10−2 | |
| Material type | Al2O3 |
| No. | Grid Size | Tout | Percentage Difference (%) | s = 0.6 H, Re = 234, Da = 10−4 | Percentage Difference (%) |
|---|---|---|---|---|---|
| s = 0 | |||||
| 1 | 25 × 100 | 292.9 | 295.7 | ||
| 2 | 50 × 250 | 296.4 | 1.20 | 300.4 | 1.60 |
| 3 | 100 × 500 | 297.9 | 0.50 | 301.6 | 0.40 |
| 4 | 150 × 1000 | 298.2 | 0.08 | 301.9 | 0.09 |
| 5 | 200 × 1300 | 298.4 | 0.06 | 302.2 | 0.08 |
| 6 | 250 × 1500 | 298.5 | 0.05 | 302.4 | 0.07 |
Disclaimer/Publisher’s Note: The statements, opinions and data contained in all publications are solely those of the individual author(s) and contributor(s) and not of MDPI and/or the editor(s). MDPI and/or the editor(s) disclaim responsibility for any injury to people or property resulting from any ideas, methods, instructions or products referred to in the content. |
© 2024 by the authors. Licensee MDPI, Basel, Switzerland. This article is an open access article distributed under the terms and conditions of the Creative Commons Attribution (CC BY) license (https://creativecommons.org/licenses/by/4.0/).
Share and Cite
Lin, X.; Xia, Y.; Cheng, Z.; Liu, X.; Fu, Y.; Li, L.; Zhou, W. Thermal Performance Analysis of Porous Foam-Assisted Flat-Plate Solar Collectors with Nanofluids. Sustainability 2024, 16, 693. https://doi.org/10.3390/su16020693
Lin X, Xia Y, Cheng Z, Liu X, Fu Y, Li L, Zhou W. Thermal Performance Analysis of Porous Foam-Assisted Flat-Plate Solar Collectors with Nanofluids. Sustainability. 2024; 16(2):693. https://doi.org/10.3390/su16020693
Chicago/Turabian StyleLin, Xinwei, Yongfang Xia, Zude Cheng, Xianshuang Liu, Yingmei Fu, Lingyun Li, and Wenqin Zhou. 2024. "Thermal Performance Analysis of Porous Foam-Assisted Flat-Plate Solar Collectors with Nanofluids" Sustainability 16, no. 2: 693. https://doi.org/10.3390/su16020693
APA StyleLin, X., Xia, Y., Cheng, Z., Liu, X., Fu, Y., Li, L., & Zhou, W. (2024). Thermal Performance Analysis of Porous Foam-Assisted Flat-Plate Solar Collectors with Nanofluids. Sustainability, 16(2), 693. https://doi.org/10.3390/su16020693

