Promoting Sustainable Fish Consumption in Portuguese 4th-Grade Students
Abstract
1. Introduction
2. Literature Review
2.1. The Need for Sustainable Fish Consumption
2.2. Ocean Literacy and Sustainable Development Goals
2.3. Face-to-Face vs. Online Methodologies
2.4. Hypotheses
3. Materials and Methods
3.1. Participants and Procedure
- Pre-test: Aiming to gauge students’ prior knowledge about sustainable fish consumption, they were asked to complete an online questionnaire (Table 2);
- 2.
- Activities: Three learning modules, each 45 to 60 min, in a school context, comprising different ESE activities, were developed a week apart. The activities were structured to address five topics about sustainable fish consumption: M1, species biology and seasonality of fishing; M2, fishing methods and minimum landing size; M3, fish labelling (Table 3).
- 3.
- Post-tests and focus group interviews: Students were asked to complete the same online questionnaire they responded to before, and the answers were used to evaluate the effect of the participation in the activities on the knowledge of students. Focus group interviews were applied to a group of five students from each class to clarify and support the findings from the questionnaires, enabling a methodological triangulation approach. The post-tests took place two weeks after the last module, and the interviews 15 days after (Figure 1).
3.2. Data Collection
3.3. Data Analysis
3.3.1. Pre- and Post-Test
3.3.2. Interviews in Focus Group
4. Results
4.1. Pre- and Post-Test
4.1.1. Knowledge and Sustainable Behaviour
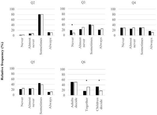
4.1.2. Consumption Habits
4.1.3. Results per Teaching Mode
4.2. Focus Group Interviews’ Content Analysis
5. Discussion
6. Conclusions
Limitations of the Study
Author Contributions
Funding
Institutional Review Board Statement
Informed Consent Statement
Data Availability Statement
Acknowledgments
Conflicts of Interest
References
- Visbeck, M. Ocean Science Research is Key for a Sustainable Future. Nat. Commun. 2018, 9, 690. [Google Scholar] [CrossRef] [PubMed]
- Otero, R.M.; Bayliss-Brown, G.A.; Papathanassiou, M. Ocean Literacy and Knowledge Transfer Synergies in Support of a Sustainable Blue Economy. Front. Mar. Sci. 2019, 6, 646. [Google Scholar] [CrossRef]
- Molony, B.W.; Ford, A.T.; Sequeira, A.M.M.; Borja, A.; Zivian, A.M.; Robinson, C.; Lonborg, C.; Escobar-Biones, E.G.; Di Lorenzo, E.; Andersen, J.H.; et al. Editorial: Sustainable Development Goal 14—Life Below Water Towards a Sustainable Ocean. Front. Mar. Sci. 2022, 8, 829610. [Google Scholar] [CrossRef]
- Freitas, C.; Bellgrove, A.; Venzo, P.; Francis, P. Towards a 2025 National Ocean Literacy Strategy: Current Status and Future Needs in Primary Education. Front. Mar. Sci. 2022, 9, 883524. [Google Scholar] [CrossRef]
- Aurélio, L.; França, S.; Sequeira, V.; Boaventura, D.; Correia, M.J.; Pinto, B.; Amoroso, S.; Feio, M.J.; Brito, C.; Chainho, P.; et al. Tell a Story to Save a River: Assessing the Impact of Using a Children’s Book in the Classroom as a Tool to Promote Environmental Awareness. Front. Mar. Sci. 2021, 8, 699122. [Google Scholar] [CrossRef]
- Hartley, B.; Thompson, R.C.; Pahl, S. Marine litter education boosts children’s understanding and self-reported actions. Mar. Pollut. Bull. 2015, 90, 209–217. [Google Scholar] [CrossRef] [PubMed]
- NOAA. Ocean Literacy: The Essential Principles and Fundamental Concepts of Ocean Sciences for Learners of All Ages. 2013. Available online: https://repository.library.noaa.gov/view/noaa/39086 (accessed on 29 December 2023).
- National Marine Educators Association. Ocean Literacy Scope & Sequence for Grades K-12. 2010. Available online: https://www.marine-ed.org/ocean-literacy/scope-and-sequence (accessed on 29 December 2023).
- Kalsoom, Q.; Khanam, A.; Quraishi, U. Sustainability consciousness of preservice teachers in Pakistan. Int. J. Sustain. High. Educ. 2017, 18, 1090–1107. [Google Scholar] [CrossRef]
- Nousheen, A.; Zai, S.A.Y.; Waseem, M.; Khan, S.A. Education for sustainable development (ESD): Effects of sustainability education on pre-service teachers’ attitude towards sustainable development (SD). J. Clean. Prod. 2020, 250, 119537. [Google Scholar] [CrossRef]
- Olsson, D.; Gericke, N.; Chang Rundgren, S.-N. The effect of implementation of education for sustainable development in Swedish compulsory schools—Assessing pupils’ sustainability consciousness. Environ. Educ. Res. 2016, 22, 176–202. [Google Scholar] [CrossRef]
- Tang, K.H.D. Correlation between sustainability education and engineering students’ attitudes towards sustainability. Int. J. Sustain. High. Educ. 2018, 19, 459–472. [Google Scholar] [CrossRef]
- Biasutti, M.; Frate, S. A validity and reliability study of the attitudes toward sustainable development scale. Environ. Educ. Res. 2017, 23, 214–230. [Google Scholar] [CrossRef]
- Janakiraman, S.; Watson, S.L.; Watson, W.R. Using Game-based Learning to Facilitate Attitude Change for Environmental Sustainability. J. Educ. Sustain. Dev. 2018, 12, 176–185. [Google Scholar] [CrossRef]
- Bushkin-Bedient, S.; Carpenter, D.O. Benefits versus Risks Associated with Consumption of Fish and other Seafood. Rev. Environ. Health 2010, 25, 161–191. [Google Scholar] [CrossRef]
- FAO. The State of World Fisheries and Aquaculture 2022. In Towards Blue Transformation; FAO: Rome, Italy, 2022; p. 266. [Google Scholar] [CrossRef]
- Cardoso, C.; Lourenço, H.; Costa, S.; Gonçalves, S.; Nunes, M.L. Survey into the seafood consumption preferences and patterns in the Portuguese population. Gender and regional variability. Appetite 2013, 64, 20–31. [Google Scholar] [CrossRef] [PubMed]
- Almeida, C.; Karadzic, V.; Vaz, S. The seafood market in Portugal: Driving forces and consequences. Mar. Policy 2015, 61, 87–94. [Google Scholar] [CrossRef]
- Schaefer, A.M.; Zoffer, M.; Yrastorza, L.; Pearlman, D.M.; Bossart, G.D.; Stoessel, R.; Reif, J.S. Mercury Exposure, Fish Consumption, and Perceived Risk among Pregnant Women in Coastal Florida. Int. J. Environ. Res. Public Health 2019, 16, 4903. [Google Scholar] [CrossRef]
- Almeida, C.; Altintzoglou, T.; Cabral, H.; Vaz, S. Does seafood knowledge relate to more sustainable consumption? Br. Food J. 2015, 117, 894–914. [Google Scholar] [CrossRef]
- Cretella, A.; Scherer, C.; Holm, P. Tasting the ocean: How to increase ocean literacy using seafood heritage with a visceral approach. Mar. Policy 2023, 149, 105476. [Google Scholar] [CrossRef]
- Feijoo, G.; Moreira, M.T. Fostering environmental awareness towards responsible food consumption and reduced food waste in chemical engineering students. Educ. Chem. Eng. 2020, 33, 27–35. [Google Scholar] [CrossRef]
- Maher, J.; Burkhart, S. Experiential learning for engaging nutrition undergraduates with sustainability. Int. J. Sustain. High. Educ. 2017, 18, 1108–1122. [Google Scholar] [CrossRef]
- Brekken, C.A.; Peterson, H.H.; King, R.P.; Conner, D. Writing a Recipe for Teaching Sustainable Food Systems: Lessons from Three University Courses. Sustainability 2018, 10, 1898. [Google Scholar] [CrossRef]
- Seidel, M. Sustainable Consumption graduate course: A project-based approach to learning. Food Cult. Soc. 2020, 23, 86–92. [Google Scholar] [CrossRef]
- Hungerford, H.R.; Volk, T.L. Changing Learner Behavior Through Environmental Education. J. Environ. Educ. 1990, 21, 8–21. [Google Scholar] [CrossRef]
- Cava, F.; Schoedinger, S.; Strang, C.; Tuddenham, P. Science Content and Standards for Ocean Literacy: A Report on Ocean Literacy. 2005. Available online: https://www.coexploration.org/oceanliteracy/documents/OLit2004-05_Final_Report.pdf (accessed on 23 October 2023).
- Uyarra, M.C.; Borja, Á. Ocean literacy: A ‘new’ socio-ecological concept for a sustainable use of the seas. Mar. Pollut. Bull. 2016, 15, 104. [Google Scholar] [CrossRef]
- Mogias, A.; Boubonari, T.; Realdon, G.; Previati, M.; Mokos, M.; Koulouri, P.; Cheimonopoulou, M.T. Evaluating Ocean Literacy of Elementary School Students: Preliminary Results of a Cross-Cultural Study in the Mediterranean Region. Front. Mar. Sci. 2019, 6, 396. [Google Scholar] [CrossRef]
- UNESCO. Education for Sustainable Development Goals. Learning Objectives; United Nations Educational and Cultural Organization: Paris, France, 2017. [Google Scholar]
- UNESCO-IOC. Ocean Literacy Framework for the UN Decade of Ocean Science for Sustainable Development 2021–2030; IOC Ocean Decade Series, 22; UNESCO: Paris, France, 2021. [Google Scholar]
- Gherheș, V.; Stoian, C.E.; Fărcașiu, M.A.; Stanici, M. E-Learning vs. Face-To-Face Learning: Analyzing Students’ Preferences and Behaviors. Sustainability 2021, 13, 4381. [Google Scholar] [CrossRef]
- Oye, N.; Iahad, A. The Impact of E-Leaning on Students’ Performance in Tertiary Institution. Int. J. Comput. Netw. 2012. Available online: https://www.semanticscholar.org/paper/The-impact-of-e-learning-on-students-performance-in-Oye-Iahad/3e20c2679208f216f20fd1f4eee4664c4df3af9f (accessed on 28 November 2023).
- Nycz, M.; Cohen, E.B. The basics for understanding e-learning. In Principles of Effective Online Teaching; Buzzetto-More, N.A., Ed.; Informing Science Press: Santa Rosa, CA, USA, 2007; pp. 1–17. [Google Scholar]
- Galy, E.; Downey, C.; Johnson, J. The effect of using e-learning tools in online and campus-based classrooms on student performance. J. Inf. Technol. Educ. 2011, 10, 209–230. [Google Scholar] [CrossRef]
- Nazarlou, M.M. Research on negative effect on e-learning. Int. J. Mob. Netw. Commun. Telemat. 2013, 3, 11–16. [Google Scholar] [CrossRef][Green Version]
- Alabdulaziz, M.S.; Tayfour, E.A. A Comparative Study of the Effects of Distance Learning and Face-to-Face Learning during the COVID-19 Pandemic on Learning Mathematical Concepts in Primary Students of the Kingdom of Bahrain. Educ. Sci. 2023, 13, 133. [Google Scholar] [CrossRef]
- Creswell, J.W. Educational Research: Planning, Conducting and Evaluating Quantitative and Qualitative Research, 4th ed.; Pearson: Boston, MA, USA, 2012. [Google Scholar]
- Cohen, L.; Manion, L.; Morrison, K. Research Methods in Education, 6th ed.; Routledge: London, UK, 2007. [Google Scholar]
- Cronbach, L.J. Coefficient alpha and the internal structure of tests. Psychometrika 1951, 16, 297–334. [Google Scholar] [CrossRef]
- R Core Team. R: A Language and Environment for Statistical Computing; R Foundation for Statistical Computing: Vienna, Austria, 2019. [Google Scholar]
- Wickham, H.; François, R.; Henry, L.; Müller, K.; Vaughan, D. dplyr: A Grammar of Data Manipulation. R Package Version 1.1.4. 2023. Available online: https://dplyr.tidyverse.org (accessed on 3 October 2023).
- Revelle, W. psychTools: Tools to Accompany the ‘Psych’ Package for Psychological Research; R Package Version 2.1.6; Northwestern University: Evanston, IL, USA, 2021. [Google Scholar]
- Kassambara, A. Rstatix: Pipe-Friendly Framework for Basic Statistical Tests. R Package Version 0.7.2. 2001. Available online: https://rpkgs.datanovia.com/rstatix/ (accessed on 3 October 2023).
- Signorell, A.; Aho, K.; Alfons, A.; Anderegg, N.; Aragon, T.; Arachchige, C.; Arppe, A.; Baddeley, A.; Barton, K.; Bolker, B.; et al. DescTools: Tools for Descriptive Statistics. R Package Version 0.99.50. 2023. Available online: https://andrisignorell.github.io/DescTools/ (accessed on 3 October 2023).
- Miles, M.B.; Huberman, A.M. Qualitative Data Analysis: An Expanded Sourcebook; Sage Publications: Thousand Oaks, CA, USA, 1994. [Google Scholar]
- Poudel, D.D.; Vincent, L.M.; Anzalone, C.; Huner, J.; Wollard, D.; Clement, T.; DeRamus, A.; Blakewood, G. Hands-On Activities and Challenge Tests in Agricultural and Environmental Education. J. Environ. Educ. 2005, 36, 10–22. [Google Scholar] [CrossRef]
- Johnson, B.; Činčcera, J. Examining the relationship between environmental attitudes and behaviour in education programmes. Soc. Stud. 2015, 12, 97–111. [Google Scholar] [CrossRef]
- Torralba-Burrial, A.; Dopico, E. Promoting the Sustainability of Artisanal Fishing through Environmental Education with Game-Based Learning. Sustainability 2023, 15, 12905. [Google Scholar] [CrossRef]
- Simonson, M. Equivalency theory and distance education. Tech Trends 1999, 43, 5–8. [Google Scholar] [CrossRef]
- Keis, O.; Grab, C.; Schneider, A.; Ochsner, W. Online or face-to-face instruction? A qualitative study on the electrocardiogram course at the University of Ulm to examine why students choose a particular format. BMC Med. Educ. 2017, 17, 194–202. [Google Scholar] [CrossRef] [PubMed]
- UN. Revised Roadmap for the UN Decade of Ocean Science for Sustainable Development. In Proceedings of the 51st Session of the IOC Executive Council, Paris, France, 3–6 July 2018; Intergovernmental Oceanographic Commission: Paris, France, 2018. [Google Scholar]
- Kelly, R.; Evans, K.; Alexander, K.; Bettiol, S.; Corney, S.; Cullen-Knox, C.; Cvitanovic, C.; de Salas, K.; Emad, G.R.; Fullbrook, L.; et al. Connecting to the oceans: Supporting ocean literacy and public engagement. Rev. Fish. Biol. Fish. 2022, 32, 123–143. [Google Scholar] [CrossRef] [PubMed]
- Chen, S.-Y.; Liu, S.-Y. Developing Students’ Action Competence for a Sustainable Future: A Review of Educational Research. Sustainability 2020, 12, 1374. [Google Scholar] [CrossRef]
- Foley, R.W.; Archambault, L.M.; Hale, A.E.; Dong, H.-K. Learning Outcomes in Sustainability Education Among Future Elementary School Teachers. J. Educ. Sustain. Dev. 2017, 11, 33–51. [Google Scholar] [CrossRef]
- Green, M.; Somerville, M. Sustainability education: Researching practice in primary schools. Environ. Educ. Res. 2015, 21, 832–845. [Google Scholar] [CrossRef]
- Munkebye, E.; Scheie, E.; Gabrielsen, A.; Jordet, A.; Misund, S.; Nergård, T.; Øyehaug, A.B. Interdisciplinary primary school curriculum units for sustainable development. Environ. Educ. Res. 2020, 26, 795–811. [Google Scholar] [CrossRef]
- Timm, J.-M.; Barth, M. Making education for sustainable development happen in elementary schools: The role of teachers. Environ. Educ. Res. 2021, 27, 50–66. [Google Scholar] [CrossRef]
- Donovan, D. How children represent sustainable consumption through participatory action research and co-design of visual narratives. Int. J. Consum. Stud. 2016, 40, 562–574. [Google Scholar] [CrossRef]






| Class 1 | Class 2 | Class 3 | Class 4 | Class 5 | Class 6 | Class 7 | Class 8 | |
|---|---|---|---|---|---|---|---|---|
| School A (private) | 27 | 23 | ||||||
| School B (private) | 18 | 21 | ||||||
| School C (public) | 26 | 25 | ||||||
| School D (public) | 26 | 22 |
| Question | Options | Category |
|---|---|---|
| Knowledge | |
| How often do you do the following activities? (Select only one answer for each point) | ||
| (a) Never (b) Almost Never (c) Sometimes (d) Always | Consumption habits |
| ||
| ||
| ||
| (a) Only adults. (b) I choose. (c) We decide together. | |
| For each of the following sentences, select the option you think is correct. (Choose only one answer for each question. If you don’t know the answer, choose “I don’t know”) | ||
| (a) True (b) False (c) I don’t know | Knowledge |
| (a) True (b) False (c) I don’t know | |
| (a) True (b) False (c) I don’t know | |
| (a) True (b) False (c) I don’t know | |
| (a) True (b) False (c) I don’t know | |
| (a) True (b) False (c) I don’t know | |
| (a) True (b) False (c) I don’t know | |
| (a) True (b) False (c) I don’t know | |
| (a) True (b) False (c) I don’t know | |
|
| Sustainable behaviors |
| What do you think the definition of each of the following concepts is? (Select only one option for each concept) | ||
|
| Knowledge |
|
| |
|
| |
|
| |
|
| |
| Modules | Topics | Description |
|---|---|---|
| M1 | T1—Species biology |
|
| T2—Seasonality of fishing |
| |
| Discussion and consolidation | ||
| M2 | T3—Fishing methods |
|
| T4—Minimum landing size |
| |
| Discussion and consolidation | ||
| M3 | T5—Fish labelling |
|
| Discussion and consolidation | ||
| General discussion and consolidation | ||
| Categories | Sub-Categories | Guidance Questions |
|---|---|---|
| Knowledge about the biology of species |
|
|
| Knowledge of fish-catching methods |
|
|
| Knowledge about labelling and sustainable fish consumption |
|
|
| Question | Category | Answer Options | Score |
|---|---|---|---|
| 1 | Knowledge | Indicates 4 or more species | 3 |
| Indicates 2 or 3 species | 2 | ||
| Indicates 1 species | 1 | ||
| Other answer | 0 | ||
| 2 | Consumption habits | Select “Always” or “Sometimes” | 1 |
| Select “Never” or “Almost never” | 0 | ||
| 3 | Consumption habits | Select “Always” or “Sometimes” | 1 |
| Select “Never” or “Almost never” | 0 | ||
| 4 | Consumption habits | Select “Always” or “Sometimes” | 1 |
| Select “Never” or “Almost never” | 0 | ||
| 5 | Consumption habits | Select “Always” or “Sometimes” | 1 |
| Select “Never” or “Almost never” | 0 | ||
| 6 | Consumption habits | Select “We decided together” | 1 |
| Select “I say what I want” or “Adults only” | 0 | ||
| 7 | Knowledge | Select correct answer | 1 |
| Select incorrect answer or “Don’t know” | 0 | ||
| 8 | Knowledge | Select correct answer | 1 |
| Select incorrect answer or “Don’t know” | 0 | ||
| 9 | Knowledge | Select correct answer | 1 |
| Select incorrect answer or “Don’t know” | 0 | ||
| 10 | Konwledge | Select correct answer | 1 |
| Select incorrect answer or “Don’t know” | 0 | ||
| 11 | Knowledge | Select correct answer | 1 |
| Select incorrect answer or “Don’t know” | 0 | ||
| 12 | Konwledge | Select correct answer | 1 |
| Select incorrect answer or “Don’t know” | 0 | ||
| 13 | Knowledge | Select correct answer | 1 |
| Select incorrect answer or “Don’t know” | 0 | ||
| 14 | Knowledge | Select correct answer | 1 |
| Select incorrect answer or “Don’t know” | 0 | ||
| 15 | Knowledge | Select correct answer | 1 |
| Select incorrect answer or “Don’t know” | 0 | ||
| 16 | Sustainable behaviours | Select only the four correct answers | 4 |
| Select four correct answers | 3 | ||
| Select two or three correct answers | 2 | ||
| Select one correct answer | 1 | ||
| Other answer | 0 | ||
| 17 | Knowledge | Select the correct answer | 1 |
| Select the wrong answer or “I don’t know/never heard of it” | 0 | ||
| 18 | Knowledge | Select the correct answer | 1 |
| Select the wrong answer or “I don’t know/never heard of it” | 0 | ||
| 19 | Knowledge | Select the correct answer | 1 |
| Select the wrong answer or “I don’t know/never heard of it” | 0 | ||
| 20 | Knowledge | Select the correct answer | 1 |
| Select the wrong answer or “I don’t know/never heard of it” | 0 | ||
| 21 | Knowledge | Select the correct answer | 1 |
| Select the wrong answer or “I don’t know/never heard of it” | 0 |
Disclaimer/Publisher’s Note: The statements, opinions and data contained in all publications are solely those of the individual author(s) and contributor(s) and not of MDPI and/or the editor(s). MDPI and/or the editor(s) disclaim responsibility for any injury to people or property resulting from any ideas, methods, instructions or products referred to in the content. |
© 2024 by the authors. Licensee MDPI, Basel, Switzerland. This article is an open access article distributed under the terms and conditions of the Creative Commons Attribution (CC BY) license (https://creativecommons.org/licenses/by/4.0/).
Share and Cite
Silva, A.R.; Boaventura, D.; Sequeira, V. Promoting Sustainable Fish Consumption in Portuguese 4th-Grade Students. Sustainability 2024, 16, 579. https://doi.org/10.3390/su16020579
Silva AR, Boaventura D, Sequeira V. Promoting Sustainable Fish Consumption in Portuguese 4th-Grade Students. Sustainability. 2024; 16(2):579. https://doi.org/10.3390/su16020579
Chicago/Turabian StyleSilva, Ana Rita, Diana Boaventura, and Vera Sequeira. 2024. "Promoting Sustainable Fish Consumption in Portuguese 4th-Grade Students" Sustainability 16, no. 2: 579. https://doi.org/10.3390/su16020579
APA StyleSilva, A. R., Boaventura, D., & Sequeira, V. (2024). Promoting Sustainable Fish Consumption in Portuguese 4th-Grade Students. Sustainability, 16(2), 579. https://doi.org/10.3390/su16020579

