Experimental Optimization of the Propeller Turbine Performance Using the Response Surface Methodology
Abstract
1. Introduction
2. Methods and Materials
2.1. Turbine Principles
2.2. Turbine Design
3. Experimental Test
3.1. Manufacturing via 3D Printing
3.2. Data Acquisition System
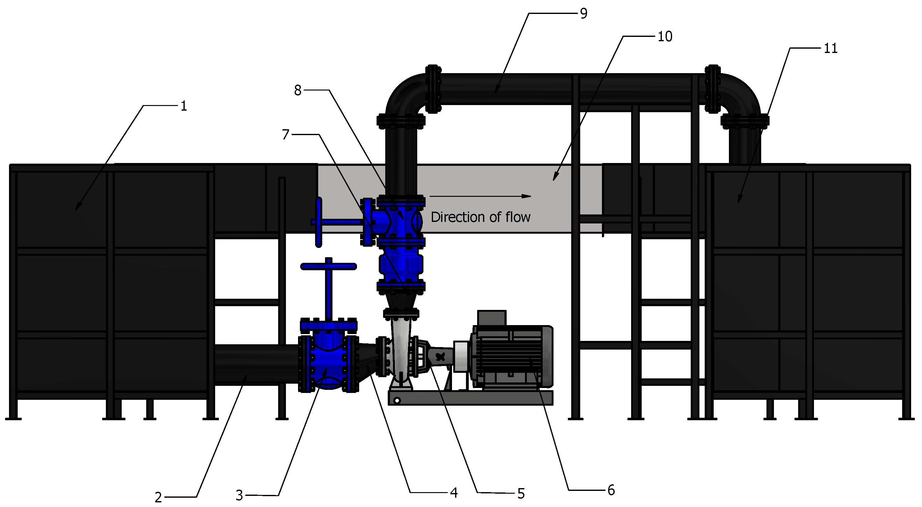
3.3. Experimental Setup
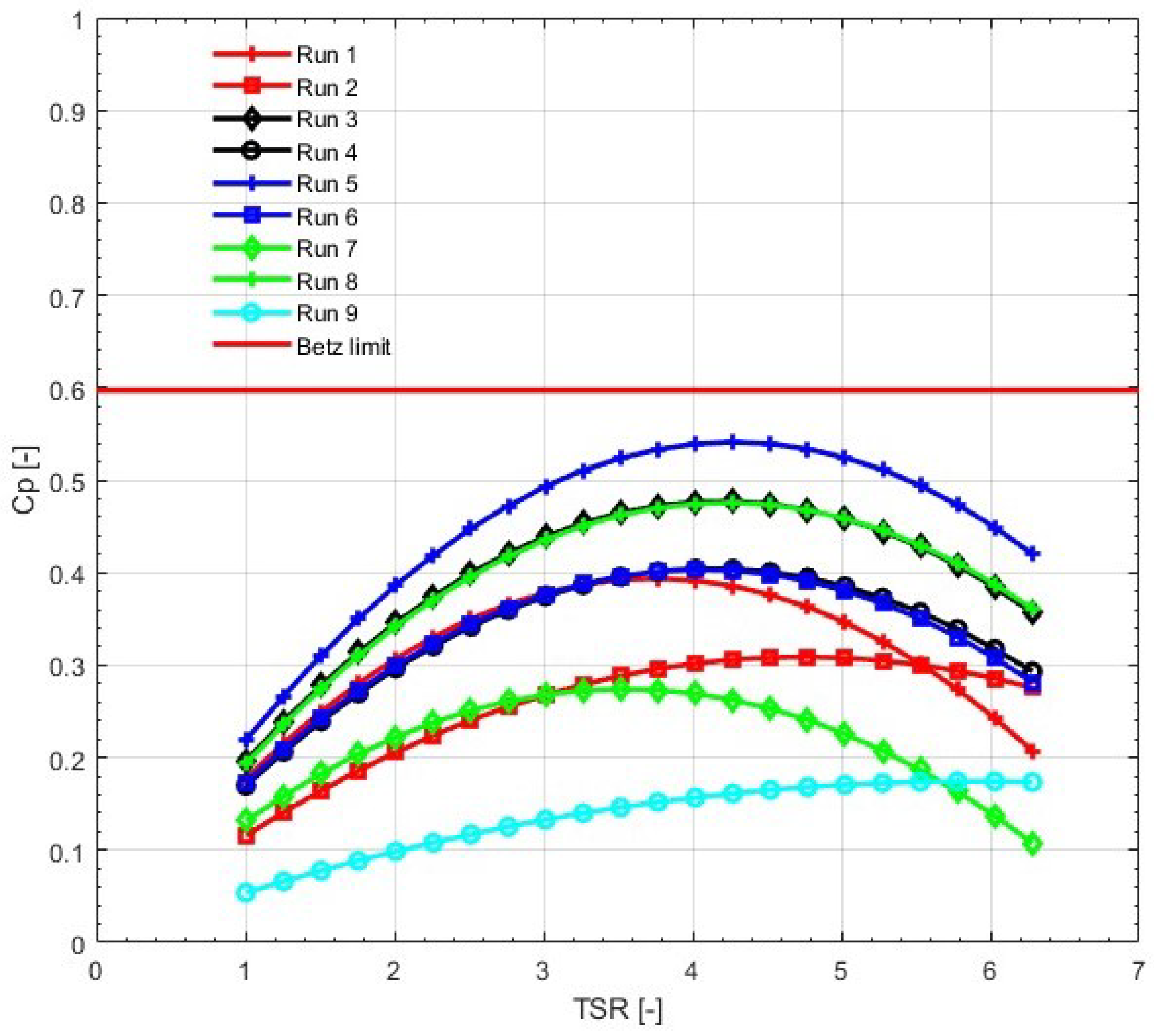
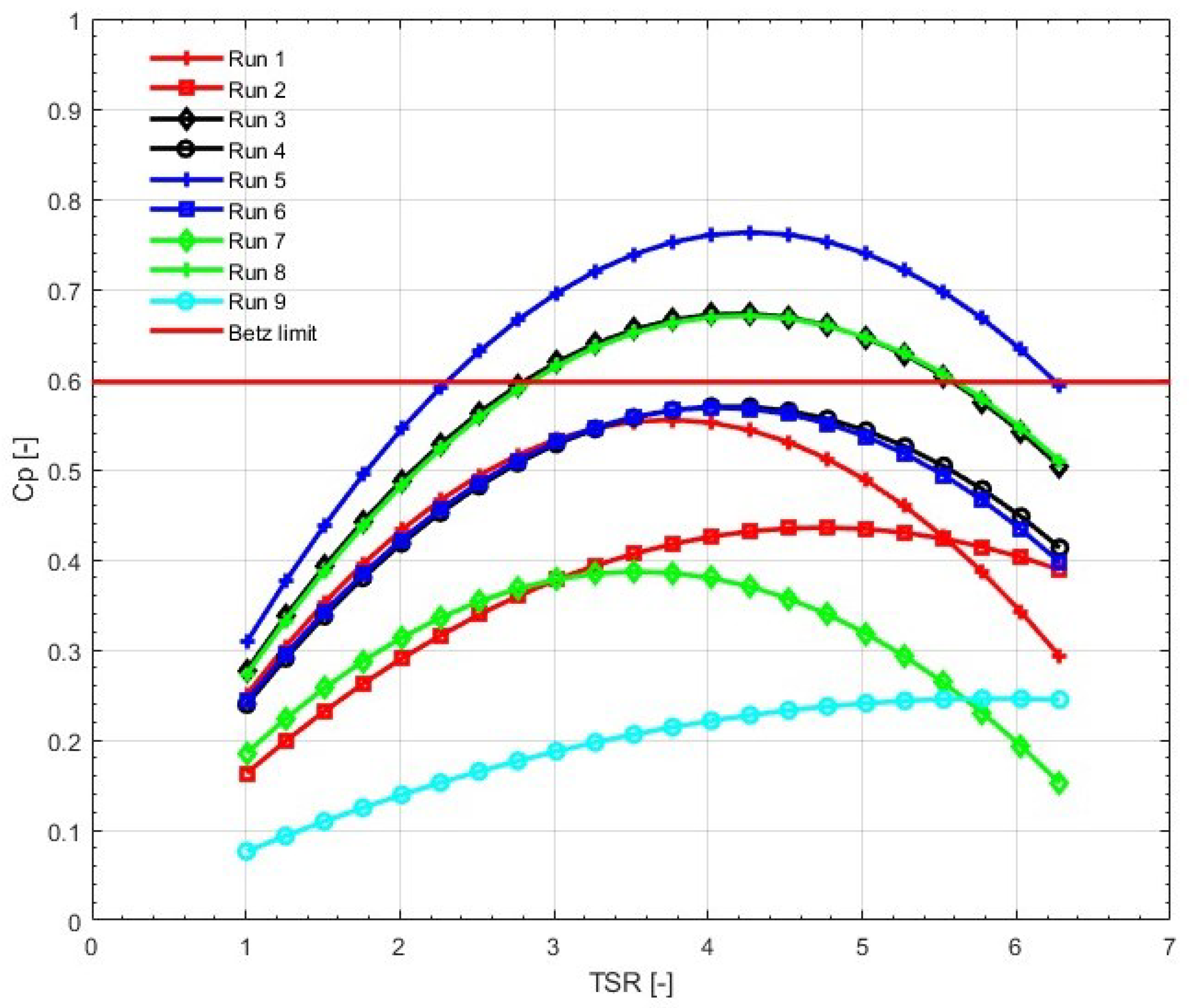
4. Results
5. Discussion
6. Conclusions
Author Contributions
Funding
Institutional Review Board Statement
Informed Consent Statement
Data Availability Statement
Acknowledgments
Conflicts of Interest
References
- Dincer, I.; Aydin, M.I. New paradigms in sustainable energy systems with hydrogen. Energy Convers. Manag. 2023, 283, 116950. [Google Scholar] [CrossRef]
- Hoang, A.T.; Nguyen, X.P.; Nguyen, X.P. Integrating renewable sources into energy system for smart city as a sagacious strategy towards clean and sustainable process. J. Clean. Prod. 2021, 305, 127161. [Google Scholar] [CrossRef]
- Holden, E.; Linnerud, K.; Rygg, B.J. A review of dominant sustainable energy narratives. Renew. Sustain. Energy Rev. 2021, 144, 110955. [Google Scholar] [CrossRef]
- Kallis, G.; Kostakis, V.; Lange, S.; Muraca, B.; Paulson, S.; Schmelzer, M. Research on degrowth. Annu. Rev. Environ. Resour. 2018, 43, 291–316. [Google Scholar] [CrossRef]
- Del Mármol, C.; Celigueta, G.; Vaccaro, I. Socio-economic transitions and everyday life changes in the rural world: Pyrenean households and their contemporary economic history. J. Agrar. Chang. 2018, 18, 677–693. [Google Scholar] [CrossRef]
- Tripathi, A.D.; Mishra, R.; Maurya, K.K.; Singh, R.B.; Wilson, D.W. Estimates for world population and global food availability for global health. In The Role of Functional Food Security in Global Health; Elsevier: Amsterdam, The Netherlands, 2019; pp. 3–24. [Google Scholar]
- Gupta, G.S. Land degradation and challenges of food security. Rev. Eur. Stud. 2019, 11, 63. [Google Scholar] [CrossRef]
- Ahmad, T.; Zhang, D. A critical review of comparative global historical energy consumption and future demand: The story told so far. Energy Rep. 2020, 6, 1973–1991. [Google Scholar] [CrossRef]
- Yadav, A.; Pal, N.; Patra, J.; Yadav, M. Strategic planning and challenges to the deployment of renewable energy technologies in the world scenario: Its impact on global sustainable development. Environ. Dev. Sustain. 2020, 22, 297–315. [Google Scholar] [CrossRef]
- Santamouris, M.; Vasilakopoulou, K. Present and future energy consumption of buildings: Challenges and opportunities towards decarbonisation. E-Prime Electr. Eng. Electron. Energy 2021, 1, 100002. [Google Scholar] [CrossRef]
- Kalair, A.; Abas, N.; Saleem, M.S.; Kalair, A.R.; Khan, N. Role of energy storage systems in energy transition from fossil fuels to renewables. Energy Storage 2021, 3, e135. [Google Scholar] [CrossRef]
- Ang, T.Z.; Salem, M.; Kamarol, M.; Das, H.S.; Nazari, M.A.; Prabaharan, N. A comprehensive study of renewable energy sources: Classifications, challenges and suggestions. Energy Strategy Rev. 2022, 43, 100939. [Google Scholar] [CrossRef]
- Kumar, M. Social, economic, and environmental impacts of renewable energy resources. Wind Sol. Hybrid Renew. Energy Syst. IntechOpen 2020, 1–12. [Google Scholar] [CrossRef]
- Yadav, P.K.; Kumar, A.; Jaiswal, S. A critical review of technologies for harnessing the power from flowing water using a hydrokinetic turbine to fulfill the energy need. Energy Rep. 2023, 9, 2102–2117. [Google Scholar] [CrossRef]
- Mohamed, M. Performance investigation of H-rotor Darrieus turbine with new airfoil shapes. Energy 2012, 47, 522–530. [Google Scholar] [CrossRef]
- Reddy, K.B.; Bhosale, A.C.; Saini, R. Performance parameters of lift-based vertical axis hydrokinetic turbines—A review. Ocean Eng. 2022, 266, 113089. [Google Scholar] [CrossRef]
- Zhang, A.; Liu, S.; Ma, Y.; Hu, C.; Li, Z. Field tests on model efficiency of twin vertical axis helical hydrokinetic turbines. Energy 2022, 247, 123376. [Google Scholar] [CrossRef]
- Cardona-Mancilla, C.; del Río, J.S.; Chica-Arrieta, E.; Hincapié-Zuluaga, D. Turbinas hidrocinéticas de eje horizontal: Una revisión de la literatura Horizontal axis hydrokinetic turbines: A review of the literature. Tecnol. Cienc. Del Agua 2018, 9, 180–197. [Google Scholar] [CrossRef]
- Laws, N.D.; Epps, B.P. Hydrokinetic energy conversion: Technology, research, and outlook. Renew. Sustain. Energy Rev. 2016, 57, 1245–1259. [Google Scholar] [CrossRef]
- Kumar, A.; Saini, R. Performance analysis of a Savonius hydrokinetic turbine having twisted blades. Renew. Energy 2017, 108, 502–522. [Google Scholar] [CrossRef]
- Belfkira, Z.; Mounir, H.; El Marjani, A. A new approach for investigation of aerodynamic performances of a Horizontal Axis Wind Turbine for different Reynolds numbers. In Proceedings of the 2016 International Renewable and Sustainable Energy Conference (IRSEC), Marrakech, Morocco, 14–17 November 2016; IEEE: Toulouse, France, 2016; pp. 427–432. [Google Scholar]
- Bak, C. Aerodynamic design of wind turbine rotors. In Advances in Wind Turbine Blade Design and Materials; Elsevier: Amsterdam, The Netherlands, 2023; pp. 79–128. [Google Scholar]
- Kumar, D.; Sarkar, S. A review on the technology, performance, design optimization, reliability, techno-economics and environmental impacts of hydrokinetic energy conversion systems. Renew. Sustain. Energy Rev. 2016, 58, 796–813. [Google Scholar] [CrossRef]
- Romero-Menco, F.; Betancour, J.; Velásquez, L.; Rubio-Clemente, A.; Chica, E. Horizontal-axis propeller hydrokinetic turbine optimization by using the response surface methodology: Performance effect of rake and skew angles. Ain Shams Eng. J. 2024, 15, 102596. [Google Scholar] [CrossRef]
- Chica, E.; Rubio-Clemente, A. Design of Zero Head Turbines for Power Generation; IntechOpen: London, UK, 2017. [Google Scholar]
- Gaggero, S.; Martinelli, M. Comparison of different propeller boss cap fins design for improved propeller performances. Appl. Ocean Res. 2021, 116, 102867. [Google Scholar] [CrossRef]
- Mizzi, K.; Demirel, Y.K.; Banks, C.; Turan, O.; Kaklis, P.; Atlar, M. Design optimisation of Propeller Boss Cap Fins for enhanced propeller performance. Appl. Ocean Res. 2017, 62, 210–222. [Google Scholar] [CrossRef]
- Yin, C.; Rosenvinge, C.K.; Sandland, M.P.; Ehlers, A.; Shin, K.W. Improve ship propeller efficiency via optimum design of propeller boss cap fins. Energies 2023, 16, 1247. [Google Scholar] [CrossRef]
- Khuri, A.I.; Cornell, J.A. Response Surfaces: Designs and Analyses; CRC Press: Boca Raton, FL, USA, 2018. [Google Scholar]
- Veza, I.; Spraggon, M.; Fattah, I.R.; Idris, M. Response surface methodology (RSM) for optimizing engine performance and emissions fueled with biofuel: Review of RSM for sustainability energy transition. Results Eng. 2023, 18, 101213. [Google Scholar] [CrossRef]
- Skinner, S.N.; Zare-Behtash, H. State-of-the-art in aerodynamic shape optimisation methods. Appl. Soft Comput. 2018, 62, 933–962. [Google Scholar] [CrossRef]
- Papazoglou, G.; Biskas, P. Review and comparison of genetic algorithm and particle swarm optimization in the optimal power flow problem. Energies 2023, 16, 1152. [Google Scholar] [CrossRef]
- Guerra, J.; Velásquez, L.; Rubio-Clemente, A.; Jaramillo, L.; Chica, E. Design and optimization of a siphon turbine using the response surface methodology. Results Eng. 2024, 22, 102241. [Google Scholar] [CrossRef]
- Bremer, M.; Janoschek, L.; Kaschta, D.; Schneider, N.; Wahl, M. Influence of plastic recycling—a feasibility study for additive manufacturing using glycol modified polyethylene terephthalate (PETG). SN Appl. Sci. 2022, 4, 156. [Google Scholar] [CrossRef]
- Vidakis, N.; Petousis, M.; Tzounis, L.; Grammatikos, S.A.; Porfyrakis, E.; Maniadi, A.; Mountakis, N. Sustainable additive manufacturing: Mechanical response of polyethylene terephthalate glycol over multiple recycling processes. Materials 2021, 14, 1162. [Google Scholar] [CrossRef]
- Clarke, T.; Hosseini, A. Effects of print parameters on tensile characteristics of additively manufactured polyethylene terephthalate-glycol (PETG). Int. J. Adv. Manuf. Technol. 2023, 125, 4953–4974. [Google Scholar] [CrossRef]
- Setiawan, P.; Santoso, M.; Indarti, R.; Ariwiyono, N.; Yuwono, T.; Widodo, W. An experimental study of the Savonius water current turbine by means of myring equation for n = 1. J. Phys. Conf. Ser. 2021, 1764, 012194. [Google Scholar] [CrossRef]
- Zouzou, B.; Dobrev, I.; Massouh, F.; Dizene, R. Experimental and numerical analysis of a novel Darrieus rotor with variable pitch mechanism at low TSR. Energy 2019, 186, 115832. [Google Scholar] [CrossRef]
- Rehman, S.; Alhems, L.M.; Alam, M.M.; Wang, L.; Toor, Z. A review of energy extraction from wind and ocean: Technologies, merits, efficiencies, and cost. Ocean Eng. 2023, 267, 113192. [Google Scholar] [CrossRef]
- Patel, V.; Shah, K. Effect of Flow Velocity on the Performance of the Savonius Hydrokinetic Turbine. In Recent Advances in Manufacturing, Automation, Design and Energy Technologies: Proceedings from ICoFT 2020; Springer: Berlin/Heidelberg, Germany, 2022; pp. 785–793. [Google Scholar]
- Niebuhr, C.M.; Van Dijk, M.; Neary, V.S.; Bhagwan, J.N. A review of hydrokinetic turbines and enhancement techniques for canal installations: Technology, applicability and potential. Renew. Sustain. Energy Rev. 2019, 113, 109240. [Google Scholar] [CrossRef]
- He, R.; Sun, H.; Gao, X.; Yang, H. Wind tunnel tests for wind turbines: A state-of-the-art review. Renew. Sustain. Energy Rev. 2022, 166, 112675. [Google Scholar] [CrossRef]
- Segalini, A.; Dahlberg, J.Å. Blockage effects in wind farms. Wind Energy 2020, 23, 120–128. [Google Scholar] [CrossRef]
- Ryi, J.; Rhee, W.; Hwang, U.C.; Choi, J.S. Blockage effect correction for a scaled wind turbine rotor by using wind tunnel test data. Renew. Energy 2015, 79, 227–235. [Google Scholar] [CrossRef]
- Jeong, H.; Lee, S.; Kwon, S.D. Blockage corrections for wind tunnel tests conducted on a Darrieus wind turbine. J. Wind Eng. Ind. Aerodyn. 2018, 179, 229–239. [Google Scholar] [CrossRef]
- Zhang, D.; Guo, P.; Cheng, Y.; Hu, Q.; Li, J. Analysis of blockage correction methods for high-solidity hydrokinetic turbines: Experimental and numerical investigations. Ocean Eng. 2023, 283, 115185. [Google Scholar] [CrossRef]
- Heiberger, R.M.; Neuwirth, E.; Heiberger, R.M.; Neuwirth, E. Polynomial regression. In R Through Excel: A Spreadsheet Interface for Statistics, Data Analysis, and Graphics; Springer: Berlin/Heidelberg, Germany, 2009; pp. 269–284. [Google Scholar]
- Schielzeth, H. Simple means to improve the interpretability of regression coefficients. Methods Ecol. Evol. 2010, 1, 103–113. [Google Scholar] [CrossRef]
- Kleijnen, J.P. Regression and Kriging metamodels with their experimental designs in simulation: A review. Eur. J. Oper. Res. 2017, 256, 1–16. [Google Scholar] [CrossRef]
- Bouvant, M.; Betancour, J.; Velásquez, L.; Rubio-Clemente, A.; Chica, E. Design optimization of an Archimedes screw turbine for hydrokinetic applications using the response surface methodology. Renew. Energy 2021, 172, 941–954. [Google Scholar] [CrossRef]
- Gallego, E.; Rubio-Clemente, A.; Pineda, J.; Velásquez, L.; Chica, E. Experimental analysis on the performance of a pico-hydro Turgo turbine. J. King Saud Univ.-Eng. Sci. 2021, 33, 266–275. [Google Scholar] [CrossRef]
- Osborne, J.W.; Waters, E. Four assumptions of multiple regression that researchers should always test. Pract. Assess. Res. Eval. 2019, 8, 2. [Google Scholar]
- Fox, J. Regression Diagnostics: An Introduction; Sage Publications: Thousand Oaks, CA, USA, 2019. [Google Scholar]
- Schmidt, A.F.; Finan, C. Linear regression and the normality assumption. J. Clin. Epidemiol. 2018, 98, 146–151. [Google Scholar] [CrossRef]
- Cardoso, F.C.; Berri, R.A.; Lucca, G.; Borges, E.N.; de Mattos, V.L.D. Normality tests: A study of residuals obtained on time series tendency modeling. Exacta 2023, 1–26, artigo aceito online. [Google Scholar] [CrossRef]
- D’Agostino, R.B. Tests for the normal distribution. In Goodness-of-Fit-Techniques; Routledge: London, UK, 2017; pp. 367–420. [Google Scholar]
- Knief, U.; Forstmeier, W. Violating the normality assumption may be the lesser of two evils. Behav. Res. Methods 2021, 53, 2576–2590. [Google Scholar] [CrossRef]
- Faruk, D.Ö. A hybrid neural network and ARIMA model for water quality time series prediction. Eng. Appl. Artif. Intell. 2010, 23, 586–594. [Google Scholar] [CrossRef]
- Turner, S.L.; Forbes, A.B.; Karahalios, A.; Taljaard, M.; McKenzie, J.E. Evaluation of statistical methods used in the analysis of interrupted time series studies: A simulation study. BMC Med Res. Methodol. 2021, 21, 1–18. [Google Scholar] [CrossRef] [PubMed]
- Chen, Y. Spatial autocorrelation approaches to testing residuals from least squares regression. PLoS ONE 2016, 11, e0146865. [Google Scholar] [CrossRef] [PubMed]
- Khaled, W.; Lin, J.; Han, Z.; Zhao, Y.; Hao, H. Test for heteroscedasticity in partially linear regression models. J. Syst. Sci. Complex. 2019, 32, 1194–1210. [Google Scholar] [CrossRef]
- Ravinder, H.; Berenson, M.; Su, H. Assessing student ability to interpret regression diagnostic plots. J. Bus. Econ. Stud. 2019, 23, 18–34. [Google Scholar]
- Judd, C.M.; McClelland, G.H.; Ryan, C.S. Data Analysis: A Model Comparison Approach to Regression, ANOVA, and Beyond; Routledge: London, UK, 2017. [Google Scholar]
- Dugard, P.; Todman, J.; Staines, H. Analysis of variance (ANOVA). In Approaching Multivariate Analysis, 2nd ed.; Routledge: London, UK, 2022; pp. 13–54. [Google Scholar]










| Independent Factor | Values | ||
|---|---|---|---|
| −1 | 0 | 1 | |
| 0.15 | 0.20 | 0.25 | |
| Z | 2 | 3 | 4 |
| Run 1 | Run 2 | Run 3 |
| Z = 4 | Z = 2 | Z = 4 |
![]() | ![]() | ![]() |
| Run 4 | Run 5 | Run 6 |
| Z = 3 | Z = 4 | Z = 3 |
![]() | ![]() | ![]() |
| Run 7 | Run 8 | Run 9 |
| Z = 2 | Z = 3 | Z = 2 |
![]() | ![]() | ![]() |
| Mechanical Properties | |
|---|---|
| Tensile strength | 60 MPa |
| Elongation at break | 6.80% |
| Impact resistance | 10 kJ/m2 |
| Density | 1.27 kg/m3 |
| Printing parameters | |
| Extrusion temperature | 220–260 °C |
| Printing speed | 150 mm/s |
| Bed temperature | 60–80 °C |
| Run | Z | Surface Area [m2] | |
|---|---|---|---|
| 1 | 0.20 | 4 | 0.04242 |
| 2 | 0.15 | 2 | 0.02259 |
| 3 | 0.25 | 4 | 0.04306 |
| 4 | 0.20 | 3 | 0.03317 |
| 5 | 0.15 | 4 | 0.04171 |
| 6 | 0.25 | 3 | 0.03421 |
| 7 | 0.25 | 2 | 0.02537 |
| 8 | 0.15 | 3 | 0.03215 |
| 9 | 0.20 | 2 | 0.02393 |
| Run | Z | Experimental [-] | Model [-] | Residuals | TSR Experimental [-] | |
|---|---|---|---|---|---|---|
| 1 | 0.20 | 4 | 0.3936 | 0.4111 | −0.0175 | 3.7692 |
| 2 | 0.15 | 2 | 0.3089 | 0.3034 | −0.0054 | 4.7743 |
| 3 | 0.25 | 4 | 0.4770 | 0.4646 | 0.0126 | 4.2717 |
| 4 | 0.20 | 3 | 0.4044 | 0.3682 | 0.0361 | 4.2717 |
| 5 | 0.15 | 4 | 0.5412 | 0.5362 | 0.0049 | 4.2717 |
| 6 | 0.25 | 3 | 0.4033 | 0.4290 | −0.0257 | 4.0204 |
| 7 | 0.25 | 2 | 0.2743 | 0.2611 | 0.0131 | 3.5179 |
| 8 | 0.15 | 3 | 0.4756 | 0.4860 | −0.0104 | 4.2717 |
| 9 | 0.20 | 2 | 0.1743 | 0.1929 | −0.0186 | 5.7794 |
| Term | SS | Df | Ms | F-Ratio | p-Value |
|---|---|---|---|---|---|
| Z | 0.07142 | 1 | 0.07142 | 68.567 | 0.00369 |
| 0.00486 | 1 | 0.00486 | 4.668 | 0.11951 | |
| 0.00876 | 1 | 0.00876 | 8.407 | 0.0653 | |
| ()2 | 0.01596 | 1 | 0.01596 | 15.324 | 0.02963 |
| (Z)() | 0.00021 | 1 | 0.00021 | 0.206 | 0.68070 |
| Residuals | 0.00312 | 3 | 0.00104 |
Disclaimer/Publisher’s Note: The statements, opinions and data contained in all publications are solely those of the individual author(s) and contributor(s) and not of MDPI and/or the editor(s). MDPI and/or the editor(s) disclaim responsibility for any injury to people or property resulting from any ideas, methods, instructions or products referred to in the content. |
© 2024 by the authors. Licensee MDPI, Basel, Switzerland. This article is an open access article distributed under the terms and conditions of the Creative Commons Attribution (CC BY) license (https://creativecommons.org/licenses/by/4.0/).
Share and Cite
Velásquez, L.; Rubio-Clemente, A.; Tobón, D.; Botero, F.; Arrieta, C.; Chica, E. Experimental Optimization of the Propeller Turbine Performance Using the Response Surface Methodology. Sustainability 2024, 16, 8476. https://doi.org/10.3390/su16198476
Velásquez L, Rubio-Clemente A, Tobón D, Botero F, Arrieta C, Chica E. Experimental Optimization of the Propeller Turbine Performance Using the Response Surface Methodology. Sustainability. 2024; 16(19):8476. https://doi.org/10.3390/su16198476
Chicago/Turabian StyleVelásquez, Laura, Ainhoa Rubio-Clemente, Daniel Tobón, Francisco Botero, Carlos Arrieta, and Edwin Chica. 2024. "Experimental Optimization of the Propeller Turbine Performance Using the Response Surface Methodology" Sustainability 16, no. 19: 8476. https://doi.org/10.3390/su16198476
APA StyleVelásquez, L., Rubio-Clemente, A., Tobón, D., Botero, F., Arrieta, C., & Chica, E. (2024). Experimental Optimization of the Propeller Turbine Performance Using the Response Surface Methodology. Sustainability, 16(19), 8476. https://doi.org/10.3390/su16198476










