Sign in to use this feature.

Years

Between: -

Subjects

remove_circle_outline
remove_circle_outline
remove_circle_outline
remove_circle_outline
remove_circle_outline
remove_circle_outline
remove_circle_outline
remove_circle_outline

Journals

Article Types

Countries / Regions

Search Results (87)

Search Parameters:
Keywords = propeller turbine

Order results
Result details
Results per page
Select all
Export citation of selected articles as:
20 pages, 5168 KB  
Article
Shape Optimization and Fatigue Analysis of the Bracket in the Jacking Frame of a Wind Turbine Installation Vessel
by Guanyi Gao, Shumei Chen, Guoqing Feng and Kaiyan Li
J. Mar. Sci. Eng. 2025, 13(11), 2069; https://doi.org/10.3390/jmse13112069 - 30 Oct 2025
Viewed by 432
Abstract
As offshore wind power continues to extend into deeper waters, the operational environment has expanded from shallow to deep seas. Self-elevating and self-propelled installation vessels have been widely adopted due to their jack-up systems and self-propulsion capabilities. The structural integrity of wind turbine [...] Read more.
As offshore wind power continues to extend into deeper waters, the operational environment has expanded from shallow to deep seas. Self-elevating and self-propelled installation vessels have been widely adopted due to their jack-up systems and self-propulsion capabilities. The structural integrity of wind turbine installation vessels is crucial to ensure successful operations, among which the strength of the jacking frame is particularly critical. This study focuses on the bracket made of E550 steel at the root of the jacking frame. Shape optimization of the bracket was performed using parametric modeling technology, resulting in a 26% reduction in peak stress and a 12% decrease in bracket mass. Following the optimization, a full-scale fatigue test targeting local fatigue hot spots of the bracket was carried out. Based on the experimental data, the fatigue S-N curve of the bracket was obtained. Finally, a fatigue assessment was conducted on the high-stress region at the toe of the bracket. The results indicate that the bracket with unequal arm lengths exhibits lower stress concentration. Fatigue cracks of the bracket initiate at the weld toe, and the fatigue strength of the E550 steel toe joint obtained from the test is superior to that of the D-curve specified in the standards. Based on the derived S–N curve, a spectral fatigue analysis was further carried out to verify the fatigue performance of the optimized bracket. The total fatigue damage of the optimized structure over a 20-year design life was calculated as 0.6, which is below the allowable limit of 1.0, demonstrating that the optimized design satisfies the fatigue safety requirements. Full article
Show Figures

Figure 1

23 pages, 836 KB  
Article
Decarbonizing a Sailboat Using Solar Panels, Wind Turbines, and Hydro-Generation for Zero-Emission Propulsion
by Hamdi Sena Nomak and İsmail Çiçek
Sustainability 2025, 17(20), 9050; https://doi.org/10.3390/su17209050 - 13 Oct 2025
Viewed by 1088
Abstract
The decarbonization of maritime transport has primarily targeted large vessels, leaving small craft largely dependent on fossil fuel despite their inherent use of wind propulsion. This study addresses that gap by designing and simulating a zero-emission propulsion system for a 12.5 m sailing [...] Read more.
The decarbonization of maritime transport has primarily targeted large vessels, leaving small craft largely dependent on fossil fuel despite their inherent use of wind propulsion. This study addresses that gap by designing and simulating a zero-emission propulsion system for a 12.5 m sailing yacht based on integrated renewable energy. The retrofit replaces the diesel engine with an electric drivetrain supported by static solar panels and wind turbines, as well as dynamic sources, including hydro-generators and a regenerative propeller. In addition to performance under typical weather profiles, we conducted a lifecycle environmental impact estimation and evaluated system resilience under low renewable input. Simulations used real mid-latitude meteorological data to assess operational and environmental sustainability. The results show that during two representative 24 h voyages, propulsion and hotel loads were sustained solely by onboard renewables, with battery state of charge remaining above 28–46%. In an emergency calm scenario, the yacht motored for four hours at 5–6 knots using only stored energy, with solar input extending range. The findings demonstrate that integrated multi-source renewables can provide complete energy autonomy for sailing yachts. The approach illustrates practical feasibility under real conditions, scalability to eco-tour boats and ferries, and alignment with international decarbonization targets. Full article
Show Figures

Figure 1

24 pages, 3326 KB  
Article
Experimental Validation of a Working Fluid Versatile Supersonic Turbine for Micro Launchers
by Cleopatra Florentina Cuciumita, Valeriu Alexandru Vilag, Cosmin Petru Suciu and Emilia Georgiana Prisăcariu
Aerospace 2025, 12(10), 887; https://doi.org/10.3390/aerospace12100887 - 30 Sep 2025
Viewed by 374
Abstract
The growing demand for micro-launchers capable of placing payloads between 1 and 100 kg into low Earth orbit stems from rapid advances in electronics and the resulting increase in nanosatellite capabilities. Simultaneously, space programs are prioritizing the use of alternative propellants, those that [...] Read more.
The growing demand for micro-launchers capable of placing payloads between 1 and 100 kg into low Earth orbit stems from rapid advances in electronics and the resulting increase in nanosatellite capabilities. Simultaneously, space programs are prioritizing the use of alternative propellants, those that are more sustainable, cost-effective, and readily available. As a result, modern launcher development emphasizes versatility, reliability, reusability, and adaptability to various working fluids. This paper presents the experimental validation of a supersonic turbine design methodology tailored for such adaptable systems. The focus is on a turbine class intended for a turbopump in micro-launchers with payload capacities around 100 kg. The experimental campaign employed two working fluids (air and methane) to assess the method’s robustness. The validation was performed on a stator only planar model, and the experimental data was compared with the analytical result obtained through the Mach number similarity criterion. The results confirm that the approach accurately identifies flow similarity through Mach number matching, even when the working fluid changes. Comparative analysis between experimental data and predictions demonstrates the method’s reliability, with measurement uncertainties also addressed. These findings support the methodology’s applicability in practical engine design and adaptation. Future work will explore enhancements to improve predictive capability and flexibility. The method may be extended to other systems where fluid substitution offers design or operational advantages. Full article
(This article belongs to the Section Astronautics & Space Science)
Show Figures

Figure 1

13 pages, 5894 KB  
Article
Wind Turbine Electric Signals Simulator
by Sorin Sintea, Cornel Panait, Bogdan Hnatiuc, Marian Tirpan, Catalin Pomazan and Mihaela Hnatiuc
Energies 2025, 18(18), 4951; https://doi.org/10.3390/en18184951 - 17 Sep 2025
Viewed by 517
Abstract
The development of green technologies in recent years in the field of wind energy conversion into electricity implies a technology transfer from the static switching field to the energy field. This paper presents a wind turbine simulator using a hardware solution following the [...] Read more.
The development of green technologies in recent years in the field of wind energy conversion into electricity implies a technology transfer from the static switching field to the energy field. This paper presents a wind turbine simulator using a hardware solution following the energy conversion of a real turbine. We implemented this solution for educational and research purposes to train students in the process of electrical conversion in wind turbines. For the simulation, we chose an E82/2300 turbine, installed by ENERCON in a nearby geographical area. The turbine has the capacity to generate 2300 kW of electricity into grids. It has a direct coupling structure of the propeller to the generator. The solution is implemented on a multi-processor architecture with analog signal processing. The structure of a wind turbine is divided into three consecutive blocks, namely TUGEN, DCDC4X, and SIN3F. Each block of the simulator is designed with electronic components. The input and output signals of these blocks have similar waveforms to real signals, and their succession is interconditioned by process parameters. The innovation of the proposed solution is provided by software engineering applied to a hardware structure. The ratio between the simulated and real values is 1:60 in order to visualize the signals on a digital oscilloscope, mainly for educational purposes. Full article
(This article belongs to the Special Issue Modeling, Control and Optimization of Wind Power Systems)
Show Figures

Figure 1

15 pages, 1775 KB  
Article
Design of a Hybrid Wind and Micro-Hydro System for Sustainable Water Treatment
by Hesamaddin Emamipour, Mohammad Javad Eshghi and Ashraf Ali Khan
Energies 2025, 18(18), 4870; https://doi.org/10.3390/en18184870 - 13 Sep 2025
Viewed by 1535
Abstract
Newfoundland and Labrador have strong wind and water resources, making hybrid renewable energy systems an important option for the region. This paper presents the design and simulation of a system that combines wind turbines and micro-hydro power to deliver clean electricity for water [...] Read more.
Newfoundland and Labrador have strong wind and water resources, making hybrid renewable energy systems an important option for the region. This paper presents the design and simulation of a system that combines wind turbines and micro-hydro power to deliver clean electricity for water treatment in remote communities. Many isolated areas still rely on diesel and other conventional sources, which create environmental concerns. Using HOMER Pro 3.17.1 software, the system was modeled based on local climate and resource conditions. Results show that it can produce over 35,000 kWh per year, enough to power a standard water treatment unit serving more than 240 people. By integrating wind and hydro with battery storage, the system ensures stable operation and reduces dependence on fossil fuels. The environmental analysis confirms that it avoids over 9 tons of CO2 emissions annually. The novelty of this work is its site-specific approach, showing how renewable energy can improve both energy security and water quality in remote Canadian communities while providing a model for sustainable rural development. Full article
(This article belongs to the Special Issue Development and Efficient Utilization of Renewable and Clean Energy)
Show Figures

Figure 1

19 pages, 4166 KB  
Article
Power Consumption and Mixing Intensity of Jet Flow Mixer in Industrial Tank
by Julia Wilewska, Wojciech Orciuch, Adam Dudała, Pawel Gierycz and Łukasz Makowski
Energies 2025, 18(15), 3975; https://doi.org/10.3390/en18153975 - 25 Jul 2025
Viewed by 1557
Abstract
A jet flow mixer is a novel agitator type widely used in the industry. However, scientific research has yet to be conducted on this impeller type. In this study, six types of fluids with various properties widely used in the paint industry were [...] Read more.
A jet flow mixer is a novel agitator type widely used in the industry. However, scientific research has yet to be conducted on this impeller type. In this study, six types of fluids with various properties widely used in the paint industry were chosen to calculate the positioning of the jet flow mixer in the tank. Calculations were performed using computational fluid dynamics (CFD) software and validated using literature data. Simulations were conducted to consider the inside of the jet flow mixer and the inside of the tank. The initial calculations made for jet flow mixers allowed the determination of volume flow and power numbers for three types of mixers (propeller agitator and Pitched Blade Turbine with three and four blades). Those parameters were then used in subsequent calculations, obtaining the optimal inclination angle of the agitator and power consumption for each considered case. The jet flow mixer with a propeller impeller positioned at an angle of 45° proved to be the choice to achieve the best results. Full article
Show Figures

Figure 1

16 pages, 1491 KB  
Article
A Hull–Engine–Propeller Matching Method for Shaftless Rim-Driven Thrusters
by Dajian Cheng, Huaqiang Zhang, Tong Yao, Mei Zhao and Pingpeng Tang
J. Mar. Sci. Eng. 2025, 13(8), 1414; https://doi.org/10.3390/jmse13081414 - 25 Jul 2025
Viewed by 1035
Abstract
As an innovative underwater propulsion technology, the rim-driven thruster (RDT) has garnered increasing attention due to its advantages over conventional diesel or gas turbine propulsion systems, including reduced noise, higher efficiency, and a compact structure. However, traditional hull–engine–propeller matching theories are not directly [...] Read more.
As an innovative underwater propulsion technology, the rim-driven thruster (RDT) has garnered increasing attention due to its advantages over conventional diesel or gas turbine propulsion systems, including reduced noise, higher efficiency, and a compact structure. However, traditional hull–engine–propeller matching theories are not directly applicable to RDTs because of their unique shaftless and ducted characteristics. Based on conventional hull–engine–propeller matching theory and propeller design methodology, this study proposes a novel hull–engine–propeller matching approach tailored specifically to RDTs. The method enables rapid matching by using open-water characteristics for hull–engine–propeller matching. In the absence of open-water test data for shaftless propellers, key parameters derived from ducted propeller tests are used for matching based on open-water characteristics to design the shaftless propeller. The propeller is then optimized through computational fluid dynamics (CFD) simulations to achieve the required thrust performance, effectively enabling an equivalent replacement. The proposed method provides a practical framework for selecting and designing RDTs, improves overall propulsion efficiency, and offers specific guidelines for determining optimal motor design parameters. Full article
(This article belongs to the Section Ocean Engineering)
Show Figures

Figure 1

22 pages, 4362 KB  
Article
An Innovative Cryogenic Heat Exchanger Design for Sustainable Aviation
by Francesco Sciatti, Vincenzo Di Domenico, Paolo Tamburrano, Elia Distaso and Riccardo Amirante
Energies 2025, 18(5), 1261; https://doi.org/10.3390/en18051261 - 4 Mar 2025
Cited by 4 | Viewed by 2096
Abstract
Aviation is one of the most important industries in the current global scenario, but it has a significant impact on climate change due to the large quantities of carbon dioxide emitted daily from the use of fossil kerosene-based fuels (jet fuels). Although technological [...] Read more.
Aviation is one of the most important industries in the current global scenario, but it has a significant impact on climate change due to the large quantities of carbon dioxide emitted daily from the use of fossil kerosene-based fuels (jet fuels). Although technological advancements in aircraft design have enhanced efficiency and reduced emissions over the years, the rapid growth of the aviation industry presents challenges in meeting the environmental targets outlined in the “Flightpath 2050” report. This highlights the urgent need for effective decarbonisation strategies. Hydrogen propulsion, via fuel cells or combustion, offers a promising solution, with the combustion route currently being more practical for a wider range of aircraft due to the limited power density of fuel cells. In this context, this paper designs and models a nitrogen–hydrogen heat exchanger architecture for use in an innovative hydrogen-propelled aircraft fuel system, where the layout was recently proposed by the same authors to advance sustainable aviation. This system stores hydrogen in liquid form and injects it into the combustion chamber as a gas, making the cryogenic heat exchanger essential for its operation. In particular, the heat exchanger enables the vaporisation and superheating of liquid hydrogen by recovering heat from turbine exhaust gases and utilising nitrogen as a carrier fluid. A pipe-in-pipe design is employed for this purpose, which, to the authors’ knowledge, is not yet available on the market. Specifically, the paper first introduces the proposed heat exchanger architecture, then evaluates its feasibility with a detailed thermodynamic model, and finally presents the calculation results. By addressing challenges in hydrogen storage and usage, this work contributes to advancing sustainable aviation technologies and reducing the environmental footprint of air travel. Full article
(This article belongs to the Section J1: Heat and Mass Transfer)
Show Figures

Figure 1

23 pages, 8347 KB  
Article
Research on Improving the Horizontal Bearing Performance of Wind Power Pile Foundation with Added Wing Structure
by Huaqing Yang, Tianbiao Tan, Jingmin Pan and Chengtang Wang
Sustainability 2025, 17(3), 861; https://doi.org/10.3390/su17030861 - 22 Jan 2025
Cited by 1 | Viewed by 1354
Abstract
The growing recognition of renewable energy’s importance, particularly its role in sustainability, has propelled wind energy to a prominent position. Receiving substantial global policy support due to its unique advantages, wind energy has seen a significant increase in installed turbine capacity. Consequently, expectations [...] Read more.
The growing recognition of renewable energy’s importance, particularly its role in sustainability, has propelled wind energy to a prominent position. Receiving substantial global policy support due to its unique advantages, wind energy has seen a significant increase in installed turbine capacity. Consequently, expectations for the foundational bearing performance of these turbines have heightened, reflecting the enhanced focus on sustainable energy solutions. In response to these demands, this research introduces an innovative single pile foundation design that aims to elevate bearing capabilities to new heights. This research delves into the horizontal bearing properties of this novel foundation and the stress-strain dynamics of geotechnical materials under loading conditions. To achieve this, we utilize the Gudehus-Bauer subplastic model, specifically tailored for coastal sands within the ABAQUS finite element analysis software. Calibration and verification of the Gudehus-Bauer model’s parameters were meticulously conducted based on laboratory tests focusing on the coastal sands of the Yangtze River basin in China, enabling the development of a precise finite element model for the new single pile foundation in sandy coastal soils. Our findings reveal that this reinforced single pile foundation not only mirrors the horizontal bearing capacity and failure mechanisms of traditional designs but also surpasses them in performance. Numerically, this innovative structure boasts a remarkable 19.34% increase in horizontal ultimate bearing capacity and a minimum of 21.91% reduction in maximum displacement compared to standard single piles. These results underscore the superior horizontal bearing performance of our novel foundation design, which not only enhances structural integrity but also aligns with the principles of sustainable engineering by optimizing material usage, reducing environmental impact, and contributing to the broader goal of promoting renewable energy as a sustainable energy source. Full article
Show Figures

Figure 1

25 pages, 7790 KB  
Article
Scaled Designs of Solar Chimneys for Different Locations
by Georgia Buckland and Julian Booker
Designs 2025, 9(1), 1; https://doi.org/10.3390/designs9010001 - 25 Dec 2024
Viewed by 1991
Abstract
A global motivation to reduce reliance on fossil fuels and transition to cleaner, renewable energy sources propels studies of innovative technologies to harness solar energy. This paper investigates the viability of a promising renewable energy technology, solar chimney power plants (SCPPs), in a [...] Read more.
A global motivation to reduce reliance on fossil fuels and transition to cleaner, renewable energy sources propels studies of innovative technologies to harness solar energy. This paper investigates the viability of a promising renewable energy technology, solar chimney power plants (SCPPs), in a domestic context. Using a scalable mathematical model, including thermodynamic processes within the collector, chimney, and turbine generator, the power output of SCPPs is assessed across five global locations with varying annual energy requirements: Aswan, Egypt, Cornwall, UK, Melbourne, Australia, Quito Ecuador, São Paulo Brazil. This research predicts a plant’s performance under differing plant geometries and meteorological inputs such as ambient temperature and solar irradiance, revealing that Aswan, Quito, and São Paulo can reliably produce year-round power, while Cornwall and Melbourne may need a supplementary energy supply in the winter months. The model establishes a linear relationship between collector radius and chimney height for each region to minimize geometry whilst fulfilling annual energy requirements, demonstrating that reducing one component size increases the other to maintain the required output. These geometries inform discussions of technology implementation, including the integration of an air-source heat pump (ASHP) to enhance performance, though it was found that the SCPP may not meet the power demand of the ASHP in Melbourne winter. Some lifecycle factors of the Melbourne and Quito plants are considered to assess the environmental viability of the technology. Full article
(This article belongs to the Section Energy System Design)
Show Figures

Figure 1

17 pages, 5693 KB  
Article
Predesign of a Radial Inflow Turbine That Uses Supercritical Methane for a Mid-Scale Thruster for Upper Stage Application
by Alexandru-Claudiu Cancescu, Daniel-Eugeniu Crunteanu, Anna-Maria Theodora Andreescu and Simona-Nicoleta Danescu
Aerospace 2024, 11(12), 996; https://doi.org/10.3390/aerospace11120996 - 1 Dec 2024
Viewed by 1917
Abstract
The worldwide concern regarding the harmful effects of old polluting and toxic propellants has led to increased interest in new, green propellants and higher efficiency thrusters. This fact requires that a new generation of turbopumps, fit for these propellants, is developed. This paper [...] Read more.
The worldwide concern regarding the harmful effects of old polluting and toxic propellants has led to increased interest in new, green propellants and higher efficiency thrusters. This fact requires that a new generation of turbopumps, fit for these propellants, is developed. This paper focuses on the design of a radial inflow turbine, which was developed to power a single-shaft turbopump system for a 30 kN upper stage expander cycle thruster engine. The objective was to create a high-efficiency, compact, cheap-to-manufacture, 3D-printable turbine suitable to simultaneously power the methane and Oxygen pumps that feed the thruster. The total power consumed by the pumps for which this turbine was designed is 152 kW. The solution proposed in this paper includes measures such as elimination of the bladed diffuser, which was carried out to reduce the weight and the overall dimensions of the turbine. Comparing it with an axial turbine with the same power output, it has lower overall dimensions because it does not require a direction change at the inlet to the turbine bladed components, it does not require a stator to work, and its casing has a conical shape and is not cylindrical like the axial construction one. The proposed design has been analysed by CFD, which revealed that it can power the pumps. Analysis performed in off-design conditions indicated that the turbine has the best efficiency if the rotation speed and mass flow are varied at the same time. A breadboard model of the turbopump for which the turbine in this paper has been designed has been built using plastic and tested at pressures up to 6 bars using compressed air. The results indicate that above 1.5 bars of inlet pressure the turbine can overcome the internal resistances of the components and the rotor starts to spin. No indication of imbalance of the rotor was observed at maximum test pressure. Two configurations of the seals between the turbine and the adjacent pump have been tested, indicating that labyrinth seals must be doubled by floating ring seals. Full article
(This article belongs to the Special Issue Progress in Turbomachinery Technology for Propulsion)
Show Figures

Figure 1

31 pages, 7485 KB  
Article
Micro Gas Turbines in the Global Energy Landscape: Bridging the Techno-Economic Gap with Comparative and Adaptive Insights from Internal Combustion Engines and Renewable Energy Sources
by A. H. Samitha Weerakoon and Mohsen Assadi
Energies 2024, 17(21), 5457; https://doi.org/10.3390/en17215457 - 31 Oct 2024
Cited by 4 | Viewed by 2858
Abstract
This paper investigates the potential of Micro Gas Turbines (MGTs) in the global shift towards low-carbon energy systems, particularly focusing on their integration within microgrids and distributed energy generation systems. MGTs, recognized for their fuel flexibility and efficiency, have yet to achieve the [...] Read more.
This paper investigates the potential of Micro Gas Turbines (MGTs) in the global shift towards low-carbon energy systems, particularly focusing on their integration within microgrids and distributed energy generation systems. MGTs, recognized for their fuel flexibility and efficiency, have yet to achieve the commercialization success of rival technologies such as Internal Combustion Engines (ICEs), wind turbines, and solar power (PV) installations. Through a comprehensive review of recent techno-economic assessment (TEA) studies, we highlight the challenges and opportunities for MGTs, emphasizing the critical role of TEA in driving market penetration and technological advancement. Comparative analysis with ICE and RES technologies reveals significant gaps in TEA activities for MGTs, which have hindered their broader adoption. This paper also explores the learning and experience effects associated with TEA, demonstrating how increased research activities have propelled the success of ICE and RES technologies. The analysis reveals a broad range of learning and experience effects, with learning rates (α) varying from 0.1 to 0.25 and experience rates (β) from 0.05 to 0.15, highlighting the significant role these effects play in reducing the levelized cost of energy (LCOE) and improving the net present value (NPV) of MGT systems. Hybrid systems integrating MGTs with renewable energy sources (RESs) and ICE technologies demonstrate the most substantial cost reductions and efficiency improvements, with systems like the hybrid renewable energy CCHP with ICE achieving a learning rate of α = 0.25 and significant LCOE reductions from USD 0.02/kWh to USD 0.017/kWh. These findings emphasize the need for targeted TEA studies and strategic investments to unlock the full potential of MGTs in a decarbonized energy landscape. By leveraging learning and experience effects, stakeholders can predict cost trajectories more accurately and make informed investment decisions, positioning MGTs as a competitive and sustainable energy solution in the global energy transition. Full article
(This article belongs to the Special Issue Renewable Fuels for Internal Combustion Engines: 2nd Edition)
Show Figures

Figure 1

18 pages, 1631 KB  
Article
Experimental Optimization of the Propeller Turbine Performance Using the Response Surface Methodology
by Laura Velásquez, Ainhoa Rubio-Clemente, Daniel Tobón, Francisco Botero, Carlos Arrieta and Edwin Chica
Sustainability 2024, 16(19), 8476; https://doi.org/10.3390/su16198476 - 29 Sep 2024
Cited by 5 | Viewed by 2321
Abstract
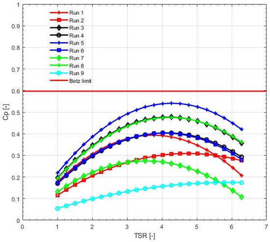
The growing global energy demand necessitates a shift towards sustainable sources to mitigate environmental issues and ensure energy security. This work explores the design and optimization of propeller-type hydrokinetic turbines to efficiently harness renewable energy from water currents. Through experimental testing and regression [...] Read more.
The growing global energy demand necessitates a shift towards sustainable sources to mitigate environmental issues and ensure energy security. This work explores the design and optimization of propeller-type hydrokinetic turbines to efficiently harness renewable energy from water currents. Through experimental testing and regression modeling, the research aimed to maximize the power coefficient (Cp) by determining the optimal values of the number of blades (Z) and the turbine diameter to hub diameter ratio (d/D). By correcting for experimental biases, the study elucidates the importance of factors such as the blockage ratio and turbine configuration on its performance. A second-order polynomial regression model, which was validated through analysis of variance, determined that when Z and d/D were set at 4 and 0.15, respectively, the optimal value for Cp was 53.62%. These findings provide valuable insights for optimizing hydrokinetic turbine efficiency, contributing to the advancement of renewable energy technologies. Full article
(This article belongs to the Section Energy Sustainability)
Show Figures

Figure 1

23 pages, 9792 KB  
Article
Deep Learning Approaches for Power Prediction in Wind–Solar Tower Systems
by Mostafa A. Rushdi, Shigeo Yoshida, Koichi Watanabe, Yuji Ohya and Amr Ismaiel
Energies 2024, 17(15), 3630; https://doi.org/10.3390/en17153630 - 24 Jul 2024
Cited by 8 | Viewed by 3935
Abstract
Wind–solar towers are a relatively new method of capturing renewable energy from solar and wind power. Solar radiation is collected and heated air is forced to move through the tower. The thermal updraft propels a wind turbine to generate electricity. Furthermore, the top [...] Read more.
Wind–solar towers are a relatively new method of capturing renewable energy from solar and wind power. Solar radiation is collected and heated air is forced to move through the tower. The thermal updraft propels a wind turbine to generate electricity. Furthermore, the top of the tower’s vortex generators produces a pressure differential, which intensifies the updraft. Data were gathered from a wind–solar tower system prototype developed and established at Kyushu University in Japan. Aiming to predict the power output of the system, while knowing a set of features, the data were evaluated and utilized to build a regression model. Sensitivity analysis guided the feature selection process. Several machine learning models were utilized in this study, and the most appropriate model was chosen based on prediction quality and temporal criteria. We started with a simple linear regression model but it was inaccurate. By adding some non-linearity through using polynomial regression of the second order, the accuracy increased considerably sufficiently. Moreover, deep neural networks were trained and tested to enhance the power prediction performance. These networks performed very well, having the most powerful prediction capabilities, with a coefficient of determination R2=0.99734 after hyper-parameter tuning. A 1-D convolutional neural network achieved less accuracy with R2=0.99647, but is still considered a competitive model. A reduced model was introduced trading off some accuracy (R2=0.9916) for significantly reduced data collection requirements and effort. Full article
(This article belongs to the Special Issue Energy, Electrical and Power Engineering 2024)
Show Figures

Graphical abstract

53 pages, 15592 KB  
Article
Fluid-Structure Numerical Study of an In-Pipe Axial Turbine with Circular Blades
by Oscar D. Monsalve-Cifuentes, Sebastián Vélez-García, Daniel Sanín-Villa and Josept David Revuelta-Acosta
Energies 2024, 17(14), 3539; https://doi.org/10.3390/en17143539 - 18 Jul 2024
Cited by 1 | Viewed by 2592
Abstract
Hydraulic turbines have become indispensable for harnessing renewable energy sources, particularly in-pipe hydraulic turbine technology, which leverages excess energy within pipeline systems like drinking water distribution pipes to produce electrical power. Among these turbines, the propeller-type axial turbine with circular blades stands out [...] Read more.
Hydraulic turbines have become indispensable for harnessing renewable energy sources, particularly in-pipe hydraulic turbine technology, which leverages excess energy within pipeline systems like drinking water distribution pipes to produce electrical power. Among these turbines, the propeller-type axial turbine with circular blades stands out for its efficiency. However, there is a notable lack of literature on fluid dynamics and structural behavior under various operational conditions. This study introduces a comprehensive methodology to numerically investigate the hydraulic and structural responses of turbines designed for in-pipe installation. The methodology encompasses the design of circular blades, followed by parametric studies on fluid dynamics and structural analysis. The circular blade’s performance was evaluated across different materials, incorporating static, modal, and harmonic response analyses. Results showed that the circular blade achieved a peak hydraulic efficiency of 75.5% at a flow rate of 10 l/s, generating 1.86 m of head pressure drop and 138 W of mechanical power. Structurally, it demonstrated a safety factor exceeding 1 across the entire hydraulic range without encountering resonance or fatigue issues. This research and its methodology significantly contribute to advancing the understanding of designing and assessing the fluid dynamic behavior and structural integrity of circular blades in axial propeller-type turbines for in-pipe installations, serving as a valuable resource for future studies in similar domains. Full article
(This article belongs to the Special Issue Recent Advances in Hydro-Mechanical Turbines: Powering the Future)
Show Figures

Figure 1

Back to TopTop