Effective Fuel Cell Electrocatalyst with Ultralow Pd Loading on Ni-N-Doped Graphene from Upcycled Water Bottle Waste
Abstract
1. Introduction
2. Materials and Methods
2.1. Synthesis of the Electrocatalysts
2.2. Characterization of the Electrocatalysts
2.3. Electrochemical Measurements
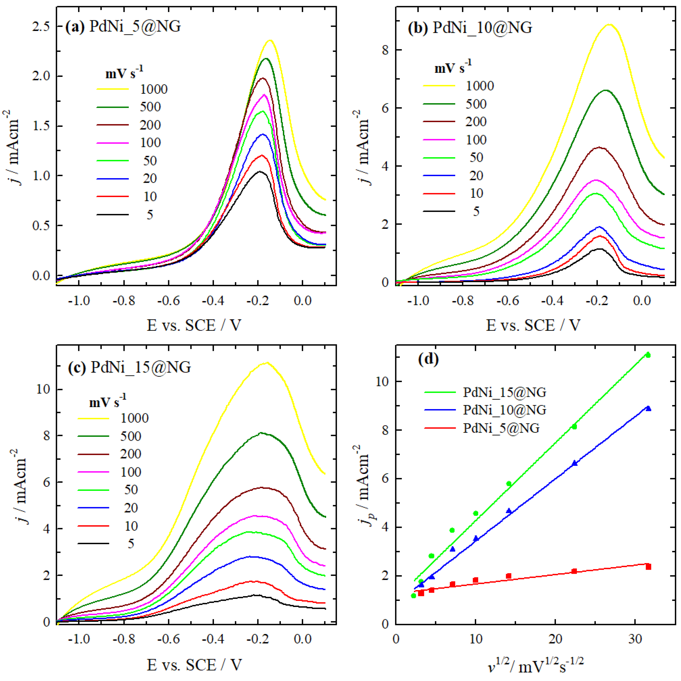
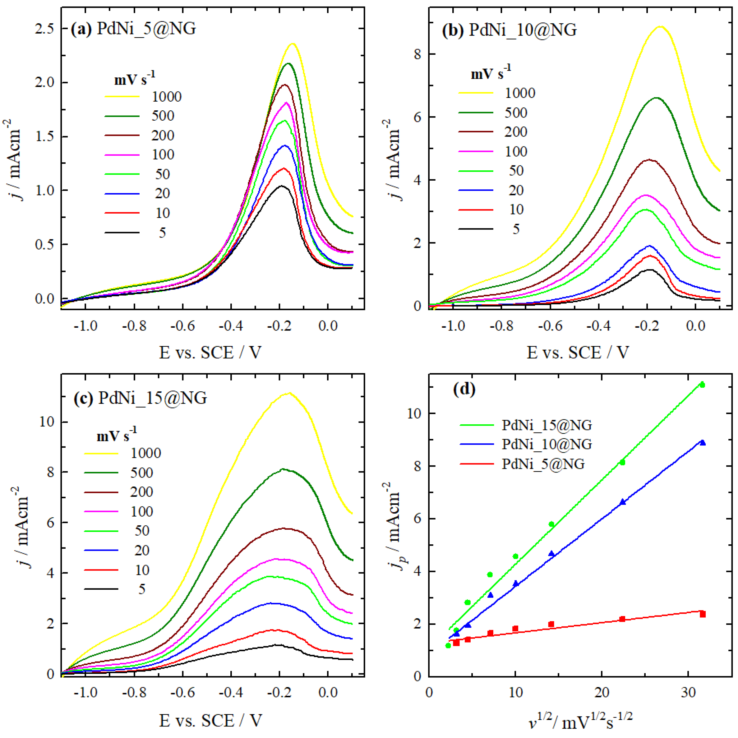
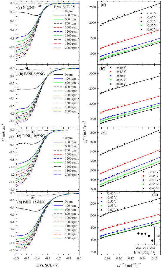
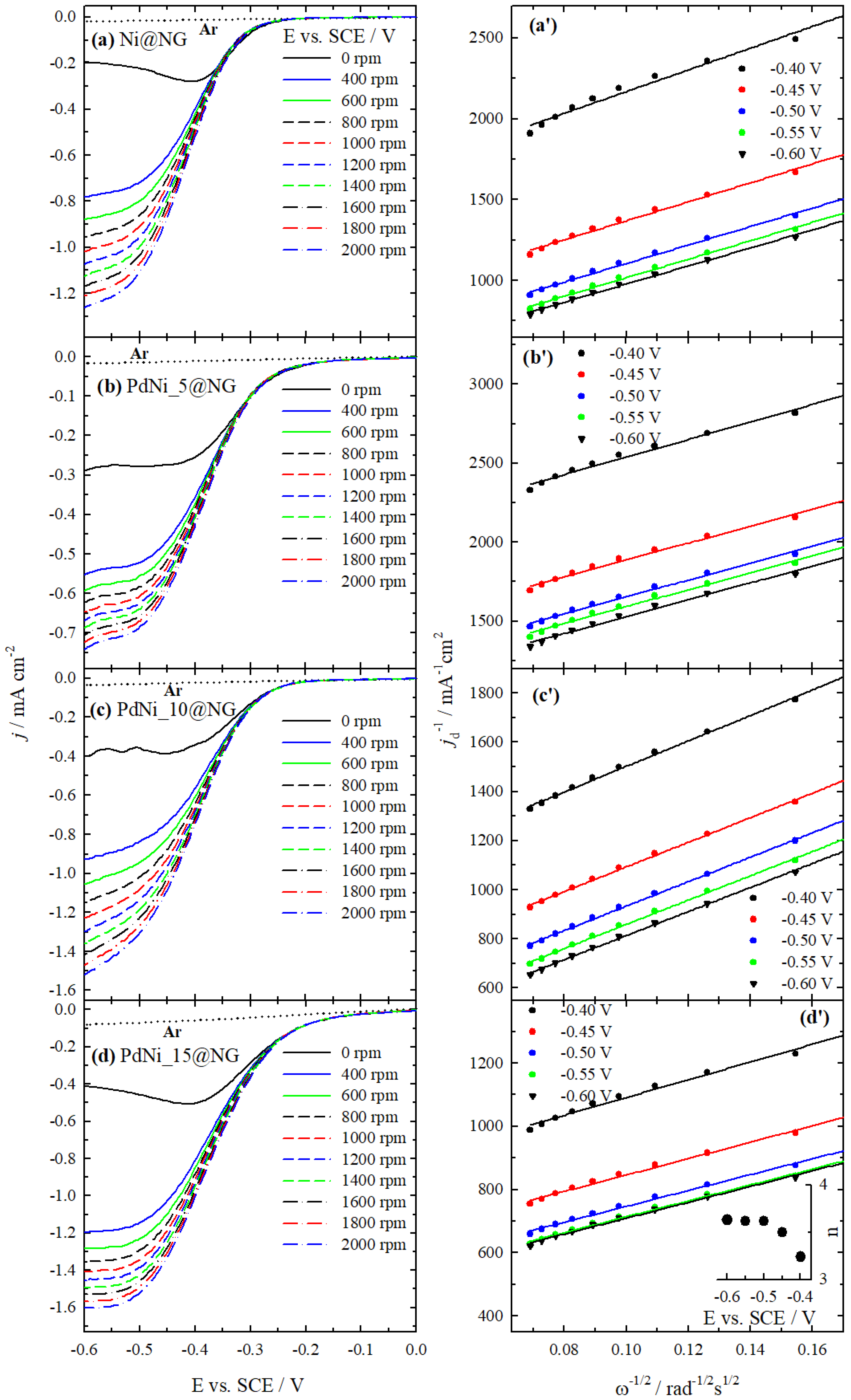
3. Results and Discussion
4. Conclusions
Author Contributions
Funding
Institutional Review Board Statement
Informed Consent Statement
Data Availability Statement
Acknowledgments
Conflicts of Interest
References
- Indig, M.E.; Snyder, R.N. Sodium Borohydride, An Interesting Anodic Fuel (1). J. Electrochem. Soc. 1962, 109, 1104–1106. [Google Scholar] [CrossRef]
- Qin, H.; Jiang, L.; He, Y.; Liu, J.; Cao, K.; Wang, J.; He, Y.; Ni, H.; Chi, H.; Ji, Z. Carbon Supported Silver Nanowires with Enhanced Catalytic Activity and Stability Used as a Cathode in a Direct Borohydride Fuel Cell. J. Mater. Chem. A 2013, 1, 15323–15328. [Google Scholar] [CrossRef]
- Chatenet, M.; Micoud, F.; Roche, I.; Chainet, E. Kinetics of Sodium Borohydride Direct Oxidation and Oxygen Reduction in Sodium Hydroxide Electrolyte: Part II. O2 Reduction. Electrochim. Acta 2006, 51, 5459–5467. [Google Scholar] [CrossRef]
- Ma, J.; Sahai, Y.; Buchheit, R.G. Direct Borohydride Fuel Cell Using Ni-Based Composite Anodes. J. Power Sources 2010, 195, 4709–4713. [Google Scholar] [CrossRef]
- Guo, Y.; Hu, Z.; Cao, Y.; Tan, Q.; Yang, D.; Che, Y.; Zhang, C.; Ming, P.; Xiao, Q. Boosting borohydride oxidation kinetics by manipulating hydrogen evolution and oxidation through octahedral Pt–Ni/C for high-performance direct borohydride fuel cells. J. Power Sources 2024, 612, 234786. [Google Scholar] [CrossRef]
- Zhiani, M.; Mohammadi, I. Performance Study of Passive and Active Direct Borohydride Fuel Cell Employing a Commercial Pd Decorated Ni-Co/C Anode Catalyst. Fuel 2016, 166, 517–525. [Google Scholar] [CrossRef]
- Milikic, J.; Martins, M.; Dobrota, A.S.; Bozkurt, G.; Soylu, G.S.P.; Yurtcan, A.B.; Skorodumova, N.V.; Pasti, I.A.; Sljukic, B.; Santos, D.M.F. A Pt/MnV2O6 Nanocomposite for the Borohydride Oxidation Reaction. J. Energy Chem. 2021, 55, 428–436. [Google Scholar] [CrossRef]
- Wang, B.; Zhang, D.; Ye, K.; Cheng, K.; Cao, D.; Wang, G.; Cheng, X. Plastic Supported Platinum Modified Nickel Electrode and its High Electrocatalytic Activity for Sodium Borohydride Electrooxidation. J. Energy Chem. 2015, 24, 497–502. [Google Scholar] [CrossRef]
- Ma, J.; Sahai, Y. Direct Borohydride Fuel Cells-Current Status, Issues, and Future Directions. In Anion Exchange Membrane Fuel Cells: Principles, Materials and Systems; An, L., Zhao, T.S., Eds.; Springer: Cham, Germany, 2018; pp. 249–283. [Google Scholar]
- Martins, M.; Šljukić, B.; Metin, O.; Sevim, M.; Sequeira, C.A.C.; Şener, T.; Santos, D.M.F. Bimetallic PdM (M = Fe, Ag, Au) Alloy Nanoparticles Assembled on Reduced Graphene Oxide as Catalysts for Direct Borohydride Fuel Cells. J. Alloys Compd. 2017, 718, 204–214. [Google Scholar] [CrossRef]
- Hosseini, M.G.; Mahmoodi, R. Improvement of Energy Conversion Efficiency and Power Generation in Direct Borohydride Hydrogen Peroxide Fuel Cell: The Effect of Ni-M Core-Shell Nanoparticles (M = Pt, Pd, Ru)/Multiwalled Carbon Nanotubes on the Cell Performance. J. Power Sources 2017, 370, 87–97. [Google Scholar] [CrossRef]
- Behmenyar, G.; Akın, A.N. Investigation of Carbon Supported Pd-Cu Nanoparticles as Anode Catalysts for Direct Borohydride Fuel Cell. J. Power Sources 2014, 249, 239–246. [Google Scholar] [CrossRef]
- Duan, D.; You, X.; Liang, J.; Liu, S.; Wang, Y. Carbon Supported Cu-Pd Nanoparticles as Anode Catalyst for Direct Borohydride-Hydrogen Peroxide Fuel Cells. Electrochim. Acta 2015, 176, 1126–1135. [Google Scholar] [CrossRef]
- Calderón, J.C.; Rios Ráfales, M.; Nieto-Monge, M.J.; Pardo, J.I.; Moliner, R.; Lázaro, M.J. Oxidation of CO and Methanol on Pd-Ni Catalysts Supported on Different Chemically-Treated Carbon Nanofibers. Nanomaterials 2016, 6, 187. [Google Scholar] [CrossRef] [PubMed]
- Hosseini, M.G.; Mahmoodi, R. Ni@M (M = Pt, Pd and Ru) Core@Shell Nanoparticles on a Vulcan XC-72R Support with Superior Catalytic Activity toward Borohydride Oxidation: Electrochemical and Fuel Cell Studies. New J. Chem. 2017, 41, 13408–13417. [Google Scholar] [CrossRef]
- He, P.; Wang, X.; Fu, P.; Wang, H.; Yi, L. The Studies of Performance of the Au Electrode Modified by Zn as the Anode Electrocatalyst of Direct Borohydride Fuel Cell. Int. J. Hydrogen Energy 2011, 36, 8857–8863. [Google Scholar] [CrossRef]
- Yang, Q.; Zhang, L.; Ma, S.; Wang, W.; Zhao, M.; Yuan, W.; Li, C. Self-assembled TiO2 Nanopore-Confined Growth of Pd NPs on Pristine Graphene for Superior Electrocatalytic Performance toward Formic Acid Oxidation. ACS Appl. Energy Mater. 2023, 6, 9318–9327. [Google Scholar] [CrossRef]
- Ahmad, A.; Noor, A.; Anwar, A.; Majeed, S.; Khan, S.; Nisa, Z.; Ali, S.; Gnanasekaran, L.; Rajendran, S.; Li, H. Support based metal incorporated layered nanomaterials for photocatalytic degradation of organic pollutants. Environ. Res. 2024, 260, 119481. [Google Scholar] [CrossRef] [PubMed]
- Mahmoodi, R.; Chalani, M.; Hosseini, M.G.; Darbandi, M. Novel Electrocatalysts for Borohydride Fuel Cells: Enhanced Power Generation by Optimizing Anodic Core-Shell Nanoparticles on Reduced Graphene Oxide. New J. Chem. 2020, 44, 11974–11987. [Google Scholar] [CrossRef]
- Mahmoodi, R.; Hosseini, M.G.; Rasouli, H. Enhancement of Output Power Density and Performance of Direct BorohydrideHydrogen Peroxide Fuel Cell Using Ni-Pd Core-Shell Nanoparticles on Polymeric Composite Supports (rGO-PANI) as Novel Electrocatalysts. Appl. Catal. B 2019, 251, 37–48. [Google Scholar] [CrossRef]
- Fan, X.; Yuan, W.; Zhang, D.; Li, C. Heteropolyacid-Mediated Self-Assembly of Heteropolyacid-Modified Pristine Graphene Supported Pd Nanoflowers for Superior Catalytic Performance toward Formic Acid Oxidation. ACS Appl. Energy Mater. 2018, 1, 411–420. [Google Scholar] [CrossRef]
- Hosseini, M.G.; Esfahlan, V.D.; Wolf, S.; Hacker, V. Novel Bimetallic Pd–X (X = Ni, Co) Nanoparticles Assembled on N-Doped Reduced Graphene Oxide as an Anode Catalyst for Highly Efficient Direct Sodium Borohydride–Hydrogen Peroxide Fuel Cells. ACS Appl. Energy Mater. 2021, 4, 6025–6039. [Google Scholar] [CrossRef]
- Park, J.C.; Kim, J.C.; Park, S.; Kim, D.W. Efficient waste polyvinyl(butyral) and cellulose composite enabled carbon nanofibers for oxygen reduction reaction and water remediation. Appl. Surf. Sci. 2020, 510, 145505. [Google Scholar] [CrossRef]
- Daniel, G.; Kosmala, T.; Dalconi, M.C.; Nodari, L.; Badocco, D.; Pastore, P.; Lorenzetti, A.; Granozzi, G.; Durante, C. Upcycling of polyurethane into iron-nitrogen-carbon electrocatalysts active for oxygen reduction reaction. Electrochim. Acta 2020, 362, 137200. [Google Scholar] [CrossRef]
- Elessawy, N.A.; Elnouby, M.; Gouda, M.; Mohy Eldin, M.S.; Farag, H.A.; Konsowa, A.H. Simple Self-assembly Synthesis for Cost-Effective Alkaline Fuel Cell Bi-functional Electrocatalyst Synthesized from Polyethylene Terephthalate Waste Bottles. J. Electron. Mater. 2020, 49, 1009–1016. [Google Scholar] [CrossRef]
- Bhaskaran, R.; Chetty, R. One-Pot Room Temperature Synthesis of Nitrogen-Doped Graphene and Its Application as Catalyst Support for ORR in PEMFCs. ACS Appl. Energy Mater. 2024, 7, 390–402. [Google Scholar] [CrossRef]
- Muhyuddin, M.; Mustarelli, P.; Santoro, C. Recent Advances in Waste Plastic Transformation into Valuable Platinum-Group Metal-Free Electrocatalysts for Oxygen Reduction Reaction. ChemSusChem 2021, 14, 3785. [Google Scholar] [CrossRef]
- He, D.; Tang, H.; Kou, Z.; Pan, M.; Sun, X.; Zhang, J.; Mu, S. Engineered graphene materials: Synthesis and applications for polymer electrolyte membrane fuel cells. Adv. Mater. 2017, 29, 1601741. [Google Scholar] [CrossRef]
- Fang, Y.; Hu, R.; Liu, B.; Zhang, Y.; Zhu, K.; Yan, J.; Ye, K.; Cheng, K.; Wang, G.; Cao, D. MXene-derived TiO2/reduced graphene oxide composite with an enhanced capacitive capacity for Li-ion and K-ion batteries. J. Mater. Chem. A 2019, 7, 5363–5372. [Google Scholar] [CrossRef]
- Kou, Z.; Meng, T.; Guo, B.; Amiinu, I.S.; Li, W.; Zhang, J.; Mu, S. A generic conversion strategy: From 2D metal carbides (MxCy) to M-self-doped graphene toward high efficiency energy applications. Adv. Funct. Mater. 2017, 27, 1604904. [Google Scholar] [CrossRef]
- Gouda, M.H.; Elnouby, M.; Aziz, A.N.; Youssef, M.E.; Santos, D.M.F.; Elessawy, N.A. Green and low-cost membrane electrode assembly for proton exchange membrane fuel cells: Effect of double-layer electrodes and gas diffusion layer. Front. Mater. 2020, 6, 337. [Google Scholar] [CrossRef]
- Elessawy, N.A.; Backović, G.; Janesuda, H.; Martins, M.; Rakočević, L.; Gouda, M.H.; Toghan, A.; Youssef, M.E.; Šljukić, B.; Santos, D.M.F. From PET Bottles Waste to N-Doped Graphene as Sustainable Electrocatalyst Support for Direct Liquid Fuel Cells. Catalysts 2023, 13, 525. [Google Scholar] [CrossRef]
- Wu, G.; Santandreu, A.; Kellogg, W.; Gupta, S.; Ogoke, O.; Zhang, H.; Wang, H.L.; Dai, L. Carbon nanocomposite catalysts for oxygen reduction and evolution reactions: From nitrogen doping to transition-metal addition. Nano Energy 2016, 29, 83–110. [Google Scholar] [CrossRef]
- Mohamed, M.; Carrasco-Marín, F.; Elessawy, N.A.; Hamad, H.A.F. Glucose Derived N-Doped Graphitic Carbon: Facile One-Pot Graphitic Structure-Controlled Chemical Synthesis with Comprehensive Insight into the Controlling Mechanisms. ChemistrySelect 2020, 5, 14685. [Google Scholar] [CrossRef]
- Saini, R.; Naaz, F.; Bashal, A.H.; Pandit, A.H.; Farooq, U. Recent advances in nitrogen-doped graphene-based heterostructures and composites: Mechanism and active sites for electrochemical ORR and HER. Green Chem. 2024, 26, 57–102. [Google Scholar] [CrossRef]
- Osman, A.I.; Farrell, C.; Al-Muhtaseb, A.H.; Al-Fatesh, A.S.; Harrison, J.; Rooney, D.W. Pyrolysis kinetic modelling of abundant plastic waste (PET) and in-situ emission monitoring. Environ. Sci. Eur. 2020, 32, 112. [Google Scholar] [CrossRef]
- Dubey, P.; Kaurav, N.; Devan, R.S.; Okram, G.S.; Kuo, Y.K. The effect of stoichiometry on the structural, thermal and electronic properties of thermally decomposed nickel oxide. RSC Adv. 2018, 8, 5882. [Google Scholar] [CrossRef] [PubMed]
- Yang, S.; Dong, J.; Yao, Z.; Shen, C.; Shi, X.; Tian, Y.; Lin, S.; Zhang, X. One-Pot Synthesis of Graphene-Supported Monodisperse Pd Nanoparticles as Catalyst for Formic Acid Electro-oxidation. Sci. Rep. 2014, 4, 4501. [Google Scholar] [CrossRef]
- Katubi, K.M.M.; Alsaiari, N.S.; Alzahrani, F.M.; Siddeeg, S.A.; Tahoon, M. Synthesis of Manganese Ferrite/Graphene Oxide Magnetic Nanocomposite for Pollutants Removal from Water. Processes 2021, 9, 589. [Google Scholar] [CrossRef]
- Ji, J.; Dong, P.; Lin, Y.; Zeng, X.; Li, X.; Yang, X.; He, Q.; Zhang, Y.; Xu, M. One-pot synthesis of PdM/RGO (M=Co, Ni, or Cu) catalysts under the existence of PEG for electro-oxidation of methanol. J. Nanopart. Res. 2018, 20, 192. [Google Scholar] [CrossRef]
- Minh Dat, N.; Linh, V.N.P.; Huy, L.A.; Huong, N.T.; Tu, T.H.; Phuong, N.T.L.; Nam, H.M.; Thanh Phong, M.; Hieu, N.H. Fabrication and antibacterial activity against Pseudomonas aeruginosa and Staphylococcus aureus of silver nanoparticle decorated reduced graphene oxide nanocomposites. Mater. Technol. 2019, 34, 36. [Google Scholar] [CrossRef]
- Mohamed, M.; Elessawy, N.; Carrasco-Marínc, F.; Hamad, H. A novel one-pot facile economic approach for the mass synthesis of exfoliated multilayered nitrogen-doped graphene-like nanosheets: New insights into the mechanistic study. Phys. Chem. Chem. Phys. 2019, 21, 13611. [Google Scholar] [CrossRef] [PubMed]
- Abdul Mannan, M.; Hirano, Y.; Quitain, A.T.; Koinuma, M.; Kida, T. Graphene Oxide to B, N Co-doped Graphene through Tris-dimethylaminoborane Complex by Hydrothermal Implantation. Am. J. Mater. Sci. 2019, 9, 22–28. [Google Scholar]
- Elessawy, N.A.; Toghan, A.; Elnouby, M.S.; Alakhras, A.I.; Hamad, H.A.; Youssef, M.E. Development and activity enhancement of zirconium/vanadium oxides as micro-heterogeneous ceramic electrocatalyst for ORR in low-temperature fuel cell. Ceram. Int. 2023, 49, 4313–4321. [Google Scholar] [CrossRef]
- Bard, A.J.; Faulkner, L.R. Electrochemical Methods Fundamentals and Applications, 2nd ed.; Wiley: New York, NY, USA, 2004. [Google Scholar]
- Monini, V.; Bonechi, M.; Bazzicalupi, C.; Bianchi, A.; Gentilesca, P.; Giurlani, W.; Innocenti, M.; Meoli, A.; Romano, G.M.; Savastano, M. Oxygen reduction reaction (ORR) in alkaline solution catalysed by an atomically precise catalyst based on a Pd(ii) complex supported on multi-walled carbon nanotubes (MWCNTs). Electrochemical and structural considerations. Dalton Trans. 2024, 53, 2487–2500. [Google Scholar] [CrossRef]
- Montserrat-Sisó, G.; Wickman, B. PdNi thin films for hydrogen oxidation reaction and oxygen reduction reaction in alkaline media. Electrochim. Acta 2022, 420, 140425. [Google Scholar] [CrossRef]
- Li, Y.; Lin, S.; Ren, X.; Mi, H.; Zhang, P.; Sun, L.; Deng, L.; Gao, Y. One-step rapid in-situ synthesis of nitrogen and sulfur co-doped three-dimensional honeycomb-ordered carbon supported PdNi nanoparticles as efficient electrocatalyst for oxygen reduction reaction in alkaline solution. Electrochim. Acta 2017, 253, 445–454. [Google Scholar] [CrossRef]
- Sun, L.; Liao, B.; Ren, X.; Li, Y.; Zhang, P.; Deng, L.; Gao, Y. Ternary PdNi-based nanocrystals supported on nitrogen-doped reduced graphene oxide as highly active electrocatalysts for the oxygen reduction reaction. Electrochim. Acta 2017, 235, 543–552. [Google Scholar] [CrossRef]
- Niu, L.; Meng, K.; Song, J.; Liu, Y.; Jia, Z.; Wang, Y.; Tian, L.; Qi, T. Pd–Ni ellipsoidal nano-alloys with excellent catalytic performance for oxygen reduction reaction. Int. J. Hydrogen Energy 2024, 51, 234–244. [Google Scholar] [CrossRef]
- Celik, C.; San, F.G.B.; Sarac, H.I. Effects of operation conditions on direct borohydride fuel cell performance. J. Power Sources 2008, 185, 197–201. [Google Scholar] [CrossRef]
- Atwan, M.H.; Macdonald, C.L.B.; Northwood, D.O.; Gyenge, E.L. Colloidal Au and Au-alloy catalysts for direct borohydride fuel cells: Electrocatalysis and fuel cell performance. J. Power Sources 2006, 158, 36–44. [Google Scholar] [CrossRef]
- Hjelm, R.M.E.; Lafforgue, C.; Atkinson, R.W.; Garsany, Y.; Swider-Lyons, K. Impact of the anode catalyst layer design on the performance of H2O2-direct borohydride fuel cells. J. Electrochem. Soc. 2019, 166, F1218–F1228. [Google Scholar] [CrossRef]
- Wang, Z.; Mandal, M.; Sankarasubramanian, S.; Huang, G.; Kohl, P.A.; Ramani, V.K. Influence of water transport across microscale bipolar interfaces on the performance of direct borohydride fuel cells. ACS Appl. Energy Mater. 2020, 3, 4449–4456. [Google Scholar] [CrossRef]
- Ko, Y.; Lombardo, L.; Li, M.; Pham, T.H.M.; Yang, H.; Züttel, A. Selective borohydride oxidation reaction on nickel catalyst with anion and cation exchange ionomer for high-performance direct borohydride fuel cells. Adv. Energy Mater. 2022, 12, 2103539. [Google Scholar] [CrossRef]
- Wang, Z.; Sankarasubramanian, S.; Ramani, V. Reactant-transport engineering approach to high-power direct borohydride fuel cells. Cell Rep. Phys. Sci. 2020, 1, 100084. [Google Scholar] [CrossRef]
- Yin, X.; Zhu, K.; Ye, K.; Yan, J.; Cao, D.; Zhang, D.; Yao, J.; Wang, G. High efficiency N/C foam supported Pd electrode for direct sodium borohydride-hydrogen peroxide fuel cell. J. Power Sources 2022, 541, 231704. [Google Scholar] [CrossRef]











| Catalyst | Metal Loading in the Electrocatalysts/wt.% | |
|---|---|---|
| Pd | Ni | |
| Ni@NG | - | 92.28 ± 0.14 |
| PdNi_5@NG | 0.09 ± 0.005 | 56.94 ± 0.23 |
| PdNi_10@NG | 0.12 ± 0.01 | 53.32 ± 0.21 |
| PdNi_15@NG | 0.27 ± 0.05 | 58.06 ± 0.26 |
| Catalyst | SBET/m2 g−1 | Total Pore Volume/cm3 g−1 | Average Pore Diameter/nm |
|---|---|---|---|
| Ni@NG | 97 | 0.06 | 2.6 |
| PdNi_5@NG | 71 | 0.08 | 4.3 |
| PdNi_10@NG | 40 | 0.09 | 9.0 |
| PdNi_15@NG | 6 | 0.3 | 21.5 |
| Catalyst | Eonset/V vs. RHE | E1/2/V vs. RHE | jd/ mA cm−2 | n | Tafel Slope/V dec−1 | Source |
|---|---|---|---|---|---|---|
| Ni@NG | 0.69 | 0.60 | −1.16 | 2.3–2.5 | 0.100 | This work |
| PdNi_5@NG | 0.71 | 0.63 | −0.71 | 1.9–2 | 0.135 | This work |
| PdNi_10@NG | 0.73 | 0.61 | −1.41 | 2.1 | 0.108 | This work |
| PdNi_15@NG | 0.80 | 0.67 | −1.53 | 3.2–3.6 | 0.157 | This work |
| PdNi-450 | 0.95 | 0.87 | −0.42 | 4.2–4.3 | – | [47] |
| PdNi-NS/C | 0.99 | 0.93 | −0.21 | 3.7 | 0.080 | [48] |
| PdNiCu/NG | 0.87 | 0.76 | 1.79 | 4 | – | [49] |
| PdNi EN/CB | 0.99 | 0.92 | 0.19 | 4 | – | [50] |
| Temperature/°C | E at Peak Power Density/V | j at Peak Power Density/mA cm−2 | Peak Power Density/ mW cm−2 | Specific Peak Power Density /kW gPd−1 |
|---|---|---|---|---|
| 25 | 0.50 | 14 | 7.1 | 3.46 |
| 35 | 0.45 | 18 | 7.9 | 3.85 |
| 45 | 0.45 | 20 | 8.8 | 4.29 |
| 55 | 0.50 | 19 | 9.5 | 4.63 |
| Anode (mgPd cm−2) | Cathode (mg cm−2) | Anolyte | Catholyte | P/kW gPd−1 | T/°C | Source |
|---|---|---|---|---|---|---|
| PdNi_15@NG (0.002) | PdNi_15@NG | 1 M NaBH4 + 2 M NaOH | O2 + 1 M NaOH | 3.46 | 25 | This work |
| Pd50Cu50/C (0.313) | Pt/C (0.5) | 1 M NaBH4 + 6 M NaOH | O2 flowrate: 200 mL min−1 | 0.313 | 60 | [12] |
| Pd/C (1.08) | Pt/C (0.3) | 1 M NaBH4 + 20 wt.%NaOH | Air flowrate: 30 mL min−1 | 0.018 | 25 | [51] |
| Au-Pd/C(1:1) (1.75) | Pt/C (4) | 2 M NaBH4 + 2 M NaOH | O2 flowrate: 200 mL min−1 | 0.027 | 60 | [52] |
| 53 wt.% Pd/C (0.31) | 50 wt.% Pt/C (0.31) | 0.1 M NaBH4 + 1 M NaOH | 0.4 M H2O2 + 1 M H2SO4 | 0.887 | 25 | [53] |
| Pd/C (3) | Pt/C (3) | 1.5 M NaBH4 + 3 M KOH | 15 wt.% H2O2 + 1.5 M H2SO4 | 0.203 | 25 | [54] |
| NiF@AEI + Pd/C (0.5) | Pt/C (1) | 1.5 M NaBH4 + 3 M NaOH | 15 wt.% H2O2 + 1.5 M H2SO4 | 0.898 | 80 | [55] |
| Pd/C (3) + Ni | Pt/C (3) | 1.5 M NaBH4 + 3 M KOH | 15 wt.% H2O2 + 1.5 M H2SO4 | 0.297 | 70 | [56] |
| Pd@N/C-8 foam (0.15) | Pd@N/C-8 foam (0.15) | 0.3 M NaBH4 + 2 M NaOH | 1.6 M H2O2 + 2 M H2SO4 | 0.913 | 60 | [57] |
Disclaimer/Publisher’s Note: The statements, opinions and data contained in all publications are solely those of the individual author(s) and contributor(s) and not of MDPI and/or the editor(s). MDPI and/or the editor(s) disclaim responsibility for any injury to people or property resulting from any ideas, methods, instructions or products referred to in the content. |
© 2024 by the authors. Licensee MDPI, Basel, Switzerland. This article is an open access article distributed under the terms and conditions of the Creative Commons Attribution (CC BY) license (https://creativecommons.org/licenses/by/4.0/).
Share and Cite
Balčiūnaitė, A.; Elessawy, N.A.; Šljukić, B.; Toghan, A.; Al-Hussain, S.A.; Gouda, M.H.; Youssef, M.E.; Santos, D.M.F. Effective Fuel Cell Electrocatalyst with Ultralow Pd Loading on Ni-N-Doped Graphene from Upcycled Water Bottle Waste. Sustainability 2024, 16, 7469. https://doi.org/10.3390/su16177469
Balčiūnaitė A, Elessawy NA, Šljukić B, Toghan A, Al-Hussain SA, Gouda MH, Youssef ME, Santos DMF. Effective Fuel Cell Electrocatalyst with Ultralow Pd Loading on Ni-N-Doped Graphene from Upcycled Water Bottle Waste. Sustainability. 2024; 16(17):7469. https://doi.org/10.3390/su16177469
Chicago/Turabian StyleBalčiūnaitė, Aldona, Noha A. Elessawy, Biljana Šljukić, Arafat Toghan, Sami A. Al-Hussain, Marwa H. Gouda, M. Elsayed Youssef, and Diogo M. F. Santos. 2024. "Effective Fuel Cell Electrocatalyst with Ultralow Pd Loading on Ni-N-Doped Graphene from Upcycled Water Bottle Waste" Sustainability 16, no. 17: 7469. https://doi.org/10.3390/su16177469
APA StyleBalčiūnaitė, A., Elessawy, N. A., Šljukić, B., Toghan, A., Al-Hussain, S. A., Gouda, M. H., Youssef, M. E., & Santos, D. M. F. (2024). Effective Fuel Cell Electrocatalyst with Ultralow Pd Loading on Ni-N-Doped Graphene from Upcycled Water Bottle Waste. Sustainability, 16(17), 7469. https://doi.org/10.3390/su16177469

