Next Article in Journal
Technosol Development Based on Residual Fraction of Coal Tailings Processing, Agro-Industrial Waste, and Paper Industry Waste
Previous Article in Journal
Effective Fuel Cell Electrocatalyst with Ultralow Pd Loading on Ni-N-Doped Graphene from Upcycled Water Bottle Waste
 
 
Font Type:
Arial Georgia Verdana
Font Size:
Aa Aa Aa
Line Spacing:
Column Width:
Background:
Article

Quantifying the Impact of Light on Ascorbic Acid Content in Lettuce: A Model Proposal

by
Benedetta Fasciolo
1,*,
Jordan van Brenk
2,
Julian C. Verdonk
2,
Evert-Jan Bakker
3 and
Simon van Mourik
4
1
Department of Management and Production Engineering, Politecnico di Torino, Corso Duca Degli Abruzzi 24, 10129 Torino, Italy
2
Horticulture & Product Physiology, Plant Sciences Group, Wageningen University & Research, Droevendaalsesteeg 1, 6708PB Wageningen, The Netherlands
3
Mathematical and Statistical Methods-Biometris, Plant Sciences Group, Wageningen University & Research, Droevendaalsesteeg 1, 6708PB Wageningen, The Netherlands
4
Agricultural Biosystems Engineering, Plant Sciences Group, Wageningen University & Research, Droevendaalsesteeg 1, 6708PB Wageningen, The Netherlands
*
Author to whom correspondence should be addressed.
Sustainability 2024, 16(17), 7470; https://doi.org/10.3390/su16177470
Submission received: 24 July 2024 / Revised: 22 August 2024 / Accepted: 27 August 2024 / Published: 29 August 2024
(This article belongs to the Section Sustainable Agriculture)

Abstract

Vitamin C, also known as ascorbic acid (AsA), is an essential organic compound that is crucial for both plants and animals. Due to the inability of humans and some other animals to synthesize AsA, it is essential for them to consume sufficient plant products, especially leaves and fruits, which are good sources of AsA. Numerous studies have attempted to understand how different environmental factors influence crop AsA development. However, a comprehensive understanding of how environmental conditions affect ascorbic acid development remains elusive. This challenge may be due, in part, to the inherent difficulty of accurately and consistently measuring plant AsA. Measurements vary significantly depending on the tools and techniques used to capture them, and consequently, comparing results from different studies is complex. To address this challenge, our study develops a regression model to predict the AsA content in lettuce based on different light conditions. By analyzing how the varying daily light integral (DLI) and the blue light spectrum affect AsA levels, the model provides actionable insights for optimizing light treatments. This model not only aids in enhancing the development of AsA in lettuce but also assists farmers in achieving more sustainable agricultural practices by identifying optimal light spectra and DLI, thus promoting efficient resource utilization.

1. Introduction

Ascorbic acid (AsA), also known as vitamin C, is an organic compound that plays a vital role in plant growth and development [1]. It is essential for both plants and animals as a vital enzymatic cofactor, as well as an antioxidant believed to be important in preventing oxidative stress-related conditions [2,3,4]. Its antioxidant properties and metabolic functions protect plants against oxidative stress caused by various environmental factors, such as high light intensity, pollutants, and pathogens [5]. Moreover, the antioxidant capabilities of AsA contribute to the neutralization of reactive oxygen species (ROS), which are undesirable byproducts of oxygen generated during photosynthesis [6]. As cofactor in plants, AsA participates in the regulation of photosynthesis, hormone biosynthesis, and senescence [7]. It is required for cell division, expansion, and differentiation [1], contributing to plants’ immune responses by enhancing the production of defense-related compounds, such as phytoalexins and pathogenesis-related proteins [5]. Finally, AsA helps plants cope with various stress conditions, including drought, salinity, and extreme temperatures [8]. Humans, along with several other animal species, are unable to synthesize AsA; therefore, they are dependent on the inclusion of plants in their diets to ensure adequate ascorbate levels [9]. Plants, especially leaves and fruits, are excellent sources of ascorbate, making it important to incorporate sufficient amounts of fruits and vegetables into one’s diet [10].
The primary biosynthesis pathway for L-ascorbic acid is the Smirnoff–Wheeler pathway. In addition to this pathway, three alternative biosynthesis pathways have also been proposed in plants, involving synthesizing AsA through either D-galacturonate, L-gulose, or myo-inositol [11]. Due to its antioxidant function, AsA can be rapidly oxidized once synthesized. Therefore, there is also a recycling pathway for AsA, which plays a crucial role in maintaining AsA levels and the redox state in plant cells [12]. The oxidized form of AsA, monodehydroascorbate, can be recycled back into AsA through catalysis from monodehydroascorbate reductase [13]. If this does not occur, monodehydroascorbate undergoes disproportionation, forming dehydroascorbate, which can also be recycled back into AsA, except this is catalyzed by a dehydroascorbate reductase utilizing glutathione [14]. If neither of these reactions occur to recycle these oxidized compounds back into AsA, dehydroascorbate is irreversibly hydrolyzed to 2,3-diketogulonic acid [14]. This recycling pathway ensures that AsA is more consistently readily available, while maintaining a good redox state.
The production of AsA in plants is influenced by both endogenous and exogenous factors, which alter the enzymatic activity of key AsA biosynthesis enzymes. Indeed, different plant species, organs, and growth stages can exhibit different AsA levels [15]. Moreover, exogenous factors, such as light intensity, temperature, and water availability, can also regulate AsA levels [11]. The impact of temperature is pivotal in the accumulation of ascorbic acid (AsA) in citrus fruits [16] and tomatoes [12]. Research indicates that treating tomatoes with a post-harvest temperature of around 12 °C results in a higher accumulation of AsA compared to the use of post-harvest treatment at 31 °C [12]. Light exposure is also important; a meta-analysis by Appolloni et al., 2021, showed that supplemental LED lighting can enhance AsA content in tomatoes. During postharvest, exposure to light can also increase AsA levels in tomato fruit [17]. Depending on the intensity of the light, it can double the AsA content compared that resulting from exposure to darkness. Moreover, it was found that blue light treatment during postharvest resulted in the highest levels of AsA in tomato fruits, while red and green light exhibited no significant difference compared to the results for white light treatment [18]. The red–far-red light ratio is another critical factor in regulating antioxidant production, including AsA and glutathione, in common beans [19]. In contrast, adding green light to various combinations of red and blue LED lighting did not significantly affect the contents of ascorbic acid and mineral nutrients in lettuce [20]. Drought can also impact AsA levels, as gradually reduced water availability was found to decrease AsA levels in soybean leaves and stems [8]. Finally, the nutrients made available to crops can influence AsA production. Ref. [21] found that a combination of rich fertilization of soil and growth in the late season resulted in higher amounts of AsA in broccoli cultivars. Additionally, Ref. [22] studied the response of lettuce cultivars to different iron concentrations in nutrient solutions and reported significant variations across different treatments and types of cultivars. Indeed, in the red Salanova, there was a variation in the amount of AsA obtained by raising the iron concentration, while the green-pigmented lettuce showed a positive correlation between the increase in AsA and iron concentration in the nutrient solution.
Despite numerous studies on AsA production, there is still an incomplete understanding of the specific effects of environmental variables on the growth of ascorbic acid in crops. This is partly because measuring AsA can be challenging, as the accuracy of the measurement depends on the technique and the instruments used for analysis [23]. As a result, extraction processes can lead to high measurement variability, making it difficult to compare different studies. Therefore, to best compare multiple studies, it is important to develop a methodology that can overcome this variability. This work aims to present a model in which a specific methodology is applied to merge the findings of previous studies to investigate the development of AsA in lettuce under different light treatments.
The adoption of advanced modeling techniques can significantly contribute to the increased need for sustainable and resource-efficient agriculture [24]. The model for AsA development presented in this work allows for optimizing resource use, particularly light radiation, by predicting how different light combinations will affect AsA levels in lettuce. Thus, this approach not only enhances product quality but also promotes more efficient resource utilization, aiming towards a more sustainable agricultural practice.
This paper first introduces the methodology and dataset (Section 2), then presents the model and the results obtained (Section 3), and finally, discusses similar results found in the literature, along with further developments of the methodology (Section 4).

2. Materials and Methods

The methodology aims to merge various studies to investigate the effect of different light treatments on AsA production in lettuce, overcoming the measurement variability.
First, is important to choose a reliable method to reduce the measurement variability as much as possible. HPLC analysis is widely considered the most reliable and accurate method for precisely measuring the AsA content in crops. Moreover, spectrophotometric methods and fluorimetric methods utilizing o-phenylenediamine can also be utilized. Fresh lettuce typically contains AsA within the concentration range of 5 to 30 milligrams per 100 g.
Moreover, to be able to best compare different light treatments, certain conditions must be met. First, the experiments must be carried out in a controlled system that allows for precise control over the environmental variables during the experimental phase. Secondly, to compare different studies, each must employ one or more treatments compared to a set of parameters intentionally kept constant in an experiment (the control). The control serves as a reference point or baseline against which the effects of other treatments can be measured. On the other hand, the treatments are specific experimental conditions applied to a set of crops, corresponding to the factors of interest that are to be studied. The control is often either a full experiment with standard growing conditions or an acclimatization period at the beginning of the growing period. Similarly, treatments can be either stand-alone experiments or treatments applied after the acclimatization period or postharvest treatments. Usually, the experimental designs include a germination period of a few days during which the same environmental conditions are used for both the control and the treatment groups.
The choice between using a single control group throughout the experiment and using an acclimatization period as a control depends on the specific goals of the study and the nature of the plant response being investigated. A single control group is typically used when investigating short-term changes in plants or assessing the immediate impact of different treatments [25]. However, if the studies involve long-term plant adaptation, an acclimatization period used as a control can be beneficial. This allows plants to acclimate to their environment before treatments are applied [26]. Furthermore, in experiments where treatments may be stressful or harmful to the plants, an acclimatization period can help ensure that all plants start from a healthy and similar initial state.
The methodology first calculates the relative change of each independent variable expressing the light treatments (Section 2.1). The relative changes are made between the treatment and control values of each case study. Secondly, three independent variables are added to differentiate each case study (Section 2.2). Then, the mean of each response is calculated using bootstrapping, and the relative change in the response is calculated using the mean value (Section 2.3). Finally, a linear regression model is applied, with the relative changes in the light treatments as independent variables in each case study and the relative change in the ascorbic acid between the treatments and controls as the response.

2.1. Independent Variables

To compare different light treatments, the following independent variables regarding the spectrum and the daily light integral (DLI) are considered.
The relative change in the DLI, x1, between the control and the treatment is given as follows:
x 1 = I t P t I c P c I c P c
In this formula, x1 is the relative change in DLI, Ic is the light intensity (in µmol m−2 s−1) during the control phase, It is the light intensity (in µmol m−2 s−1) during the treatment phase, P c is the photoperiod (in hours) during the control phase, and P t is the photoperiod (in hours) during the treatment phase. By employing this variable, it is assumed that the increase in photoperiod or light intensity has a similar influence when they both undergo an equivalent relative change.
The relative change in the blue light spectrum, x b , (400–500 nm) between the control and the treatment is obtained as follows:
x b = B t P t B c P c B c P c
where Bc corresponds to the percentage of light that falls into the blue spectrum multiplied by the light intensity (in µmol m−2 s−1) during the control phase. Bt corresponds to the percentage of light that falls into the blue spectrum multiplied by the light intensity (in µmol m−2 s−1) during the treatment phase.
The relative change in the green light spectrum, x g , (500–600 nm) between the control and the treatment is obtained as follows:
x g = G t P t G c P c G c P c
where Gc corresponds to the percentage of light that falls into the green spectrum multiplied by the light intensity (in µmol m−2 s−1) during the control phase. Gt corresponds to the percentage of light that falls into the green spectrum multiplied by the light intensity (in µmol m−2 s−1) during the treatment phase.
The relative change in the red light spectrum, x r , (600–700 nm) between the control and the treatment is given as follows:
x r = R t P t R c P c R c P c
where Rc corresponds to the percentage of light that falls into the red spectrum multiplied by the light intensity (in µmol m−2 s−1) during the control phase. Rt corresponds to the percentage of light that falls into the red spectrum multiplied by the light intensity (in µmol m−2 s−1) during the treatment phase.
The relative change in the far-red light spectrum, x f r , (700–800 nm) between the control and the treatment:
x f r = F R t P t F R c P c F R c P c
where FRc corresponds to the percentage of light that falls into the far-red spectrum multiplied by the light intensity (in µmol m−2 s−1) during the control phase. FRt corresponds to the percentage of light that falls into the blue spectrum multiplied by the light intensity (in µmol m−2 s−1) during the treatment phase.
Some studies may only use specific wavelengths, excluding certain variables on the spectrum.
If the light conditions during the control phase vary between studies, then it is necessary to consider the following hypothesis: within the range of light conditions observed in the case studies, crops will respond in the same way to the same relative changes.

2.2. Additional Variables

Three other independent variables are used in this methodology. (1) Case study (A, B, C, etc.) is a categorical variable used to specify the study to which the treatments belong. (2) Control time (tc) is a continuous variable that expresses the number of days of the control period. (3) Treatment time (tt) is a continuous variable that expresses the number of days in the treatment period. The last two variables, tc, and tt, are used only when the studies have different control and treatment periods to verify whether different experiment times influence the plant response.

2.3. Bootstrapping and Dependent Variable

In experimental studies concerning plant responses to various light treatments, it is common practice to evaluate the average values derived from a minimum of four samples for each treatment group. However, when dealing with unreliable measurements due to equipment or sample processing issues, a method known as bootstrapping can prove to be a valuable solution. Bootstrapping is a resampling technique that involves generating multiple resamples, known as bootstrap samples, from the original dataset. This technique is employed to estimate the properties of a statistic or make inferences about a population. Bootstrapping enhances the representativeness of the population mean.
Once the mean values for both the control and treatment groups are obtained through the bootstrapping method, the relative change in the ascorbic acid (AsA) is calculated with the following formula:
y = A s A t A s A c A s A c
where AsAt is the total amount of ascorbic acid at the end of the treatment, and AsAc is the total amount of ascorbic acid at the end of the control period.

2.4. Analysis

To understand and quantify the impact of light treatments on the variable being studied, an analysis is conducted. Depending on the size and quality of the dataset, various types of analysis are performed, ranging from multiple linear regression to implementing machine learning algorithms [27].
Figure 1 provides a summary of all the instances and steps involved in the methodology. In this study, only certain steps of the methodology were tested due to the limitations of the dataset, which was created by merging different case studies described in the next section.

2.5. Dataset on Ascorbic Acid

To analyze the AsA production with respect to different light treatments, a dataset was created by grouping three studies that analyzed AsA content. The methodology was then applied to the dataset (Figure 2), consisting of experiments from these three studies, which investigated the effect of different light treatments on the development of AsA in lettuce (Lactuca sativa L. cv. ‘Yidali’) [28,29,30]. A total of eight treatments were tested, and 34 experiments were analyzed. Although some experiments employed the same light treatments, they differed in the duration of cultivation. Each case study involved germinating seeds to the seedling stage over 15 days, followed by a control period of 7 to 10 days. After that, in each case study, one or more light treatments were applied to the cultivar. This resulted in one or more variables in regards to photoperiod, light intensity, and spectrum, with variations also noted in the length of the treatment period. Each treatment continued for either 12 or 15 days, and the amount of AsA in each sample was measured every 3 days. Therefore, the total growth period from germination to the end of treatment ranged from 34 to 40 days. The mean AsA value reported in the studies was calculated for each measurement day, corresponding to a single experiment within the dataset.
The green and far-red spectrum independent variables are not used in the analysis because these two wavelengths are not tested in the case studies considered (Figure 2). Moreover, the bootstrapping step was skipped in this analysis since only the AsA mean values of the treatment and control were reported.
A summary of the experimental design of each case study is reported in Table 1. Two case studies used a spectrophotometric method to measure the amount of AsA in lettuce, while Ref. [30] used UPLC, a higher-pressure version of HPLC. The UPLC procedure was conducted as follows. Frozen leaf tissue (0.1 g) was homogenized in 1 mL of precooled extraction solution, comprised of 1.5% (w/v) metaphosphoric acid, 4% (v/v) acetic acid, and 0.5 mM EDTA. Following centrifugation (15,000× g, 4 °C, 15 min), the supernatant was filtered through PTFE filters with a pore size of 0.22 μm and collected for the assay of AsA concentration. To prepare for analysis, 50 μL of the supernatant was mixed with 10 μL of filtered dithiothreitol (750 mM), 190 μL of Tris (275 mM), and 50 μL of sulfuric acid (0.4 M) and then incubated at 25 °C for 30 min. The resulting reaction mixture was analyzed using an Acquity UPLC system (Waters Corp, Milford, MA, USA) equipped with an Acquity UPLC HSS T3 column (2.1 × 100 mm, 1.8 μm, Waters). The column was eluted with 0.1% (v/v) formic acid at a flow rate of 0.25 mL⋅min−1, and absorbance was monitored at 245 nm using a Waters Acquity UPLC photodiode array (PDA) detection system (Waters Corp, Milford, MA, USA).

3. Results

As indicated in Section 2.1, the light treatment effects were estimated using the relative change in DLI, with the blue and red spectrum as independent variables (Formulas (1), (2), and (4), respectively). These variables were calculated from the starting values of 200 micromoles of light intensity (µmol m−2 s−1), a 16 h photoperiod, and a red–blue ratio of 3:1 during the acclimatization period. As is shown in Table 2, the relative change in light intensity varies from −25% to +125%, with the blue spectrum (400–500 nm) ranging from −25% to +350% and the red spectrum (600–700 nm) from −50% to +125%.
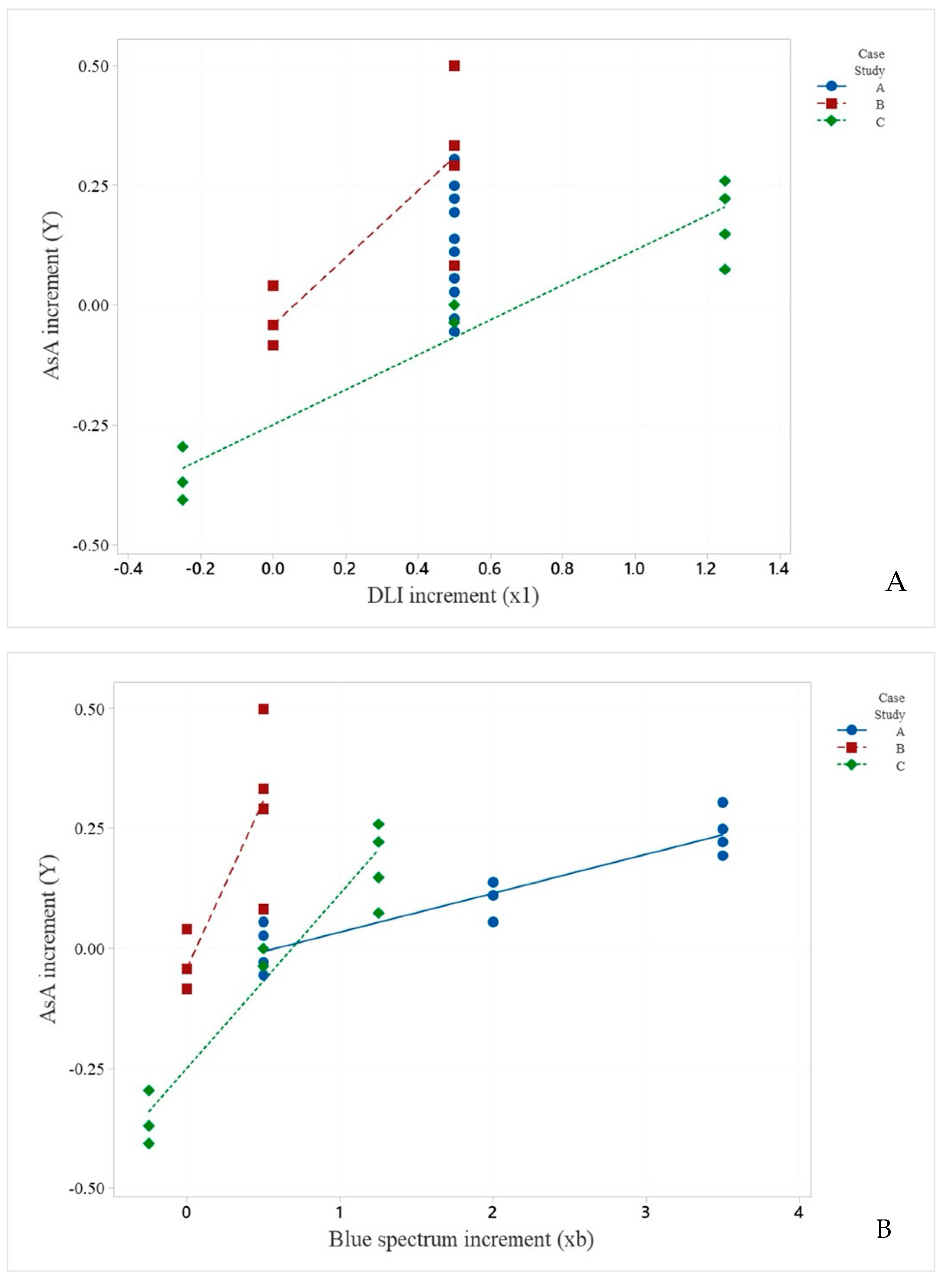
First (shown in Figure 3), a descriptive analysis was conducted, plotting the AsA response, calculated through Formula (6), to the relative change in DLI (Figure 3A) and the blue light spectrum (Figure 3B).
In study A, x1 did not vary (Figure 3A), so for that study, only the effect of xb on AsA could be analyzed. For the other two studies, if x1 increased, then xb also simultaneously increased, due to the dataset limitations, as shown in Figure 3A,B. For both case studies B and C, x1 and xb were tested, and the increase in both leads to an increase in the mean AsA. As shown in Figure 3B, the slopes of the regression lines corresponding to case studies B and C differ substantially from the line corresponding to Case Study A due to the implicit effect of increasing x1 in the two case studies. Assuming an identical effect of increasing xb for the three case studies yields an estimate of the separate effects of x1 and xb, as given in the regression results shown below (Table 3).
If we use a model that combines the effects of, or the relative changes in, the two variables x1 and xb on the relative change in AsA, we obtain a multiple linear regression model in which we allow for different intercepts for the three cases. Interactions were excluded from the model because there are not enough tested levels of the independent variables x1, xb, and xr in the dataset. The resulting equations for the three case studies are given in Table 3.
In the regression model for each of the case studies, a linear relationship is assumed between AsA increment, as the dependent variable, and x1 and xb, as independent variables. Variable xr was not included in the model because it is highly correlated with xb. Indeed, due to limitations in the dataset, xr decreases as xb increases.
As can be seen from Table 3, intercepts can differ for the case studies, but the slopes are the same. For Case Study A, xb is the only variable that changes. Thus, the A-data only influence the xb slope. On the other hand, the changes in mean for B and C can be attributed partly to the change in xb (and we assume this effect to be the same as for A) and partly to the changes in x1. The changes in x1 in Case Studies B and C determine the x1 slope.
The model assumes that the effects of x1 and xb are equal across all case studies. However, upon analyzing the three equations, it is evident that Case Study B shows an intercept close to 0, while Case Studies A and C differ from B. This means that there are variations among case studies in the increment of AsA which cannot be solely explained by the light treatments. We hypothesized that this difference could be due to varying environmental conditions (apart from DLI and light spectrum) among the case studies, such as temperature and nutrient solution, as shown in Table 4. The different environmental conditions may have a direct impact on the development of AsA in lettuce, or they may interact significantly with x1 and xb to increase the light effect on the AsA content in lettuce.
Thus, from this analysis, we hypothesize that illumination alone may not be the sole significant factor influencing the development of AsA in lettuce. But it is possible that other factors and interactions, not accounted for in the model, could also influence AsA levels.
Furthermore, it can be concluded from this analysis that the effect of DLI and blue spectrum light influence AsA production in lettuce. A statistically significant positive relationship (p-value < 0.05) was observed between DLI and blue light content in the spectrum, with an increase in AsA in lettuce. Specifically, doubling the DLI (from 200 µmol m−2 s−1 to 400 µmol m−2 s−1) results in an approximately 30% increase in AsA, while doubling the blue radiation (from 50 µmol m−2 s−1 to 100 µmol m−2 s−1) leads to an 8% rise in AsA content in lettuce. Generally, combining the effect of increased DLI with a greater portion of the blue spectrum enhanced AsA production.

4. Discussion

In this study, we determined that increasing both the DLI and the blue light spectrum has a positive effect on the development of AsA in lettuce. Indeed, doubling the DLI (from 200 µmol m−2 s−1 to 400 µmol m−2 s−1) will increase AsA by 30%, while doubling the blue (from 50 µmol m−2 s−1 to 100 µmol m−2 s−1) light spectrum will increase AsA by 8%. This model can assist farmers in enhancing the development of ascorbic acid in lettuce by suggesting adjustments to the spectrum and DLI. Moreover, this model can assist farmers in achieving more sustainable cultivation practices by identifying the optimal light spectrum and DLI for AsA production. By optimizing these parameters, farmers can utilize light more efficiently, thus promoting sustainable agriculture. Through the precise control of light conditions, light wastage is minimized, ensuring that the energy input is directly proportional to the desired output in terms of AsA content. This contributes to a more sustainable and resource-efficient agricultural system, aligning with the goals of sustainable agriculture by reducing environmental impact and enhancing crop quality.
However, it is important to note that the results from this model are reliable only within the tested ranges shown in Table 2, and the dataset used was small (n = 34). In our analysis, only three case studies were considered, as it was essential for the control light conditions to be consistent, or at least within a comparable range, across all studies to ensure that lettuce would respond similarly to the same relative changes. To our knowledge, no other studies have analyzed the same cultivar (Lactuca sativa L. cv. ‘Yidali’) under these control light conditions. Moreover, green and far-red light were not considered in the regression model because these two spectra were not included in the treatments of the case studies. The red spectrum was used in the treatments of the case studies, but due to the high correlation with the blue spectrum, it was not included in the regression model.
Similar findings to those obtained from the regression analysis in this study have been observed in previous research. The studies included in the dataset described in Section 2.5 align with our model, which highlights the positive effects of the daily light integral (DLI) and the blue light spectrum on ascorbic acid (AsA) accumulation in lettuce. For example, Ref. [28] reported a positive correlation between photoperiod and the ascorbate pool, while Ref. [29] identified a positive correlation with light intensity alone. Moreover, Ref. [30] demonstrated that a higher ratio of blue light (25:75 R) enhanced the ascorbate pool at the same total light intensity. Furthermore, AsA production was found to positively correlate with a combination of high light intensity and longer photoperiods in lettuce [26]. Moreover, high light treatments during end-of-production can increase AsA contents at harvest [31], and these increased levels of AsA at harvest can lengthen postharvest shelf life [32].
Additionally, several works studied the effect of light quality on lettuce. First, higher portions of blue light spectrum during light treatments enhanced the development of AsA in lettuce [33,34,35]. This aligns with previous research that has indicated that long-wavelength light (such as red light) promotes plant growth, whereas short-wavelength light (such as blue light and UV A) enhances the accumulation of ascorbate and flavonoids [36,37]. Finally, Ref. [20] concluded that additional green light does not affect the development of AsA in lettuce, while Ref. [38] affirmed that the AsA content of the lettuce leaves was increased by about 23% with the addition of purple light, with a total proportion of 60% Red, 20% Blue, and 20% Purple.
In this study, we developed and employed a methodology to compare various research studies that investigated AsA development in lettuce crops under different light treatments. Our methodology is versatile, enabling not only the analysis of AsA development in response to light treatments but also the comparison of studies exploring diverse environmental factors. These factors include temperature, humidity, CO2 concentration, and other environmental parameters that can influence crop growth. Consequently, in experiments wherein a control and treatment group are consistently employed, our methodology can assess the relative changes in these variables. This approach could facilitate the comparison of different studies examining not only light but also other environmental factors that could influence AsA development, ultimately contributing to the development of a unified model that incorporates the effects of all relevant environmental variables on AsA development.
As previously mentioned, when applying our methodology (Figure 1), the bootstrapping step was not applied because the dataset was built from the results of existing literature studies where only the means of AsA content were described. However, the utilization of the bootstrapping method is an innovative solution to measurement variability. By repeatedly resampling the available data with replacement data, bootstrapping not only acknowledges the inherent variability of measurements but also permits the extraction of robust, unbiased estimates of the means. Therefore, we suggest that the bootstrapping method should also be implemented in future studies that present data without using the means of the analyzed variable.
Furthermore, future studies should consider expanding the model by including additional treatments with the same control light conditions as those employed in the three case studies tested (3R:1B, 16/8 h, 200 µmol m−2 s−1) to make it more robust and applicable to a broader range of light treatments. Additionally, it would be beneficial to integrate new case studies with longer treatment durations into the model to evaluate whether an extended period affects the light treatment of the crop.
In future studies, it would be valuable to expand the investigation to a wider range of lettuce varieties to determine whether the light treatments produce consistent effects across different cultivars. Additionally, incorporating various environmental conditions and exploring the interactions between light and other environmental factors could significantly enhance the model’s generalizability. By including these variables, we can better understand how diverse conditions affect ascorbic acid levels and improve the applicability of the model to broader agricultural practices.

5. Conclusions

In this study, we analyzed the effect of the development of AsA in lettuce grown under different light treatments. Three studies were merged and compared with a methodology that works with the relative change in the analyzed variables, effectively mitigating the typical measurement variability caused by different techniques and instruments used for such analyses. The regression models that emerged from the analysis revealed a significant positive correlation between the DLI and the development of AsA content in lettuce. Moreover, the models also show a positive correlation between the blue light spectral content and the AsA development. This finding underscores the critical role of these environmental factors in AsA production and can be used by growers to enhance AsA in lettuce. Additionally, the model can assist farmers in achieving more sustainable agricultural practices. By identifying optimal light spectra and DLI for AsA production, growers can utilize resources more efficiently, promoting sustainable agriculture.
Furthermore, this methodology has the potential to extend beyond this specific study. By calculating the “relative change” of environmental parameters, this methodology can be applied to investigate other environmental factors that may influence ascorbic acid development. This opens opportunities for a broader understanding of the complex interplay between environmental conditions and AsA synthesis in various crops.

Author Contributions

Conceptualization, B.F., J.v.B., J.C.V., and S.v.M.; methodology, B.F., J.C.V., and S.v.M.; formal analysis, B.F. and E.-J.B.; investigation, B.F. and J.v.B.; writing—original draft preparation, B.F. and J.v.B.; writing—review and editing, J.C.V., E.-J.B., and S.v.M.; supervision, J.C.V. and S.v.M. All authors have read and agreed to the published version of the manuscript.

Funding

This work was supported by the Agritech National Research Center and received funding from the European Union Next-GenerationEU (Piano nazionale di ripresa e resilienza (PNRR)–Missione 4 componente 2, investimenti 1.4–D.D. 1032 17/06/2022, CN00000022) and PNRR–Decreto Ministeriale n. 1061. This manuscript reflects only the authors’ views and opinions; neither the European Union nor the European Commission can be considered responsible for them.

Data Availability Statement

The data presented in this study are available on request from the corresponding author.

Conflicts of Interest

The authors declare no conflicts of interest.

References

  1. Zhang, Y. Ascorbic Acid in Plants. In SpringerBriefs in Plant Science; Springer: New York, NY, USA, 2013. [Google Scholar] [CrossRef]
  2. Davey, M.W.; Montagu, M.V.; Inze, D.; Sanmartin, M.; Kanellis, A.; Smirnoff, N.; Benzie, I.J.J.; Strain, J.J.; Favell, D.; Fletcher, J. Plant L-Ascorbic Acid: Chemistry, Function, Metabolism, Bioavailability and Effects of Processing; John Wiley and Sons Ltd.: Hoboken, NJ, USA, 2000. [Google Scholar] [CrossRef]
  3. De Tullio, M.C.; Arrigoni, O. Hopes, disillusions and more hopes from vitamin C. Cell. Mol. Life Sci. 2004, 61, 209–219. [Google Scholar] [CrossRef] [PubMed]
  4. Li, Y.; Schellhorn, H.E. The Journal of Nutrition Critical Review New Developments and Novel Therapeutic Perspectives for Vitamin C. J. Nutr. 2007, 137, 2171–2184. [Google Scholar] [CrossRef]
  5. Hossain, M.A.; Munné-Bosch, S.; Burritt, D.J.; Diaz-Vivancos, P.; Fujita, M.; Lorence, A. Ascorbic Acid in Plant Growth, Development and Stress Tolerance; Springer International Publishing: Berlin, Germany, 2018. [Google Scholar] [CrossRef]
  6. Crace, S.C.; Logan, B.A. Acclimation of Foliar Antioxidant Systems to Growth Irradiance in Three Broad-Leaved Evergreen Species’. 1996. Available online: https://academic.oup.com/plphys/article/112/4/1631/6070388 (accessed on 15 May 2023).
  7. Zhang, L.; Ma, G.; Yamawaki, K.; Ikoma, Y.; Matsumoto, H.; Yoshioka, T.; Ohta, S.; Kato, M. Regulation of ascorbic acid metabolism by blue LED light irradiation in citrus juice sacs. Plant Sci. 2015, 233, 134–142. [Google Scholar] [CrossRef] [PubMed]
  8. Seminario, A.; Song, L.; Zulet, A.; Nguyen, H.T.; González, E.M.; Larrainzar, E. Drought Stress Causes a Reduction in the Biosynthesis of Ascorbic Acid in Soybean Plants. Front. Plant Sci. 2017, 8, 1042. [Google Scholar] [CrossRef] [PubMed]
  9. Linster, C.L.; Van Schaftingen, E. Vitamin C. FEBS J. 2006, 274, 1–22. [Google Scholar] [CrossRef]
  10. Poiroux-Gonord, F.; Bidel, L.P.R.; Fanciullino, A.-L.; Gautier, H.; Lauri-Lopez, F.; Urban, L. Health Benefits of Vitamins and Secondary Metabolites of Fruits and Vegetables and Prospects to Increase Their Concentrations by Agronomic Approaches. J. Agric. Food Chem. 2010, 58, 12065–12082. [Google Scholar] [CrossRef] [PubMed]
  11. Ishikawa, T.; Maruta, T.; Yoshimura, K.; Smirnoff, N. Biosynthesis and regulation of ascorbic acid in plants. In Antioxidants and Antioxidant Enzymes in Higher Plants; Springer International Publishing: Berlin/Heidelberg, Germany, 2018; pp. 163–179. [Google Scholar] [CrossRef]
  12. Massot, C.; Bancel, D.; Lauri, F.L.; Truffault, V.; Baldet, P.; Stevens, R.; Gautier, H. High Temperature Inhibits Ascorbate Recycling and Light Stimulation of the Ascorbate Pool in Tomato despite Increased Expression of Biosynthesis Genes. PLoS ONE 2013, 8, e84474. [Google Scholar] [CrossRef] [PubMed]
  13. Broad, R.C.; Bonneau, J.P.; Hellens, R.P.; Johnson, A.A. Manipulation of Ascorbate Biosynthetic, Recycling, and Regulatory Pathways for Improved Abiotic Stress Tolerance in Plants. Int. J. Mol. Sci. 2020, 21, 1790. [Google Scholar] [CrossRef]
  14. Gallie, D.R. The role of l-ascorbic acid recycling in responding to environmental stress and in promoting plant growth. J. Exp. Bot. 2012, 64, 433–443. [Google Scholar] [CrossRef]
  15. Ishikawa, T.; Dowdle, J.; Smirnoff, N. Progress in manipulating ascorbic acid biosynthesis and accumulation in plants. Physiol. Plant. 2006, 126, 343–355. [Google Scholar] [CrossRef]
  16. Yungyuen, W.; Ma, G.; Zhang, L.; Yamawaki, K.; Yahata, M.; Ohta, S.; Yoshioka, T.; Kato, M. Regulation of ascorbic acid metabolism in response to different temperatures in citrus juice sacs in vitro. Sci. Hortic. 2017, 217, 1–7. [Google Scholar] [CrossRef]
  17. Appolloni, E.; Orsini, F.; Pennisi, G.; Durany, X.G.; Paucek, I.; Gianquinto, G. Supplemental LED Lighting Effectively Enhances the Yield and Quality of Greenhouse Truss Tomato Production: Results of a Meta-Analysis. Front. Plant Sci. 2021, 12, 596927. [Google Scholar] [CrossRef] [PubMed]
  18. Ntagkas, N.; Woltering, E.; Nicole, C.; Labrie, C.; Marcelis, L.F. Light regulation of vitamin C in tomato fruit is mediated through photosynthesis. Environ. Exp. Bot. 2018, 158, 180–188. [Google Scholar] [CrossRef]
  19. Bartoli, C.G.; Tambussi, E.A.; Diego, F.; Foyer, C.H. Control of ascorbic acid synthesis and accumulation and glutathione by the incident light red/far red ratio in Phaseolus vulgaris leaves. FEBS Lett. 2008, 583, 118–122. [Google Scholar] [CrossRef] [PubMed]
  20. Razzak, A.; Asaduzzaman; Tanaka, H.; Asao, T. Effects of supplementing green light to red and blue light on the growth and yield of lettuce in plant factories. Sci. Hortic. 2022, 305, 111429. [Google Scholar] [CrossRef]
  21. Vallejo, F.; Tomás-Barberán, F.A.; García-Viguera, C. Effect of climatic and sulphur fertilisation conditions, on phenolic compounds and vitamin C, in the inflorescences of eight broccoli cultivars. Eur. Food Res. Technol. 2003, 216, 395–401. [Google Scholar] [CrossRef]
  22. Giordano, M.; El-Nakhel, C.; Pannico, A.; Kyriacou, M.C.; Stazi, S.R.; De Pascale, S.; Rouphael, Y. Iron Biofortification of Red and Green Pigmented Lettuce in Closed Soilless Cultivation Impacts Crop Performance and Modulates Mineral and Bioactive Composition. Agronomy 2019, 9, 290. [Google Scholar] [CrossRef]
  23. Gazdik, Z.; Zitka, O.; Petrlova, J.; Adam, V.; Zehnalek, J.; Horna, A.; Reznicek, V.; Beklova, M.; Kizek, R. Determination of Vitamin C (Ascorbic Acid) Using High Performance Liquid Chromatography Coupled with Electrochemical Detection. Sensors 2008, 8, 7097–7112. [Google Scholar] [CrossRef]
  24. Sihag, J.; Prakash, D. A Review: Importance of Various Modeling Techniques in Agriculture/Crop Production. In Soft Computing: Theories and Applications; Ray, K., Sharma, T.K., Rawat, S., Saini, R.K., Bandyopadhyay, A., Eds.; Springer Singapore: Singapore, 2019; pp. 699–707. [Google Scholar]
  25. Camejo, D.; Frutos, A.; Mestre, T.C.; Piñero, M.d.C.; Rivero, R.M.; Martínez, V. Artificial light impacts the physical and nutritional quality of lettuce plants. Hortic. Environ. Biotechnol. 2020, 61, 69–82. [Google Scholar] [CrossRef]
  26. Shao, M.; Liu, W.; Zha, L.; Zhou, C.; Zhang, Y.; Li, B. Differential effects of high light duration on growth, nutritional quality, and oxidative stress of hydroponic lettuce under red and blue LED irradiation. Sci. Hortic. 2020, 268, 109366. [Google Scholar] [CrossRef]
  27. Sharma, R.; Kamble, S.S.; Gunasekaran, A.; Kumar, V.; Kumar, A. A systematic literature review on machine learning applications for sustainable agriculture supply chain performance. Comput. Oper. Res. 2020, 119, 104926. [Google Scholar] [CrossRef]
  28. Zha, L.; Zhang, Y.; Liu, W. Dynamic Responses of Ascorbate Pool and Metabolism in Lettuce to Long-term Continuous Light Provided by Red and Blue LEDs. Environ. Exp. Bot. 2019, 163, 15–23. [Google Scholar] [CrossRef]
  29. Zha, L.; Liu, W.; Zhang, Y.; Zhou, C.; Shao, M. Morphological and Physiological Stress Responses of Lettuce to Different Intensities of Continuous Light. Front. Plant Sci. 2019, 10, 1440. [Google Scholar] [CrossRef] [PubMed]
  30. Zha, L.; Liu, W.; Yang, Q.; Zhang, Y.; Zhou, C.; Shao, M. Regulation of Ascorbate Accumulation and Metabolism in Lettuce by the Red:Blue Ratio of Continuous Light Using LEDs. Front. Plant Sci. 2020, 11, 704. [Google Scholar] [CrossRef]
  31. Zhou, W.L.; Liu, W.; Yang, Q.C. Quality changes in hydroponic lettuce grown under pre-harvest short-duration continuous light of different intensities. J. Hortic. Sci. Biotechnol. 2012, 87, 429–434. [Google Scholar] [CrossRef]
  32. Min, Q.; Marcelis, L.F.M.; Nicole, C.C.S.; Woltering, E.J. High Light Intensity Applied Shortly Before Harvest Improves Lettuce Nutritional Quality and Extends the Shelf Life. Front. Plant Sci. 2021, 12, 615355. [Google Scholar] [CrossRef] [PubMed]
  33. Li, Y.; Wu, L.; Jiang, H.; He, R.; Song, S.; Su, W.; Liu, H. Supplementary Far-Red and Blue Lights Influence the Biomass and Phytochemical Profiles of Two Lettuce Cultivars in Plant Factory. Molecules 2021, 26, 7405. [Google Scholar] [CrossRef]
  34. Wojciechowska, R.; Długosz-Grochowska, O.; Kołton, A.; Żupnik, M. Effects of LED supplemental lighting on yield and some quality parameters of lamb’s lettuce grown in two winter cycles. Sci. Hortic. 2015, 187, 80–86. [Google Scholar] [CrossRef]
  35. Zhou, C.; Li, Z.; Liu, W.; Bian, Z.; Lu, W.; Zhou, B.; Wang, S.; Li, Q.; Yang, Q. High-Proportion Blue Light Irradiation at the End-of-Production Stage Promotes the Biosynthesis and Recycling of Ascorbate in Lettuce. Int. J. Mol. Sci. 2023, 24, 16524. [Google Scholar] [CrossRef] [PubMed]
  36. Li, Q.; Kubota, C. Effects of supplemental light quality on growth and phytochemicals of baby leaf lettuce. Environ. Exp. Bot. 2009, 67, 59–64. [Google Scholar] [CrossRef]
  37. Ren, J.; Guo, S.; Xu, C.; Yang, C.; Ai, W.; Tang, Y.; Qin, L. Effects of different carbon dioxide and LED lighting levels on the anti-oxidative capabilities of Gynura bicolor DC. Adv. Space Res. 2014, 53, 353–361. [Google Scholar] [CrossRef]
  38. Li, J.; Wu, T.; Huang, K.; Liu, Y.; Liu, M.; Wang, J. Effect of LED Spectrum on the Quality and Nitrogen Metabolism of Lettuce Under Recycled Hydroponics. Front. Plant Sci. 2021, 12, 678197. [Google Scholar] [CrossRef] [PubMed]
Figure 1. Proposed methodology steps. The steps that were carried out in this study are outlined in red.
Figure 1. Proposed methodology steps. The steps that were carried out in this study are outlined in red.
Sustainability 16 07470 g001
Figure 2. Dataset structure composed of 34 experiments, 18 light treatments, and 3 case studies.
Figure 2. Dataset structure composed of 34 experiments, 18 light treatments, and 3 case studies.
Sustainability 16 07470 g002
Figure 3. (A) AsA response to the relative change in DLI and (B) response to the relative change in blue spectrum light.
Figure 3. (A) AsA response to the relative change in DLI and (B) response to the relative change in blue spectrum light.
Sustainability 16 07470 g003
Table 1. Experimental design of each case study.
Table 1. Experimental design of each case study.
Case StudyGermination PeriodAcclimatization Period Treatment Period
A. W: 200 µmol m−2 s−1, 16/8 h 15 days3R:1B, 16/8 h, 200 µmol m−2 s−1 (10 days)R: 150  µmol m−2 s−1 B: 50 µmol m−2 s−1 24/0 h
R: 100 µmol m−2 s−1 B: 100 µmol m−2 s−1 24/0 h
R: 50 µmol m−2 s−1 B: 150 µmol m−2 s−1 24/0 h
(12 days)
B.W: 200 µmol m−2 s−1, 16/8 h 15 days3R:1B, 16/8 h, 200 µmol m−2 s−1 (7 days)3R: 1B, 16/8 h 200 µmol m−2 s−1
3R: 1B, 24 h 200 µmol m−2 s−1
(15 days)
C.W: 200 µmol m−2 s−1, 16/8 h 15 days3R:1B, 16/8 h, 200 µmol m−2 s−1 (10 days)3R: 1B, 24/0 h, 100 µmol m−2 s−1
3R: 1B, 24/0 h, 200 µmol m−2 s−1
3R: 1B, 24/0 h, 300 µmol m−2 s−1 (12 days)
Table 2. Acclimatization values and light treatment variable values from three independent studies aggregated in a single dataset.
Table 2. Acclimatization values and light treatment variable values from three independent studies aggregated in a single dataset.
DLI x1Blue Spectrum xbRed Spectrum xr
Acclimatization values200 µmol m−2 s−150 µmol m−2 s−1150 µmol m−2 s−1
Light treatment variable values−25%−25%−25%
0%0%0%
50%50%50%
200%0%
350%−50%
125%125%125%
Table 3. Estimated equations for the three case studies based on the multiple regression model described in Section 2.5.
Table 3. Estimated equations for the three case studies based on the multiple regression model described in Section 2.5.
Case Study
AY=−0.21 + 0.32 x1 + 0.08 xb
BY=0.03 + 0.32 x1 + 0.08 xb
CY=−0.27 + 0.32 x1 + 0.08 xb
Note: all the coefficients of the equations have a p-value < 0.001. The intercepts for the Case Study A and C equations are not significantly different. This model explains about 80% of the internal variability of the independent variables, with an adjusted R-squared value of 82%.
Table 4. Environmental variables set for each case study.
Table 4. Environmental variables set for each case study.
Mean Temperature [°C]Relative Humidity [%]EC [ds/m]pHCO2 [ppm]
Case Study A24551.65.8Ambient Level
Case Study B22551.35.8Ambient Level
Case Study C24551.35.8Ambient Level
Disclaimer/Publisher’s Note: The statements, opinions and data contained in all publications are solely those of the individual author(s) and contributor(s) and not of MDPI and/or the editor(s). MDPI and/or the editor(s) disclaim responsibility for any injury to people or property resulting from any ideas, methods, instructions or products referred to in the content.

Share and Cite

MDPI and ACS Style

Fasciolo, B.; van Brenk, J.; Verdonk, J.C.; Bakker, E.-J.; van Mourik, S. Quantifying the Impact of Light on Ascorbic Acid Content in Lettuce: A Model Proposal. Sustainability 2024, 16, 7470. https://doi.org/10.3390/su16177470

AMA Style

Fasciolo B, van Brenk J, Verdonk JC, Bakker E-J, van Mourik S. Quantifying the Impact of Light on Ascorbic Acid Content in Lettuce: A Model Proposal. Sustainability. 2024; 16(17):7470. https://doi.org/10.3390/su16177470

Chicago/Turabian Style

Fasciolo, Benedetta, Jordan van Brenk, Julian C. Verdonk, Evert-Jan Bakker, and Simon van Mourik. 2024. "Quantifying the Impact of Light on Ascorbic Acid Content in Lettuce: A Model Proposal" Sustainability 16, no. 17: 7470. https://doi.org/10.3390/su16177470

APA Style

Fasciolo, B., van Brenk, J., Verdonk, J. C., Bakker, E.-J., & van Mourik, S. (2024). Quantifying the Impact of Light on Ascorbic Acid Content in Lettuce: A Model Proposal. Sustainability, 16(17), 7470. https://doi.org/10.3390/su16177470

Note that from the first issue of 2016, this journal uses article numbers instead of page numbers. See further details here.

Article Metrics

Back to TopTop