Next Article in Journal
Notifications Related to Fraud and Adulteration in the Rapid Alert System for Food and Feed (RASFF) in 2000–2021
Next Article in Special Issue
A Novel Accident Duration Prediction Method Based on a Conditional Table Generative Adversarial Network and Transformer
Previous Article in Journal
Enhancing Circular Economy Practices in the Furniture Industry through Circular Design Strategies
Previous Article in Special Issue
Classification of Roadway Context and Target Speed for Multilane Highways in Thailand Using Fuzzy Expert System
 
 
Font Type:
Arial Georgia Verdana
Font Size:
Aa Aa Aa
Line Spacing:
Column Width:
Background:
Article

A Sustainable Approach to How Roadway Recognition Affects Drivers’ Speed Choice

by
Ruy Santos Ribeiro
1,
Orlando Yesid Esparza Albarracin
2,
Guilherme Rodrigues Linhares
3,
Ana Paula C. Larocca
1,* and
Liedi Legi B. Bernucci
4
1
Department of Transportation Engineering, Sao Carlos School of Engineering, University of Sao Paulo, Sao Carlos 13566-590, Brazil
2
Department of Production Engineering, Mackenzie Presbyterian University, São Paulo 01302-907, Brazil
3
Arteris S.A., São Paulo 04506-000, Brazil
4
Department of Transportation Engineering, Polytechnic School, University of São Paulo, Sao Paulo 05508-010, Brazil
*
Author to whom correspondence should be addressed.
Sustainability 2024, 16(15), 6546; https://doi.org/10.3390/su16156546
Submission received: 22 June 2024 / Revised: 25 July 2024 / Accepted: 26 July 2024 / Published: 31 July 2024

Abstract

Previous research has reported that driving on a familiar roadway can influence speed choice. However, the findings have not been extensively discussed in simulated environments, which are frequently used for assessments of driving behavior and traffic safety. This study assesses the effects of familiar roadways on drivers’ speed behavior in a driving simulator environment. During testing, 120 individuals drove through two blocks of four scenarios, each representing a real stretch of a mountainous Brazilian highway, with differences among the scenarios in advisory signs but with the same regulated speed. The participants could drive during the first, second, third, or fourth round, as established by random sorting. Afterwards, a Kruskal–Wallis Analysis of Variance (ANOVA) test was applied to search for significant differences in average speed between the rounds and scenarios. The results showed no significant differences in average speed (p-value < 0.05; α = 0.05); moreover, the drivers’ ability and time licensed were not necessarily correlated with average speed, supporting future research with repeated scenarios towards maximizing the sample’s utility for speed analysis in driving simulators.

1. Introduction

The study of human behavior during driving tasks is a specific field within traffic safety that enables an understanding of the driver’s decision-making process and actions under highway conditions [1]. One of the most common ways to assess driving behavior is through measurements of speed variation, primarily because higher likelihood of crashes and crash severity are associated with speed [2,3].
Studies that use driving simulators provide a similar and sustainable driving experience in a controlled environment without exposing the driver to real risks [4]. Therefore, driving simulation has become a valid method for analyzing driving behavior through speed choice [5]. Moreover, simulators are a great tool for fostering sustainable development in low- and middle-income countries as they provide a practical solution that addresses both environmental and economic challenges. Our approach involves assessments of a sustainable solution, such as highway sign updates for improving highway safety, prior to the implementation of upgrades in highway geometry design.
However, some reactions to the scenarios displayed during the simulations are not well understood, particularly the recognition of the ambiance and its influence on speed, indicating a lack of knowledge about how environmental factors affect drivers speed behavior. Route familiarity and speed choice are greatly correlated [6], and have already been investigated in the real world, e.g., in on-road studies. On the other hand, the way drivers behave in familiar simulated environments has rarely been discussed. This paper contributes to this issue, supporting future research on assessment of multiple scenarios in a same-roadway environment (e.g., sign assessment).
Yanko and Spalek suggested that familiar routes produce inattention, as the driving task becomes easier over time [7]. Initially, drivers must concentrate mainly on the road, curves, and signs; however, as they begin to recognize the entire road system, they shift their gaze focus to other areas that initially did not attract attention. Moreover, familiar drivers may identify hazardous events, e.g., sharp curves, more easily than unfamiliar ones, which may indicate better driving performance, as they can appropriately speed up and slow down when necessary.
Pratt et al. conducted a study using naturalistic data from the Second Strategic Highway Research Program (SHRP2), which contains information about dates, times, vehicle speeds on curves, and geometric data from the Road Information Database (RID) [8]. Speed Prediction Models were used to predict speeds according to certain geometric characteristics of Indiana highways, and information about vehicles and travel occurrences on those stretches was collected. The results showed that drivers familiar with the road (i.e., those who repeatedly made the trajectory) tended to choose higher speeds than unfamiliar drivers.
In a driving simulation study, Martens and Fox assessed drivers’ glance behavior towards road signs as a function of their familiarity with the road [9]. The authors reported that drivers familiar with the road glanced at the signs for shorter periods than unfamiliar drivers did, potentially affecting their ability to process the information accurately. They also monitored the drivers’ speeds over the course of the study, which spanned several consecutive days, and observed an increase in speed after day one. However, the study was conducted with a total sample of 36 participants (12 in the control group and 24 in the experimental group), which might have led to significant bias in the results [10]. A larger sample size is recommended for a more accurate assessment of the effects on speed.
In a recent study, Lee et al. explored the impact of familiarity with the road environment, adopting a distinct approach [11]. Specifically, they investigated how transitioning from right-hand to left-hand traffic rules affects drivers’ cognitive processes. Notably, they discovered that the mental workload decreases significantly when drivers encounter the scenario for the second time, which is aligned with previous research conducted by Yanko and Spalek [7] and Theeuwes et al. [12], indicating that recognizing the roadway environment influences drivers’ attention, speed choice, and behavior.
Those results underscore the association between familiarity and memorization [13]. As addressed elsewhere, repetition enhances both familiarity with the road environment and memorization of road characteristics (e.g., signs, landscape, traffic rules, and road geometry). However, due to experimental limitations (e.g., voluntary participation and experiment duration), sample sizes in driving simulator studies rarely reach a significant number of participants when divided into control and experimental groups, which may lead researchers to maximize the use of the sample by applying different scenarios (e.g., nuances in traffic or changes between signs). In such cases, the sample experiences interference from repetition and memorization, biasing the results.
Despite findings from prior studies, disparities in speed behavior between drivers familiar with a scenario and unfamiliar ones must be carefully examined to comprehend the impact of repetition and memorization on drivers’ speed behavior in simulated environments. Whereas previous research has predominantly analyzed these effects on driver behavior through gaze patterns and attention, new approaches must be applied when assessing speed behavior. Understanding how drivers make speed choices can pave the way for enhancing signaling efficiency and road safety [14]. Additionally, understanding how speed choice differs in repeated scenarios can offer valuable insights for future research on the implications of working with dependent sample groups (i.e., groups that experienced repetition and memorization) for speed analysis and comprehension of the way participants behave in such situations.
This study aims to understand how memorization and scenario recognition affect speed choice in simulated driving. Our hypothesis is that drivers will achieve higher average speeds and make more optimal speed choices in driving environments that they recognize and have previously memorized. However, this hypothesis was rejected after analysis revealed that speed behavior did not change between multiple rounds of scenarios.
This section provides a brief introduction and literature review. Section 2 describes the Materials and Methods. Section 3 reports the Results and Discussion. Finally, Section 4 is devoted to the Conclusions.

2. Materials and Methods

2.1. Experimental Setup

The equipment and software employed for the experimental objectives are detailed in the following.
Driving Simulator. The static driving simulator setup included an Extreme Racing Cockpit. The steering wheel and pedals were provided by a Logitech G27 system and the visual output was projected onto an 85-inch screen. Shifting gears was made possible through paddle shifters, and the simulation was powered by Virtual Test Drive (VTD) software version 1.4. (VI-grade, Marburg, Germany). The dynamic vehicle model used was supplied by PSA Peugeot Citroën Brasil—Rio de Janeiro, representing a vehicle similar to the Citroën C3.
Virtual Environment. Roadway Design (ROD) software version 4.3 (VI-grade, Marburg, Germany) was used to construct the roadway environment, which depicts a 4 km segment of BR-376, a mountainous Brazilian highway known for its high accident rate located in the state of Paraná. The highway alignment was obtained from a shape file provided by the Paraná Highway Department (DER-PR) and converted to a “.dwg” file using QGIS software version 3.36. Horizontal curves were calculated according to the Highway Geometric Design Manual from the Brazilian Department of Transportation Infrastructure (DNIT) considering a circular section and a clothoid transition section. The transversal section consisted of three lanes (3.75 m width) with no shoulders. The signs displayed along the stretch were provided by the highway management. The landscape was meticulously designed to enhance the sensation of driving in a mountainous region. Figure 1 represents the stretch of highway and the elements considered for constructing the virtual environment.

2.2. Participants

The study sample consisted of 120 individuals from the University of São Paulo, São Carlos, aged 18–66 (mean age = 28 years; SD = 10 years); 70% were male and 30% female. Only two participants worked as professional drivers, and 14% had previous experience with driving simulators. The participants were selected for convenience, and the sample did not reflect a specific group or population. According to the inclusion criteria, participants should have at least a driver’s license in category B, the Brazilian category for cars. Data were collected from November 2023 to March 2024 from 8 AM to 9 PM. All participants provided informed consent prior to inclusion in the study, and ethical approval was granted by the Human Research Ethics Committee of Universidade Federal de São Carlos (UFSCar) under ethical approval code 51081521.1.0000.5390.

2.3. Driving Scenarios

Initially, eight different scenarios were proposed, each featuring different combinations of three distinct sets of signs, which allowed us to examine the effects of such sets on average speed. The first set, depicted in Figure 2, included numbered alignment markers, rumble strips, and an advisory sign warning of a slippery road under foggy and rainy conditions. The second set consisted of a change in pavement color to a darker shade, whereas the third, shown in Figure 3, featured a gantry sign indicating a winding road ahead. The specific combinations of sets established for each scenario are provided in Table 1.

2.4. Design of the Experiment

With the goal of minimizing the duration of the experiment and risk of motion sickness, each driver participated in only four scenarios. Block 1 included drivers who navigated through scenarios 1, 2, 3, and 4, while Block 2 included those who navigated through scenarios 5, 6, 7, and 8. Drivers were assigned a code (1–120) at the time their experiment appointment was scheduled. Drivers who received an odd number were assigned to Block 1, while those who received an even number were assigned to Block 2.
Another randomization was proposed for the sequence of scenarios to be driven by each participant. There were six possible sequences for Block 1 and six for Block 2, which were distributed among the first twelve participants. The thirteenth driver repeated the sequence of the first driver, the fourteenth driver repeated that of the second driver, and so on until the 120th driver had repeated the sequence of the twelfth, as detailed in Table 2. This approach ensured that each sequence was used an equal number of times in the experimental design, ensuring that the results would not be biased by the order of the scenarios.

2.5. Experimental Procedure

The experiment was conducted in a static driving simulator within a controlled laboratory environment. The room’s lighting was switched off to enhance the quality of the projections. The researcher refrained from disclosing the experiment’s objectives to the participants, and if any participants inquired about the purpose, they responded that it would be explained at the end of the experiment.
Phase 1. Subscription and appointment: Subscriptions were made voluntarily through an online form, and appointments were scheduled. At the moment the appointment was confirmed, each participant was assigned a code for use in selecting the sequence of scenarios.
Phase 2. After signing the consent form to participate in the experiment, participants answered a questionnaire about their driving profile characteristics.
Phase 3. Adaptation: The controls of the simulator were presented to the participants, who then drove in a test scenario for approximately five minutes. This provided an opportunity to investigate whether the participants were experiencing any type of discomfort.
Phase 4. Simulation—The scenarios were displayed to the driver in a free-flow traffic condition (i.e., no vehicles on road) and clear weather in a pre-established sequence corresponding to the code assigned to each participant. Each simulated round lasted approximately 5 min, with a three-minute gap between rounds. If a participant reported discomfort due to motion sickness or if there was a car crash during the simulation, the experiment was terminated and the sample was excluded. At the end of the fourth simulation round, the experiment was concluded. The entire experiment lasted around 40 min.

2.6. Statistical Inference

Analysis of speed choice across rounds. The Kruskal–Wallis H test, a nonparametric alternative to one-way ANOVA [15], was used to assess the presence of significant differences between rounds and scenarios. Unlike traditional ANOVA, which tests the equality of means, the Kruskal–Wallis test examines the equality of medians across groups, and does not rely on the assumption of normal distribution or homogeneity of variances among groups. The Shapiro–Wilk test [16] was used to confirm the non-normality of the data, supporting the use of a nonparametric test. The null hypothesis ( H 0 ) of the Kruskal–Wallis test posits that the medians of all groups are equal, suggesting no significant differences between the compared groups. Conversely, the alternative hypothesis ( H 1 ) suggests that at least one group’s median significantly differs from the others. Statistical inferences rely on the p-value, which is used to analyze the significance of differences based on a confidence level ( α ). If the p-value is lower than α , then the null hypothesis is rejected. However, the test does not identify specific groups that differ when the null hypothesis is rejected. Post hoc analyses can be conducted to determine where the differences lie.
Average speed through scenarios. Because the previous analysis assumed that there was no statistical evidence for rejecting the Kruskal–Wallis null hypothesis, the rounds probably did not affect average the speed; thus, the average speed could be analyzed without considering the effect of the rounds. Comparison of the average speeds across the different scenarios can help to understand the response to different sets combinations, as described elsewhere. At this point, the scenario rounds, which initially comprised four groups, were consolidated into one, resulting in 60 observations per scenario (e.g., scenario 1 had four rounds, which were combined into one). Paired data analyses were used to compare the scenarios in Block 1, as the same subjects drove through these scenarios. The same approach was applied for comparison between the scenarios of Block 2. When comparing scenarios across different blocks (e.g., scenario 1 of Block 1 and scenario 5 of Block 2), the assessment involved non-paired data analyses, as they involved two distinct groups of subjects. Friedman’s test was used to separately search for significant differences between the average speeds of scenarios from Blocks 1 and 2. In this test, H 0 assumes that is no difference between scenarios and H 1 suggests that at least one scenario significantly differs from the others. Post hoc analysis can be used to determined where the differences lie. Wilcoxon’s Test for paired data was employed when the post hoc analysis involved scenarios within the same block (e.g., 1–2 or 5–6); H 0 assumed no difference in average speed between scenarios, while H 1 assumed significant differences. The Mann–Whitney U Test for independent samples was employed for analyses involving scenarios from different blocks (e.g., 1–5). The same hypothesis test was established for this test. Bonferroni correction was also applied for both tests to avoid type-one errors (i.e., true null hypothesis rejection).
Correlation between average speed and driver experience. Two analyses were used to assess the possibility of a relationship between driving experience and speed choice. The first used the responses from the Driver Profile Questionnaire about how long the driver had been licensed to drive. A scatter plot was created and the Spearman’s Correlation Coefficient ( ρ ) was calculated to assess the correlation between time licensed and average speed on the stretch for each scenario. For the second test, Kruskal–Wallis ANOVA tests were used to determine the relationship between drivers’ self-assessment of their ability at the wheel based on the Drivers Profile Questionnaire and their average speed. The participants assessed themselves by selecting one of three distinct categories: experienced driver, regular driver, or inexperienced driver.
All statistical analyses described in this section were conducted in R language [17] and in the R environment RStudio [18], version 4.3.3, with the following list of packages: Stats [17], ggplot2 [19], ggpubr [20], dplyr [21], and rstatix [22].

2.7. Validation Procedure

Driving simulator studies must be validated due to their limitations in accurately imitating the real world [23]. Validating an experiment means comparing the in-lab results to some sample from the real world. Our experiment was validated using the ecological method [24], which simplifies comparisons by testing the results of an experiment against those of another with similar parameters and conditions [25,26].

3. Results and Discussion

3.1. Block Sample Description

The Driver Profile Questionnaire provided answers about the level of experience the drivers believed they had. In Block 1, 50% considered themselves regular drivers, 30% were experienced drivers, and 20% were inexperienced ones. The participants had a mean experience of 8 years (SD = 9.07 years) and selected the characteristic that best described them as follows: 54 drivers classified themselves as cautious, 27 as confident, two as risky, and one as aggressive. In Block 2, 48% considered themselves regular drivers, 40% were experienced drivers, and 12% were inexperienced. The participants had a mean experience of 10 years (SD = 10.88 years) and selected the characteristic that best describes them as follows: 42 classified themselves as cautious drivers, 28 as confident, two as risky, and five as aggressive.

3.2. Analysis of Speed Choice Across Rounds

The results of the Shapiro–Wilk and Kruskal–Wallis tests and the conclusions of the previously established hypothesis testing are summarized in Table 3.
Shapiro–Wilk testing indicated that at least one group of rounds per scenario was not normally distributed ( α = 0.05 ), requiring the Kruskal–Wallis nonparametric test for comparison of average speeds across rounds for all scenarios except Scenario 6, which had only two rounds, allowing the Mann–Whitney U test to be applied).
Kruskal–Wallis and Mann–Whitney testing showed that all p-values were greater than α , supporting the null hypothesis, i.e., no sufficient statistical evidence was found for rejecting it. The medians of the groups of rounds did not differ significantly for the scenarios, and the average speed did not change through rounds, as was expected and as shown during the literature review [7]. Apparently, the sample showed no difference in speed choice after driving through similar simulated scenarios. The lack of any reason for travel in driving simulator studies may be a reason for these results, as could the frequency of rounds and time spent driving.
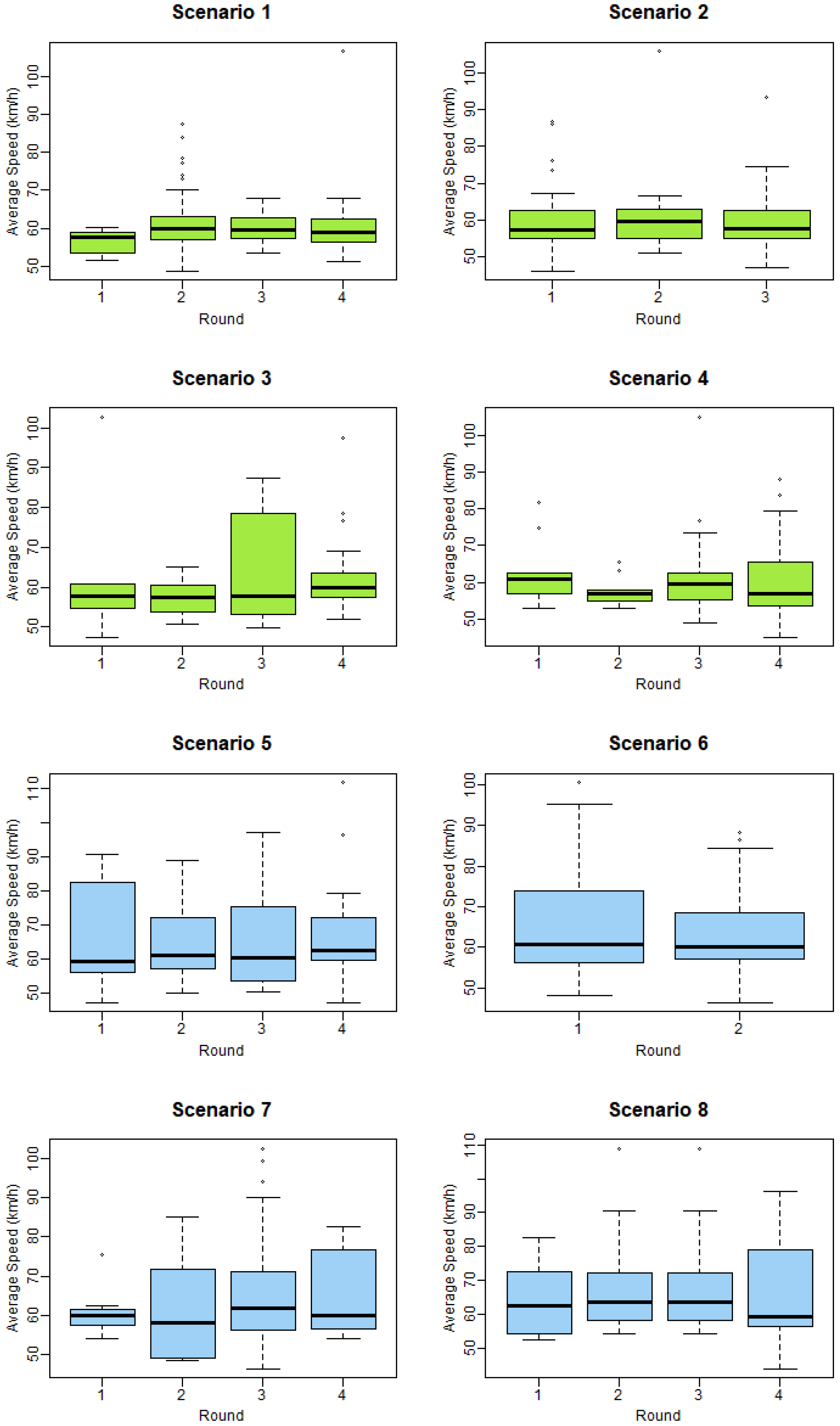
Figure 4 displays boxplots of the average speed across rounds and scenarios in kilometers per hour.
The scenarios in Block 1 (lime green) showed a lower range of average speed than scenarios in Block 2 (light blue); however, the number of outliers is higher in Block 1, which may show influence on the part of the group characteristics and type of scenario. As shown in the Kruskal–Wallis and Mann–Whitney test results (Table 3), the medians did not present significant differences, which can be noticed in the boxplot comparison.
Round 3 of Scenario 3 showed a higher range of inter-quartile interval (first quartile–third Qqartile), with 50% of the group driving in a 55 km/h to 80 km/h average speed range. Scenario 3 displayed only the gantry sign positioned in its final segment. Compared to the base scenario (i.e., Scenario 1, in which none of the sets proposed were displayed), drivers showed higher average speeds during round 3 when Scenario 3 was presented. This result may indicate the influence of the sets of signs in that block.
A higher range of average speeds for the last rounds (rounds 3 and 4) was also found in Scenarios 7 and 8.

3.3. Average Speed Analyses Disregarding Round Effects

Next, the average speeds were analyzed while disregarding the effect of the rounds, as Kruskal–Wallis and Mann–Whitney testing resulted in no significant influence of the round on the driver’s average speed. We first analyzed the blocks separately. Figure 5 shows the boxplots of the average speed distribution for each scenario, with all four rounds grouped into only one sample.
The scenarios from Block 2 showed a higher range of average speeds. While 50% of the samples from Block 1 drove in the range of 54 km/h to 63 km/h, in Block 2 50% of the samples drove in the range of 54 km/h to 71 km/h. Scenario 5 showed the highest range of average speed in Block 2. Notably, this scenario displayed only the darker shade of pavement color, which may have influenced the choice of speed. As addressed in the last section, this may also be due to the influence of group characteristics. Additionally, one outlier showed an average speed of over 110 km/h in a 60 km/h zone.
The medians of all scenarios tended to be established around 60 km/h, which is the regulated speed limit in that stretch of highway. Therefore, the normality was tested in order to understand whether the medians differed. Table 4 shows the Shapiro–Wilk test results, which revealed non-normal distributions for all scenarios ( α = 0.05 ). Thus, nonparametric alternative tests were adopted to assess the average speed differences across the eight scenarios.
Friedman’s test for dependent samples in Block 1 resulted in p-value = 0.02, indicating null hypothesis rejection ( α = 0.05 ). At least one scenario in Block 1 showed significant differences in average speed. Friedman’s test in Block 2 resulted in p-value = 0.05, also indicating null hypothesis rejection ( α = 0.05 ). The test revealed significant differences in average speed in at least one scenario in Block 2.
Wilcoxon’s post hoc test was applied and Bonferroni correction was considered. The confidence level was α = 0.0083 for both blocks. Table 5 shows the p-value results of Wilcoxon’s post hoc test for Blocks 1 and 2. The post hoc test only detected significant differences in average speed between scenarios 5 and 6.
Mann–Whitney post hoc testing for independent samples was applied for inter-block comparison of the different scenarios. Bonferroni correction was considered, and the confidence level was α = 0.0031 . The results of the test are displayed in Table 6, and indicate no significant inter-block differences between scenarios.

3.4. Correlation between Average Speed and Driver Experience

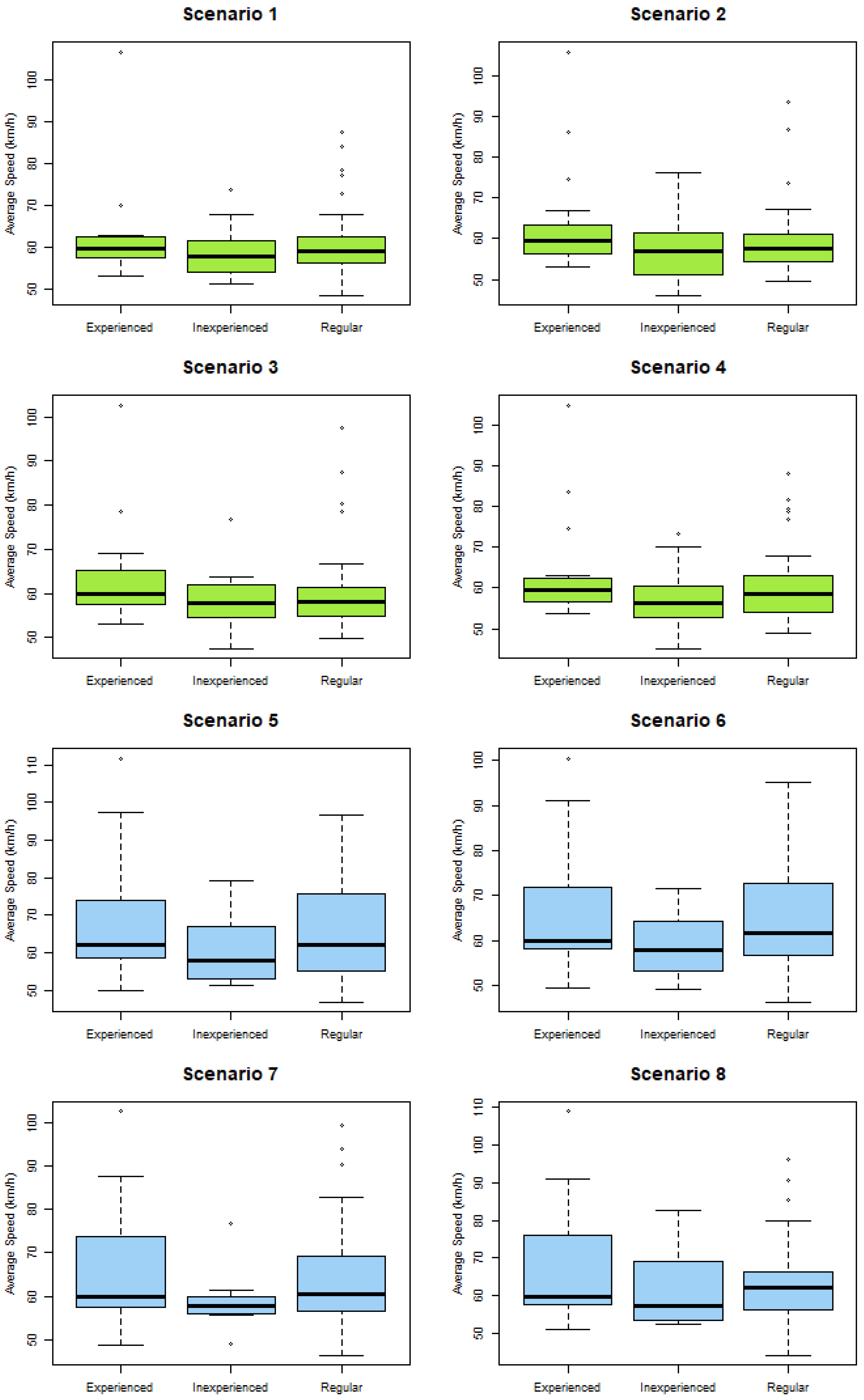
The scatter plot in Figure 6 illustrates the relationship between average speed and time licensed, and a trend line in red. The Spearman’s correlation coefficient ( ρ ) was calculated for the variables for each scenario. The box plot in Figure 7 shows the range of average speed compared to experience for each driving scenario.
No relationship could be established between time licensed and average speed for any scenarios. The Spearman’s correlation coefficient ( ρ ) was close to zero, indicating a weak linear relationship. According to Figure 6, in Block 1 high average speeds seemed to be more common among drivers with 10 years under license, whereas in Block 2 higher average speeds were observed among drivers with up to 30 years under license.
However, Figure 7 shows that drivers in Block 1 had lower average speed ranges compared to drivers in Block 2. In the latter block, experienced and regular drivers seemed to have chosen higher average speeds, which may indicate that time licensed and driver skill as indicated by the participants are not necessarily correlated.
The Kruskal–Wallis ANOVA test was used to determine whether the average speed differed among different categories of drivers (regular, experienced, and inexperienced), with the results shown in Table 7. The p-value results confirmed that the median average speeds did not significantly differ among the groups of drivers ( α = 0.05 ).

4. Conclusions

This study aimed to understand how scenario recognition affects average speed in driving simulations. Contrary to Yanko and Spalek, our results show that the participants did not change their average speed among the rounds, despite increasing driver familiarization as scenarios were repeated [7]. During the experiment, most participants commented to ask whether they were driving in the same scenario after the first round, indicating that they noticed the similarity of the roadway. However, the feeling of being observed and knowing that they were part of an experiment may have had a strong impact on their speed choices, as the average speed tended to remain around 60 km/h, which is the regulated speed for the simulated stretch of highway.
One reason for such an antagonistic result may be the way in which the repetitions were structured. Whereas Yanko and Spalek familiarized participants with the road scenario over the course of several days [7], we familiarized our study participants within minutes, and anticipated that the average speed might be related to how long the participants had been licensed. However, our results showed no such correlation. The participants’ self-assessed driving abilities did not seem to be associated with their actual average speed in the experiment either, although this may have been influenced by the road signs displayed in the scenarios.
The main limitations of our experiment lie in its voluntary participation and motion sickness avoidance aspects; notably, the experiment was conducted in a single session of simulations, each lasting only a few minutes.
Finally, the study aimed to investigate how roadway recognition affects drivers’ speed choice. For the obtained sample and adopted experimental methods, roadway recognition did not affect speed choice, supporting future research that may face the same limitations. Additionally, future research could structure longitudinal experiments towards a more natural familiarization process similar to the real one, and could analyze instant speed and car acceleration instead of the average speed.

Author Contributions

Conceptualization, A.P.C.L., L.L.B.B., and R.S.R.; methodology, O.Y.E.A., R.S.R., and A.P.C.L.; software, R.S.R.; validation, R.S.R.; formal analysis, R.S.R.; investigation, A.P.C.L. and R.S.R.; resources, A.P.C.L.; data curation, R.S.R.; writing—original draft preparation, R.S.R.; writing—review and editing, A.P.C.L. and R.S.R.; visualization, R.S.R.; supervision, A.P.C.L. and O.Y.E.A.; project administration, A.P.C.L.; funding acquisition, G.R.L., A.P.C.L., and L.L.B.B. All authors have read and agreed to the published version of the manuscript.

Funding

This research was supported by the Coordinate Improvement of University Personnel (CAPES); Conselho Nacional de Pesquisa e Desenvolvimento (CPNq)—407056/2022; and Fundação de Amparo à Pesquisa do Estado de São Paulo (FAPESP)—2021/10727-1.

Institutional Review Board Statement

This study was conducted according to the guidelines of the Declaration of Helsinki and approved by the Human Research Ethics Committee of the Federal University of Sao Carlos (51081521.1.0000.5390).

Informed Consent Statement

Informed consent was obtained from all subjects involved in the study.

Data Availability Statement

No new data were created in this study. Data sharing obtained during the project does not apply to this article due to legal and privacy issues.

Conflicts of Interest

Author Guilherme Rodrigues Linhares was employed by the company Arteris S.A., The remaining authors declare that the research was conducted in the absence of any commercial or financial relationships that could be construed as a potential conflict of interest.

References

  1. Alkheder, S. Experimental road safety study of the actual driver reaction to the street ads using eye tracking, multiple linear regression and decision trees methods. Expert Syst. Appl. 2024, 252, 124222. [Google Scholar] [CrossRef]
  2. Choudhary, P.; Imprialou, M.; Velaga, N.R.; Choudhary, A. Impacts of speed variations on freeway crashes by severity and vehicle type. Accid. Anal. Prev. 2018, 121, 213–222. [Google Scholar] [CrossRef] [PubMed]
  3. Ahmed, S.S.; Alnawmasi, N.; Anastasopoulos, P.C.; Mannering, F. The effect of higher speed limits on crash-injury severity rates: A correlated random parameters bivariate tobit approach. Anal. Methods Accid. Res. 2022, 34, 100213. [Google Scholar] [CrossRef]
  4. Rondora, M.E.S.; Pirdavani, A.; Larocca, A.P.C. Driver Behavioral Classification on Curves Based on the Relationship between Speed, Trajectories, and Eye Movements: A Driving Simulator Study. Sustainability 2022, 14, 6241. [Google Scholar] [CrossRef]
  5. Godley, S.T.; Triggs, T.J.; Fildes, B.N. Driving simulator validation for speed research. Accid. Anal. Prev. 2002, 34, 589–600. [Google Scholar] [CrossRef] [PubMed]
  6. Colonna, P.; Intini, P.; Berloco, N.; Ranieri, V. The influence of memory on driving behavior: How route familiarity is related to speed choice. An on-road study. Saf. Sci. 2016, 82, 456–468. [Google Scholar] [CrossRef]
  7. Yanko, M.R.; Spalek, T.M. Route familiarity breeds inattention: A driving simulator study. Accid. Anal. Prev. 2013, 57, 80–86. [Google Scholar] [CrossRef] [PubMed]
  8. Pratt, M.P.; Geedipally, S.R.; Dadashova, B.; Wu, L.; Shirazi, M. Familiar versus Unfamiliar Drivers on Curves: Naturalistic Data Study. Transp. Res. Rec. 2019, 2673, 225–235. [Google Scholar] [CrossRef]
  9. Martens, M.H.; Fox, M.R. Do familiarity and expectations change perception? Drivers’ glances and response to changes. Transp. Res. F Traffic Psychol. Behav. 2007, 10, 476–492. [Google Scholar] [CrossRef]
  10. Lin, L. Bias caused by sampling error in meta-analysis with small sample sizes. PLoS ONE 2018, 13, e0204056. [Google Scholar] [CrossRef] [PubMed]
  11. Lee, Y.C.; Wen, F.; Wang, C.H. Round-trip driving effects on driving performances and mental workload under different traffic rules. Int. J. Ind. Ergon. 2023, 95, 103437. [Google Scholar] [CrossRef]
  12. Theeuwes, J.; Snell, J.; Koning, T.; Bucker, B. Self-Explaining Roads: Effects of road design on speed choice. Transp. Res. F Traffic Psychol. Behav. 2024, 102, 335–361. [Google Scholar] [CrossRef]
  13. Hintzman, D.L. Repetition and Memory. In Psychology of Learning and Motivation; Bower, G.H., Ed.; Academic Press: Cambridge, MA, USA, 1976; Volume 10, pp. 47–91. [Google Scholar]
  14. Faiz, R.U.; Mashros, N.; Hassan, S.A. Speed Behavior of Heterogeneous Traffic on Two-Lane Rural Roads in Malaysia. Sustainability 2022, 14, 16144. [Google Scholar] [CrossRef]
  15. Kruskal, W.H.; Wallis, W.A. Use of Ranks in One-Criterion Variance Analysis. J. Am. Stat. Assoc. 1952, 47, 583–621. [Google Scholar] [CrossRef]
  16. Shapiro, S.S.; Wilk, M.B. An Analysis of Variance Test for Normality (Complete Samples). Biometrika 1965, 52, 591–611. [Google Scholar] [CrossRef]
  17. R Core Team. R: A Language and Environment for Statistical Computing; R Foundation for Statistical Computing: Vienna, Austria, 2024. [Google Scholar]
  18. RStudio Team. RStudio: Integrated Development Environment for R; RStudio, PBC; R Foundation for Statistical Computing: Vienna, Austria, 2022. [Google Scholar]
  19. Wickham, H. ggplot2: Elegant Graphics for Data Analysis; Springer: New York, NY, USA, 2016. [Google Scholar]
  20. Kassambara, A. ggpubr: ’ggplot2’ Based Publication Ready Plots, R package version 0.6.0.; R Foundation for Statistical Computing: Vienna, Austria, 2023. [Google Scholar]
  21. Wickham, H.; François, R.; Henry, L.; Müller, K. dplyr: A Grammar of Data Manipulation, R package version 1.0.10; R Foundation for Statistical Computing: Vienna, Austria, 2023. [Google Scholar]
  22. Kassambara, A. rstatix: Pipe-Friendly Framework for Basic Statistical Tests, R package version 0.7.2; R Foundation for Statistical Computing: Vienna, Austria, 2023. [Google Scholar]
  23. Talsma, T.M.; Hassanain, O.; Happee, R.; de Winkel, K.N. Validation of a moving base driving simulator for motion sickness research. Appl. Ergon. 2023, 106, 103897. [Google Scholar] [CrossRef] [PubMed]
  24. Mullen, N.; Charlton, J.; Devlin, A.; Bedard, M. Simulator validity: Behaviors observed on the simulator and on the road. In Handbook of Driving Simulation for Engineering, Medicine and Psychology; Fisher, D.L., Rizzo, M., Caird, J.K., Lee, J.D., Eds.; CRC Press: Boca Raton, FL, USA, 2011; Chapter 13. [Google Scholar] [CrossRef]
  25. Rangel, M.A.C. Analysis of the Road Signs Perception in Driving Simulated Environments: A Case Study on the BR-116 Highway. Master’s Thesis, Sao Carlos School of Engineering, University of Sao Paulo, Sao Carlos, Brazil, 2015. [Google Scholar] [CrossRef]
  26. Smith, A.K.; Vicencio-Moreira, R.; Friedrich, T.E.; Flath, M.E.; Gutwin, C.; Elias, L.J. Lateral spatial biases in naturalistic and simulated driving: Does pseudoneglect influence performance? Laterality 2024, 29, 97–116. [Google Scholar] [CrossRef] [PubMed]
Figure 1. Roadway design and signs considered in the virtual environment.
Figure 1. Roadway design and signs considered in the virtual environment.
Sustainability 16 06546 g001
Figure 2. Set 1.
Figure 2. Set 1.
Sustainability 16 06546 g002
Figure 3. Set 3.
Figure 3. Set 3.
Sustainability 16 06546 g003
Figure 4. Average speed (km/h) through rounds and scenarios.
Figure 4. Average speed (km/h) through rounds and scenarios.
Sustainability 16 06546 g004
Figure 5. Scenario average speeds.
Figure 5. Scenario average speeds.
Sustainability 16 06546 g005
Figure 6. Scatter plot od time licensed (years) × average speed (km/h).
Figure 6. Scatter plot od time licensed (years) × average speed (km/h).
Sustainability 16 06546 g006
Figure 7. Average speed ranges across scenarios for different drivers skill levels.
Figure 7. Average speed ranges across scenarios for different drivers skill levels.
Sustainability 16 06546 g007
Table 1. Distribution of sets through scenarios.
Table 1. Distribution of sets through scenarios.
Scenario12345678
Set 1NoYesNoYesNoYesNoYes
Set 2NoNoNoNoYesYesYesYes
Set 3NoNoYesYesNoNoYesYes
Table 2. Sequence of scenarios distributed by driver’s code.
Table 2. Sequence of scenarios distributed by driver’s code.
Drivers CodeRound 1Round 2Round 3Round 4Block
001 *41231
00256782
00324131
00476852
00521341
00668752
00732411
00886572
00913241
01065782
01121431
01267582
01341231
01456782
..................
12067582
* The driver coded 001 drove through scenario 4 during round 1, scenario 1 during round 2, scenario 2 during round 3, and scenario 3 during round 4.
Table 3. Differences between rounds of each scenarios.
Table 3. Differences between rounds of each scenarios.
S 1R 2N 3Shapiro-Wilk (p-Value)Normal Distrib. (p-Value > 0.05)Kruskal-WallisConclusion
11100.2693Yeschi-squared = 5.4699; df = 3; p-value = 0.1404Assume H 0 (p-value > 0.05)
2300.0028No
3100.9851Yes
4100.9851Yes
21300.0001Nochi-squared = 0.3893; df = 2; p-value = 0.8231Assume H 0 (p-value > 0.05)
2100.9028Yes
3200.0512Yes
4---
31100.0001Nochi-squared = 3.8380; df = 3; p-value = 0.2795Assume H 0 (p-value > 0.05)
2100.9028Yes
3100.0512Yes
4304.51 × 10 5 No
41100.0430Nochi-squared = 3.0162; df = 3; p-value = 0.3891Assume H 0 (p-value > 0.05)
2100.1423Yes
3200.0002No
4200.0045No
51100.1605Yeschi-squared = 0.6571; df = 3; p-value = 0.8833Assume H 0 (p-value > 0.05)
2100.0877Yes
3200.0322No
4200.0024No
61300.0018NoMann-Whitney w = 483; p-value = 0.63Assume H 0 (p-value > 0.05)
2300.0147No
3--
4--
71100.0084Nochi-squared = 1.1211; df = 3; p-value = 0.772Assume H 0 (p-value > 0.05)
2100.1850Yes
3300.0020No
4100.0327No
81100.3108Yeschi-squared = 1.0724; df = 3; p-value = 0.784Assume H 0 (p-value > 0.05)
2100.0122No
3100.0122No
4300.0085No
1 Scenario; 2 Round; 3 Number of observations.
Table 4. Shapiro–Wilk normality test.
Table 4. Shapiro–Wilk normality test.
ScenarioWp-ValueConclusion
10.83753201.33 × 10 6 Reject H 0 (p < 0.05)
20.86380437.98 × 10 6
30.81052042.49 × 10 7
40.85054123.16 × 10 6
50.90120711.46 × 10 4
60.91658755.61 × 10 4
70.88621994.29 × 10 5
80.90264261.64 × 10 4
Table 5. Wilcoxon’s p-value results for Blocks 1 and 2.
Table 5. Wilcoxon’s p-value results for Blocks 1 and 2.
Block 1123Block 2567
20.063160.0073 *
30.67210.087070.06850.9560
40.34420.08970.645480.25230.40760.2554
* Significant result.
Table 6. Mann–Whitney test p-value results.
Table 6. Mann–Whitney test p-value results.
1234
50.10100.02490.06430.04696
60.18860.04990.13400.0895
70.29020.05780.18160.1197
80.25580.05060.14530.0905
Table 7. Kruskal–Wallis ANOVA results.
Table 7. Kruskal–Wallis ANOVA results.
S 1DS 2N 3Shapiro-Wilk. p-ValueNormal Distrib. (p-Value > 0.05)Kruskal-WallisConclusion
1E181.73 × 10 3 NoChi-squared = 1.4667; df = 2; p-value = 0.4803Assume H0 (p-value > 0.05)
R300.2027Yes
I124.40 × 10 4 No
2E189.83 × 10 5 NoChi-squared = 3.2391; df = 2; p-value = 0.1980Assume H0 (p-value > 0.05)
R301.16 × 10 5 Yes
I120.6884No
3E181.07 × 10 4 NoChi-squared = 1.7635; df = 2; p-value = 0.4141Assume H0 (p-value > 0.05)
R302.78 × 10 1 Yes
I121.80 × 10 5 No
4E182.07 × 10 5 NoChi-squared = 2.9585; df = 2; p-value = 0.2278Assume H0 (p-value > 0.05)
R302.96 × 10 1 Yes
I127.46 × 10 4 No
5E242.26 × 10 3 NoChi-squared = 1.903; df = 2; p-value = 0.3862Assume H0 (p-value > 0.05)
R296.25 × 10 2 Yes
I74.54 × 10 2 No
6E246.17 × 10 4 NoChi-squared = 1.7064; df = 2; p-value = 0.426Assume H0 (p-value > 0.05)
R290.4821Yes
I70.0288No
7E240.0113NoChi-squared = 1.8025; df = 2; p-value = 0.4061Assume H0 (p-value > 0.05)
R290.1216Yes
I72.87 × 10 3 No
8E245.88 × 10 4 NoChi-squared = 1.4599; df = 2; p-value = 0.4819Assume H0 (p-value > 0.05)
R290.0141No
I70.0337No
1 Scenario; 2 Driver Skill (Experienced, Regular, or Inexperienced); 3 Number of observations.
Disclaimer/Publisher’s Note: The statements, opinions and data contained in all publications are solely those of the individual author(s) and contributor(s) and not of MDPI and/or the editor(s). MDPI and/or the editor(s) disclaim responsibility for any injury to people or property resulting from any ideas, methods, instructions or products referred to in the content.

Share and Cite

MDPI and ACS Style

Ribeiro, R.S.; Albarracin, O.Y.E.; Linhares, G.R.; Larocca, A.P.C.; Bernucci, L.L.B. A Sustainable Approach to How Roadway Recognition Affects Drivers’ Speed Choice. Sustainability 2024, 16, 6546. https://doi.org/10.3390/su16156546

AMA Style

Ribeiro RS, Albarracin OYE, Linhares GR, Larocca APC, Bernucci LLB. A Sustainable Approach to How Roadway Recognition Affects Drivers’ Speed Choice. Sustainability. 2024; 16(15):6546. https://doi.org/10.3390/su16156546

Chicago/Turabian Style

Ribeiro, Ruy Santos, Orlando Yesid Esparza Albarracin, Guilherme Rodrigues Linhares, Ana Paula C. Larocca, and Liedi Legi B. Bernucci. 2024. "A Sustainable Approach to How Roadway Recognition Affects Drivers’ Speed Choice" Sustainability 16, no. 15: 6546. https://doi.org/10.3390/su16156546

APA Style

Ribeiro, R. S., Albarracin, O. Y. E., Linhares, G. R., Larocca, A. P. C., & Bernucci, L. L. B. (2024). A Sustainable Approach to How Roadway Recognition Affects Drivers’ Speed Choice. Sustainability, 16(15), 6546. https://doi.org/10.3390/su16156546

Note that from the first issue of 2016, this journal uses article numbers instead of page numbers. See further details here.

Article Metrics

Back to TopTop