Sign in to use this feature.

Years

Between: -

Subjects

remove_circle_outline
remove_circle_outline
remove_circle_outline
remove_circle_outline
remove_circle_outline
remove_circle_outline
remove_circle_outline
remove_circle_outline
remove_circle_outline

Journals

remove_circle_outline
remove_circle_outline
remove_circle_outline
remove_circle_outline
remove_circle_outline
remove_circle_outline
remove_circle_outline
remove_circle_outline
remove_circle_outline
remove_circle_outline
remove_circle_outline
remove_circle_outline
remove_circle_outline
remove_circle_outline
remove_circle_outline
remove_circle_outline
remove_circle_outline
remove_circle_outline
remove_circle_outline
remove_circle_outline
remove_circle_outline
remove_circle_outline
remove_circle_outline
remove_circle_outline
remove_circle_outline
remove_circle_outline
remove_circle_outline
remove_circle_outline
remove_circle_outline
remove_circle_outline
remove_circle_outline
remove_circle_outline
remove_circle_outline
remove_circle_outline
remove_circle_outline
remove_circle_outline

Article Types

Countries / Regions

remove_circle_outline
remove_circle_outline
remove_circle_outline
remove_circle_outline
remove_circle_outline
remove_circle_outline

Search Results (7,269)

Search Parameters:
Keywords = highway

Order results
Result details
Results per page
Select all
Export citation of selected articles as:
17 pages, 2566 KB  
Article
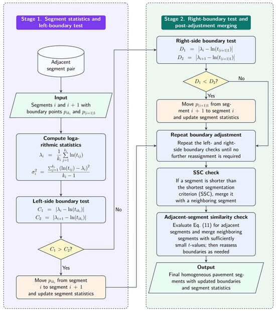
Identifying Uniform Layer Thicknesses with GPR Data for PMS Use
by Dimitrios Goulias and Osama A. B. Aljarrah
Remote Sens. 2026, 18(8), 1155; https://doi.org/10.3390/rs18081155 - 13 Apr 2026
Abstract
Pavement engineers frequently need a rapid and accurate evaluation of layer thicknesses and conditions. Such an assessment is critical for evaluating current conditions and identifying optimal maintenance and rehabilitation needs. The objective of this study was to use remote sensing for assessing pavement [...] Read more.
Pavement engineers frequently need a rapid and accurate evaluation of layer thicknesses and conditions. Such an assessment is critical for evaluating current conditions and identifying optimal maintenance and rehabilitation needs. The objective of this study was to use remote sensing for assessing pavement thickness uniformity. For this purpose, the potential use of Ground-Penetrating Radar (GPR) data was considered. Traditional GPR data interpretation methods are generally not intended to quantify the spatial variability information required for pavement management-related analyses. Thus, the method presented herein is based on several layers of statistical assessment of pavement thickness changes for identifying homogeneous sections. The suggested approach provides consistent thickness assessment over consecutive pavement segment lengths. Such evaluation is particularly useful for integration into Pavement Management System (PMS) analyses at both the project and network levels. The approach was used in concrete pavements, and data from an in-service roadway are provided as an example to demonstrate how this analysis is applied. This analysis approach provides several benefits to highway agencies: a quick and accurate condition assessment regarding existing pavement thickness; better decision-making in identifying alternative maintenance and rehabilitation techniques for uniform sections with respect to thickness, which clearly need to be combined with condition assessment of pavement layer materials; and efficient use of remote sensing data for pavement sections where construction inventory data may not be available. Full article
Show Figures

Figure 1

17 pages, 7137 KB  
Article
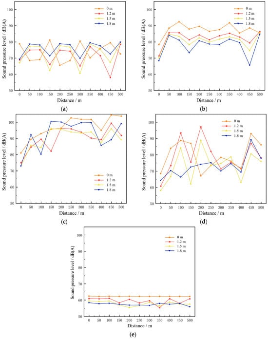
Periodic Noise Characteristics and Acoustic Control in Long Highway Tunnels: An FEM Study with In Situ Validation
by Ruifeng Ding, Xingyu Gu, Chenlin Liao, Hongchang Wang, Zengbin Xu, Kaiwen Lei and Jiwang Jiang
Materials 2026, 19(8), 1548; https://doi.org/10.3390/ma19081548 - 13 Apr 2026
Abstract
Noise in long highway tunnels and underground interchanges poses a significant environmental concern, affecting both drivers and nearby residents. This research develops an acoustic finite element model of a long tunnel in Leuven Measurement Systems (LMS) Virtual Lab to characterize the tunnel noise [...] Read more.
Noise in long highway tunnels and underground interchanges poses a significant environmental concern, affecting both drivers and nearby residents. This research develops an acoustic finite element model of a long tunnel in Leuven Measurement Systems (LMS) Virtual Lab to characterize the tunnel noise field, and the effectiveness of different noise mitigation measures was also evaluated and optimized accordingly. The model is validated against in situ monitoring data, with deviations controlled within 3 dB(A) and strong agreement confirmed by the Kappa consistency test. Both simulations and measurements show that sound pressure levels (SPLs) are generally highest near the tunnel center and lower toward the portal, exhibiting periodic fluctuations rather than a monotonic decrease. The dominant noise energy is concentrated between 125 Hz and 500 Hz. SPLs at 1.8 m above the road surface are noticeably higher than at 1.2 m and 1.5 m, indicating greater noise exposure for drivers of large vehicles compared with smaller vehicles. Noise reduction performance is further assessed for different lining materials and pavement types. Installing sound-absorbing panels in the tunnel midsection provides effective attenuation, with expanded perlite panels, single-layer metal micro-perforated panels, and FC quiet perforated panels (FC-PP) performing best, while porous asphalt shows superior noise reduction compared with conventional dense-graded asphalt pavements. Full article
Show Figures

Figure 1

19 pages, 3626 KB  
Article
Stability Analysis of High-Fill Slopes with EPS–Spoil Composite in Gullies Under Rainfall Conditions: From Scheme to Practice
by Yijun Xiu and Fei Ye
Water 2026, 18(8), 921; https://doi.org/10.3390/w18080921 - 13 Apr 2026
Abstract
Utilizing excavated waste soil to level gullies offers significant advantages in terms of engineering economy and construction efficiency. However, the stability and deformation risks of high-fill embankments in mountainous gullies under rainfall conditions have attracted significant attention, particularly when such structures are located [...] Read more.
Utilizing excavated waste soil to level gullies offers significant advantages in terms of engineering economy and construction efficiency. However, the stability and deformation risks of high-fill embankments in mountainous gullies under rainfall conditions have attracted significant attention, particularly when such structures are located adjacent to residential areas. This study compares two design schemes for highway high-fill embankments, Scheme 1: high-fill slope supported by stabilizing piles and prestressed anchors, and Scheme 2: ordinary waste soil as the core, foamed lightweight soil (EPS) as the edge band, and reinforcement by a micro-pile retaining wall system. Finite element analysis was used to evaluate the Factor of Safety (FOS), displacements of retaining structures, and characteristic slope points under three conditions (no rainfall, heavy rainfall, and heavy rainfall with soil strength deterioration). The results show that Scheme 2 reduces total costs by 3.5%, shortens the construction period by 14%, and cuts maintenance costs by 65%, with a minimum FOS of 1.56 under extreme rainfall. Further parametric analysis of Scheme 2 optimized key design parameters, and field monitoring data over 6 months verified the reliability of the numerical simulation. This study provides a transferable design-verification pathway for combining lightweight and conventional fills in high embankments, offering technical support for similar projects in complex mountainous areas. Full article
(This article belongs to the Special Issue Intelligent Analysis, Monitoring and Assessment of Debris Flow)
Show Figures

Figure 1

33 pages, 1475 KB  
Article
Design and Construction Practices for Full-Depth Reclamation of Asphalt Mixtures with Bituminous and Cementitious Additives
by Swathi Malluru, Ahmed Saidi, Ayman Ali and Yusuf Mehta
Materials 2026, 19(8), 1540; https://doi.org/10.3390/ma19081540 - 12 Apr 2026
Abstract
Several highway agencies have implemented full-depth reclamation (FDR) as a sustainable technology for rehabilitating deteriorated asphalt pavements. However, the lack of standardized mix design procedures and limited field assessment, in terms of rutting and cracking resistance, pose challenges to the widespread implementation of [...] Read more.
Several highway agencies have implemented full-depth reclamation (FDR) as a sustainable technology for rehabilitating deteriorated asphalt pavements. However, the lack of standardized mix design procedures and limited field assessment, in terms of rutting and cracking resistance, pose challenges to the widespread implementation of FDR. This study addresses these challenges by synthesizing current FDR mix design and construction practices and validating highway agency-recommended practices through laboratory performance evaluation. The study objectives were achieved by (1) reviewing current FDR mix design and construction specifications of highway agencies across the US and internationally, (2) conducting surveys with highway agencies and interviews with subject matter experts (SMEs), and (3) evaluating the laboratory performance of FDR mixtures. Based on the findings from the literature, survey responses, and SME interviews, three FDR mixtures were designed in the lab: (i) cement-only, (ii) asphalt emulsion and cement, and (iii) foamed asphalt and cement. Each mix was then evaluated for rutting susceptibility using the Asphalt Pavement Analyzer (APA) and cracking resistance using the indirect tensile (IDT) test to identify optimum dosages of bituminous and cementitious additives. Laboratory results showed that FDR mixtures with 3% asphalt emulsion and 1% cement improved rutting resistance by 46% and cracking performance by 70% compared to cement-only mixtures with 4% cement. In contrast, foamed asphalt did not result in a significant improvement in FDR performance. Survey responses indicated that 89% of respondents reported good field performance of FDR, with Pennsylvania and North Dakota exhibiting excellent performance 10 years after construction. Full article
(This article belongs to the Section Construction and Building Materials)
20 pages, 5849 KB  
Article
Fatigue Performance Research and Structural Optimization of Steel–AAUHPC Composite Bridge Deck
by Min Yuan, Lei Jiang, Lei Cui, Yi Shi, Jiabo Li and Bin Liu
Symmetry 2026, 18(4), 648; https://doi.org/10.3390/sym18040648 - 12 Apr 2026
Abstract
To investigate the fatigue performance of a novel green low-carbon steel–AAUHPC (Alkali Activated Ultra-high Performance Concrete, AAUHPC) composite bridge deck and achieve its structural optimization, this paper proposes a steel–AAUHPC composite bridge deck structure featuring double-sided welding of U-shaped ribs. Firstly, the numerical [...] Read more.
To investigate the fatigue performance of a novel green low-carbon steel–AAUHPC (Alkali Activated Ultra-high Performance Concrete, AAUHPC) composite bridge deck and achieve its structural optimization, this paper proposes a steel–AAUHPC composite bridge deck structure featuring double-sided welding of U-shaped ribs. Firstly, the numerical model of a symmetrical composite bridge deck is established by ABAQUS finite element software. The stress response of key fatigue structural details is analyzed, and the fatigue life is evaluated based on the S-N curve method. At the same time, the calculation results are compared with the orthotropic steel bridge deck and the steel–UHPC composite bridge deck. Secondly, the CCD method and RSM method are used to construct a mathematical regression model with the structural weight W per unit area and the fatigue stress amplitude of key details as the target. Finally, NSGA-III is used to optimize structural parameters such as AAUHPC thickness, top plate thickness, diaphragm thickness and spacing to obtain the Pareto-optimal solution set. The results show that the AAUHPC material has both environmental protection and excellent mechanical properties, and its compressive and splitting tensile strength is significantly higher than that of ordinary concrete, which is close to the UHPC level. The steel–AAUHPC composite bridge deck can significantly improve the fatigue performance of the orthotropic steel bridge deck. After laying the AAUHPC layer, the stress amplitude of each fatigue detail decreases, and the C1 detail decreases by up to 69.4%. Except for the C6 detail, the rest of the structural details meet the infinite-life design criteria, and the overall improvement effect is comparable to that of the steel–UHPC composite bridge deck. The constructed response surface model has good prediction accuracy. The optimization results show that the fatigue stress amplitude and the structural weight W are mutually restricted. Among the 15 sets of Pareto-optimal solutions obtained, solution U8 achieves weight minimization under the premise of satisfying the infinite-fatigue-life criterion. The optimal parameter combination is: AAUHPC thickness of 40 mm, top plate thickness of 10 mm, diaphragm thickness of 16 mm, and diaphragm spacing of 2400 mm. The research results can provide a theoretical basis for the fatigue design and engineering application of a new green steel–AAUHPC composite bridge deck. Full article
(This article belongs to the Section Engineering and Materials)
Show Figures

Figure 1

22 pages, 4105 KB  
Article
Industrial Legacy and Glassmaking: Ecological and Human Health Risk Assessment in Paraćin, Serbia
by Predrag Miljković, Jelena Beloica, Snežana Belanović Simić and Stefan Miletić
Toxics 2026, 14(4), 320; https://doi.org/10.3390/toxics14040320 - 12 Apr 2026
Abstract
The glass industry contributes to long-term soil contamination. This study assesses the impact of over 150 years of industrial activity and over a century of glassmaking processes in the Serbian Glass Factory in Paraćin. Focusing on potentially toxic elements (PTEs) and polycyclic aromatic [...] Read more.
The glass industry contributes to long-term soil contamination. This study assesses the impact of over 150 years of industrial activity and over a century of glassmaking processes in the Serbian Glass Factory in Paraćin. Focusing on potentially toxic elements (PTEs) and polycyclic aromatic hydrocarbons (PAHs), ecological and human health risks were evaluated. Sampling was conducted at 34 locations within the factory area, including 33 soil samples (0–30 cm) and one industrial waste (IW) sample. Soil analyses indicate that Zn, Ni, Cu, and Cd exceeded both the maximum permissible concentrations (MPCs) and remediation values (RVs) in many samples, while As and Hg showed fewer exceedances. Based on the Potential Ecological Risk Index (RI), about 33% of soil samples were moderately to highly polluted, and Cd, Pb, As, and Hg were identified as the main contributors. High levels of PAHs and PTEs reflect the cumulative impact of long-term industrial operations, a historical fire, and secondary sources, including traffic-related emissions from nearby highways. These factors resulted in elevated total carcinogenic risk (TCR) for Ni, Cr, and As. This study highlights soil contamination and associated health risks at the glass factory, emphasizing the need for environmental monitoring and management. Full article
(This article belongs to the Special Issue Soil Heavy Metal Pollution and Human Health)
26 pages, 10623 KB  
Article
LRD-DETR: A Lightweight RT-DETR-Based Model for Road Distress Detection
by Chen Dong and Yunwei Zhang
Sensors 2026, 26(8), 2375; https://doi.org/10.3390/s26082375 - 12 Apr 2026
Abstract
Intelligent road distress detection technology has emerged as an important research topic in the field of highway maintenance. However, the accuracy and practicality of pavement distress detection are constrained by multiple factors, primarily including the irregular shapes of distress, the tendency for fine [...] Read more.
Intelligent road distress detection technology has emerged as an important research topic in the field of highway maintenance. However, the accuracy and practicality of pavement distress detection are constrained by multiple factors, primarily including the irregular shapes of distress, the tendency for fine cracks to be overlooked, and the high parameter count of detection models that makes deployment difficult. Therefore, this study proposes a lightweight road distress detection model based on an improved RT-DETR architecture—LRD-DETR. First, this work integrates the C2f-LFEM module with the ADown adaptive down-sampling strategy into the backbone network, significantly reducing the number of model parameters and computational load while effectively enhancing the representation capacity of multi-scale pavement distress features. Second, a frequency-domain spatial attention is embedded in the S4 feature layer, where synergistic integration of frequency-domain filtering and spatial attention enables detail enhancement of distress edges and contours, automatically focuses on the distress regions, and suppresses background interference. The polarity-aware linear attention is incorporated into the S5 feature layer, by explicitly modeling polarity interactions, it effectively captures textural discrepancies between damaged regions and the intact road surface, and a learnable power function dynamically rescales attention weights to strengthen distress-specific feature responses. Finally, a cross-scale spatial feature fusion module (CSF2M) is developed to reconstruct and fuse multi-level spatial featurez, thereby improving detection robustness for pavement distresses with diverse morphologies under complex background conditions. Quantitative experiments indicate that, in contrast with the baseline RT-DETR, the presented framework improves the F1-score by 7.1% and mAP@50 by 9.0%, while reducing computational complexity and parameter quantity by 43.8% and 38.0%, respectively. These advantages enable LRD-DETR to be suitably deployed on resource-limited embedded platforms for real-time road distress detection. Full article
(This article belongs to the Special Issue AI and Smart Sensors for Intelligent Transportation Systems)
22 pages, 3902 KB  
Article
Research on Route Selection and Layout of Sustainable Tourist Highways in World Natural Heritage Sites Based on the Dual Coordination Mechanism of Development and Protection—A Case Study of the Ring Mount Fanjing Tourist Highway
by Jinxuan Qin, Mengqiao Wang and Zhongjun Wang
Sustainability 2026, 18(8), 3812; https://doi.org/10.3390/su18083812 - 12 Apr 2026
Abstract
Under the background of highway ecological green construction and traffic-tourism integration, tourist highways in world natural heritage sites bear the dual responsibilities of heritage ecological protection and regional economic boosting, yet existing routes prioritize connectivity over ecological and economic values, damaging heritage integrity [...] Read more.
Under the background of highway ecological green construction and traffic-tourism integration, tourist highways in world natural heritage sites bear the dual responsibilities of heritage ecological protection and regional economic boosting, yet existing routes prioritize connectivity over ecological and economic values, damaging heritage integrity and failing to drive surrounding township development. This study aims to build a dual-coordinated route selection framework balancing ecological protection and economic development, taking Mount Fanjing as the case. Adopting literature research, field survey and spatial analysis, and grounding in road ecology, point-axis system and tourism space competition theories, it constructs a four-part framework covering township tourism potential evaluation, ecological suitability assessment, binary matrix model and route generation. Empirically, nine townships including Minxiao and Taiping are screened as core tourism service nodes, and the optimal layout of the ring Mount Fanjing tourist highway is determined via ecological suitability matching. The findings reveal the prominent contradiction between heritage protection and regional development in current heritage tourist highway construction, and the proposed dual coordination model effectively balances heritage conservation and local economic growth, providing a feasible planning reference for sustainable tourist highway layout in world natural heritage sites. Full article
(This article belongs to the Section Tourism, Culture, and Heritage)
Show Figures

Figure 1

14 pages, 759 KB  
Article
Assessment of Passenger Car Equivalency for Increased Heavy Vehicles Percentage on Urban Multilane Roads—A Field-Based Study
by Nawaf M. Alshabibi
Future Transp. 2026, 6(2), 85; https://doi.org/10.3390/futuretransp6020085 - 11 Apr 2026
Viewed by 44
Abstract
Heavy vehicles leave a significant impact on passenger vehicles, which results in traffic instability. The size, acceleration, and behaviour of heavy vehicles notably influence the traffic flow. Considering this, traffic engineers have developed Passenger Car Equivalency (PCE) to examine the capacity, Level of [...] Read more.
Heavy vehicles leave a significant impact on passenger vehicles, which results in traffic instability. The size, acceleration, and behaviour of heavy vehicles notably influence the traffic flow. Considering this, traffic engineers have developed Passenger Car Equivalency (PCE) to examine the capacity, Level of Service (LOS), and flow of the urban roads. The aim of this study is to analyze the King Abdulaziz (KA) freeway in Dammam, Saudi Arabia, where heavy vehicles represent 35% of the peak hour traffic, which exceeds the PCE value given in the Highway Capacity Manual (HCM). This study addresses the given gap by employing the saturation headway approach. The study findings reveal PCE values of 1.78 for moving towards the port and 1.81 for coming from the port, respectively. These values are in line with the patterns of HCM, as the indication of low PCE denotes the appearance of increased heavy vehicles. Furthermore, the LOS was known to be of level E, reflecting frequent delays and slowdowns. The capacity in operations was reduced by 44–45%, thus emphasizing the requirement for strategic traffic approaches with functional interventions for heavy vehicle routes. Full article
21 pages, 3708 KB  
Article
Directional Presplitting Roof Cutting for Surface Subsidence Control in Extra-Thick Longwall Top-Coal Caving Under Thick Unconsolidated Overburden
by Hongsheng Wang and Wenrui Zhao
Processes 2026, 14(8), 1218; https://doi.org/10.3390/pr14081218 - 10 Apr 2026
Viewed by 177
Abstract
Large-scale surface subsidence induced by extra-thick seam longwall top-coal caving (LTCC) is strongly amplified by thick unconsolidated overburden, posing serious serviceability risks to overlying linear infrastructure. Taking the S103 Provincial Highway above Panel 6118 in Inner Mongolia, China, as the engineering background, this [...] Read more.
Large-scale surface subsidence induced by extra-thick seam longwall top-coal caving (LTCC) is strongly amplified by thick unconsolidated overburden, posing serious serviceability risks to overlying linear infrastructure. Taking the S103 Provincial Highway above Panel 6118 in Inner Mongolia, China, as the engineering background, this study integrates theoretical analysis, numerical simulation, and in situ monitoring to investigate the subsidence-control mechanism of directional presplitting roof cutting. The results show that roof cutting mitigates surface subsidence by reconstructing the overburden structural system and weakening the stress-transfer chain, thereby transforming key-stratum deformation from integral bending to segmented block movement and narrowing the subsidence-affected zone. An equivalent mining-depth model for subsidence-boundary convergence is proposed to characterize the inward migration of the subsidence-basin boundary under thick unconsolidated cover, and a segmented probability-integral model is developed to explain the kink-like high-gradient feature in the post-cut subsidence profile. Parametric simulations of roof-cutting positions (p = 0, 2, 4, …, 32 m) show that the most effective mitigation occurs in the range p = 4–12 m; using minimum–maximum highway subsidence together with profile flattening as the optimization criteria, the representative optimum is identified at p ≈ 10 m, for which the maximum highway subsidence is approximately 57 mm, about 76% lower than that in the non-cutting case. The results further indicate that, although roof cutting significantly reduces subsidence and deformation gradients, fissure localization and possible discontinuous deformation near the pre-split weak plane still require careful field monitoring. Full article
Show Figures

Figure 1

36 pages, 3241 KB  
Article
AM-DIMPO: Action-Masked Diffusion-Implicit Policy Optimization for On-Ramp Merging Under Dense Traffic
by Qiuqi Gao, Jiahong Li, Xiaoxiang Huang, Yidian Zhu and Yu Du
Appl. Sci. 2026, 16(8), 3687; https://doi.org/10.3390/app16083687 - 9 Apr 2026
Viewed by 95
Abstract
Highway ramp merging requires autonomous vehicles to make safe and efficient decisions in dense mixed traffic, where strong vehicle interactions and rapidly changing acceptable gaps make the task particularly challenging. Existing reinforcement learning methods are often unimodal and overly conservative, while diffusion-based policies, [...] Read more.
Highway ramp merging requires autonomous vehicles to make safe and efficient decisions in dense mixed traffic, where strong vehicle interactions and rapidly changing acceptable gaps make the task particularly challenging. Existing reinforcement learning methods are often unimodal and overly conservative, while diffusion-based policies, despite their ability to generate multimodal actions, usually suffer from high inference latency and safety risks caused by unconstrained sampling. To address these issues, this paper proposes AM-DIMPO, an action-mask-guided safe diffusion-implicit policy optimization framework for ramp-merging tasks. The proposed method combines DDIM-based implicit sampling with a state-dependent continuous action mask to improve multimodal action generation efficiency while enhancing action feasibility. In addition, the mask correction signal is incorporated into policy learning to encourage the policy to generate actions closer to the safe feasible region. Experiments are conducted in a Gym-based ramp-merging simulator under both light-traffic and dense-traffic scenarios, where the proposed method is compared with classical reinforcement learning baselines, diffusion reinforcement learning baselines, and a safety-aware PPO baseline. The results show that, in dense traffic, AM-DIMPO achieves a merging success rate of 97.3%, an average speed of 16.27 m/s, and an inference latency of 68 ms; in light traffic, the success rate reaches 98.1%. Moreover, the proposed method maintains robust performance under the tested noisy-observation and reduced-visibility settings. Overall, AM-DIMPO achieves a favorable balance among empirical safety, traffic efficiency, robustness, and real-time inference performance in dense highway ramp-merging tasks. Full article
36 pages, 1473 KB  
Review
Technical, Legal, and Health Aspects for Noise Disturbance Mitigation in Human-Centric Environments
by Pedro Pinto Ferreira Brasileiro, Maria Carolina Silva Leite Brasileiro, Rafaela Moura Eloy, Ketllyn Mayara Amorim dos Santos, Leonie Asfora Sarubbo and Leonardo Machado Cavalcanti
Sustainability 2026, 18(8), 3726; https://doi.org/10.3390/su18083726 - 9 Apr 2026
Viewed by 116
Abstract
Noise disturbances can cause conflicts in several areas, such as residences, civil constructions, highways, subways, and airports, measured by different scales of acoustic comfort for community well-being evaluation. These disturbances also have signatures such as frequency, amplitude, and temporal patterns to compare acoustic [...] Read more.
Noise disturbances can cause conflicts in several areas, such as residences, civil constructions, highways, subways, and airports, measured by different scales of acoustic comfort for community well-being evaluation. These disturbances also have signatures such as frequency, amplitude, and temporal patterns to compare acoustic comfort with real-time parameters. In addition, acoustic sensors should be chosen based on accuracy, price, and calibration method, and acoustic insulation should be applied with the aim of achieving reliable measurements in indoor and outdoor environments for sustainable urban living. In some situations, the lack of noise control can lead to several human disorders, from hearing loss to cardiovascular complications. Therefore, legislation and regulation should be carefully studied and applied to achieve an equilibrium between energy-efficient and healthy building designs in entertainment, work, and rest activities with measured parameters visualized through the design of interface tools that should enable the collection and organization of sound data, with proper presentation for the final user. Finally, intellectual property registrations bring recent industrial applications with aspects of noise mitigation. All these features constitute noise disturbance mitigation in a multi-dimensional integration framework of technology, health, and law to improve the quality of life in human-centric environments. Full article
Show Figures

Figure 1

23 pages, 3570 KB  
Article
Development and Performance Evaluation of a Novel Epoxy-Modified Bitumen for Large-Void Porous Asphalt Concrete (LV-PAC)
by Xing Huang, Dongwei Cao, Qian Zhou, Changjing Xu, Hongmei Wei, Wentao Yang and Mingming Zhang
Polymers 2026, 18(8), 916; https://doi.org/10.3390/polym18080916 - 9 Apr 2026
Viewed by 219
Abstract
To address the limited drainage capacity of conventional porous asphalt pavements under high-intensity rainfall, this study proposes the use of epoxy-modified bitumen to develop a large-void porous asphalt concrete (LV-PAC) with a target air void content of 25%. This approach represents a novel [...] Read more.
To address the limited drainage capacity of conventional porous asphalt pavements under high-intensity rainfall, this study proposes the use of epoxy-modified bitumen to develop a large-void porous asphalt concrete (LV-PAC) with a target air void content of 25%. This approach represents a novel application of epoxy-modified bitumen to enhance permeability in porous pavement systems. The LV-PAC exhibited improved high-temperature stability, permeability, and clogging recovery capability compared with a conventional high-viscosity porous asphalt concrete (HV-PAC), though its low-temperature deformation capacity was relatively lower. All evaluated performance indicators met the required specifications, highlighting the potential of epoxy-modified bitumen for use in large-void porous pavements pending further field validation. Full article
(This article belongs to the Section Innovation of Polymer Science and Technology)
Show Figures

Figure 1

22 pages, 5583 KB  
Article
Salinity Tolerance, Plant Growth, and Nutrient Partitioning in Three Mexican Huauzontle (Chenopodium berlandieri subsp. nuttalliae) Genotypes Under NaCl Stress
by Eréndira Esmeralda Hernández-Andrade, César Omar Montoya-García, Fernando Carlos Gómez-Merino and Libia Iris Trejo-Téllez
Crops 2026, 6(2), 43; https://doi.org/10.3390/crops6020043 - 9 Apr 2026
Viewed by 128
Abstract
Huauzontle (Chenopodium berlandieri subsp. nuttalliae) is a pseudocereal native to Mesoamerica, traditionally consumed as a nutrient-rich food and characterized by its adaptability to adverse environmental conditions, including salt stress. This study evaluated the effects of four NaCl concentrations (0, 100, 200, [...] Read more.
Huauzontle (Chenopodium berlandieri subsp. nuttalliae) is a pseudocereal native to Mesoamerica, traditionally consumed as a nutrient-rich food and characterized by its adaptability to adverse environmental conditions, including salt stress. This study evaluated the effects of four NaCl concentrations (0, 100, 200, and 300 mM) on plant morphology and nutrient concentrations (N, P, K, Ca, Mg, Fe, Cu, Zn, Mn, and B) and Na in leaves, stems, inflorescences, and seeds of three native huauzontle genotypes. The experiment was conducted using a completely randomized design with a split-plot arrangement and 12 replications. Applications of 200 and 300 mM NaCl delayed harvest and reduced seed weight, while plant height, fresh and dry biomass of stems, leaves, and inflorescences were progressively decreased as NaCl concentrations increased. Orthogonal partial least squares discriminant analysis (OPLS-DA) clearly differentiated genotypes and grouped NaCl treatments into distinct clusters, revealing different nutrient partitioning patterns among plant organs. Nutrient accumulation varied according to organ and salinity level; leaves showed reduced N, K, Ca, Mg, and Fe concentrations, whereas Cu and Mn concentrations increased. Huauzontle exhibited high salinity tolerance, maintaining growth and development at NaCl concentrations up to 300 mM. These findings highlight the potential of huauzontle as a resilient and nutritionally valuable crop for cultivation under saline conditions. Full article
Show Figures

Figure 1

21 pages, 3783 KB  
Article
Loading Distributions in Asphalt Mixtures with the Virtual Dynamic Modulus Test
by Hui Yao, Jiaran Han, Dandan Cao, Xuhao Cui, Min Wang and Yu Liu
CivilEng 2026, 7(2), 22; https://doi.org/10.3390/civileng7020022 - 8 Apr 2026
Viewed by 177
Abstract
The dynamic modulus of asphalt mixtures is a key design parameter in pavement design, which significantly impacts the mechanical properties of asphalt pavements. This study simulated dynamic modulus tests of asphalt mixtures using the three-dimensional (3D) discrete element method (DEM) to investigate mechanical [...] Read more.
The dynamic modulus of asphalt mixtures is a key design parameter in pavement design, which significantly impacts the mechanical properties of asphalt pavements. This study simulated dynamic modulus tests of asphalt mixtures using the three-dimensional (3D) discrete element method (DEM) to investigate mechanical behaviors such as the loading-bearing ratio of individual aggregates. Fine-grained AC-13 and medium-grained AC-20 asphalt mixture models were randomly constructed in the DEM program using user-defined methods. The dynamic modulus and phase angle values of the asphalt mixtures were predicted. By comparing laboratory experiments with DEM simulation results, the model was validated, and the effects of temperature and loading frequency on the dynamic modulus were explored. Further exploration was conducted on the loading-bearing ratio and mechanical interactions among aggregates of different sizes within the mixtures. The results show that the 3D DEM model can accurately predict the dynamic modulus and phase angle of asphalt mixtures. Temperature and frequency have an impact on these parameters, and the increase in gradation has an impact on the loading-bearing ratio, due to the proportion of coarse aggregates. Full article
Show Figures

Figure 1

Back to TopTop