Next Article in Journal
Heterogeneity in the Effects of Atmospheric Moisture Changes on Vegetation in Different Climatic Zones
Previous Article in Journal
Spatiotemporal Analysis of Air Quality and Its Driving Factors in Beijing’s Main Urban Area
 
 
Font Type:
Arial Georgia Verdana
Font Size:
Aa Aa Aa
Line Spacing:
Column Width:
Background:
Article

Optimizing Combustion Efficiency in Blast Furnace Injection: A Sustainable Approach Using Biomass Char and Coal Mixtures

School of Minerals Processing and Bioengineering, Central South University, Changsha 410083, China
*
Author to whom correspondence should be addressed.
Sustainability 2024, 16(14), 6140; https://doi.org/10.3390/su16146140
Submission received: 31 May 2024 / Revised: 10 July 2024 / Accepted: 17 July 2024 / Published: 18 July 2024
(This article belongs to the Section Energy Sustainability)

Abstract

This study investigated the combustion characteristics of mixed straw char and coal powder when used in blast furnace injection. The experiments examined the effects of mixing ratios between biomass char types of wheat straw char, corn straw char as well as cotton straw char, and anthracite coal on combustion characteristics and the injection effect of blast furnace. The results show that a 1:1 mixing ratio of wheat straw char and anthracite coal yields the best combustion characteristics, followed by a 1:1 ratio of corn straw char and anthracite coal. A 2:1 mixture of cotton straw char and anthracite coal exhibits the highest combustion efficiency. The study on the grindability of the mixtures indicates that straw char is easier to grind due to its brittleness. Blast furnace coal injection experiments reveal that a 50:50 mixture of cotton straw char and anthracite coal achieves the highest combustion efficiency at 74%, which is a 20.2% improvement compared to mixtures of bituminous coal and anthracite coal, significantly outperforming the other ratios. The findings underscore the importance of integrating renewable biomass resources in industrial applications to enhance sustainability in the metallurgical industry.

Graphical Abstract

1. Introduction

Currently, both domestic and international steel companies commonly use a combination of bituminous and anthracite coal for injection [1,2]. This not only enhances the combustion efficiency of the coal powder but also reduces dependence on high-quality anthracite coal. However, the combustion of fossil fuels releases CO2, contributing to global climate change [3,4,5]. In 2020, China’s total energy consumption reached 4.98 billion tons of standard coal, with coal accounting for 56.8% of the fossil fuel use [6]. To achieve sustainable development, China must reduce its reliance on fossil fuels and increase the utilization of renewable energy sources. Agricultural waste contains high levels of C, H, and O elements, low levels of S elements, and ash [7,8,9]. By carbonizing and finely grinding this type of waste, and then mixing it with coal powder for injection into blast furnaces, renewable energy can be effectively utilized [10,11]. Moreover, biomass char shares similar features with bituminous coal, such as high volatile matter content and a porous structure [12,13,14]. Hence, adding a certain amount of biomass char to coal powder can theoretically reduce the ignition point of coal powder, increase its combustion rate, and improve its overall combustion performance.
Thus far, the utilization of biomass has received considerable attention and previous researchers have conducted extensive research [15,16,17]. Moon et al. [18] investigated the combustion characteristics of biomass and coal blends through combustion tests and found that adding 10% biomass could effectively improve the combustion performance of low-rank coal, promoting the reactivity in the volatile matter reaction zone. However, adding biomass had no significant effect on high-rank coal. Similarly, Yang et al. [19] explored the synergistic impact of carbonized wood powder and anthracite during the combustion process. They pointed out that when 10% carbonized wood powder was added, the combustion characteristics of the blend were like those of anthracite, and the activation energy was lower, making it the optimal proportion for co-combustion. Li et al. [20] studied the co-combustion behavior of coal and biomass mixtures and found that with an increase in biomass proportion, the devolatilization occurred earlier, and the slagging behavior became more intense. Laougé et al. [21] pointed out that there is a significant synergistic effect between pine sawdust and coal during the pyrolysis and combustion processes. Wang [22] studied the combustion characteristics of biomass–coal mixed fuel and showed that the thermal reactivity and ignition performance can be improved by mixing biomass with coal. From the perspective of combustion performance and kinetic analysis, coal blending is a good transition method for biomass combustion. However, biomass is abundant in sources, and different types of biomasses have different properties, which provide a variety of possibilities for its use in the ironmaking process [23,24]. A study by Thrän and Li et al. [25,26] also identified that the biomass potential greatly varies under different scenarios and for different regions. As one of the world’s major agricultural producers, China generates a large amount of agricultural waste each year, such as wheat straw, corn straw, and cotton straw. They contain high levels of carbon, hydrogen, and oxygen while having low sulfur content and ash, which allows them to provide high calorific value and reduce pollutant emissions during combustion. Additionally, these biochars have high volatile matter content and well-developed pore structures, which help to improve combustion reactivity and efficiency. Different biochars may exhibit different pyrolysis characteristics and combustion behaviors during co-combustion, affecting the overall combustion performance. Researching biochars derived from wheat straw, corn straw, and cotton straw can reveal the synergistic effects of different biochars during combustion, providing a scientific basis for optimizing combustion efficiency and reducing pollutant emissions.
Hence, this study aims to use three types of straw char, namely wheat straw char, corn straw char, and cotton straw char, as raw materials to investigate the effect of adding biomass char on the combustion performance of anthracite using thermogravimetric (TG) analysis. The optimal ratio of biomass char and pulverized coal will be determined based on the combustion performance analysis. In addition, the feasibility of mixing straw char with anthracite for blast furnace coal injection is explored, which provides a theoretical basis for the application of straw char in blast furnace injection.

2. Materials and Methods

2.1. Materials

The primary research focuses on three types of straw resources: wheat straw sourced from Henan Province, China; corn straw; and cotton straw sourced from Xinjiang, China. Table 1 displays the elemental composition analysis of the three straw resource types. It is evident from the table that the primary constituents of the three types of straw are C, O, H, and N. All three types of straw contain approximately 40% carbon, with the H levels exceeding 5%, N content below 1%, and O content around 30%. The C/H ratios for all three types are greater than 7.2. Furthermore, the S content is exceedingly low, with a maximum value of only 0.5%. Table 2 shows the industrial analysis of the three types of straws and coal powder. The calorific value (Q) and fixed carbon (FC) content of the coal powder are higher than those of the straw, while the moisture content (Mad) and volatile matter (V) content are lower than those of the three straws. Anthracite (C1) has Q, A, and FC higher than bituminous coal, and V and Mad lower than bituminous coal. The Q and FC of the three types of straw are very low, but the V content is even higher than that of bituminous coal (C2), indicating that there are more volatile matter substances. Anthracite has a higher fixed carbon content than bituminous coal, mainly because anthracite undergoes a higher degree of coalification, gradually increasing the fixed carbon content. In addition, anthracite has a lower volatile matter content, which means that for the same mass, more of the coal volume is composed of fixed carbon.

2.2. Experimental Methods

2.2.1. Preparation of Biomass Straw Char

The pyrolysis experiment of biomass straw was conducted in a vacuum tube furnace with a silicon carbide heating device. The sample was placed in a quartz boat and high-purity N2 (99.99%) was introduced. The sample was heated at a rate of 5 °C/min to 500 °C, then held at 500 °C for 1 h. Subsequently, the sample was naturally cooled to room temperature under a N2 atmosphere, resulting in wheat straw char (S1), corn straw char (S2), and cotton straw char (S3). The industrial analysis results of the three types of straw chars are shown in Table 3. The contents of C, H, and N in the biochar were determined using an elemental analyzer (Vario EL II, Langenselbold, Germany). The ash content was measured using the direct ash method, which involves burning the biochar in a muffle furnace at 800 °C for 4 h and then calculating the weight difference. The O element content was calculated by the mass difference method [27]. Among the three types of straw chars, only the ash content of the cotton straw char was 14.78%, while the other two types of straw chars had higher ash contents, both exceeding 20%. Additionally, their calorific values were all greater than 20 MJ·kg−1. The three types of straw chars mainly contained C, O, and H elements, with the C content of the cotton straw char reaching as high as 70.27%. The sulfur content of the corn straw char was the lowest, followed by the cotton straw char at only 0.375%, meeting the sulfur content requirement of less than 1% for coal types suitable for blast furnace injection.

2.2.2. Combustion Characteristic Detection and Analysis

Thermogravimetric (TG) analysis is one of the most effective methods to describe the thermal conversion performance of biomass and coal. In this paper, the weight changes, combustion characteristics, and energy changes in biomass under non-isothermal conditions were carried out using a simultaneous thermal analyzer (Netzsch STA 449C, Germany), as shown in Figure 1a. The samples with particle sizes less than 74 μm were taken at 20 mg and placed in an alumina crucible of 3 mm × 1.5 mm, and the heating rates were increased from room temperature to 900 °C at 15 °C/min. The entire experimental process was carried out in an atmosphere of air. The analysis of the biomass combustion through the TG-DTG and DSC curves provides key combustion characteristic parameters, including the ignition temperature (Ti), burnout temperature (Th), maximum weight loss rate (Vmax) and its corresponding temperature (Tmax), and maximum heat release (Qmax), as shown in Figure 1b. Additionally, it includes the combustion speed (Db), burnout index (Cb), and comprehensive combustion characteristic index (P), with their calculation methods presented in Equations (1)–(5).
D b = V m a x T i
where Vmax is the maximum weight loss rate; Ti is the ignition point temperature.
The burnout rate f t is defined as the ratio of the sample weight loss to the combustible content in coal, and its expression is as follows:
f t = ( m 0 m t ) ( m 0 m e )
where m0 is the initial mass of the sample, mt is the mass of the sample at time t, and me is the mass of the sample at the end of the experiment.
C b = ( f 1 × f 2 ) t
where f1 is the ignition rate; f2 is the burnout rate; t is the burning time, min.
P = V m a x × V m e a n T i 2 × T h
where Vmax is the maximum weight loss rate; Vmean is the average weight loss rate; Ti is the ignition point temperature; Th is the burnout point temperature.
V m e a n = Δ m t   r e a c t i o n
where Δm is the total weight loss and treaction is the reaction time.

2.2.3. Experimental Study on Coal Injection in Blast Furnace

The blast furnace coal injection experimental equipment is shown in Figure 2. Before conducting the experiment, the equipment was purged with air to remove any residual coal powder and to clean the ash collection tray. Next, the power and temperature control cabinets were turned on, heating the hot air furnace in segments to 650 °C and 950 °C for preheating, while the combustion furnace was heated to 1150 °C and maintained at this temperature. Dried and weighed coal powder was then loaded into the injection tank, and once the temperature was stable, the airflow path to the combustion furnace was opened and adjusted to the specified airflow rate and coal feed rate to begin coal injection. After the coal injection was completed, the switches were turned off, the ash collection tray was removed, and the burnt coal powder was retrieved and weighed for analysis. The parameters for the entire coal injection experiment are as follows: airflow rate of 60 Nm3/h, coal feed rate of 64 g/min, air temperature of 950 °C, and combustion furnace temperature of 1150 °C. The combustible matter balance method was used to calculate the pulverized coal combustion rate:
R = 1 W 1 ( 1 A 1 ) W 0 ( 1 A )
where W0 is the mass of coal powder injected; W1 is the mass of residual coal powder after combustion; A is the ash content of the injected coal powder; A1 is the ash content of the residual coal powder after combustion.

3. Results and Discussion

3.1. Industrial Analysis of Mixtures of Biomass Char and Pulverized Coal

In addition to their physical properties, combustion characteristics are important indicators for evaluating the mixture of the straw char and coal powder. Previous research has found that a 3:7 ratio can balance the characteristics of bituminous coal and anthracite. This ratio leverages the high volatile content and flammability of bituminous coal while maintaining the high calorific value of anthracite. Therefore, based on the ratio of bituminous coal to anthracite coal of 3:7 (MS1), this paper compares the combustion characteristics of wheat straw char, corn straw char, and cotton straw char mixed with anthracite coal in different proportions. The industrial analysis results are shown in Table 4. The results indicate that the measured values of the ash content and fixed carbon for the mixture of the cotton straw char and anthracite coal are slightly lower than the theoretical values, while the volatile matter is about 5% higher than the theoretical values. For the mixture of the cotton straw char and bituminous coal, the measured fixed carbon content differs from the theoretical value by about 4%. As the proportion of the anthracite coal increases, the difference between the measured and theoretical ash content gradually decreases, the difference in the volatile matter remains nearly unchanged, and the difference in the fixed carbon content gradually increases. The general trend for the mixtures of the three types of straw char and anthracite coal is that the measured values show lower ash content and higher volatile matter content than the theoretical values, with the fixed carbon being lower. The largest deviation between the measured and theoretical values is found in the volatile matter, which can reach up to 5%. After mixing the straw char with the anthracite coal, the ash content and volatile matter content decrease, while the fixed carbon content increases, essentially meeting the quality requirements for pulverized coal injection in blast furnaces.

3.2. Co-Combustion Characteristics of the Blends

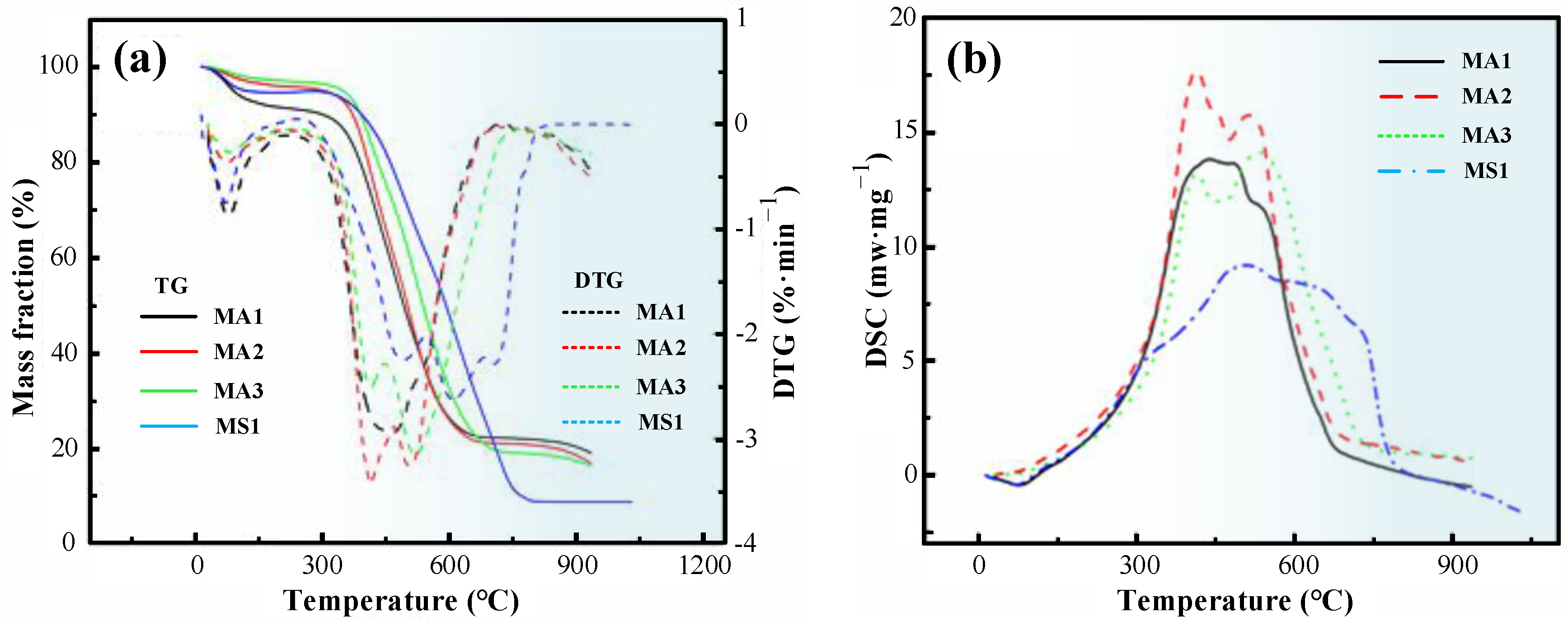
Figure 3 shows the TG-DSC curves of the wheat straw char and anthracite mixture at mass ratios of 2:1 (MA1), 1:1 (MA2), and 1:2 (MA3). Figure 3a indicates that all the samples experience a gradual loss in mass during the initial heating stage, typically associated with dehydration reactions and the release of volatile low molecular weight substances [28]. As the temperature increases to 200–400 °C, the TG curves exhibit inflection points, indicating significant mass loss for the samples MA1, MA2, and MA3. This suggests that the high volatile content of the wheat straw char plays a dominant role in this process. In contrast, the MS1 sample shows slower mass loss in this temperature range, indicating that the combustion of the anthracite requires higher activation energy. When the temperature reaches 600–800 °C, the TG curves show inflection points again, signifying that the combustion of the fixed carbon and other less volatile components in the anthracite coal dominates. As the temperature further increases, the mass loss rate of all the samples gradually decreases, and the mass tends to stabilize at high temperatures, indicating that the primary combustible components have been consumed. Based on the DTG curve, the peak temperature decreases after adding the wheat straw char, and the reactivity in the main combustion zone improves. This is consistent with the conclusion obtained by Sahu et al. [29] in their study on the co-combustion characteristics of coal and different biomass chars.
Figure 3b illustrates the exothermic behavior of the mixture at different temperatures. Both MA1 and MS1 exhibit a single, broad exothermic peak. For MA1, the single peak around 450 °C indicates that the mixture has a balanced composition, with both the volatile and fixed carbon components burning within the same temperature range. For MS1, the single peak around 600 °C is characteristic of anthracite combustion, which occurs at higher temperatures due to its low volatile content and high fixed carbon content. The MA2 and MA3 samples exhibit two exothermic peaks at approximately 400 °C and 500 °C, indicating that their combustion process occurs in two stages. The study by Park et al. [30] also demonstrates that the combustion of a blend of carbonized biomass and coal forms two combustion zones. The first peak may represent the combustion of more volatile components and the decomposition of biomass char hemicellulose, while the second stage is mainly due to the heat released from the combustion of the residual volatiles and carbon in anthracite. The second exothermic peak is lower than the first one, suggesting that the heat released from carbon oxidation is weaker than that released from the combustion of volatiles. Xie [31] and Moon [18] et al. also obtained similar results in their study of the co-combustion characteristics of coal and biomass.
In Table 5, MA2 has the lowest ignition temperature Ti of 367 °C and the highest values of the maximum weight loss rate Vmax, maximum heat release rate Qmax, burnout rate Db, combustion efficiency rate Cb, and comprehensive combustion characteristic index P. Therefore, it can be concluded that the MA2 ratio achieves the best combustion characteristics. After mixing the wheat straw char with the anthracite, the combustion characteristics ranked in descending order as MA2 > MA3 > MA1 > MS1. The addition of the wheat straw char significantly improves the combustion index of the mixed coal and is superior to the combination of bituminous coal and anthracite coal.
The combustion performance of the corn straw char mixed with the anthracite at mass ratios of 2:1 (MB1), 1:1 (MB2), and 1:2 (MB3) is shown in Figure 4. Figure 4a shows that all the samples exhibited a minor mass loss at the onset of heating, which may be attributed to moisture evaporation. With further increase in the temperature, the TG curves of MB1, MB2, and MB3 exhibit a rapid decrease in mass between 200 and 400 °C, and the DTG curves show distinct inflection points. This is primarily due to the combustion of the volatile components in the corn straw char [32]. Specifically, MB1 showed the most significant mass loss at lower temperature ranges, possibly related to its higher volatile content. In contrast, the mass loss of MS1 starts at a higher temperature, indicating that the anthracite requires a higher temperature to begin significant decomposition. Li et al. [33], in their study on the combustion characteristics of anthracite, also pointed out that the combustion process of anthracite occurs at a relatively high temperature and that the residue weight at the end of combustion is also considerable. When the temperature is between 350 and 450 °C, the fixed carbon of the corn straw char decomposes, causing a further decrease in the TG curve and the appearance of a second inflection point in the DTG curve. After the temperature exceeds 600 °C, the mass loss of all the samples tends to stabilize, indicating that the combustible components have been essentially burned off.
Figure 4b reveals the exothermic behavior of the mixture at different temperatures. Similar to the wheat straw char, MB1 exhibits a single exothermic peak around 450 °C, reflecting the rapid combustion of the volatile components in the corn straw char. As the proportion of anthracite increases, MB3 shows a larger exothermic peak at higher temperatures, indicating that the combustion of the fixed carbon in the anthracite is the main stage of energy release. MB2, with an intermediate proportion, exhibits moderate exothermic characteristics, contributing two main exothermic peaks. Similar results were obtained in previous studies [34,35]. The first peak may be the overlapping peak of the decomposition of the hemicellulose in the corn straw char and the volatiles in the anthracite, while the second stage is mainly due to the combustion of the residual volatiles and carbon in the anthracite.
According to Table 6, the combustion characteristic indices of MB1 and MB2 are similar, but they are all better than those of MB3 and MS1. Based on the comprehensive combustion characteristic index P, MB2 is superior to MC1, indicating that the combustion characteristics of MB2 are the best in this group of ratios. Overall, the ignition point temperature of the coal blend is below 400 °C after adding the corn straw char, and the maximum calorific value Qmax, combustion efficiency Cb, and comprehensive combustion index P are significantly improved.
Figure 5 illustrates the combustion curves of a mixture of the cotton straw char and anthracite at mass ratios of 2:1 (MC1), 1:1 (MC2), and 1:2 (MC3). Figure 5a indicates that all the samples exhibit relatively minimal mass loss during the early stages of heating, suggesting the release of initial moisture and low molecular weight volatiles. When the temperature rises to the range of 200–400 °C, the mass of the samples MC1, MC2, and MC3 decreases significantly, and the DTG curve shows an inflection point, indicating that the volatile substances are burning. Among them, MC1 exhibits the earliest and most rapid mass loss, likely due to the higher proportion of volatile matter in the cotton straw char. In contrast, the sample MS1 begins significant pyrolysis at higher temperatures, indicating the greater thermal stability of the anthracite. When the temperature exceeds 350 °C, the TG curve further decreases and the DTG curve shows a second inflection point, which is mainly due to the decomposition of the fixed carbon in the cotton straw char. As the temperature further increases to 600 °C, the rate of mass loss slows down and eventually stabilizes, indicating that the combustion reaction is nearing completion.
From Figure 5b, it can be observed that the exothermic peaks of MC1 and MC2 appear at lower temperatures, indicating that the cotton straw charcoal plays a major role in the combustion process. However, MC3 shows exothermic peaks at both lower and higher temperatures, suggesting that the combustion of the mixture occurs in different stages. The cotton straw char decomposes at lower temperatures, releasing volatiles and generating the first exothermic peak. Subsequently, the residual carbon-rich materials from both the cotton straw char and anthracite combust at higher temperatures, resulting in the second peak. In summary, a high proportion of the cotton straw charcoal significantly enhances the initial combustion activity of the mixture, reduces the ignition temperature, and provides rapid energy release within a lower temperature range.
In Table 7, it can be observed that MC1 has the lowest ignition temperature Ti of 373 °C and the highest values of the maximum weight loss rate Vmax, maximum heat release rate Qmax, and burn out rate Db. The comprehensive combustion characteristic index P is 5.453, which is significantly higher than the value of 1.795 obtained from the mixture of bituminous coal and anthracite. This indicates that the MC1 ratio can achieve the best combustion characteristics.

3.3. Blast Furnace Injection Performance

3.3.1. Industrial Analysis and Elemental Analysis

The pulverized fuel used includes the corn straw char (S2), cotton straw char (S3), bituminous coal (C2), and anthracite coal (C1), as shown in Table 8 for their industrial and elemental analyses. Anthracite has a low volatile matter content and high fixed carbon content. The volatile contents of the two types of straw char are not much different, and the sulfur content is less than 0.4%. However, the corn straw char has higher ash content and lower fixed carbon. Since hydrogen does not participate in combustion reactions before reaching the tuyere, the coals with high hydrogen content generally have a significant impact on lowering the theoretical combustion temperature. However, for typical coals with a C/H ratio greater than 16, the theoretical temperature is not significantly affected, so straw char does not cause a noticeable decrease in the theoretical temperature.
The experimental plan involved using the straw char and anthracite coal at mass ratios of 50:50, 40:60, 30:70, and 20:80. For baseline comparison, a co-combustion test of bituminous coal and anthracite was conducted. The cotton straw char and corn straw char were used for the pulverized coal injection trials in blast furnaces. Before mixing, each fuel type was prepared as samples. Due to their flammability and fine size causing agglomeration, the straw char and bituminous coal were used at a particle size of −100 mesh (less than 0.15 mm); anthracite, being less combustible, was used at −150 mesh (less than 0.106 mm). The specific experimental scheme and industrial analysis of the mixed samples are shown in Table 9. The industrial analysis of the mixed samples indicates that the fixed carbon content of the straw char and anthracite mixtures is above 70% with a low volatile matter content of less than 12%, eliminating the possibility of explosions. However, the ash content of the mixtures of the corn straw char and anthracite is nearly 20%, which would generate excessive slag. The ash content is lower in the mixtures of bituminous coal and anthracite, resulting in less slag. The higher volatile matter content makes the coal powder easier to ignite, enhancing combustion characteristics, but care must be taken to prevent potential explosions due to high volatile matter.

3.3.2. Grindability

Due to the high degree of the metamorphism of anthracite, which results in poor grindability, and the known brittleness of straw char from product characterization, this paper compares the grindability of the straw char and anthracite [36]. In Table 10, both the under-screen and over-screen materials are returned to the sampler for resampling after the first grinding. Each resampling process takes 30 s, and a 200-mesh sieve is used to screen the dried corn straw char, cotton straw char, and anthracite. The results show that the yield of under-screen material for the corn straw char and cotton straw char is greater than that of anthracite after the first sampling, indicating that the straw char is brittle and easy to grind. The yield of under-screen material for anthracite is higher than that of the corn and cotton straw char after the second grinding, but this is mainly because the grinding of the brittle straw char produces too many fine particles. These fine particles have a higher energy surface, causing the particles to attract each other and form aggregates, making them more difficult to separate. In Table 11, only the over-screen material is resampled to reduce the effect of fine particle aggregation under the same conditions as in Table 10. The analysis shows that the cotton straw char is more easily broken and has better grindability compared to anthracite. The corn straw char has somewhat poorer grindability, possibly due to its lower density and lighter mass, which makes it less likely to fall through during the screening process.

3.3.3. Combustion Rate of the Blends

The mixed coal powder and the burned coal powder were weighed and tested for ash content, and their combustion rates were calculated using the combustible balance method. The results are shown in Figure 6. The combustion rate of pulverized coal is a key production indicator in the process of coal injection in blast furnaces [37]. If the combustion rate of pulverized coal is too low, it will result in a decrease in the coal injection ratio, an increase in coke consumption, and a large amount of unburned pulverized coal will enter the burden column, thereby deteriorating the permeability of the burden column [38].
From Figure 6, it is evident that the combustion efficiency of bituminous coal and anthracite is highest at a 30:70 blend ratio, reaching 64.64%. Increasing or decreasing this ratio results in a decrease in combustion efficiency, making the 30:70 blend the optimal ratio for bituminous coal and anthracite. When the cotton straw char is mixed with the anthracite for injection, two blend ratios, 50:50 and 20:80, show higher combustion efficiencies, both exceeding 74%, which is 10% higher than the blend of bituminous coal and anthracite. Xiong et al. [39] also found that cotton stalk charcoal has excellent combustion performance. Under these two ratio conditions, the improvement in combustion efficiency is mainly due to the maximum synergy between the two fuels [40]. The cotton straw char has a high volatile content and a low ignition temperature. The heat generated during the initial combustion of the cotton straw char is quickly transferred to the anthracite, promoting its rapid combustion, and thus accelerating the combustion reaction. Meanwhile, anthracite has a high fixed carbon content and calorific value, ensuring stable combustion. Therefore, the synergistic effect between the two fuels allows the mixed fuel to quickly achieve a stable high-temperature zone during combustion, ensuring a continuous thermodynamic environment in the blast furnace, thus improving the overall combustion rate and efficiency.
The trend in mixing the corn straw char with the anthracite is very clear, with the highest value at 50:50 reaching 61.44%, which is comparable to the optimal combustion efficiency of bituminous coal and anthracite. The efficiency tends to decrease beyond this point, so the optimal blend ratio should be 50:50. Although the corn straw char has good combustion characteristics, its higher ash content can envelop unburnt coal powder after combustion, leading to a decrease in combustion efficiency. Especially at ratios below 50:50, the blend does not significantly enhance combustion performance, and the ash content can affect the burning of some coal powder, resulting in a lower combustion rate. In summary, a 50:50 blend of the straw char and anthracite can achieve the optimal combustion efficiency.

4. Conclusions

This study investigates the significance of optimizing combustion efficiency in blast furnace injection using a mixture of biomass char and anthracite. Through experimental analysis, the research examined the effects of different mixing ratios of cotton straw char, wheat straw char, and corn straw char with anthracite coal on combustion characteristics and grindability. The main findings provide valuable insights into enhancing thermal processes in industrial applications. Key findings from this study include the following:
(1) The mixture of three types of straw char and anthracite has better combustion effect than bituminous coal and anthracite mixed coal in any proportion. Among them, the mixed coal powder has the best combustion characteristics when the mixing ratio of cotton straw char, wheat straw char, and corn straw char and anthracite is 2:1, 1:1, and 1:1.
(2) Compared to anthracite, biomass chars like corn straw char and cotton straw char are more grindable, which may be attributed to their lower density and greater friability. This characteristic is crucial for optimizing the grinding and transport processes in coal injection, as better grindability can increase the reactive surface area of the coal dust and enhance its combustion efficiency.
(3) Optimizing the selection and proportion of coal types is a key factor in improving the efficiency of blast furnace coal injection. The best combustion rate, reaching 77.68%, is achieved with a 50:50 mixture of cotton straw char and anthracite. The combustion rates of corn straw char mixed with anthracite are comparable to those of the mixtures of bituminous coal and anthracite; moreover, the 20:80 mixture of cotton straw char and anthracite also shows a high combustion rate with a low volatile content and high fixed carbon content.

Author Contributions

Conceptualization, C.Y.; Methodology, J.P.; Software, S.L.; Investigation, Z.G.; Resources, D.Z.; Writing—original draft, C.T.; Writing—review & editing, J.P. All authors have read and agreed to the published version of the manuscript.

Funding

This work was financially supported by the National Natural Science Foundation of China (No. 52004339), the Key Research and Development Project of Hunan Province, China (No. 2022SK2075), and China Baowu Low Carbon Metallurgy Innovation Foundation (BWLCF202216).

Institutional Review Board Statement

Not applicable.

Informed Consent Statement

Not applicable.

Data Availability Statement

Data are contained within the article.

Conflicts of Interest

The authors declare that they have no known competing financial interests or personal relationships that could have appeared to influence the work reported in this paper.

References

  1. Wang, K.; Zhang, J.L.; Wu, S.L.; Wu, J.L.; Xu, K.; Liu, J.W.; Ning, X.J.; Wang, G.W. Feasibility Analysis of Biomass Hydrochar Blended Coal Injection for Blast Furnace. Sustainability 2022, 14, 10885. [Google Scholar] [CrossRef]
  2. Chen, J.; Wu, D.L.; Hu, Y.C.; Shen, Y.S.; Wang, G. Numerical Modeling of the Tuyere Surface Abrasion under Different Operating Conditions of Blast Furnace. Steel Res. Int. 2022, 93, 2100591. [Google Scholar] [CrossRef]
  3. Tang, C.M.; Guo, Z.Q.; Pan, J.; Zhu, D.Q.; Li, S.W.; Yang, C.C.; Tian, H.Y. Current situation of carbon emissions and countermeasures in China’s ironmaking industry. Int. J. Miner. Metall. Mater. 2023, 30, 1633–1650. [Google Scholar] [CrossRef]
  4. Jones, M.W.; Peters, G.P.; Gasser, T.; Andrew, R.M.; Schwingshackl, C.; Gütschow, J.; Houghton, R.A.; Friedlingstein, P.; Pongratz, J.; Quéré, C.L. National contributions to climate change due to historical emissions of carbon dioxide, methane, and nitrous oxide since 1850. Sci. Data 2023, 10, 155. [Google Scholar] [CrossRef] [PubMed]
  5. Xue, Y.X.; Zhu, D.Q.; Guo, Z.Q.; Pan, J.; Wang, Y.G.; Huang, Q.Z.; Pan, L.T.; Huang, X.Z. Achieving efficient utilization of limonitic nickel laterite and CO2 emission reduction through multi-force field sintering process. J. Iron Steel Res. Int. 2022, 29, 1734–1747. [Google Scholar] [CrossRef]
  6. Mao, J.X.; Tong, H.L. Coal resources, production, and use in China. In The Coal Handbook; Woodhead Publishing: Sawston, UK, 2023; pp. 431–454. [Google Scholar] [CrossRef]
  7. Qian, X.J.; Xue, J.W.; Yang, Y.L.; Lee, S.W. Thermal properties and combustion-related problems prediction of agricultural crop residues. Energies 2021, 14, 4619. [Google Scholar] [CrossRef]
  8. Fu, Y.L.; Zhang, J.; Guan, T.Z. High-Value Utilization of Corn Straw: From Waste to Wealth. Sustainability 2023, 15, 14618. [Google Scholar] [CrossRef]
  9. Xu, S.H.; Zhou, C.C.; Fang, H.X.; Zhu, W.R.; Shi, J.Q.; Liu, G.J. Characteristics of trace elements and potential environmental risks of the ash from agricultural straw direct combustion biomass power plant. Chemosphere 2023, 333, 138989. [Google Scholar] [CrossRef]
  10. Yang, Q.; Wang, T.; Wang, J.W.; Sui, Z.F.; Wang, L.Z.; Zhang, Y.S.; Pan, W.P. Combustion, emission and slagging characteristics for typical agricultural crop straw usage in heating plants. Thermochim. Acta 2021, 702, 178979. [Google Scholar] [CrossRef]
  11. Peng, Z.W.; Gregurek, D.; Wenzl, C.; White, J.F. Slag metallurgy and metallurgical waste recycling. JOM 2016, 68, 2313–2315. [Google Scholar] [CrossRef]
  12. Tian, B.; Wang, J.Y.; Qiao, Y.Y.; Huang, H.L.; Xu, L.; Tian, Y.Y. Understanding the pyrolysis synergy of biomass and coal blends based on volatile release, kinetics and char structure. Biomass Bioenergy 2023, 168, 106687. [Google Scholar] [CrossRef]
  13. Chen, L.; Wen, C.; Wang, W.Y.; Liu, T.Y.; Liu, E.; Liu, H.W.; Li, Z.X. Combustion behaviour of biochars thermally pretreated via torrefaction, slow pyrolysis, or hydrothermal carbonisation and co-fired with pulverised coal. Renew. Energy 2020, 161, 867–877. [Google Scholar] [CrossRef]
  14. Deng, J.; Qu, G.Y.; Ren, S.J.; Wang, C.P.; Su, H.; Yuan, Y.; Duan, X.D.; Yang, N.N.; Wang, J.R. Effect of water soaking and air drying on the thermal effect and heat transfer characteristics of coal oxidation at the low-temperature oxidation stage. Energy 2024, 288, 129705. [Google Scholar] [CrossRef]
  15. Ahn, B.; Park, C.; Liu, J.J.; Ok, Y.S.; Won, W.Y. Maximizing the utilization of lignocellulosic biomass: Process development and analysis. Renew. Energy 2023, 215, 119004. [Google Scholar] [CrossRef]
  16. Gnanasekaran, L.; Priya, A.K.; Thanigaivel, S.; Hoang, T.K.A.; Soto-Moscoso, M. The conversion of biomass to fuels via cutting-edge technologies: Explorations from natural utilization systems. Fuel 2023, 331, 125668. [Google Scholar] [CrossRef]
  17. Liu, J.P.; Chen, X.; Chen, W.; Xia, M.W.; Chen, Y.Q.; Chen, H.P.; Zeng, K.; Yang, H.P. Biomass pyrolysis mechanism for carbon-based high-value products. Proc. Combust. Inst. 2023, 39, 3157–3181. [Google Scholar] [CrossRef]
  18. Moon, C.; Sung, Y.; Ahn, S.; Kim, T.; Choi, G.; Kim, D. Effect of blending ratio on combustion performance in blends of biomass and coals of different ranks. Exp. Therm. Fluid Sci. 2013, 47, 232–240. [Google Scholar] [CrossRef]
  19. Yang, W.; Yang, F.; Zhang, X.; Zhu, P.F.; Peng, H.H.; Chen, Z.Z.; Che, L.; Zhu, S.X.; Wu, S.J. Preparation of Biochar via Dry Torrefaction of Wood Meal in a Batch Reactor under Pressure and its Co-Combustion Behavior with Anthracite Coal. BioResources 2021, 16, 997. [Google Scholar] [CrossRef]
  20. Li, H.J.; Chi, H.Y.; Han, H.D.; Hua, S.; Song, G.X.; Wang, Y.K.; He, L.M.; Wang, Y.; Su, S.; Xiang, J. Comprehensive study on co-combustion behavior of pelletized coal-biomass mixtures in a concentrating photothermal reactor. Fuel Process. Technol. 2021, 211, 106596. [Google Scholar] [CrossRef]
  21. Laougé, Z.B.; Merdun, H. Investigation of thermal behavior of pine sawdust and coal during co-pyrolysis and co-combustion. Energy 2021, 231, 120895. [Google Scholar] [CrossRef]
  22. Wang, Y.L.; Yan, B.B.; Wang, Y.; Zhang, J.H.; Chen, X.Z.; Bastiaans, R.J.M. A comparison of combustion properties in biomass–coal blends using characteristic and kinetic analyses. Int. J. Environ. Res. Public Health 2021, 18, 12980. [Google Scholar] [CrossRef]
  23. Han, G.; Qin, Z.F.; Zuo, S.H. Mechanical properties and microstructural features of biomass fly ash-modified self-compacting coal gangue-filled backfill. Materials 2023, 16, 2789. [Google Scholar] [CrossRef] [PubMed]
  24. Zhang, L.M.; Zhao, W.Q.; Jiang, F.; Tian, M.J.; Yang, Y.; Ge, P.; Sun, W.; Ji, X.B. Carbon nanosheets from biomass waste: Insights into the role of a controlled pore structure for energy storage. Sustain. Energy Fuels 2020, 4, 3552–3565. [Google Scholar] [CrossRef]
  25. Thrän, D.; Seidenberger, T.; Zeddies, J.; Offermann, R. Global biomass potentials—Resources, drivers and scenario results. Energy Sustain. Dev. 2010, 14, 200–205. [Google Scholar] [CrossRef]
  26. Li, D. A study for development suitability of biomass power generation technology based on GHG emission reduction benefits and growth potential. Comput. Intel. Neurosc. 2022, 2022, 7961573. [Google Scholar] [CrossRef]
  27. Uchimiya, M.; Hiradate, S.; Antal, J.M.J. Influence of carbonization methods on the aromaticity of pyrogenic dissolved organic carbon. Energy Fuels 2015, 29, 2503–2513. [Google Scholar] [CrossRef]
  28. Balat, M. Mechanisms of thermochemical biomass conversion processes. Part 1: Reactions of pyrolysis. Energy Sources Part A 2008, 30, 620–635. [Google Scholar] [CrossRef]
  29. Sahu, S.G.; Sarkar, P.; Chakraborty, N.; Adak, A.K. Thermogravimetric assessment of combustion characteristics of blends of a coal with different biomass chars. Fuel Process. Technol. 2010, 91, 369–378. [Google Scholar] [CrossRef]
  30. Park, S.W.; Jang, C.H.; Baek, K.R.; Yang, J.K. Torrefaction and low-temperature carbonization of woody biomass: Evaluation of fuel characteristics of the products. Energy 2012, 45, 676–685. [Google Scholar] [CrossRef]
  31. Xie, T.; Wei, R.C.; Wang, Z.; Wang, J. Comparative analysis of thermal oxidative decomposition and fire characteristics for different straw powders via thermogravimetry and cone calorimetry. Process Saf. Environ. Prot. 2020, 134, 121–130. [Google Scholar] [CrossRef]
  32. Wang, T.; Li, Y.N.; Zhi, D.K.; Lin, Y.C.; He, K.; Liu, B.Y.; Mao, H.J. Assessment of combustion and emission behavior of corn straw biochar briquette fuels under different temperatures. J. Environ. Manag. 2019, 250, 109399. [Google Scholar] [CrossRef] [PubMed]
  33. Li, C.; Liu, Z.D.; Yuan, C.M.; Yu, Z.J. Experimental Research on Combustion, Pyrolysis Characteristics, and Kinetics of Three Different Coal Samples in China. ACS Omega 2023, 8, 34388–34396. [Google Scholar] [CrossRef] [PubMed]
  34. Gil, M.V.; Casal, D.; Pevida, C.; Pis, J.J.; Rubiera, F. Thermal behaviour and kinetics of coal/biomass blends during co-combustion. Bioresour. Technol. 2010, 101, 5601–5608. [Google Scholar] [CrossRef] [PubMed]
  35. Yuzbasi, N.S.; Selçuk, N. Air and oxy-fuel combustion characteristics of biomass/lignite blends in TGA-FTIR. Fuel Process. Technol. 2011, 92, 1101–1108. [Google Scholar] [CrossRef]
  36. Deniz, V. Relationships between comminution and chemical, petrographic and mineralogical properties of ores, and their effect on concentration. Physicochem. Probl. Miner. Process. 2022, 58, 149892. [Google Scholar] [CrossRef]
  37. Nomura, S.; Callcott, T.G. Maximum rates of pulverized coal injection in ironmaking blast furnaces. ISIJ Int. 2011, 51, 1033–1043. [Google Scholar] [CrossRef][Green Version]
  38. Perret, F.; Babich, A.; Senk, D. Effect of pulverized coal residues on the blast furnace streaming conditions. Ironmak. Steelmak. 2022, 49, 898–904. [Google Scholar] [CrossRef]
  39. Xiong, S.W.; Zhang, S.Y.; Wu, Q.M.; Guo, X.; Dong, A.X.; Chen, C. Investigation on cotton stalk and bamboo sawdust carbonization for barbecue charcoal preparation. Bioresour. Technol. 2014, 152, 86–92. [Google Scholar] [CrossRef]
  40. Chen, Z.B.; Chen, Z.L.; Liu, J.Y.; Zhuang, P.; Evrendilek, F.; Huang, S.Z.; Chen, T.; Xie, W.M.; He, Y.; Sun, S.Y. Optimizing co-combustion synergy of soil remediation biomass and pulverized coal toward energetic and gas-to-ash pollution controls. Sci. Total Environ. 2023, 857, 159585. [Google Scholar] [CrossRef]
Figure 1. (a) Schematic of thermogravimetric analyzer and (b) combustion characteristic parameters.
Figure 1. (a) Schematic of thermogravimetric analyzer and (b) combustion characteristic parameters.
Sustainability 16 06140 g001
Figure 2. Schematic flow chart of BF coal injection experiment.
Figure 2. Schematic flow chart of BF coal injection experiment.
Sustainability 16 06140 g002
Figure 3. (a) TG-DTG and (b) DSC curve of wheat straw char and anthracite mixed.
Figure 3. (a) TG-DTG and (b) DSC curve of wheat straw char and anthracite mixed.
Sustainability 16 06140 g003
Figure 4. (a) TG-DTG and (b) DSC curve of corn straw char and anthracite mixed.
Figure 4. (a) TG-DTG and (b) DSC curve of corn straw char and anthracite mixed.
Sustainability 16 06140 g004
Figure 5. (a) TG-DTG and (b) DSC curve of cotton straw char and anthracite mixed.
Figure 5. (a) TG-DTG and (b) DSC curve of cotton straw char and anthracite mixed.
Sustainability 16 06140 g005
Figure 6. Combustion rate of mixed pulverized coal in three groups.
Figure 6. Combustion rate of mixed pulverized coal in three groups.
Sustainability 16 06140 g006
Table 1. Elements and proportions of three kinds of straw.
Table 1. Elements and proportions of three kinds of straw.
Raw MaterialN/%C/%H/%S/%O/%C/N RatioC/H Ratio
Wheat straw0.6540.035.2930.50034.85761.9797.563
Corn straw0.5941.235.2810.23129.02870.7447.808
Cotton straw1.0242.465.5310.22731.91241.9097.676
Table 2. Calorific value and industrial analysis of three types of straws and pulverized coal.
Table 2. Calorific value and industrial analysis of three types of straws and pulverized coal.
Raw MaterialQ/MJ·Kg−1Mad/%A/%V/%FC/%
Wheat straw16.18710.957.7276.315.98
Corn straw16.43916.297.3578.913.75
Cotton straw17.12616.252.6078.918.50
Anthracite coal28.4903.8211.827.2280.96
Bituminous coal21.68112.987.3140.4152.12
Q—calorific value; Mad—moisture; A—ash; V—volatiles; FC—fixed carbon.
Table 3. Calorific value and industrial analysis of three kinds of biomass straw chars.
Table 3. Calorific value and industrial analysis of three kinds of biomass straw chars.
SamplesCalorific ValueIndustrial AnalysisElemental Composition Analysis
Q/MJ·Kg−1A/%V/%FC/%N/%C/%H/%S/%O/%C/H Ratio
S120.7127.2818.4354.290.6055.601.7450.73914.0431.84
S221.6422.7516.9560.300.7061.471.8710.20513.0030.73
S324.7214.7816.5668.661.4272.272.0700.3759.08533.94
Q—calorific value; A—ash; V—volatiles; FC—fixed carbon.
Table 4. Coal blending ratio and industrial analysis.
Table 4. Coal blending ratio and industrial analysis.
Blends Experimental Test ResultsTheoretical Calculation Results
A/%V/%FC/%A/%V/%FC/%
MA1S1:C1 = 2:121.2116.4462.3521.8414.9862.93
MA2S1:C1 = 1:117.8814.9667.1619.1213.2667.44
MA3S1:C1 = 1:216.0013.4870.5216.4011.5371.95
MB1S2:C1 = 2:118.8916.6064.5118.8213.9967.19
MB2S2:C1 = 1:116.9414.8168.2516.8612.5270.63
MB3S2:C1 = 1:214.6313.5871.7914.8911.0474.07
MC1S3:C1 = 2:111.0018.9170.0913.5113.7372.76
MC2S3:C1 = 1:111.2317.1671.6112.8712.3274.81
MC3S3:C1 = 1:211.2615.3273.4212.2310.9176.86
Table 5. Combustion characteristics index of S1 and anthracite in different proportions.
Table 5. Combustion characteristics index of S1 and anthracite in different proportions.
SamplesTi/°CVmax/%·min−1Tmax/°CQmax/mW·mg−1Db/%·(°C·min)−1Cb/10−5P/10−8
MA13782.96345713.810.00782.0742.721
MA23673.41941717.710.00932.5383.499
MA33723.15452313.200.00852.2792.958
MS14012.6146109.1750.00651.6261.795
Table 6. Combustion characteristics index of S2 and anthracite in different proportions.
Table 6. Combustion characteristics index of S2 and anthracite in different proportions.
SamplesTi/°CVmax/%·min−1Tmax/°CQmax/mW·mg−1Db/%·(°C·min)−1Cb/10−5P/10−8
MB13553.76142818.690.01062.9854.057
MB23573.68942319.860.01032.8954.283
MB33612.85252113.140.00792.1882.893
MS14012.6146109.1750.00651.6261.795
Table 7. Combustion characteristics index of S3 and anthracite in different proportions.
Table 7. Combustion characteristics index of S3 and anthracite in different proportions.
SamplesTi/°CVmax/%·min−1Tmax/°CQmax/mW·mg−1Db/%·(°C·min)−1Cb/10−5P/10−8
MC13774.86543224.080.01293.4235.453
MC23733.41046816.140.00912.4503.542
MC33783.18953013.860.00842.2313.131
MS14012.6146109.1750.00651.6261.795
Table 8. Industrial analysis and elemental analysis of pulverized coal injection.
Table 8. Industrial analysis and elemental analysis of pulverized coal injection.
MaterialsA/%V/%FC/%N/%C/%H/%S/%O/%C/H Ratio
S224.9416.9558.110.700057.471.8710.20514.8030.72
S311.7016.5671.741.42072.272.0700.3759.08533.94
C211.827.22080.96------
C17.31040.4152.12------
Table 9. Mixed fuel options and industrial analysis (%).
Table 9. Mixed fuel options and industrial analysis (%).
Raw MaterialAshVolatile ContentFixed Carbon
C2: C1 = 50:509.57023.8266.54
C2: C1 = 40:609.11027.1363.66
C2: C1 = 30:708.66030.4560.77
C2: C1 = 20:808.21033.7757.89
S2: C1 = 50:5018.3812.0969.54
S2: C1 = 40:6017.0711.1171.82
S2: C1 = 30:7015.7610.1474.11
S2: C1 = 20:8014.449.17076.39
S3: C1 = 50:5011.7611.8976.35
S3: C1 = 40:6011.7710.9677.27
S3: C1 = 30:7011.7810.0278.19
S3: C1 = 20:8011.809.09079.12
Table 10. Grindability of coal powder (after sample preparation, both the undersize and oversize materials are put into re-grinding).
Table 10. Grindability of coal powder (after sample preparation, both the undersize and oversize materials are put into re-grinding).
Screening Times/Raw MaterialS2S3C2
Total/gMinus Mesh/gPercentage/%Total/gMinus Mesh/gPercentage/%Total/gMinus Mesh/gPercentage/%
14.520.7917.00%9.712.4725.00%18.092.6515.00%
24.170.8320.00%9.222.2324.00%16.974.5827.00%
Table 11. Grindability of coal powder (after sample preparation, only the sieve is put in and then ground).
Table 11. Grindability of coal powder (after sample preparation, only the sieve is put in and then ground).
Screening Times/Raw MaterialS2S3C2
Total/gMinus Mesh/gPercentage/%Total/gMinus Mesh/gPercentage/%Total/gMinus Mesh/gPercentage/%
14.820.8217.00%6.112.7445.00%11.714.0234.00%
23.230.6219.00%3.001.4950.00%7.363.6149.00%
32.300.6327.00%------
41.640.8854.00%------
Disclaimer/Publisher’s Note: The statements, opinions and data contained in all publications are solely those of the individual author(s) and contributor(s) and not of MDPI and/or the editor(s). MDPI and/or the editor(s) disclaim responsibility for any injury to people or property resulting from any ideas, methods, instructions or products referred to in the content.

Share and Cite

MDPI and ACS Style

Tang, C.; Pan, J.; Zhu, D.; Guo, Z.; Yang, C.; Li, S. Optimizing Combustion Efficiency in Blast Furnace Injection: A Sustainable Approach Using Biomass Char and Coal Mixtures. Sustainability 2024, 16, 6140. https://doi.org/10.3390/su16146140

AMA Style

Tang C, Pan J, Zhu D, Guo Z, Yang C, Li S. Optimizing Combustion Efficiency in Blast Furnace Injection: A Sustainable Approach Using Biomass Char and Coal Mixtures. Sustainability. 2024; 16(14):6140. https://doi.org/10.3390/su16146140

Chicago/Turabian Style

Tang, Chenmei, Jian Pan, Deqing Zhu, Zhengqi Guo, Congcong Yang, and Siwei Li. 2024. "Optimizing Combustion Efficiency in Blast Furnace Injection: A Sustainable Approach Using Biomass Char and Coal Mixtures" Sustainability 16, no. 14: 6140. https://doi.org/10.3390/su16146140

APA Style

Tang, C., Pan, J., Zhu, D., Guo, Z., Yang, C., & Li, S. (2024). Optimizing Combustion Efficiency in Blast Furnace Injection: A Sustainable Approach Using Biomass Char and Coal Mixtures. Sustainability, 16(14), 6140. https://doi.org/10.3390/su16146140

Note that from the first issue of 2016, this journal uses article numbers instead of page numbers. See further details here.

Article Metrics

Back to TopTop