Development of Healthy and Clean-Label Crackers Incorporating Apple and Carrot Pomace Flours
Abstract
1. Introduction
2. Materials and Methods
2.1. Materials
2.1.1. Chemicals
2.1.2. Ingredients
2.2. Methods
2.2.1. Proximate Composition
2.2.2. Crackers Manufacture
2.2.3. Dough Rheology
Viscoelastic Behavior
Mixolab—Mixing and Pasting Curves
Dimensions
2.2.4. Color
2.2.5. Moisture Content and Water Activity
2.2.6. Texture
2.2.7. Sensory Analysis
2.2.8. Antioxidant Potential
2.2.9. Total Phenolic Content
2.2.10. Statistical Analysis
3. Results and Discussion
3.1. Physicochemical Characteristics of the Raw Pomaces and Crackers
3.2. Rheology of Cracker Dough
3.3. Evaluation of the Mixing and Pasting Characteristics
3.4. Color and Dimensions
3.5. Moisture Content and Water Activity of Crackers
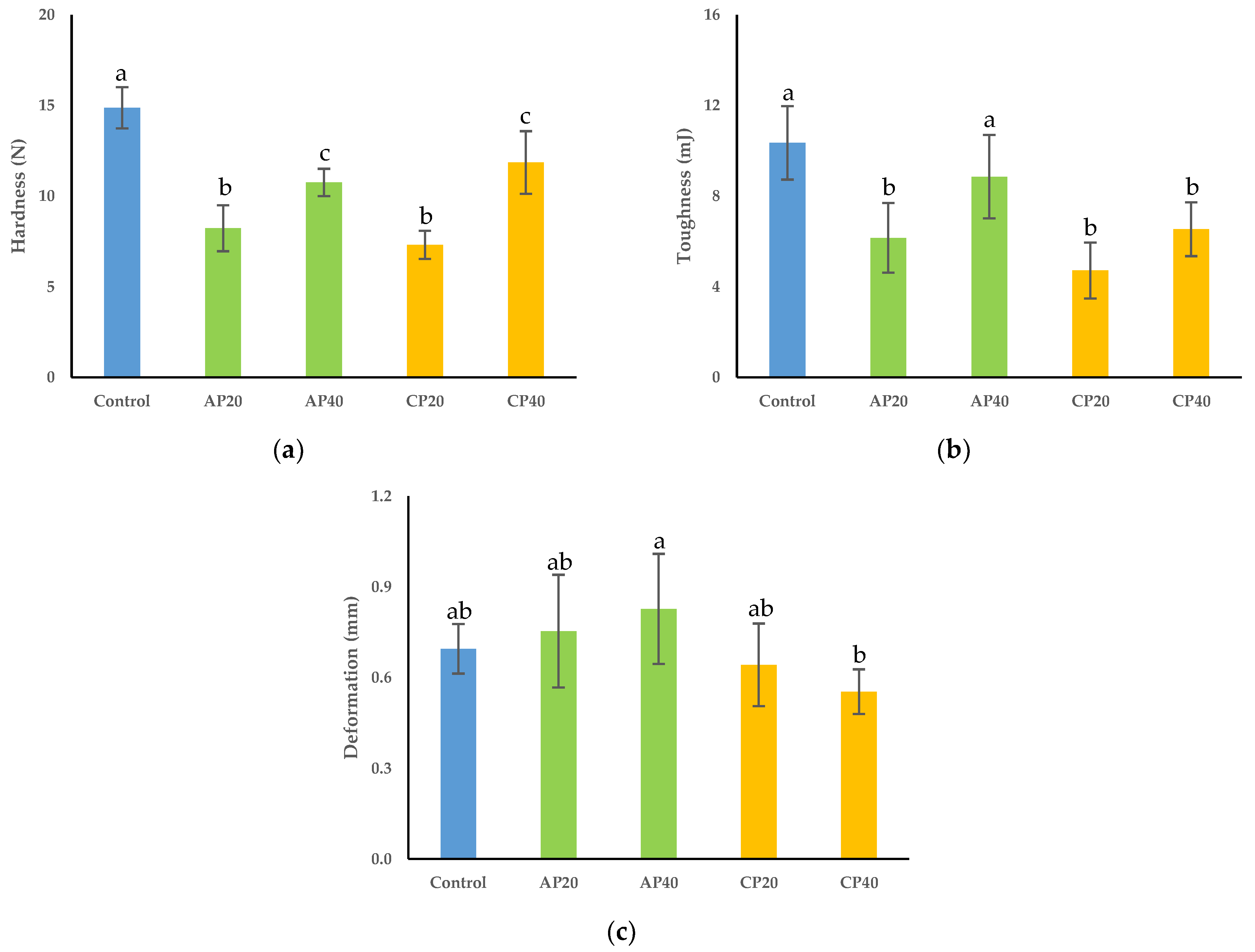
3.6. Texture
3.7. Sensory Evaluation
3.8. Total Phenolic Content (TPC) and Antioxidant Potential
4. Conclusions
Supplementary Materials
Author Contributions
Funding
Data Availability Statement
Conflicts of Interest
References
- Hurtado-Barroso, S.; Trius-Soler, M.; Lamuela-Raventós, R.M.; Zamora-Ros, R. Vegetable and Fruit Consumption and Prognosis Among Cancer Survivors: A Systematic Review and Meta-Analysis of Cohort Studies. Adv. Nutr. 2020, 11, 1569–1582. [Google Scholar] [CrossRef]
- Milajerdi, A.; Ebrahimi-Daryani, N.; Dieleman, L.A.; Larijani, B.; Esmaillzadeh, A. Association of Dietary Fiber, Fruit, and Vegetable Consumption with Risk of Inflammatory Bowel Disease: A Systematic Review and Meta-Analysis. Adv. Nutr. 2021, 12, 735–743. [Google Scholar] [CrossRef]
- Głąbska, D.; Guzek, D.; Groele, B.; Gutkowska, K. Fruit and Vegetable Intake and Mental Health in Adults: A Systematic Review. Nutrients 2020, 12, 115. [Google Scholar] [CrossRef] [PubMed]
- Santos, D.; Pintado, M.; Lopes da Silva, J.A. Potential Nutritional and Functional Improvement of Extruded Breakfast Cereals Based on Incorporation of Fruit and Vegetable By-Products—A Review. Trends Food Sci. Technol. 2022, 125, 136–153. [Google Scholar] [CrossRef]
- FAO; United Nations. Agricultural Production Statistics (2000–2021); Food and Agriculture Organization: Québec City, QC, Canada, 2021. [Google Scholar]
- Kandemir, K.; Piskin, E.; Xiao, J.; Tomas, M.; Capanoglu, E. Fruit Juice Industry Wastes as a Source of Bioactives. J. Agric. Food Chem. 2022, 70, 6805–6832. [Google Scholar] [CrossRef] [PubMed]
- Farvid, M.S.; Spence, N.D.; Holmes, M.D.; Barnett, J.B. Fiber Consumption and Breast Cancer Incidence: A Systematic Review and Meta-Analysis of Prospective Studies. Cancer 2020, 126, 3061–3075. [Google Scholar] [CrossRef] [PubMed]
- Xu, X.; Zhang, J.; Zhang, Y.; Qi, H.; Wang, P. Associations between Dietary Fiber Intake and Mortality from All Causes, Cardiovascular Disease and Cancer: A Prospective Study. J. Transl. Med. 2022, 20, 344. [Google Scholar] [CrossRef] [PubMed]
- Rocchetti, G.; Gregorio, R.P.; Lorenzo, J.M.; Barba, F.J.; Oliveira, P.G.; Prieto, M.A.; Simal-Gandara, J.; Mosele, J.I.; Motilva, M.-J.; Tomas, M.; et al. Functional Implications of Bound Phenolic Compounds and Phenolics–Food Interaction: A Review. Compr. Rev. Food Sci. Food Saf. 2022, 21, 811–842. [Google Scholar] [CrossRef] [PubMed]
- Dong, Y.; Gao, M.; Qiu, W.; Song, Z. Uptake of Microplastics by Carrots in Presence of As (III): Combined Toxic Effects. J. Hazard. Mater. 2021, 411, 125055. [Google Scholar] [CrossRef]
- Korczak, R.; Slavin, J.L. Definitions, Regulations, and New Frontiers for Dietary Fiber and Whole Grains. Nutr. Rev. 2020, 78 (Suppl. 1), 6–12. [Google Scholar] [CrossRef]
- Fu, J.; Zheng, Y.; Gao, Y.; Xu, W. Dietary Fiber Intake and Gut Microbiota in Human Health. Microorganisms 2022, 10, 2507. [Google Scholar] [CrossRef] [PubMed]
- Swann, O.G.; Kilpatrick, M.; Breslin, M.; Oddy, W.H. Dietary Fiber and Its Associations with Depression and Inflammation. Nutr. Rev. 2020, 78, 394–411. [Google Scholar] [CrossRef]
- Snauwaert, E.; Paglialonga, F.; Vande Walle, J.; Wan, M.; Desloovere, A.; Polderman, N.; Renken-Terhaerdt, J.; Shaw, V.; Shroff, R. The Benefits of Dietary Fiber: The Gastrointestinal Tract and Beyond. Pediatr. Nephrol. 2023, 38, 2929–2938. [Google Scholar] [CrossRef]
- Waddell, I.S.; Orfila, C. Dietary Fiber in the Prevention of Obesity and Obesity-Related Chronic Diseases: From Epidemiological Evidence to Potential Molecular Mechanisms. Crit. Rev. Food Sci. Nutr. 2023, 63, 8752–8767. [Google Scholar] [CrossRef] [PubMed]
- Vuolo, M.M.; Lima, V.S.; Maróstica Junior, M.R. Chapter 2—Phenolic Compounds: Structure, Classification, and Antioxidant Power. In Bioactive Compounds; Campos, M.R.S., Ed.; Woodhead Publishing: Cambridge, UK, 2019; pp. 33–50. [Google Scholar] [CrossRef]
- Mutha, R.E.; Tatiya, A.U.; Surana, S.J. Flavonoids as Natural Phenolic Compounds and Their Role in Therapeutics: An Overview. Future J. Pharm. Sci. 2021, 7, 25. [Google Scholar] [CrossRef] [PubMed]
- Rudrapal, M.; Khairnar, S.J.; Khan, J.; Dukhyil, A.B.; Ansari, M.A.; Alomary, M.N.; Alshabrmi, F.M.; Palai, S.; Deb, P.K.; Devi, R. Dietary Polyphenols and Their Role in Oxidative Stress-Induced Human Diseases: Insights Into Protective Effects, Antioxidant Potentials and Mechanism(s) of Action. Front. Pharmacol. 2022, 13, 806470. [Google Scholar] [CrossRef]
- Snack Food—Worldwide | Statista Market Forecast. Statista. Available online: https://www.statista.com/outlook/cmo/food/confectionery-snacks/snack-food/worldwide (accessed on 29 December 2023).
- Contini, C.; Boncinelli, F.; Marone, E.; Scozzafava, G.; Casini, L. Drivers of Plant-Based Convenience Foods Consumption: Results of a Multicomponent Extension of the Theory of Planned Behaviour. Food Qual. Prefer. 2020, 84, 103931. [Google Scholar] [CrossRef]
- Alongi, M.; Anese, M. Re-Thinking Functional Food Development through a Holistic Approach. J. Funct. Foods 2021, 81, 104466. [Google Scholar] [CrossRef]
- Nakov, G.; Brandolini, A.; Estivi, L.; Bertuglia, K.; Ivanova, N.; Jukić, M.; Komlenić, D.K.; Lukinac, J.; Hidalgo, A. Effect of Tomato Pomace Addition on Chemical, Technological, Nutritional, and Sensorial Properties of Cream Crackers. Antioxidants 2022, 11, 2087. [Google Scholar] [CrossRef]
- Imeneo, V.; Romeo, R.; Gattuso, A.; De Bruno, A.; Piscopo, A. Functionalized Biscuits with Bioactive Ingredients Obtained by Citrus Lemon Pomace. Foods 2021, 10, 2460. [Google Scholar] [CrossRef]
- Usman, M.; Ahmed, S.; Mehmood, A.; Bilal, M.; Patil, P.J.; Akram, K.; Farooq, U. Effect of Apple Pomace on Nutrition, Rheology of Dough and Cookies Quality. J. Food Sci. Technol. 2020, 57, 3244–3251. [Google Scholar] [CrossRef]
- Alongi, M.; Melchior, S.; Anese, M. Reducing the Glycemic Index of Short Dough Biscuits by Using Apple Pomace as a Functional Ingredient. LWT 2019, 100, 300–305. [Google Scholar] [CrossRef]
- Badjona, A.; Adubofuor, J.; Amoah, I.; Diako, C. Valorisation of Carrot and Pineapple Pomaces for Rock Buns Development. Sci. Afr. 2019, 6, e00160. [Google Scholar] [CrossRef]
- Baldán, Y.; Riveros, M.; Fabani, M.P.; Rodriguez, R. Grape Pomace Powder Valorization: A Novel Ingredient to Improve the Nutritional Quality of Gluten-Free Muffins. Biomass Convers. Biorefinery 2023, 13, 9997–10009. [Google Scholar] [CrossRef]
- Technical, A. Moisture--Air-Oven Methods. In AACC International Approved Methods; AACC International: St. Paul, MN, USA, 2009. [Google Scholar] [CrossRef]
- Marrero, J.; Rebagliati, R.J.; Leiva, E.; Londonio, A.; Smichowski, P. Inductively Coupled Plasma Optical Emission Spectrometric Determination of Fifteen Elements in Dietary Supplements: Are the Concentrations Declared in the Labels Accurate? Microchem. J. 2013, 108, 81–86. [Google Scholar] [CrossRef]
- Technical, A. Determination of Minerals by Inductively Coupled Plasma Spectroscopy. In AACC International Approved Methods; AACC International: St. Paul, MN, USA, 2009. [Google Scholar] [CrossRef]
- Technical, A. Crude Fat in Wheat, Corn, and Soy Flour, Feeds, and Mixed Feeds. In AACC International Approved Methods; AACC International: St. Paul, MN, USA, 2009. [Google Scholar] [CrossRef]
- Wendt Thiex, N.J.; Latimer, G.W., Jr. (Eds.) Fiber. In Official Methods of Analysis of AOAC INTERNATIONAL; Oxford University Press: Oxford, UK, 2023. [Google Scholar] [CrossRef]
- ISO 16634-2:2016; Food Products—Determination of the Total Nitrogen Content by Combustion According to the Dumas Principle and Calculation of the Crude Protein Content. ISO: Geneva, Switzerland, 2016. Available online: https://www.iso.org/standard/66661.html (accessed on 15 December 2023).
- AOAC 996.11-2005; Starch (Total) in Cereal Products. Amyloglucos—$14.60. AOAC Official Method. AOAC: Rockville, MD, USA, 2015. Available online: http://www.aoacofficialmethod.org/index.php?main_page=product_info&products_id=1546 (accessed on 11 March 2024).
- Batista, A.P.; Niccolai, A.; Bursic, I.; Sousa, I.; Raymundo, A.; Rodolfi, L.; Biondi, N.; Tredici, M.R. Microalgae as Functional Ingredients in Savory Food Products: Application to Wheat Crackers. Foods 2019, 8, 611. [Google Scholar] [CrossRef]
- Švec, I.; Hrušková, M. The Mixolab Parameters of Composite Wheat/Hemp Flour and Their Relation to Quality Features. LWT—Food Sci. Technol. 2015, 60, 623–629. [Google Scholar] [CrossRef]
- Kim, H.R.; Kim, M.-R.; Ryu, A.-R.; Bae, J.-E.; Choi, Y.-S.; Lee, G.B.; Choi, H.-D.; Hong, J.S. Comparison of Rheological Properties between Mixolab-Driven Dough and Bread-Making Dough under Various Salt Levels. Food Sci. Biotechnol. 2023, 32, 193–202. [Google Scholar] [CrossRef] [PubMed]
- ISO 8589:2007; Sensory Analysis—General Guidance for the Design of Test Rooms. ISO: Geneva, Switzerland, 2007. Available online: https://www.iso.org/standard/36385.html (accessed on 24 December 2023).
- Commission Regulation (EC) No 687/2008 of 18 July 2008 Establishing Procedures for the Taking-Over of Cereals by Intervention Agencies or Paying Agencies and Laying down Methods of Analysis for Determining the Quality of Cereals (Codified Version). 2008. Volume 192. Available online: http://data.europa.eu/eli/reg/2008/687/oj/eng (accessed on 29 December 2023).
- White, P.J.; Broadley, M.R. Biofortification of Crops with Seven Mineral Elements Often Lacking in Human Diets—Iron, Zinc, Copper, Calcium, Magnesium, Selenium and Iodine. New Phytol. 2009, 182, 49–84. [Google Scholar] [CrossRef]
- Karley, A.J.; White, P.J. Moving Cationic Minerals to Edible Tissues: Potassium, Magnesium, Calcium. Curr. Opin. Plant Biol. 2009, 12, 291–298. [Google Scholar] [CrossRef]
- Skinner, R.C.; Gigliotti, J.C.; Ku, K.-M.; Tou, J.C. A Comprehensive Analysis of the Composition, Health Benefits, and Safety of Apple Pomace. Nutr. Rev. 2018, 76, 893–909. [Google Scholar] [CrossRef] [PubMed]
- Verardo, G.; Pagani, E.; Geatti, P.; Martinuzzi, P. A Thorough Study of the Surface Wax of Apple Fruits. Anal. Bioanal. Chem. 2003, 376, 659–667. [Google Scholar] [CrossRef] [PubMed]
- Smuda, M.; Glomb, M.A. Fragmentation Pathways during Maillard-Induced Carbohydrate Degradation. J. Agric. Food Chem. 2013, 61, 10198–10208. [Google Scholar] [CrossRef] [PubMed]
- Hollnagel, A.; Kroh, L.W. Degradation of Oligosaccharides in Nonenzymatic Browning by Formation of α-Dicarbonyl Compounds via a “Peeling Off” Mechanism. J. Agric. Food Chem. 2000, 48, 6219–6226. [Google Scholar] [CrossRef] [PubMed]
- Tamanna, N.; Mahmood, N. Food Processing and Maillard Reaction Products: Effect on Human Health and Nutrition. Int. J. Food Sci. 2015, 2015, 526762. [Google Scholar] [CrossRef] [PubMed]
- Zhang, F.; Wang, T.; Wang, X.; Lü, X. Apple Pomace as a Potential Valuable Resource for Full-Components Utilization: A Review. J. Clean. Prod. 2021, 329, 129676. [Google Scholar] [CrossRef]
- Raymundo, A.; Batista, A.; Sousa, I. Rheology Applied to Food Product Design. 2017, pp. 63–118. Available online: https://www.researchgate.net/publication/324260187_Rheology_applied_to_food_product_design (accessed on 28 April 2024).
- Pycia, K.; Juszczak, L. The Influence of the Addition of Nuts on the Thermal and Rheological Properties of Wheat Flour. Molecules 2021, 26, 3969. [Google Scholar] [CrossRef]
- Kahraman, K.; Sakıyan, O.; Ozturk, S.; Koksel, H.; Sumnu, G.; Dubat, A. Utilization of Mixolab® to Predict the Suitability of Flours in Terms of Cake Quality. Eur. Food Res. Technol. 2008, 227, 565–570. [Google Scholar] [CrossRef]
- Tran, K.D.; Konvalina, P.; Capouchova, I.; Janovska, D.; Lacko-Bartosova, M.; Kopecky, M.; Tran, P.X.T. Comparative Study on Protein Quality and Rheological Behavior of Different Wheat Species. Agronomy 2020, 10, 1763. [Google Scholar] [CrossRef]
- Bánfalvi, Á.; Németh, R.; Bagdi, A.; Gergely, S.; Rakszegi, M.; Bedő, Z.; Láng, L.; Vida, G.; Tömösközi, S. A Novel Approach to the Characterization of Old Wheat (Triticum Aestivum L.) Varieties by Complex Rheological Analysis. J. Sci. Food Agric. 2020, 100, 4409–4417. [Google Scholar] [CrossRef]
- Khemiri, S.; Khelifi, N.; Nunes, M.C.; Ferreira, A.; Gouveia, L.; Smaali, I.; Raymundo, A. Microalgae Biomass as an Additional Ingredient of Gluten-Free Bread: Dough Rheology, Texture Quality and Nutritional Properties. Algal Res. 2020, 50, 101998. [Google Scholar] [CrossRef]
- Baljeet, S.Y.; Yogesh, S.; Ritika, B.Y. Physicochemical and Rheological Properties of Indian Wheat Varieties of Triticum aestivum. Qual. Assur. Saf. Crops Foods 2017, 9, 369–382. [Google Scholar] [CrossRef]
- Rosell, C.M.; Collar, C.; Haros, M. Assessment of Hydrocolloid Effects on the Thermo-Mechanical Properties of Wheat Using the Mixolab. Food Hydrocoll. 2007, 21, 452–462. [Google Scholar] [CrossRef]
- Haros, M.; Ferrer, A.; Rosell, C. Rheological Behaviour of Whole Wheat Flour. In Proceedings of the 13th World Congress of Food Science & Technology, Nantes, France, 17–21 September 2006; p. 681. [Google Scholar]
- Davidson, I. Biscuit Baking Technology: Processing and Engineering Manual; Elsevier: Amsterdam, The Netherlands, 2023. [Google Scholar]
- Arimi, J.M.; Duggan, E.; O’Sullivan, M.; Lyng, J.G.; O’Riordan, E.D. Effect of Water Activity on the Crispiness of a Biscuit (Crackerbread): Mechanical and Acoustic Evaluation. Food Res. Int. 2010, 43, 1650–1655. [Google Scholar] [CrossRef]
- Peleg, M. A Mathematical Model of Crunchiness/Crispness Loss in Breakfast Cereals1. J. Texture Stud. 1994, 25, 403–410. [Google Scholar] [CrossRef]
- Tunick, M.H.; Onwulata, C.I.; Thomas, A.E.; Phillips, J.G.; Mukhopadhyay, S.; Sheen, S.; Liu, C.-K.; Latona, N.; Pimentel, M.R.; Cooke, P.H. Critical Evaluation of Crispy and Crunchy Textures: A Review. Int. J. Food Prop. 2013, 16, 949–963. [Google Scholar] [CrossRef]
- Nowak, D.; Jakubczyk, E. The Freeze-Drying of Foods—The Characteristic of the Process Course and the Effect of Its Parameters on the Physical Properties of Food Materials. Foods 2020, 9, 1488. [Google Scholar] [CrossRef]
- Salari, S.; Ferreira, J.; Lima, A.; Sousa, I. Effects of Particle Size on Physicochemical and Nutritional Properties and Antioxidant Activity of Apple and Carrot Pomaces. Foods 2024, 13, 710. [Google Scholar] [CrossRef]












| Sample | Moisture | Ash | Fiber | Fat | Nitrogen | Carbohydrates, Including Starch | Starch |
|---|---|---|---|---|---|---|---|
| APF | 10.8 ± 1.08 a | 1.3 ± 0.01 a | 21.9 ± 0.84 a | 1.8 ± 0.13 a | 0.7 ± 0.01 a | 59.7 ± 2.39 a | 13.8 ± 0.49 a |
| CPF | 18.9 ± 0.31 c | 7.3 ± 0.07 b | 10.9 ± 0.37 b | 1.0 ± 0.12 b | 1.3 ± 0.01 b | 51.3 ± 4.40 b | 5.8 ± 0.23 b |
| WF | 14.1 ± 0.45 b | 0.5 ± 0.02 c | 0.5 ± 0.01 c | 1.0 ± 0.04 b | 1.3 ± 0.01 b | 76.1 ± 0.44 c | 75.3 ± 0.51 c |
| Control | 4.2 ± 0.28 d | 2.4 ± 0.08 d | 1.1 ± 0.06 d | 10.4 ± 0.02 c | 1.5 ± 0.02 c | 72.7 ± 0.31 d | 51.1 ± 0.85 d |
| AP20 | 2.3 ± 0.10 e | 2.8 ± 0.15 e | 1.4 ± 0.30 d | 11.0 ± 0.05 d | 1.3 ± 0.00 b | 74.3 ± 0.37 d | 49.5 ± 0.56 de |
| AP40 | 2.5 ± 0.09 e | 2.9 ± 0.05 e | 5.4 ± 0.55 e | 11.3 ± 0.39 d | 1.1 ± 0.01 d | 70.4 ± 1.38 d | 48.8 ± 0.11 e |
| CP20 | 3.2 ± 0.18 de | 3.4 ± 0.03 ef | 1.3 ± 0.04 d | 10.1 ± 0.15 c | 1.4 ± 0.01 e | 73.1 ± 0.10 d | 44.8 ± 0.14 f |
| CP40 | 3.5 ± 0.13 de | 4.1 ± 0.07 f | 2.6 ± 0.17 f | 10.8 ± 0.05 d | 1.3 ± 0.00 b | 70.9 ± 0.14 d | 39.2 ± 0.46 g |
| Sample | ΔE* |
|---|---|
| Control | - |
| AP20 | 10.58 |
| AP40 | 10.97 |
| CP20 | 11.10 |
| CP40 | 11.15 |
Disclaimer/Publisher’s Note: The statements, opinions and data contained in all publications are solely those of the individual author(s) and contributor(s) and not of MDPI and/or the editor(s). MDPI and/or the editor(s) disclaim responsibility for any injury to people or property resulting from any ideas, methods, instructions or products referred to in the content. |
© 2024 by the authors. Licensee MDPI, Basel, Switzerland. This article is an open access article distributed under the terms and conditions of the Creative Commons Attribution (CC BY) license (https://creativecommons.org/licenses/by/4.0/).
Share and Cite
Salari, S.; Castigliego, T.; Ferreira, J.; Lima, A.; Sousa, I. Development of Healthy and Clean-Label Crackers Incorporating Apple and Carrot Pomace Flours. Sustainability 2024, 16, 5995. https://doi.org/10.3390/su16145995
Salari S, Castigliego T, Ferreira J, Lima A, Sousa I. Development of Healthy and Clean-Label Crackers Incorporating Apple and Carrot Pomace Flours. Sustainability. 2024; 16(14):5995. https://doi.org/10.3390/su16145995
Chicago/Turabian StyleSalari, Saeed, Thomas Castigliego, Joana Ferreira, Ana Lima, and Isabel Sousa. 2024. "Development of Healthy and Clean-Label Crackers Incorporating Apple and Carrot Pomace Flours" Sustainability 16, no. 14: 5995. https://doi.org/10.3390/su16145995
APA StyleSalari, S., Castigliego, T., Ferreira, J., Lima, A., & Sousa, I. (2024). Development of Healthy and Clean-Label Crackers Incorporating Apple and Carrot Pomace Flours. Sustainability, 16(14), 5995. https://doi.org/10.3390/su16145995

