Next Article in Journal
An Interdisciplinary Approach to Understand the Resilience of Agrosystems in the Sahel and West Africa
Previous Article in Journal
Experimental Study on Seismic Performance of Composite Shear Wall with Horizontal Connection and Frame
 
 
Font Type:
Arial Georgia Verdana
Font Size:
Aa Aa Aa
Line Spacing:
Column Width:
Background:
Article

A Study on the Daylighting, Energy Consumption, and Climate Adaptability of Curved Mesh Shading Based on the Parametric Performance Design Method

1
Innovation Institute for Sustainable Maritime Architecture Research and Technology, Qingdao University of Technology, Qingdao 266033, China
2
Faculty of Environmental Engineering, The University of Kitakyushu, Kitakyushu 808-0135, Japan
*
Author to whom correspondence should be addressed.
Sustainability 2024, 16(13), 5549; https://doi.org/10.3390/su16135549
Submission received: 15 May 2024 / Revised: 19 June 2024 / Accepted: 26 June 2024 / Published: 28 June 2024

Abstract

Building shading forms are becoming increasingly diversified, driven by both building performance requirements and architectural aesthetics. The application of computer technology in shading design and performance evaluation is becoming increasingly popular. This study adopted a parametric performance design method and created a one-click workflow for parametric curved mesh shading design and performance evaluation based on the Grasshopper platform and Ladybugtools. Applying this workflow, this paper takes five typical cities in different climate zones in China as examples to analyze the impact rules of curved mesh shading parameters (blade width, number of horizontal grids, and number of vertical grids) on building daylighting and energy consumption and explore the application potential of curved mesh shading. This study found that curved mesh shading has the best potential to improve daylighting in Harbin and can increase the annual average UDIa (300~3000 lux) by 7.42%. In Guangzhou, curved mesh shading has the highest potential for energy saving, which can reduce annual energy consumption by 14.8%. This study can provide theoretical, methodological, and data support for the optimal design of curved mesh shading.

1. Introduction

As environmental and energy problems become increasingly severe, low-carbon and energy-saving buildings have become a common need for social development. In 2020, the total energy consumption and carbon emissions of China’s buildings throughout the process accounted for 45.5% and 50.9% of the country’s total energy consumption and carbon emissions, respectively. Among them, the energy consumption and carbon emissions during the operation phase of the buildings accounted for 21.3% and 21.7% of the country’s total energy consumption and carbon emissions, respectively [1]. As the world’s largest energy consumer, China’s efforts to enhance energy efficiency, especially in building operations, are critical to the global energy and climate landscape [2].
During the building operation stage, windows are the “weak points” of the thermal performance of a room envelope structure (compared to non-transparent structures such as roofs and exterior walls). Windows’ high thermal conductivity leads to higher heat loss in the winter and increased cooling energy in the summer [3,4]. Large glass curtain walls in public buildings in China are also one of the main reasons affecting building energy efficiency [5]. Studies show that beneficial heat gain through windows only accounts for 45% of heat loss [6]. However, as a medium for indoor users to experience the natural changes outdoors, windows can bring a large amount of daylighting and improve the visual comfort of users [7]. Windows are an indispensable part of buildings. Shading can adjust indoor daylighting and heat environment [8] (overheating and over daylighting caused by windows). It reduces the energy consumption of air conditioning and lowers the risk of urban high temperatures [9]. Due to its simplicity and flexibility, it has become a commonly used passive energy-saving method in current buildings.
In the development process of architectural shading, the performance requirements of buildings and the aesthetic creativity of architects are important sources of innovation in shading forms [10,11]. Building performance is affected by factors such as climate environment [12] (latitude, altitude, climate zone, etc.), building design [13] (geometry, type, orientation, etc.), and shading design [14]. This has also resulted in architectural shading receiving great attention at present, especially the innovation of shading forms and the optimization of shading performance. There are many forms of shading that have appeared in existing shading research, including traditional overhangs [15], louver shading [16], roller blinds [17], as well as emerging dynamic facade shading based on origami [18] and other complex graphic shading [19]. The impact of shading on building performance is mainly reflected in daylighting, energy consumption, thermal comfort, and visual comfort. Shading for Housing Design Guide for a Changing Climate [20], published in 2023, introduces the performance and applicability characteristics of 19 common shading types at six latitudes. This is also a summary of common building shading forms and performances.
However, in architectural practice, some shading forms are produced according to the aesthetic creation of architects. Although they have been used in practice, there have been few studies on their performance. Curved mesh shading is one of them, which has been applied in architectural practice for a long time. American architect Vladimir Ossipoff used a curved mesh structure as the building’s facade shading when he designed the IBM Building in 1962 (Figure 1). The Messe Basel New Hall in Switzerland, the King Fahad National Library in Saudi Arabia, and Bruno Bischofberger’s Art Complex in Zurich (Figure 1), all completed in the 21st century, have also utilized the design of curved mesh shading. Previous studies have shown that curved mesh shading can indeed reduce the cooling energy consumption of buildings [21]. The curved design elements can bring more diverse facade effects to the building. The shading angle of mesh shading is also greater than that of simple horizontal or vertical shading, which can meet the shading needs of different directions in different climate zones. In addition, curved mesh shading can make the sunlight reflected by the shading blades entering the room more evenly dispersed, which is conducive to improving the level of daylighting in the room. However, there is currently a lack of research on the performance of curved mesh shading design throughout the year, which is also the main research content of this paper.
Due to the advancement of computer technology, building performance simulation has become a very convenient and useful method for studying the shading performance of buildings. However, research found that just 41% of designers employ building performance simulation to increase energy efficiency [26]. On the one hand, it is difficult to fully consider the impact of multiple factors on building performance [27], which requires professional knowledge of engineering practices. In addition, some professional simulation software (EnergyPlus, DoE-2, TRNsys, etc.) is also required, which often requires users to have computer programming capabilities. This makes it more difficult for architects to evaluate shading performance using software simulation, resulting in inaccuracies in the design process. Ladybugtools on the Grasshopper platform incorporates a number of common simulation engines, including daylight and energy consumption models. Grasshopper and Ladybugtools can be used to establish a simple and flexible parameter design and performance evaluation process. Architects only need to change the corresponding parameters to evaluate shading solutions under different conditions and further export visual graphical analysis [28]. Architects can clearly understand the impact of various factors. They can also acquire insight into the potential of different designs in the early design stage and provide more flexible design options [29].
Based on the parametric performance design method, this study combines parametric design and performance evaluation, using the Grasshopper platform and Ladybugtools to establish a one-click solution generation and performance evaluation process for curved mesh shading design. This study has two purposes: (1) to explore the influence of curved mesh shading parameters on daylighting and energy consumption of buildings and (2) to clarify the application potential and value of curved mesh shading for daylighting and energy saving in different climate zones. This study hopes to provide a methodological reference and data support for the optimization of shading designs and play a positive role in the application and promotion of curved mesh shading designs.

2. Methods

2.1. Parametric Performance Design

Parametric performance design is a method that combines parametric modeling, solution generation, and performance evaluation. The method establishes the relationship between design elements (parameters) and design goals (evaluation system). Parametric performance design methods allow architects to modify algorithms or rules to force the computer to generate multiple designs. Scheme generation, modification, and evaluation are combined into a cycle that can be driven by performance. This circular process enables designers to focus on the relationship between parameters and objectives during the design process and ultimately improve the quality and efficiency of the design.
Figure 2 shows the research workflow, which consists of five stages. The first stage is to clarify the research object (curved mesh shading), the design method (parametric performance design), and the metrics (energy consumption and daylighting). The second stage is modeling, which includes the baseline case model and the curved mesh shading model. At this stage, the model is defined as a series of interconnected parameters. The third stage is to establish the daylighting and energy consumption simulation process based on the second stage. This stage takes into account the physical characteristics, climatic conditions, and building environment of the model. The fourth stage is scheme generation and performance simulation. In this stage, a large number of schemes are generated, and all simulation results are recorded by setting the variation of curved mesh shading parameters. Finally, the rule of building performance (daylighting and energy consumption) influenced by curved mesh shading parameters (blade width, number of vertical grids, and number of horizontal grids) is discussed. The application potential and value of curved mesh shading in different climate zones are elucidated.

2.2. Parametric Model

2.2.1. Platform Introduction

This research is based on the Grasshopper platform and Ladybugtools. Grasshopper is an integrated platform based on Rhino. Grasshopper realizes real-time visual interaction and improves design efficiency through the combination of a variety of arithmetic devices. Honeybee integrates several simulation engines, including the daylighting simulation engine (Radiance) and the energy consumption simulation engine (EnergyPlus), which can analyze the daylighting and energy consumption of buildings. Ladybug and Honeybee frees architectural design from empirical judgment and time-consuming experimental testing. The building’s daylight environment and energy consumption are quantitatively evaluated by computer simulation.

2.2.2. Building Model

This study selected a simple modular house as a case model to avoid the influence of the building itself on the simulation results. The case building is located in Qingdao, Shandong Province. It is a small experimental room located on the roof. This study used it as a single office. The enclosure structure of this room is mainly composed of colored steel plates, rock wool, double-layer glass, and some plates. This enclosure structure is often used as a temporary building. The room area is 9 m2, and the length, width and height of the room are 3 m. The window is facing south, the window size is 1.2 m × 1.2 m, and the window sill height is 0.9 m. The east side of the room is adjacent to other rooms of the same structure, and there is no obstruction around it. The laboratory room photos are shown in Figure 3.
Table 1 shows the thermal performance of the building model and equipment. The thermal performance of the building envelope is calculated by actual measurement. Indoor air conditioning load, artificial lighting, and working hours are set in accordance with the office building requirements of “General code for energy efficiency and renewable energy application in buildings” [30]. The system working hours are 7:00–18:00. The ideal air conditioning system selected in this study can eliminate energy efficiency differences. Table 2 shows the basic optical properties of the envelope.

2.2.3. Curved Mesh Shading Design

In the process of generating curved mesh shading, we first divide the window into multiple rectangular grids, select the midpoints of the upper and side edges of the rectangle as curve control points, then generate a third-order curve, and finally mirror the curve and extrude it along the normal direction of the window to form a curved mesh shading. In the simulation process, we ignored the thickness of the curved mesh shading blades.
In this paper, mesh size and blade width are used as variables to control the shape of arc mesh shading. After the window size is determined, the width and height of the individual mesh can be controlled by the number of horizontal and vertical grids (Figure 4). Since the total number of grids can be an integer and is easy to calculate, this paper therefore uses the blade width, the number of horizontal grids, and the number of vertical grids as control parameters. The setting ranges of the three parameters are shown in Table 3, and 216 shading schemes can be generated in each climate zone. Too dense grids and too wide blades will greatly reduce the visual experience of indoor users. Smaller parameter intervals will greatly increase the calculation time. Therefore, the parameter range and interval are set according to the above experience.

2.3. Evaluation Indicators

2.3.1. Daylighting Indicators

Table 4 shows a series of commonly used daylighting indicators. Among these indicators, only useful daylight illumination (UDI) takes into account changes in time and the environment. At the same time, UDI also takes into account the minimum visual daylight requirements and visual discomfort caused by excessive daylight [31]. According to Mardaljevic’s research, useful daylight illumination in the range of 300–3000 lux can largely eliminate the need for artificial lighting [32]. Therefore, this study uses useful daylight illumination 300–3000 lux as the evaluation indicator of daylighting. The daylight illumination results can be divided into three intervals according to the illumination range: insufficient useful daylight illumination (UDIl<300), excessive useful daylight illumination (UDIe>3000), and autonomous useful daylight illumination (UDIa300–3000). The calculation equation for UDI is as follows [33,34]:
U D I = i f i × t i i t i [ 0 , 1 ] U D I l : f i = 1       E i < 300 0       E i 300 U D I a : f i = 1       300 E i 3000 0       E i < 300 , E i > 3000 U D I e : f i = 1       E i > 3000 0       E i 3000
where t i represents each occupied hour in the calculation time, f i is a weighting factor, and E i represents the illuminance value of each hour.

2.3.2. Energy Consumption Indicators

The energy consumption of buildings in this study includes lighting energy cooling energy and heating energy. The room air conditioning system is set to “ideal air load”. Energy use intensity (EUI) and energy-saving rate (P) were used as evaluation indexes of energy consumption. Energy use intensity (EUI) is a common index for the quantitative calculation of energy consumption. It represents the ratio between energy consumption and building area in kWh/m2. The energy-saving rate (P) is calculated as follows:
P = Q b Q s Q b × 100 %
where Q b is the building energy consumption under the baseline condition. Q s is the total building energy consumption under shading conditions (including lighting energy, cooling energy, and heating energy), in kWh/m2.

2.3.3. Model Validation Methods

This paper uses the following two indicators to check the model’s accuracy: mean bias error (MBE) [38] and coefficient of variation of the root-mean-squared error (CV_RMSE) [39]. The calculation equations for the MBE and CV_RMSE are listed in Equations (3) and (4), as follows:
M B E = Σ i = 1 n M i S i Σ i = 1 n M i ( % )
C V R M S E = 1 y ¯ Σ i = 1 n M i S i 2 n ( % )
where S i and Mi refer to the time intervals ( i ) of simulation and measurement, respectively, y ¯ is the average value of measurement, and n is the total value for calculation.

2.4. Climate Zones and Typical City Selection

This paper is based on the thermal design zoning method of “Code for thermal design of civil building” [40]. Five different typical cities were selected from five climate zones. This study was used to assess the impact of curved mesh shading on building performance and explore its application potential in different climate zones. Considering the representativeness and typicality of cities, this study selected Harbin (severe cold area), Qingdao (cold area), Wuhan (hot summer and cold winter area), Kunming (temperate area), and Guangzhou (hot summer and warm winter area) to analyze the influence of curved mesh shading on building performance. Figure 5a shows representative cities in China’s five climate zones. Figure 5b shows the monthly average temperature and solar irradiance for typical cities (the meteorological data come from https://climate.onebuilding.org/, accessed on 28 June 2024).

3. Results

3.1. Model Validation Results

In the temperature verification, the indoor temperature changes in the case building were monitored throughout the day on 21 November 2022, and the outdoor meteorological data were recorded in real time by the weather station (the weather station was located on the roof of the case building at 36°06′ N, 120°22′ E). The detected meteorological data were then used in the model to obtain the full-day indoor temperature changes. Finally, the measured indoor temperature data were compared with the simulated indoor temperature data. In the daylighting verification, a completely overcast day (27 November 2022) was chosen, the room was divided into nine grids within a plane 0.75 m above the ground indoors, and the illuminance at the middle point of each grid at 12 and 14 o’clock was monitored. Then, the monitored illuminance was compared with the simulated illuminance.
According to the ASHRAE Guideline (14-2014) [41], the thermal simulation model is considered to be successfully verified if the hourly MBE value is within ±10% and the hourly CV (RMSE) value is within 30%. Figure 6 shows the temperature verification results. The values of MRE and CV (RMSE) are −1.29% and 2.15%, respectively. So, the performance error of the thermal simulation model in this study is within an acceptable range.
Table 5 shows the daylight verification results of the test time. It can be seen that both the measured and simulated data are greater than 100 lux, and the illuminance value distribution is also relatively reasonable. From the existing research, Merghani and Bahloul [38] believe that an MBE value of 20% and an RMSE value of 32% in illuminance simulations are acceptable. In a study of daylight performance in classrooms in hot areas, the MBE and CV (RMSE) values of Khaoula’s daylight verification results are −19.57% and 26.01%, respectively [42]; Yoon et al. [43] studied six simulation algorithms and found that the CV (RMSE) of the daylight model ranged from 25.36% to 42.05%. Using more optimized modeling and measurement techniques can help to reduce daylight simulation errors. Due to the limitations of measuring instruments, field tests, and modeling processes, these errors in daylight models are acceptable. Therefore, these model and related parameters will be applied in the following research.

3.2. The Impact of Curved Mesh Shading on Building Performance

3.2.1. The Impact of Curved Mesh Shading on Daylighting of Buildings

Figure 7 shows the impact of curved mesh shading on annual daylighting in five typical cities. Curved mesh shading increases UDIl (<300 lux) and decreases UDIe (>3000 lux) throughout the year, while the impact on UDIa (300–3000 lux) varies by climate zone and shading scheme. In Harbin, Qingdao, and Wuhan, more than 75% of shading solutions can increase UDIa, while in Kunming and Guangzhou, less than 50% can improve UDIa. This demonstrates that appropriate shading solutions can increase the amount of indoor daylighting throughout the year in all five climate zones. In terms of the degree of improvement in UDIa, Guangzhou’s UDIa under baseline conditions was 79.05%. The UDIa of the optimal shading solution was 81.04%, an increase of less than 2%, whereas Harbin’s UDIa under baseline conditions was as low as 68.45%, and the UDIa of the optimal shading solution was 75.5%, an increase of approximately 7%. Qingdao, Wuhan, and Kunming have less effect on UDIa enhancement. It can be found that the higher the latitude, the lower the baseline daylighting level and the more obvious the enhancement effect of shading. This is because higher latitudes reduce the average solar altitude angle throughout the year. This increases the amount of daylight entering the room and makes the UDIe larger. Shading effectively reduces UDIe in high-latitude areas, thereby improving the level of indoor daylighting.
Figure 8 shows the monthly UDIa of five typical cities. Overall, the solar altitude angle and the baseline UDIa are lower in winter, but the improvement effect is significantly higher than in summer. In summer, curved mesh shading may also reduce the level of daylighting. In Harbin from October to March, all shading schemes can improve the level of indoor daylighting. The effect of curved mesh shading on improving UDIa in Qingdao is worse than that in Harbin. In May–July, more than half of the shading schemes in Qingdao will reduce UDIa. The improvement effect of UDIa in winter is more obvious, and the optimal shading scheme in January can improve it by about 12%. In Guangzhou, from March to August, curved mesh shading can hardly optimize the indoor UDIa. Moreover, the improvement effect of UDIa in Guangzhou in winter is also very limited, and the maximum improvement can be 4.4% in December. Therefore, in terms of improving daylighting, the effect of curved mesh shading in winter is significantly greater than that in summer, and it is more suitable for high-latitude areas than low-latitude areas.

3.2.2. The Impact of Curved Mesh Shading on Building Energy Consumption

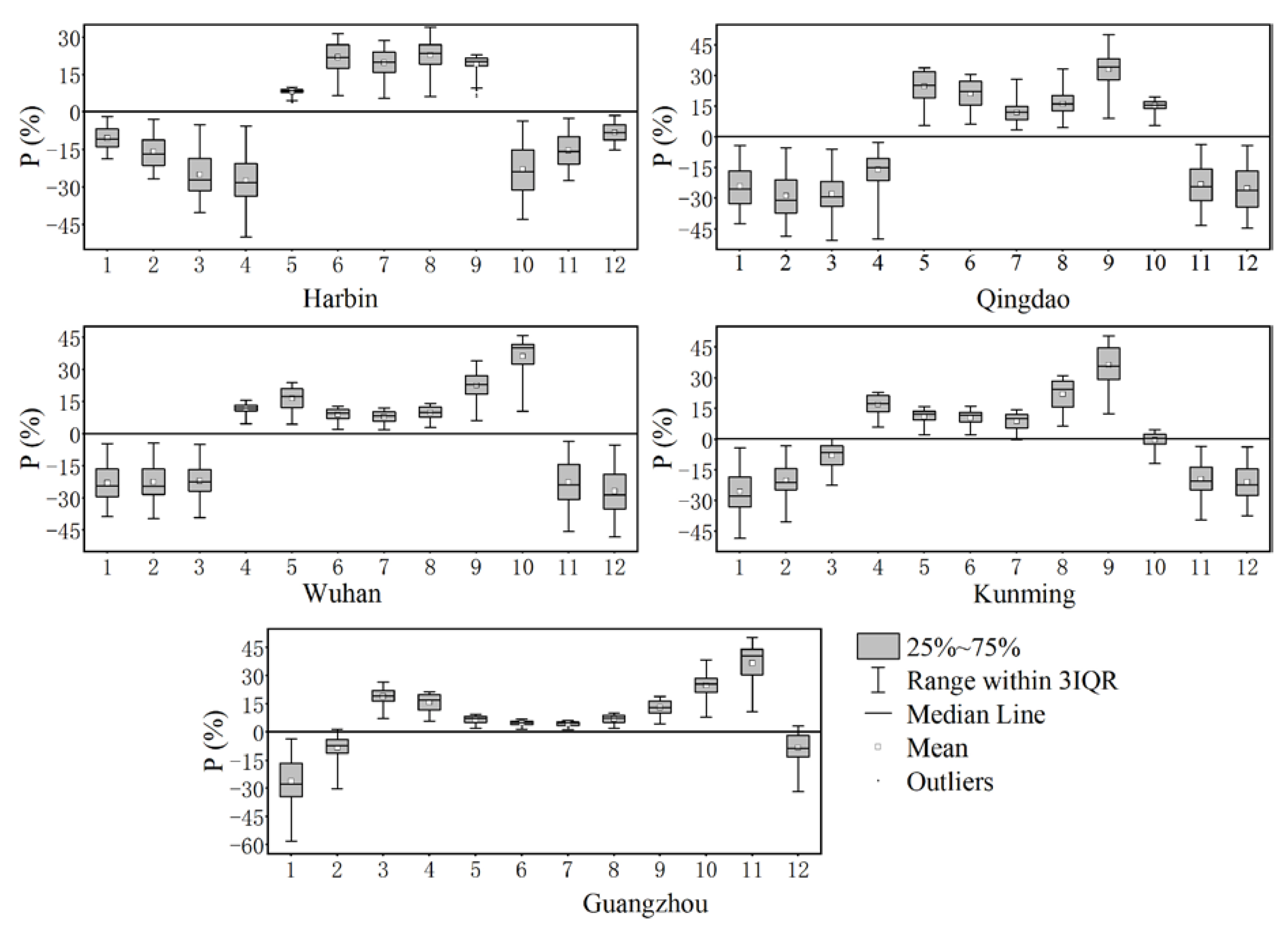
Figure 9 shows the annual energy-saving rate of curved mesh shading in five typical cities. The energy-saving rates (P) in Harbin, Qingdao, and Kunming are all negative, with no energy-saving effect. The majority of shading programs in Harbin had an energy-saving rate from −5% to −15%, while the majority of shading programs in Qingdao and Kunming were within −10%. Curved mesh shading can achieve energy-saving effects in Wuhan and Guangzhou, but the effect is limited in Wuhan. Wuhan’s optimal shading solution has an energy-saving rate of only 2.5%, whereas in Guangzhou it can reach 13.3%. The above results are determined by climatic conditions and the characteristics of curved mesh shading. Harbin and Qingdao belong to the severe cold area and cold area, respectively. Therefore, they are greatly affected by winter throughout the year, so the heating energy is greater than the cooling energy. However, the effect of shading on energy consumption is only to reduce the cooling energy, but at the same time, it will increase the heating energy and lighting energy. Therefore, the energy-saving effect of shading is more suitable for areas dominated by cooling energy. Kunming belongs to the temperate area, with a higher altitude than the other four typical cities. The annual temperature is mostly between 10 °C and 20 °C, and the cooling demand is relatively small, so curved mesh shading cannot play an energy-saving effect throughout the year.
Figure 10 shows the monthly energy-saving rates in five typical cities. The energy-saving effect of curved mesh shading is limited by climate zones throughout the year. However, from the perspective of cooling demand months, the energy-saving effect of curved mesh shading is still obvious. Since the energy-saving rate is determined by the baseline energy consumption and design energy consumption, under the premise of different monthly baseline energy consumption, a low energy-saving rate does not mean bad shading energy-saving performance. Guangzhou’s energy-saving rate from May to August was around 5%, the smallest among the five typical cities. But Guangzhou’s monthly energy savings can reach 15.7 kWh/m2, higher those of other cities. This is because from May to August, the cooling energy in Guangzhou is large, and the energy consumption reduced by shading is too small. In addition, the energy-saving effect of curved mesh shading is different in these five climate zones. Annual temperature analyses of five typical cities found that lower latitudes result in higher year-round temperatures and better shading.

3.3. The Impact of Curved Mesh Shading Parameters

3.3.1. The Impact of Curved Mesh Shading Parameters on Daylighting

Figure 11 shows the impact of shading parameters (blade width, number of vertical grids, and number of horizontal grids) on indoor daylighting in five typical cities. All three shading parameters will affect the level of indoor daylighting, but the impact trends are different in these five typical cities. The five typical cities in Figure 11 are compared and analyzed. In Harbin, as the blade width increases, the average UDIa (300~3000 lux) shows a trend of first increasing and then decreasing. The peak value of the average UDIa occurs when the blade width is between 0.2 m and 0.25 m. The influence of blade width on the average UDIa in Qingdao and Wuhan also shows the same trend. However, the blade width corresponding to the UDIa peak in Qingdao and Wuhan gradually decreases. In Kunming and Guangzhou, the UDIa value decreases with the increase in blade width. The decrease in UDIa value in Guangzhou is greater than that in Kunming. In addition, as the latitude decreases, the number of vertical and horizontal grids of the shading has a greater impact on UDIa. In Harbin, as the number of vertical and horizontal grids of the shading increases, the value of UDIa does not change much. In Kunming and Guangzhou, as the number of vertical and horizontal grids of shading increases, the value of UDIa gradually decreases.
Analyses of the daylighting value of the baseline condition (without shade) and the corresponding UDIa value of different shade parameters are shown in Figure 11. The latitude of typical cities decreases, and the influence of curved mesh shading on UDIa presents a negative effect. In Harbin, UDIa can be reduced only when the blade width and the number of vertical and horizontal grids of shading schemes are large. The proportion of harmful programs increases with decreasing latitude. Only a blade width of 0.05 m in Guangzhou can ensure that curved mesh shading is fully beneficial to UDIa. This is determined by the sun’s altitude angle and the sun’s path. It can be found by comparing the effects of three shading parameters on UDIa in five typical cities. The influence of blade width on UDIa is greater than the number of vertical and horizontal grids.

3.3.2. The Impact of Curved Mesh Shading Parameters on Energy Consumption

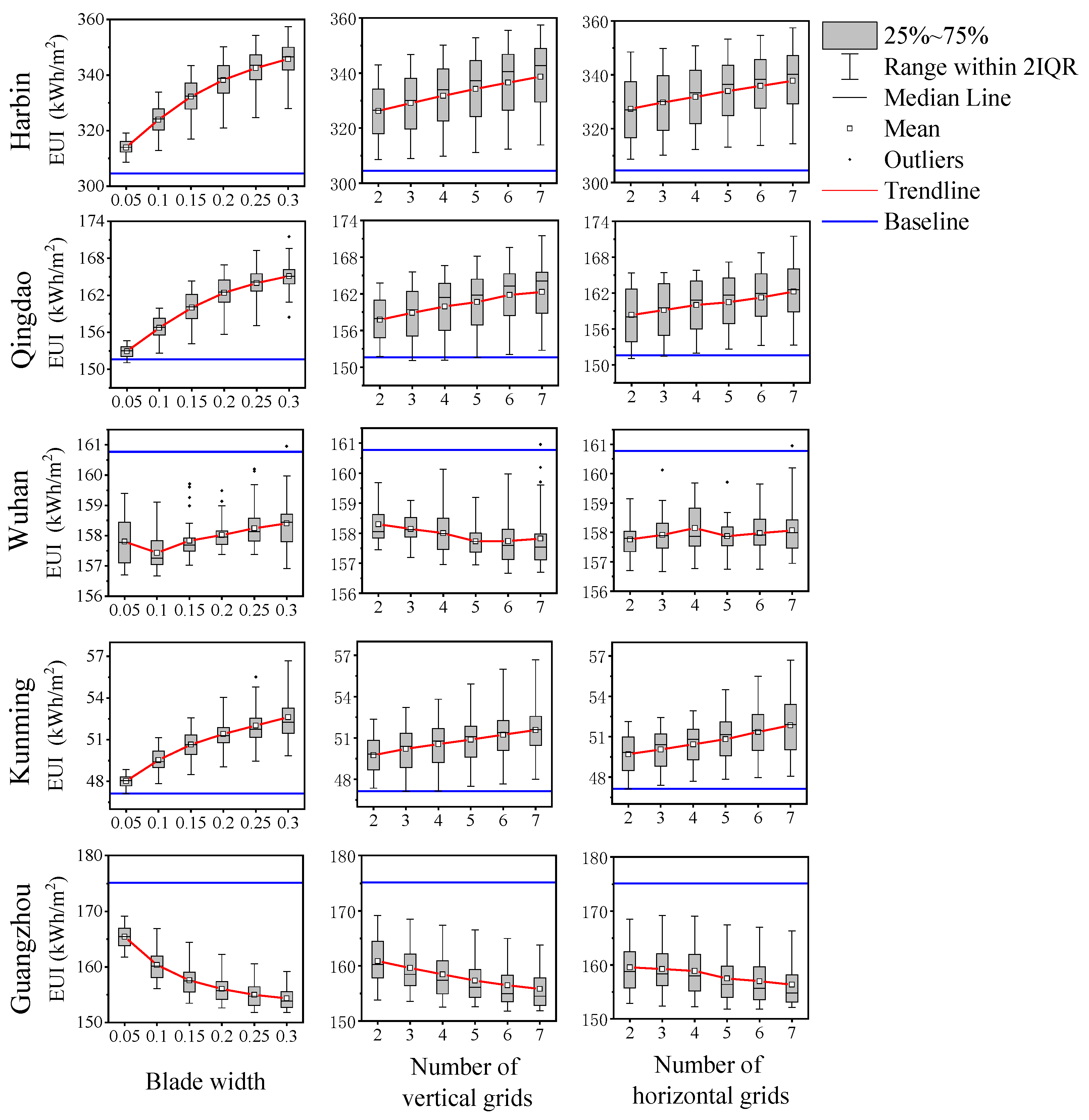
Figure 12 shows the influence of curved mesh shading parameters on building energy consumption in five typical cities. Overall, the five typical cities can be divided into two categories: the first category comprises Harbin, Qingdao, and Kunming. Their curved mesh shading does not achieve energy-saving effects throughout the year. In the first category of cities, the increase in blade width and the number of vertical and horizontal grids of the shading will lead to an increase in energy consumption. It was also found that the higher the latitude, the higher the EUI. The second category comprises Wuhan and Guangzhou, where curved mesh shading can effectively reduce the indoor EUI throughout the year. In Wuhan, the larger the blade width and the number of vertical grids of the shading, the EUI first decreases and then increases. The EUI value is lowest when the blade width is 0.1 m and the number of vertical grids is six. In Guangzhou, as the blade width and the number of vertical and horizontal grids of the shading increase, the EUI value gradually decreases. The reason for this situation is closely related to the local temperature.
Harbin and Qingdao belong to severe cold and cold areas, respectively, while Kunming belongs to a mild area. The average annual temperature of these three cities is lower than that of Wuhan and Guangzhou. Shading will increase heating energy, so it cannot save energy. As the parameters of curved mesh shading increase, the EUI will also increase. Therefore, if energy saving is the goal, the fixed curved mesh shading throughout the year will not be suitable for the climate zones represented by Harbin, Qingdao, and Kunming. When comparing the effects of three shading parameters on building EUI in five typical cities, it was found that the influence of blade width on EUI is greater than the number of vertical and horizontal grids.

3.4. The Potential of Curved Mesh Shading for Year-Round Applications

3.4.1. The Potential for Year-Round Daylighting

Table 6 shows the optimal solutions for daylighting of curved mesh shading in five typical cities. These solutions can improve the level of daylighting throughout the year. The higher the latitude of the city, the higher the improvement in UDIa value. Among them, Harbin can increase UDIa by 7.05%, while Guangzhou can only increase it by 2%. At the same time, it can be seen that, except for Kunming, the number of horizontal grids in the optimal solutions of other cities is much larger than the number of vertical grids. The number of horizontal grids and vertical grids of the optimal solution in Kunming are similar.
Figure 13 shows the visualization of baseline conditions and optimal daylighting solutions throughout the year. The area of each color block in the grid represents the proportion of time that different illuminance ranges occupy throughout the year. Overall, the design condition reduces the proportion of UDIe and increases the proportion of UDIa and UDIl. In particular, the proportion of excessive daylight near the window is reduced. The optimal shading schemes for daylighting throughout the year in five typical cities are compared. Although the UDIe ratio in Harbin and Qingdao has decreased, the proportion of insufficient illumination in the deep part of the room has also increased. In Kunming and Guangzhou, the over-illumination near the windows has been effectively reduced, and the loss of useful daylighting in the deep part of the room is also less.

3.4.2. The Potential for Year-Round Energy Saving

Table 7 shows the optimal energy consumption of curved mesh shading in five types of cities throughout the year. The total energy is the sum of the cooling energy, heating energy, and lighting energy. It can be seen that compared with the baseline condition, the curved mesh shading design with the lowest energy consumption in Harbin will increase the total annual energy consumption intensity by 4.12 kWh/m2. Qingdao, Wuhan, Kunming, and Guangzhou can decrease this figure by 0.56 kWh/m2, 4.1 kWh/m2, 0.02 kWh/m2, and 23.33 kWh/m2, respectively. Curved mesh shading increases annual artificial lighting energy and heating energy and reduces cooling energy. In Harbin, Qingdao, Wuhan, Kunming, and Guangzhou, annual artificial lighting energy increased by 0.05 kWh/m2, 0.06 kWh/m2, 0.29 kWh/m2, 0.04 kWh/m2, and 1.83 kWh/m2, respectively. Heating energy increased by 6.95 kWh/m2, 5.07 kWh/m2, 10.08 kWh/m2, 1.81 kWh/m2, and 3.31 kWh/m2, respectively. Cooling energy decreased by 2.88 kWh/m2, 5.69 kWh/m2, 14.47 kWh/m2, 1.86 kWh/m2, and 28.47 kWh/m2, respectively.
The use of curved mesh shading will increase the energy of indoor artificial lighting equipment. The use of artificial lighting equipment will also generate a small amount of heat. Therefore, the impact of curved mesh shading on the indoor air conditioning load is complex. The energy-saving characteristics of curved mesh shading are different in different climate zones. In general, the energy-saving effect of arc mesh shading is more significant in areas with higher average temperatures and lower latitudes.

3.5. The Potential of Curved Mesh Shading Based on Recommended Shading Months

Through the analysis of the previous sections, it was found that curved mesh shading can reduce cooling energy consumption and avoid excessive daylighting. However, curved mesh shading is not beneficial at all times throughout the year and may sometimes increase the energy consumption of indoor artificial lighting energy and heating energy. In order to explore the maximum application potential of curved mesh shading, it is necessary to adjust the shading time to ensure that the operation of the shading is beneficial to the building as much as possible. Due to the ever-changing weather conditions and the complex impact of shading on building performance, precise shading control at every moment is difficult. This will also increase the input cost, but the benefits obtained are relatively low. Thanks to the long-term stability of the climate, adjusting the opening status of curved mesh shading on a monthly basis can greatly enhance the shading potential.

3.5.1. The Potential for Daylighting with Curved Mesh Shading Based on Recommended Shading Months

To explore the potential of curved mesh shading for maximum daylighting in different climate zones, it is necessary to develop shading control schedules corresponding to different typical cities. In terms of daylighting, curved mesh shading is mainly used to reduce UDIe and increase the proportion of UDIa. Figure 14 shows the monthly UDIe of the baseline conditions (no shading) in five typical cities. It can be seen that the demand for shading in winter is greater than in summer, and the demand for shading in high-latitude areas is higher than in low-latitude areas. In order to reflect the inhibitory effect of curved mesh shading on excessive daylighting as much as possible, this study extracts the months with an average UDIe of more than 10% in the baseline conditions as the recommended shading months and does not shade in other months, in order to explore the maximum daylighting potential in different climatic regions.
The recommended shading months and the optimal curved mesh shading scheme for daylighting in five typical cities are shown in Table 8. After shading according to the recommended shading months, the annual UDIa of Harbin, Qingdao, Wuhan, Kunming, and Guangzhou increased by 7.42%, 5.93%, 3.84%, 3.32%, and 2.28%, respectively. Compared with shading throughout the year, the increase in annual UDIa after adjusting according to the recommended shading months is slightly larger. Although the annual increase is limited, the daylighting is significantly improved during the shading months.

3.5.2. The Potential for Energy Saving with Curved Mesh Shading Based on Recommended Shading Months

In terms of energy consumption, curved mesh shading increases the energy consumption of heating and lighting and reduces the energy consumption of cooling. In order to explore the energy-saving potential of curved mesh shading in different climatic regions, it is necessary to maximize the role of curved mesh shading in reducing cooling energy consumption and avoiding increasing heating and lighting energy consumption. The annual cooling and heating energy consumption of the baseline conditions in five typical cities are shown in Figure 15. By comparing the size of cooling and heating energy consumption per month, the months dominated by cooling are extracted for shading. The obtained shading schedule based on energy consumption needs is shown in Table 9.
The recommended shading months and the best energy-saving design for curved mesh shading in five typical cities are shown in Table 9. Compared with the baseline conditions, the total energy consumption and cooling energy consumption of curved mesh shading decrease, while the heating and lighting energy consumption increase. The annual total energy consumption of the five typical cities of Harbin, Qingdao, Wuhan, Kunming, and Guangzhou decreased by 12.05 kWh/m2, 17.72 kWh/m2, 20.19 kWh/m2, 3.4 kWh/m2, and 25.93 kWh/m2, respectively, and the cooling energy consumption decreased by 14.55 kWh/m2, 20.2 kWh/m2, 22.13 kWh/m2, 4.47 kWh/m2, and 28.66 kWh/m2, respectively.

4. Discussion

In Section 3, this study explores the effects of curved mesh shading design on building daylighting and energy consumption in different climate zones and demonstrates its potential for daylighting and energy-saving applications. In terms of daylighting, curved mesh shading has the greater potential to improve daylighting in high-latitude areas, primarily by reducing the proportion of excessive daylighting in winter. In terms of energy consumption, curved mesh shading has a more significant energy-saving effect in areas with higher temperatures, and energy saving mainly occurs in summer. Throughout the year, curved mesh shading is not always advantageous for daylighting and energy consumption. And there is an obvious competition between daylighting and energy consumption. Therefore, better building performance can be achieved by adjusting the working time of curved mesh shading.
This study calculated the daylighting and energy-saving potential of curved mesh shading under two schedules: full year and recommended shading months. The recommended shading months are determined by the UDIe and cooling energy. This study found that daylighting was improved, but the improvement was small. Compared with year-round shading, shading in the recommended shading months has the most significant effect on improving the annual average UDIa in Qingdao, with an increase of 0.65%. At the same time, when shading is performed according to the recommended shading months, the energy consumption is also significantly improved. Compared with year-round shading, Qingdao can reduce annual energy consumption by 16.17 kWh/m2, with the best energy-saving effect. More sophisticated shading control is more beneficial to improving building performance, but the required process is more complicated, and the cost investment will also increase. Compared with simple vertical or horizontal shading, the adjustment of curved mesh shading is indeed more difficult. Figure 16 provides two methods for adjusting curved mesh shading. Method A can adjust the shading effect by installing a slide rail on the wall, while method B requires the use of elastic materials.
In terms of performance, curved mesh shading can reduce glare risk and cooling energy in all climate zones. Although the energy-saving performance of curved mesh shading is limited (it may even increase energy consumption), it can significantly improve daylighting in cities with high latitudes and low average temperatures throughout the year, such as Harbin and Qingdao. On the contrary, in cities with low latitudes and high temperatures throughout the year, such as Guangzhou, the energy-saving effect of curved mesh shading is obvious, but the daylighting benefit is not great. The improvement in indoor daylighting and energy consumption by curved mesh shading is not great in Kunming (Temperate area) due to the combined effects of altitude and latitude. As a result, curved mesh shading is not appropriate for all climate zones and must be chosen depending on local factors, including building users’ needs and climate studies.

5. Conclusions

Compared with existing research, the innovation of this paper lies in the use of parametric performance design methods to establish a simple, flexible visual workflow for the parametric modeling and performance evaluation of curved mesh shading. This paper takes five typical cities in China’s five climate zones as examples to study the daylighting and energy-saving performance of curved mesh shading. It explores the influence of curved mesh shading parameters on daylighting and energy consumption and studies the potential of curved mesh shading for daylighting and energy-saving applications in different climate zones. The main conclusions of this paper are as follows:
(1)
The optimal year-round fixed curved mesh shading solution is beneficial to the daylight of the five typical cities, but the potential for daylighting improvement is different. The annual UDIa in Guangzhou can only be increased by about 2%, while that in Harbin can be increased by about 7%.
(2)
In terms of energy consumption, the effects of fixed curved mesh shading throughout the year on the five typical cities are not always beneficial. In Harbin, it will increase energy consumption throughout the year. In Guangzhou, the energy-saving effect is the best, with an annual energy-saving rate of 13.3%.
(3)
Compared with year-round shading, the daylighting, and energy-saving potentials in the five typical cities have been further improved after controlling the shading time according to the recommended shading months. The improvement in daylighting is small, and the energy-saving effect is significantly improved. Qingdao has the largest energy saving, with an energy-saving rate increased by 11%.
(4)
The blade width of curved mesh shading has a greater impact on daylighting and energy consumption than the number of vertical and horizontal grids. Moreover, the higher the latitude, the larger the blade width corresponding to the average UDIa peak. In terms of energy consumption, as the blade width increases, only Guangzhou’s energy consumption gradually decreases, while the energy consumption of the other typical cities will increase.
This study also has some limitations. At the beginning of the design of curved mesh shading, this study only considered its use as shading outside the window. If curved mesh shading is used for the entire building facade or the outside of the building curtain wall, it may not only achieve a better architectural aesthetic effect but also greatly improve the building’s performance.

Author Contributions

Conceptualization, Q.M. and Y.J.; methodology, Y.J. and Q.M.; software, S.R. and Z.Q.; validation, Z.Q. and S.R.; formal analysis, Q.M. and Y.J.; investigation, B.J.D. and W.G.; writing—original draft preparation, Z.Q. and S.R.; writing—review and editing, Y.J. and Q.M.; visualization, Z.Q. and S.R.; supervision, B.J.D. and W.G.; project administration, B.J.D. and W.G.; funding acquisition, Q.M. All authors have read and agreed to the published version of the manuscript.

Funding

This research was funded by the National Natural Science Foundation of China, grant number 52108015.

Institutional Review Board Statement

Not applicable.

Informed Consent Statement

Not applicable.

Data Availability Statement

The data presented in this study are available upon request from the corresponding author.

Acknowledgments

We would like to express our gratitude to the editors and reviewers for their thoughtful comments and constructive suggestions on improving the quality of this paper.

Conflicts of Interest

The authors declare no conflicts of interest.

References

  1. China Association of Building Energy Efficiency. 2022 Research Report of China Building Energy Consumption and Carbon Emissions; China Association of Building Energy Efficiency: Chongqing, China, 2022. [Google Scholar]
  2. IEA. E4 Country Profile: Energy Efficiency in China; IEA: Paris, France, 2021. [Google Scholar]
  3. Wang, X.; Wu, Y.; Dong, X.; Liu, M.; Lei, B.; Mai, X. Optimization of global energy consumption of buildings based on photothermal coupling effect of exterior windows in Qinghai-Tibet plateau. J. Build. Eng. 2024, 85, 108710. [Google Scholar] [CrossRef]
  4. Nikoofard, S.; Ugursal, V.I.; Beausoleil-Morrison, I. Effect of external shading on household energy requirement for heating and cooling in Canada. Energy Build. 2011, 43, 1627–1635. [Google Scholar] [CrossRef]
  5. Zhou, H.; Tian, X.; Zhao, Y.; Chang, C.; Lin, B. Investigation of policy tools for energy efficiency improvement in public buildings in China—Current situation, obstacles, and solutions. City Built Environ. 2024, 2, 2. [Google Scholar] [CrossRef]
  6. Grynning, S.; Gustavsen, A.; Time, B.; Jelle, B.P. Windows in the buildings of tomorrow: Energy losers or energy gainers? Energy Build. 2013, 61, 185–192. [Google Scholar] [CrossRef]
  7. Sadineni, S.B.; Madala, S.; Boehm, R.F. Passive building energy savings: A review of building envelope components. Renew. Sustain. Energy Rev. 2011, 15, 3617–3631. [Google Scholar] [CrossRef]
  8. Chen, G.; Lu, J.; Yao, J.; Zhang, Z.; Deng, W.; Bie, J.; Yang, R.; Guan, R.; Xia, B.; Zhang, J. Approach of establishing a high-resolution shading occupant behavior model in the office building. J. Build. Eng. 2024, 87, 108950. [Google Scholar] [CrossRef]
  9. Ueno, T.; Kumakura, E.; Ashie, Y. Estimation of regional anthropogenic heat from air conditioning systems and related devices in metropolitan commercial districts of Japan. City Built Environ. 2023, 1, 9. [Google Scholar] [CrossRef]
  10. Mfon, I.E. Aesthetic Considerations in Architectural Design: Exploring Pleasure, Arousal, and Dominance. Int. J. Res. Publ. Rev. 2023, 4, 923–935. [Google Scholar]
  11. Li, S.; Liu, L.; Peng, C. A review of performance-oriented architectural design and optimization in the context of sustainability: Dividends and challenges. Sustainability 2020, 12, 1427. [Google Scholar] [CrossRef]
  12. Babaizadeh, H.; Haghighi, N.; Asadi, S.; Broun, R.; Riley, D. Life cycle assessment of exterior window shadings in residential buildings in different climate zones. Build. Environ. 2015, 90, 168–177. [Google Scholar] [CrossRef]
  13. Bellia, L.; Marino, C.; Minichiello, F.; Pedace, A. An Overview on Solar Shading Systems for Buildings. Energy Procedia 2014, 62, 309–317. [Google Scholar] [CrossRef]
  14. Derbas, G.; Voss, K. Assessment of automated shading systems’ utilization and environmental performance: An experimental study. Build. Environ. 2023, 244, 110805. [Google Scholar] [CrossRef]
  15. Krarti, M. Evaluation of energy performance of dynamic overhang systems for US residential buildings. Energy Build. 2021, 234, 110699. [Google Scholar] [CrossRef]
  16. Nazari, S.; MirzaMohammadi, P.K.; Sajadi, B.; Pilehchi Ha, P.; Talatahari, S.; Sareh, P. Designing energy-efficient and visually-thermally comfortable shading systems for office buildings in a cooling-dominant climate. Energy Rep. 2023, 10, 3863–3881. [Google Scholar] [CrossRef]
  17. Do, C.T.; Chan, Y.-C. Daylighting performance analysis of a facade combining daylight-redirecting window film and automated roller shade. Build. Environ. 2021, 191, 107596. [Google Scholar] [CrossRef]
  18. Wu, H.; Zhang, T. Optimal design of complex dynamic shadings: Towards sustainable built environment. Sustain. Cities Soc. 2022, 86, 104109. [Google Scholar] [CrossRef]
  19. Kirimtat, A.; Manioğlu, G. A simulation-based performance evaluation of new generation dynamic shading devices with multi-objective optimization. J. Build. Eng. 2024, 90, 109322. [Google Scholar] [CrossRef]
  20. Pollard Thomas Edwards; Max Fordham; Oxford Brookes University; Martin Arnold. Shading for Housing: Design Guide for a Changing Climate; Pollard Thomas Edwards: London, UK, 2023. [Google Scholar]
  21. Shahdan, M.S.; Ahmad, S.S.; Hussin, M.A. External shading devices for energy efficient building. IOP Conf. Ser. Earth Environ. Sci. 2018, 117, 012034. [Google Scholar] [CrossRef]
  22. The New York Times. Iconic Tropical Brutalist Buildings. Available online: https://www.pinterest.com/pin/562809284684550560/ (accessed on 11 May 2024).
  23. Furuto, A. Messe Basel New Hall. Available online: https://www.archdaily.com/377609/messe-basel-new-hall-herzog-and-de-meuron-by-hufton-crow (accessed on 11 May 2024).
  24. Richters, C. King Fahad National Library/Gerber Architekten. Available online: https://www.archdaily.com/469088/king-fahad-national-library-gerber-architekten (accessed on 11 May 2024).
  25. Architects, B. Bruno Bischofberger Prepares to Unveil Mega Art Complex. Available online: https://news.artnet.com/market/bruno-bischofberger-prepares-to-unveil-mega-art-complex-239724 (accessed on 11 May 2024).
  26. The American Institute of Architects. Architect’s Guide to Building Performance; The American Institute of Architects: New York, NY, USA, 2023. [Google Scholar]
  27. Jiang, Y.; Qi, Z.; Ran, S.; Ma, Q. A Study on the Effect of Dynamic Photovoltaic Shading Devices on Energy Consumption and Daylighting of an Office Building. Buildings 2024, 14, 596. [Google Scholar] [CrossRef]
  28. Barzegar Ganji, H.; Utzinger, D.M.; Bradley, D.E. Create and Validate Hybrid Ventilation Components in Simulation Using Grasshopper and Python in Rhinoceros. In Proceedings of the Building Simulation 2019: 16th Conference of IBPSA, Rome, Italy, 2–4 September 2019; pp. 4345–4352. [Google Scholar]
  29. Feng, K.; Lu, W.; Wang, Y. Assessing environmental performance in early building design stage: An integrated parametric design and machine learning method. Sustain. Cities Soc. 2019, 50, 101596. [Google Scholar] [CrossRef]
  30. GB 55015-2021; General Code for Energy Efficiency and Renewable Energy Application in Buildings. Standardization Administration of China: Beijing, China, 2021.
  31. Nabil, A.; Mardaljevic, J. Useful daylight illuminances: A replacement for daylight factors. Energy Build. 2006, 38, 905–913. [Google Scholar] [CrossRef]
  32. Mardaljevic, J. Climate-based daylight modelling and its discontents. In Proceedings of the CIBSE Technical Symposium, London, UK, 16–17 April 2015; pp. 1–12. [Google Scholar]
  33. Carlucci, S.; Causone, F.; De Rosa, F.; Pagliano, L. A review of indices for assessing visual comfort with a view to their use in optimization processes to support building integrated design. Renew. Sustain. Energy Rev. 2015, 47, 1016–1033. [Google Scholar] [CrossRef]
  34. Ma, Q.; Ran, S.; Chen, X.; Li, L.; Gao, W.; Wei, X. Study on the effect of photovoltaic louver shading and lighting control system on building energy consumption and daylighting. Energy Sources Part A Recovery Util. Environ. Eff. 2023, 45, 10873–10889. [Google Scholar] [CrossRef]
  35. Evans, B.H. Daylight in Architecture; U.S. Department of Energy Office of Scientific and Technical Information: Oak Ridge, TN, USA, 1981. [Google Scholar]
  36. Reinhart, C.F.; Walkenhorst, O. Validation of dynamic RADIANCE-based daylight simulations for a test office with external blinds. Energy Build. 2001, 33, 683–697. [Google Scholar] [CrossRef]
  37. IDM Committee. IES Spatial Daylight Autonomy (sDA) and Annual Sunlight Exposure (ASE), Daylight Metrics Committee. Approved Method IES LM-83-12; Illuminating Engineering Society of North America: New York, NY, USA, 2012. [Google Scholar]
  38. Merghani, A.H.; Bahloul, S.A. Comparison between radiance daylight simulation software results andMeasured on-site data. J. Build. Road Res. 2016, 20, 48–69. [Google Scholar] [CrossRef]
  39. Yang, Y.; Chen, C.; Li, Z.; Guan, D.; Su, F. Electricity consumption characteristics and prediction model of a large airport terminal in Beijing. City Built Environ. 2023, 1, 11. [Google Scholar] [CrossRef]
  40. GB 50176-2016; Code for Thermal Design of Civil Building. Standardization Administration of China: Beijing, China, 2016.
  41. Guideline, A. Measurement of energy, demand, and water savings. ASHRAE Guidel. 2014, 4, 1–150. [Google Scholar]
  42. Lakhdari, K.; Sriti, L.; Painter, B. Parametric optimization of daylight, thermal and energy performance of middle school classrooms, case of hot and dry regions. Build. Environ. 2021, 204, 108173. [Google Scholar] [CrossRef]
  43. Yoon, Y.; Moon, J.W.; Kim, S. Development of annual daylight simulation algorithms for prediction of indoor daylight illuminance. Energy Build. 2016, 118, 1–17. [Google Scholar] [CrossRef]
Figure 1. Curved mesh shading in architectural practice: (a) IBM Building [22]; (b) Messe Basel New Hall [23]; (c) King Fahad National Library [24]; (d) Bruno Bischofberger’s Art Complex [25].
Figure 1. Curved mesh shading in architectural practice: (a) IBM Building [22]; (b) Messe Basel New Hall [23]; (c) King Fahad National Library [24]; (d) Bruno Bischofberger’s Art Complex [25].
Sustainability 16 05549 g001
Figure 2. Research workflow.
Figure 2. Research workflow.
Sustainability 16 05549 g002
Figure 3. Laboratory room photos: (a) Outdoor; (b) Indoor.
Figure 3. Laboratory room photos: (a) Outdoor; (b) Indoor.
Sustainability 16 05549 g003
Figure 4. Curved mesh shading diagram.
Figure 4. Curved mesh shading diagram.
Sustainability 16 05549 g004
Figure 5. Typical cities and their climate analysis: (a) Representative cities in China’s five climate zones; (b) Monthly average temperature and solar irradiance of typical cities.
Figure 5. Typical cities and their climate analysis: (a) Representative cities in China’s five climate zones; (b) Monthly average temperature and solar irradiance of typical cities.
Sustainability 16 05549 g005
Figure 6. Temperature verification results.
Figure 6. Temperature verification results.
Sustainability 16 05549 g006
Figure 7. The impact of curved mesh shading on annual daylighting in five typical cities.
Figure 7. The impact of curved mesh shading on annual daylighting in five typical cities.
Sustainability 16 05549 g007
Figure 8. Monthly UDIa of five typical cities.
Figure 8. Monthly UDIa of five typical cities.
Sustainability 16 05549 g008
Figure 9. The impact of curved mesh shading on annual energy saving in five typical cities.
Figure 9. The impact of curved mesh shading on annual energy saving in five typical cities.
Sustainability 16 05549 g009
Figure 10. Monthly energy-saving rates (P) in five typical cities.
Figure 10. Monthly energy-saving rates (P) in five typical cities.
Sustainability 16 05549 g010
Figure 11. The impact of shading parameters on indoor daylighting.
Figure 11. The impact of shading parameters on indoor daylighting.
Sustainability 16 05549 g011
Figure 12. The impact of shading parameters on indoor energy consumption.
Figure 12. The impact of shading parameters on indoor energy consumption.
Sustainability 16 05549 g012
Figure 13. Visualization of baseline conditions and optimal daylighting solutions.
Figure 13. Visualization of baseline conditions and optimal daylighting solutions.
Sustainability 16 05549 g013
Figure 14. The monthly UDIe of the baseline conditions in five typical cities.
Figure 14. The monthly UDIe of the baseline conditions in five typical cities.
Sustainability 16 05549 g014
Figure 15. The annual cooling and heating energy consumption of the baseline conditions.
Figure 15. The annual cooling and heating energy consumption of the baseline conditions.
Sustainability 16 05549 g015
Figure 16. Curved mesh shading adjustment method: (a) slide; (b) push and pull.
Figure 16. Curved mesh shading adjustment method: (a) slide; (b) push and pull.
Sustainability 16 05549 g016
Table 1. Thermal properties of the building model and building equipment.
Table 1. Thermal properties of the building model and building equipment.
ComponentValueUnit
U-value external wall0.53W/(m2·K)
U-value roof0.66W/(m2·K)
U-value window2.8W/(m2·K)
SHGC-value window0.76_
Building area per capita at peak occupancy10m2/ppl
Internal load lighting8W/m2
Internal load equipment15W/m2
Airtightness0.0003m3/(s·m2)
Ventilation per person0.0083m3/(s·ppl)
Set point (heating–cooling)18–26°C
Table 2. Basic optical properties of the envelope.
Table 2. Basic optical properties of the envelope.
Building ElementsRGB ReflectanceRoughnessSpecularityTransmissivity
Ceiling0.800.1-
Floor0.310.050.05-
Interior wall0.6900.05-
Window glass---0.75
Table 3. Parameters of curved mesh shading.
Table 3. Parameters of curved mesh shading.
VariableRange of ValuesUnit
Number of vertical grids2, 3, 4, 5, 6, 7piece
Number of horizontal grids2, 3, 4, 5, 6, 7piece
Blade width0.05, 0.1, 0.15, 0.2, 0.25, 0.3meter
Table 4. Commonly used daylighting indicators.
Table 4. Commonly used daylighting indicators.
NameDefinitionAdvantageDisadvantage
Daylight Illuminance (DI)The luminous flux per unit area, unit is lux.Simple, direct, and easy to evaluate.Illuminance is a local short-term indicator, and it is difficult to evaluate the daylight performance of the entire space over a longer period.
Daylight Factor (DF)The ratio of the daylight illumination at a given point on a given plane due to the light received directly or indirectly from the sky of assumed or known luminance distribution to the illumination on a horizontal plane due to an unobstructed hemisphere of this sky [35].This indicator cannot show the absolute value of illuminance and ignores factors such as climatic conditions, building orientation, or location.
Daylight Autonomy (DA)The percentage of time in a year that daylighting levels meet a certain threshold [36].Takes into account the time changes and the minimum daylight requirements of users.Compared with static indicators, this indicator is more complicated to calculate and does not take into account the visual discomfort caused by excessive daylighting.
Continuous Daylight Autonomy (cDA)The percentage of time during the year that daylight is within the threshold.Considering the continuity of illuminance changes, it more accurately reflects the changes in indoor daylight, based on DA.
Spatial Daylight Autonomy (sDA)The percentage of a space that relies on natural daylight to achieve a specified daylighting level within a specified period of time for a specified proportion of the time [37].SDA is a long-term, regional indicator. It also takes into account time changes and the minimum visual demand for daylight by users.
Annual Sunlight Exposure (ASE)Annual Sunlight Exposure (ASE) is the percentage of an analysis area that exceeds a specified direct sunlight illuminance level (e.g., 1000 lux) for more than a specified number of hours (e.g., 250 h) per year.This indicator takes into account time of day changes and excess daylighting.The calculation of this indicator is complex and does not take into account the impact of insufficient daylighting.
Useful Daylight Illuminance (UDI)This indicator is the percentage of time that the indoor illumination level is within a given range over some time.This metric takes into account the time of day, minimum visual demand for daylight, and the effects of excessive daylight.The calculation is complex, and different illumination ranges need to be given for different building spaces.
Table 5. Daylight verification results.
Table 5. Daylight verification results.
12:0014:00
MeasuredSustainability 16 05549 i001Sustainability 16 05549 i002
Average illumination: 702.11 luxAverage illumination: 871.33 lux
SimulatedSustainability 16 05549 i003Sustainability 16 05549 i004
Average illumination: 682.33 luxAverage illumination: 884.11 lux
MBE2.8%−1.4%
CV(RMSE)7.6%6.9%
Table 6. Optimal solutions for daylighting of curved mesh shading throughout the year.
Table 6. Optimal solutions for daylighting of curved mesh shading throughout the year.
CityBlade Width (m)Number of Vertical GridsNumber of Horizontal GridsDesign UDIa (%)Baseline UDIa (%)
Harbin0.257275.5068.45
Qingdao0.27278.9673.48
Wuhan0.17279.3174.87
Kunming0.23280.9878.31
Guangzhou0.16381.0579.05
Table 7. Optimal energy consumption of curved mesh shading throughout the year.
Table 7. Optimal energy consumption of curved mesh shading throughout the year.
CityBlade Width (m)Number of Vertical GridsNumber of Horizontal GridsEnergy Consumption (kWh/m2)
TotalCoolingHeatingLighting
Harbin0.0522308.6536.85269.52.3
---304.5339.73262.552.25
Qingdao0.0532151.0760.8188.511.75
---151.6366.583.441.69
Wuhan0.163156.6796.5358.321.82
---160.77111.0048.241.53
Kunming0.053247.1112.9832.481.65
---47.1314.8430.671.61
Guangzhou0.365151.8138.2410.283.28
---175.13166.716.971.45
“-” represents no shading (baseline conditions).
Table 8. The recommended shading months and the curved mesh shading design for daylighting.
Table 8. The recommended shading months and the curved mesh shading design for daylighting.
CityRecommended Shading MonthsBlade Width (m)Number of Vertical GridsNumber of Horizontal GridsDesign UDIa (%)Baseline UDIa (%)
Harbin8–50.37275.8768.45
Qingdao8–40.27279.4173.48
Wuhan9–30.25278.7174.87
Kunming9–30.254281.6378.31
Guangzhou10–20.157281.3379.05
Table 9. The recommended shading months and the best energy-saving design.
Table 9. The recommended shading months and the best energy-saving design.
CityRecommended Shading MonthsBlade Width (m)Number of Vertical GridsNumber of Horizontal GridsEnergy Consumption (kWh/m2)
TotalCoolingHeatingLighting
Harbin5–90.2576292.4825.18264.472.83
----304.5339.73262.552.25
Qingdao5–100.367133.9146.384.772.84
----151.6366.583.441.69
Wuhan4–100.2567140.5888.8749.172.54
----160.77111.0048.241.53
Kunming4–90.026643.7310.3730.982.38
----47.1314.8430.671.61
Guangzhou3–110.367149.2138.057.293.86
----175.13166.716.971.45
“-” represents no shading (baseline conditions).
Disclaimer/Publisher’s Note: The statements, opinions and data contained in all publications are solely those of the individual author(s) and contributor(s) and not of MDPI and/or the editor(s). MDPI and/or the editor(s) disclaim responsibility for any injury to people or property resulting from any ideas, methods, instructions or products referred to in the content.

Share and Cite

MDPI and ACS Style

Jiang, Y.; Qi, Z.; Ran, S.; Ma, Q.; Dewancker, B.J.; Gao, W. A Study on the Daylighting, Energy Consumption, and Climate Adaptability of Curved Mesh Shading Based on the Parametric Performance Design Method. Sustainability 2024, 16, 5549. https://doi.org/10.3390/su16135549

AMA Style

Jiang Y, Qi Z, Ran S, Ma Q, Dewancker BJ, Gao W. A Study on the Daylighting, Energy Consumption, and Climate Adaptability of Curved Mesh Shading Based on the Parametric Performance Design Method. Sustainability. 2024; 16(13):5549. https://doi.org/10.3390/su16135549

Chicago/Turabian Style

Jiang, Yan, Zongxin Qi, Shenglin Ran, Qingsong Ma, Bart Julien Dewancker, and Weijun Gao. 2024. "A Study on the Daylighting, Energy Consumption, and Climate Adaptability of Curved Mesh Shading Based on the Parametric Performance Design Method" Sustainability 16, no. 13: 5549. https://doi.org/10.3390/su16135549

APA Style

Jiang, Y., Qi, Z., Ran, S., Ma, Q., Dewancker, B. J., & Gao, W. (2024). A Study on the Daylighting, Energy Consumption, and Climate Adaptability of Curved Mesh Shading Based on the Parametric Performance Design Method. Sustainability, 16(13), 5549. https://doi.org/10.3390/su16135549

Note that from the first issue of 2016, this journal uses article numbers instead of page numbers. See further details here.

Article Metrics

Back to TopTop