Sign in to use this feature.

Years

Between: -

Subjects

remove_circle_outline
remove_circle_outline
remove_circle_outline
remove_circle_outline
remove_circle_outline
remove_circle_outline
remove_circle_outline

Journals

remove_circle_outline

Article Types

Countries / Regions

Search Results (2)

Search Parameters:
Keywords = curved mesh shading

Order results
Result details
Results per page
Select all
Export citation of selected articles as:
23 pages, 5031 KB  
Article
A Study on the Daylighting, Energy Consumption, and Climate Adaptability of Curved Mesh Shading Based on the Parametric Performance Design Method
by Yan Jiang, Zongxin Qi, Shenglin Ran, Qingsong Ma, Bart Julien Dewancker and Weijun Gao
Sustainability 2024, 16(13), 5549; https://doi.org/10.3390/su16135549 - 28 Jun 2024
Cited by 3 | Viewed by 4164
Abstract
Building shading forms are becoming increasingly diversified, driven by both building performance requirements and architectural aesthetics. The application of computer technology in shading design and performance evaluation is becoming increasingly popular. This study adopted a parametric performance design method and created a one-click [...] Read more.
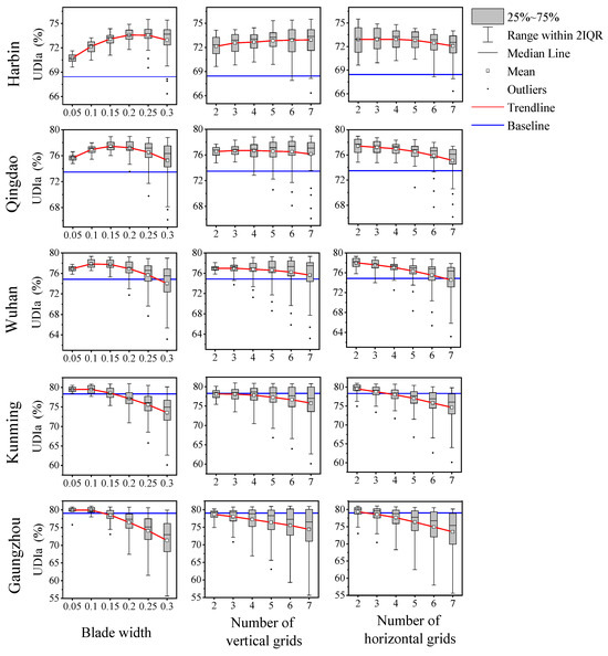
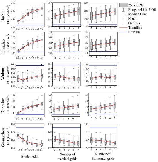
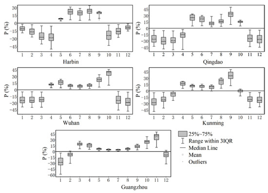
Building shading forms are becoming increasingly diversified, driven by both building performance requirements and architectural aesthetics. The application of computer technology in shading design and performance evaluation is becoming increasingly popular. This study adopted a parametric performance design method and created a one-click workflow for parametric curved mesh shading design and performance evaluation based on the Grasshopper platform and Ladybugtools. Applying this workflow, this paper takes five typical cities in different climate zones in China as examples to analyze the impact rules of curved mesh shading parameters (blade width, number of horizontal grids, and number of vertical grids) on building daylighting and energy consumption and explore the application potential of curved mesh shading. This study found that curved mesh shading has the best potential to improve daylighting in Harbin and can increase the annual average UDIa (300~3000 lux) by 7.42%. In Guangzhou, curved mesh shading has the highest potential for energy saving, which can reduce annual energy consumption by 14.8%. This study can provide theoretical, methodological, and data support for the optimal design of curved mesh shading. Full article
Show Figures

Figure 1

13 pages, 1809 KB  
Article
Perioperative Chemotherapy with FLOT Scheme in Resectable Gastric Adenocarcinoma: A Preliminary Correlation between TRG and Radiomics
by Giovanni Maria Garbarino, Marta Zerunian, Eva Berardi, Federico Mainardi, Emanuela Pilozzi, Michela Polici, Gisella Guido, Carlotta Rucci, Tiziano Polidori, Mariarita Tarallo, Giovanni Guglielmo Laracca, Elsa Iannicelli, Paolo Mercantini, Bruno Annibale, Andrea Laghi and Damiano Caruso
Appl. Sci. 2021, 11(19), 9211; https://doi.org/10.3390/app11199211 - 3 Oct 2021
Cited by 2 | Viewed by 3358
Abstract
Perioperative chemotherapy (p-ChT) with a fluorouracil plus leucovorin, oxaliplatin, and docetaxel (FLOT) scheme is the gold standard of care for locally advanced gastric cancer. We aimed to test CT radiomics performance in early response prediction for p-ChT. Patients with advanced gastric cancer who [...] Read more.
Perioperative chemotherapy (p-ChT) with a fluorouracil plus leucovorin, oxaliplatin, and docetaxel (FLOT) scheme is the gold standard of care for locally advanced gastric cancer. We aimed to test CT radiomics performance in early response prediction for p-ChT. Patients with advanced gastric cancer who underwent contrast enhanced CT prior to and post p-ChT were retrospectively enrolled. Histologic evaluation of resected specimens was used as the reference standard, and patients were divided into responders (TRG 1a-1b) and non-responders (TRG 2-3) according to their Becker tumor regression grade (TRG). A volumetric region of interest including the whole tumor tissue was drawn from a CT portal-venous phase before and after p-ChT; 120 radiomic features, both first and second order, were extracted. CT radiomics performances were derived from baseline CT radiomics alone and ΔRadiomics to predict response to p-ChT according to the TRG and tested using a receiver operating characteristic (ROC) curve. The final population comprised 15 patients, 6 (40%) responders and 9 (60%) non-responders. Among pre-treatment CT radiomics parameters, Shape, GLCM, First order, and NGTDM features showed a significant ability to discriminate between responders and non-responders (p < 0.011), with Cluster Shade and Autocorrelation (GLCM features) having AUC = 0.907. ΔRadiomics showed significant differences for Shape, GLRLM, GLSZM, and NGTDM features (p < 0.007). MeshVolume (Shape feature) and LongRunEmphasis (GLRLM feature) had AUC = 0.889. In conclusion, CT radiomics may represent an important supportive approach for the radiologic evaluation of advanced gastric cancer patients. Full article
(This article belongs to the Special Issue Medical Imaging: Advanced Techniques and Applications)
Show Figures

Figure 1

Back to TopTop