Abstract
This study examines the fluorescence characteristics of dissolved organic matter (DOM) in soils from different periods of rice–crayfish integrated systems (RCISs) in China. Utilizing three-dimensional excitation–emission matrix (3D-EEM) fluorescence spectroscopy, the study investigated the hydrophobicity, molecular weight distributions, and fluorescence properties of DOM in 2-, 5-, and 7-year RCIS operations, with rice monoculture (RM) serving as a control. The findings indicate that in the initial 2 years of an RCIS, factors such as rice straw deposition, root exudates, and crayfish excretions increase dissolved organic carbon (DOC) release and alter DOM composition, increasing the humic acid content in the soil. As the system matures at 5 years, improvements in soil structure and microbial activity lead to the breakdown of high-molecular-weight humic substances and a rise in small-molecular-weight amino acids. By the 7-year mark, as the aquatic ecosystem stabilizes, there is an increase in humic substances and the humification index in the soil DOM. These variations in DOM properties are essential for understanding the effects of integrated farming systems on soil quality and sustainability.
1. Introduction
The co-culture of rice and aquatic animals represents a multifaceted agricultural approach within the framework of green economics []. By integrating aquatic organisms into rice fields and maximizing interactions among species, these systems yield both rice and aquatic products [,]. Compared to rice monoculture (RM), rice–aquatic animal co-culture systems significantly increase protein yields and economic efficiency by more effectively utilizing environmental resources [,]. Among these, the rice–crayfish (Procambarus clarkii) integrated system (RCIS) has achieved the largest development scale, spreading widely across many Asian countries []. Particularly in China, as of a 2021 report, the total area dedicated to integrated rice–crayfish farming reached 1.4 million hectares, accounting for 52.95% of the country’s total rice–aquatic animal co-culture area []. With ongoing research and enhancements, the RCIS is expected to become more profitable and socially sustainable, addressing the critical needs of the growing global population [].
The initial research on the RCIS mainly concentrated on rice yield, quality, and soil composition [,]. Later, the focus expanded to include ecosystem services, microbial diversity, and greenhouse gas emissions in rice paddies [,,]. Notably, there has been limited examination of changes in paddy soil dissolved organic matter (DOM) in the context of varying RCIS terms. DOM, a highly mobile and active component of soil organic matter, is crucial in the biogeochemical cycles of carbon and other elements []. Its surface, adorned with numerous functional groups, can bind various metal ions, altering their bioavailability []. As a direct carbon source, DOM significantly influences the carbon, nitrogen, and other cycles vital for soil microorganisms, directly impacting soil fertility and quality [,]. In RCIS, the extended flooding disrupts the normal wet/dry cycle, reducing oxygen supply and causing sulfide buildup and secondary soil gleization [,]. The activity of crayfish enhances soil structure [] by increasing porosity. However, residual diets, manure waste, and water movement from crayfish feeding may result in excessive nutrient accumulation [], impacting DOM structure and composition, potentially altering soil fertility and properties over time. Further studies are needed to understand the impact of this aquaculture method on soil fluorescent DOM comprehensively.
Three-dimensional excitation–emission matrix (3D-EEM) fluorescence spectroscopy has been the primary method for studying DOM composition []. This technique utilizes fluorescence fingerprinting—analyzing peak intensity, location, and distribution, along with fluorescence indices—for reliable DOM characterization under various conditions [,]. Typically, it categorizes DOM into two main types: humic-like and protein-like substances. Coupled with fluorescence indices, EEM data can reveal variations in DOM composition and bioavailability under different land use types, climatic conditions, and management practices [,].
In this study, we collected paddy soil samples from Chinese RCISs of varying durations (2, 5, and 7 years) and used excitation–emission matrix (EEM) analysis to study the composition and changes in the fluorescence characteristics of DOM. We examined the DOM’s changes in specific fluorescence intensity (SFI), Stokes shift and fluorescence indices such as spectral slope ratio, E2:E3, specific UV absorbance (SUVA), humification index (HIX), A:T ratio, fluorescence index (FI370), freshness index (β:α). Additionally, we analyzed the hydrophobicity and molecular weight distributions of the DOM and assessed the dissolved organic carbon (DOC) content to quantitatively evaluate the DOM. Finally, we summarized the changes in DOM characteristics of RCIS over different periods and their possible causes. The potential impacts of DOM characteristics on soil fertility were further discussed. These findings provide a theoretical foundation for the sustainable development of soil ecosystems and fertility cultivation in the RCIS.
2. Materials and Methods
2.1. Soil Sample Collection
The RCIS was categorized into three groups based on operational years: RCIS-7 (RCIS operating for 7 years), RCIS-5 (RCIS operating for 5 years), and RCIS-2 (RCIS operating for 2 years), with an additional control group in the RM (rice monoculture) soil. Soil samples from the three RCISs and RM were collected during winter in Xuyi County, Jiangsu Province, China (Figure 1a). The region experiences a semi-humid, subtropical monsoon climate with an average annual temperature of 14.7 °C and an annual rainfall of approximately 1000 mm. Under the unified organization of the town government, agricultural management (field structure, farming practices, cultivation density) of the RCIS was almost consistent across the three farms. The RCIS included a 2 m wide, 0.5 m deep annular ditch, paddy field, and inner and outer ridges (Figure 1b,c). An RCIS can be divided into the rice season (June to October) and the non-rice season (October to May of the following year). During the rice season, rice was sown in June and harvested in October. In late October each year, the water in the rice paddy was drained, and the field was sterilized by sun-drying for 15–20 days. The field was irrigated in early November, and the water level exceeded the inner ridge. In December, 120–150 kg/ha of compound fertilizer (N:P:K = 25:10:10) was added to improve the fertility of the water. In February of the following year, juvenile crayfish were replenished in moderation into the fields. Commercial crayfish were sold from early April to late May. Before the rice season, an appropriate amount of water was slowly released from the rice paddy until the surface of the inner ridge was exposed, so that the crayfish can enter the circular ditch by the end of May.

Figure 1.
(a) Locations of the soil sampling sites (Google images of the Earth) in this study. RM: rice monoculture; RCIS-7: 7-year RCIS; RCIS-5: 5-year RCIS; RCIS-2: 2-year RCIS; Schematic of field structure of RCIS: (b) top view, (c) section view.
For both RCIS and RM, nine topsoil samples were collected from each field from a depth of 0–20 cm, mixed, air-dried, and ground to a 100-mesh sieve for further analysis. The soil texture all belongs to sticky clay, and the basic properties of soil are shown in Table 1.

Table 1.
The basic properties of RCIS and RM soil.
2.2. DOM Extraction and DOC Determination
All soil samples were air-dried and sieved through a 100-mesh sieve. A quantity of fifty grams of soil was accurately weighed and placed into a 100 mL Erlenmeyer flask, to which 300 mL of deionized water was added, creating a soil-to-water mass ratio of 1:6 []. The flask was shaken for 24 h at room temperature (160 rpm). After resting, the mixture was filtered through a 0.45 μm microporous membrane to obtain the DOM solution.
DOC concentration in the soil was measured using a wet oxidation total organic carbon analyzer (Aurora 1030C, OI Analytical, College Station, TX, USA). This analyzer includes a sample injection needle module, an infrared CO2 analyzer, and other components. For analysis, the sample was acidified with 0.2 mL of 2 M HCl (applied at a rate of 1 mL per injection). The CO2 released during the acid addition step was then injected into the CO2 analyzer. Any remaining carbon in the sample was burned off, and the DOC concentration was determined by the resulting difference.
2.3. 3D-EEM Analysis
The 3D-EEM was examined utilizing an absorption and three-dimensional fluorescence scanning spectrometer (Aqualog, HORIBA Instruments INC., Edison, NJ, USA), outfitted with a 1 cm × 1 cm quartz fluorescence sample cell. This Aqualog fluorescence spectrometer features an aberration-corrected double-grating excitation monochromator and an emission detector. A xenon lamp served as the excitation light source for the fluorescence scanning spectrometer, ensuring a signal-to-noise ratio exceeding 20,000:1. The excitation wavelength (Ex) ranged from 211 to 618 nm, with a scan interval of 3 nm. Concurrently, the emission wavelength (Em) spanned from 240 to 600 nm, utilizing an electrically cooled CCD detector and a scanning interval of 3.54 nm.
For the 3D-EEM test, the DOM extract was diluted fivefold with ultrapure water for the test (18 MΩ•cm). Data processing for the measured three-dimensional fluorescence spectrum was performed using Aqualog V3.6 software, by removing Raman scattering, eliminating the first and second Rayleigh scattering, and correcting internal filtering effects. The correction formula for the internal filtering effect is expressed in Equation (1):
Fobs and Fideal represent the measured and corrected fluorescence intensities, respectively, while and denote the absorbance at the excitation wavelength and emission wavelength, respectively.
2.4. Fluorescence Indices
The calculation of various fluorescence spectrum indices, such as spectral slope ratio, E2:E3, SUVA, HIX, A:T ratio, FI370, and β:α, was performed using the corrected EEMs. The definition, calculation method and indicative meaning for fluorescence indices are shown in Table 2.

Table 2.
Description of fluorescence indices.
2.5. Hydrophobic and Hydrophilic
To investigate the influence of hydrophilicity on DOM behavior, researchers use DAX (or XAD) resin columns to separate DOM into hydrophilic and hydrophobic fractions []. The separation involves adsorbent resin chromatography, using a Supelite™ DAX-8 resin column to isolate hydrophobic and hydrophilic components of DOM with critical retention factors set at 5, 10, 25, 50, and 100. The columns are made from Plexiglas, measuring 1.0 cm in diameter and 20 cm in length, and packed with 40-to-60-mesh DAX-8 resin, resulting in a dead volume of 10 cm3 []. The operational steps include: (1) Passing a neutral water sample through the column, adjusting the filtrate, which was then adjusted to a pH value of 2. Subsequent passage through the column yielded the hydrophilic substances (HIS); (2) Flushing the column with a 0.1 mol L−1 HCl solution, double the column volume, to collect hydrophobic alkaline components (HOB); (3) Applying a 0.1 mol L−1 NaOH solution, with four times the column volume of ultra-pure water, to extract hydrophilic acid components (HOA).
3. Results
3.1. DOC in Content of Soil DOM
The determination of DOC is a commonly used quantitative indicator for assessing soil DOM in many studies [,,]. Figure 2 displays the DOC content findings of this study. Specifically, the DOC concentrations in the soil of RM were measured at 9.83 ± 0.95 mg/L. For soils from RCIS, the concentrations were 9.35 ± 0.32 mg/L for RCIS-7, 10.80 ± 0.68 mg/L for RCIS-5, and 12.97 ± 0.22 mg/L for RCIS-2. Contrary to expectations, the DOC content in the RCIS soil did not increase with the accumulation of farming years but instead decreased. There was a notable increase in the soil DOC concentration in RCIS-2, significantly different compared to the RM. Initially, the aquatic ecosystem in RCIS was unstable, influenced by factors such as rice straw deposition, root exudation, and crayfish excretion, which elevated the DOC content [,]. As the operational duration increased, the soil DOC concentrations in RCIS-5 and RCIS-2 showed no significant variance from RM. In prolonged RCIS, it is likely that the soil structure was compromised due to extensive land tilling for rice cultivation and crayfish growth activities [], accelerating the mineralization process of rice soils. Consequently, the biological community within a long-term RCIS exhibits greater stability and structural integrity, fostering microbial activities that enhance the decomposition of organic matter []. This suggests that with the extended duration of the RCIS, there was a notable and gradual decrease in DOC content.

Figure 2.
The DOC concentrations of the DOM from of the different soil samples.
Gao et al. reported significant disparities in DOC contents within soils located in subtropical monsoon climate regions []. Given that Jiangsu Province is within this climatic zone, this study observed a peak DOC content at 86.01 mg/L. However, the DOC content in our study was lower compared to the findings of Gao et al. Li et al. explored DOM mineralization in subtropical rice soils and noted seasonal variations influencing DOC content, with the highest and lowest concentrations observed in November and July, respectively []. Therefore, the relatively lower DOC concentration in our study may be attributed to seasonal fluctuations affecting temperature, precipitation, microbial activity, and other relevant factors, particularly during the winter months [].
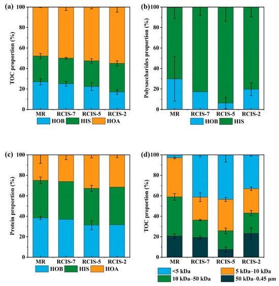
3.2. Hydrophobicity and Molecular Weight Distributions of the DOM
Hydrophobicity is a key physicochemical property of DOM []. The overall hydrophobicity and molecular weight distribution of DOM from the soils of RM and RCISs are depicted in Figure 3. The DOC proportions from different soils—HIS, HOA, and HOB—generally follow the order HOA > HIS > HOB (Figure 3a). Compared to RM, RCIS soil shows an initial increase followed by a decrease in HOA content over time, while HOB content initially decreases then increases. HIS content remains largely constant.

Figure 3.
The distribution of the hydrophobic/hydrophilic fractions of (a) TOC, (b) polysaccharides, (c) protein; (d) the molecular weight distribution of TOC in soil samples.
Regarding the chemical composition of DOM, polysaccharides are mostly found in HIS, whereas proteins are more prevalent in HOA and HOB (Figure 3b,c). The distribution of these chemicals between hydrophobic and hydrophilic fractions matches well with their functional groups. Polysaccharides, which are rich in hydroxyl groups, are significantly more hydrophilic than proteins []. Aromatic amines and acids in proteins typically make up the hydrophobic components in HOA and HOB []. In RCIS soil, the proportion of polysaccharides in HIS has increased compared to RM, while the proportion from proteins remains unchanged. DOM in various rice paddy soils shows a wide range of molecular weights (Figure 3d). In RM, molecular weights mostly range from 5 to 50 kDa. Notably, there is a significant rise in low-molecular-weight substances (under 5 kDa) in RCISs, increasing with the duration of cultivation.
In the RCIS, land tilling—promoted by microbial activities—likely enhances the infiltration of large organic molecules in a granular form into deeper soil layers. Subsequently, some of this organic matter transforms into smaller dissolved organic molecules. While most of this transformed matter degrades biologically, a residual amount remains at the soil surface []. This could explain the observed variations in molecular weight and hydrophobicity over different years within the RCIS. The broad range of hydrophobicity and molecular weight distribution is useful for comparing various fractions and understanding the impact of these properties on fluorescence.
3.3. EEM Spectra of the DOM Fractions
The EEM fluorescence spectra of DOM from RM soil and various RCIS terms are illustrated in Figure 4a. The general pattern of two spectra, in terms of peak distribution, is similar for RM and RCIS-7, but the FI of RCIS-2 is slightly higher than that of RM. The most distinct peaks, seen in the spectra of RM and RCIS-2, occur at the wavelengths (Ex, Em) = (260, 425) nm, (325, 425) nm, and (275, 310) in spectra of RM and RCIS-2. The first two peaks are identified as humic acid-like substances, primarily originating from human activities such as agricultural practices []. The third fluorescence peak indicates tyrosine, a protein primarily derived from internal biodegradation processes []. The FI of the RCIS-5 spectra is significantly lower than RM and RCIS-2, detecting only the peak corresponding to tyrosine peak near (Ex, Em) = (275, 310). The FI of the RCIS-7 spectra, although higher than that of RCIS-5, is still notably lower than that of RM and RCIS-2. In the RCIS-7 spectra, two peaks are evident at (Ex, Em) = (250, 425) and (Ex, Em) = (325, 425), both associated with humic acid-like substances.

Figure 4.
EEM fluorescence spectra of DOM from the soil of RM and different-term RCIS (a) FI, (b) SFI.
SFI is obtained by dividing fluorescence intensity (FI) by TOC concentration, expressed in R.U./(mg-TOC/L) [] (Figure 4b). The trends in SFI from RM to RCIS-2 are consistent with the changes in FI, suggesting that these changes are mainly due to variations in the concentration of fluorescent substances rather than shifts in other DOC components.
3.4. Changes in Fluorescence Indices and Stokes Shift in DOM
The fluorescence indices of RM and RCISs are summarized in Table 3. The variations in SUVA for RM and RCIS across the wavelength range of 240–600 nm are illustrated in Figure 5. The SUVA for all samples decreases with increasing wavelength, showcasing an absorption peak between 250 and 280 nm. Compared to RM, the SUVA for the RCIS initially decreases and then increases over the cultivation period. Specifically, the SUVA of sample RCIS-5 is significantly lower than that of RCIS-2 and RCIS-7, with RCIS-2 exhibiting slightly higher SUVA than RCIS-7.

Table 3.
Summary table for fluorescence indices of RM and RCIS.

Figure 5.
Changes in SUVA among RM and different-term RCIS.
Spectral slopes further elucidate the general characteristics—such as chemistry, source, and diagenesis—of DOM []. The spectral slope values for samples RM, RCIS-7, and RCIS-2 are similar, whereas RCIS-5’s value is notably higher, suggesting that RCIS-5’s soil DOM has the lowest molecular weight and weakest aromaticity after five years of RCIS (Figure 6) []. The E2:E3 ratio, which measures the absorbance ratio between 250 nm and 280 nm, generally inversely correlates with DOM’s aromaticity and molecular weight []. The E2:E3 ratios are 4.7 for RM and range from 5.1 to 5.8 for RCIS, indicating a lower molecular weight of DOM in RCIS. This observation aligns with previous studies on molecular weight distribution. The 250–280 nm range primarily absorbs aromatic groups in organic macromolecules, and thus, the SUVA in this region reflects DOM’s aromaticity []. SUVA values between 250 and 280 nm are positively associated with the degree of aromatic condensation []. Higher SUVA values indicate more complex aromatic structures, making the organic matter more resistant to decomposition and utilization. In this study, the SUVA value between 250 and 280 nm for RM is 0.017, which is higher than RCIS’s range of 0.006–0.013. This suggests that RM’s soil DOM has greater aromaticity and structural complexity, likely due to the rapid consumption of easily decomposable materials in RM, leading to the accumulation of humic substances rich in aromatic structures. In contrast, the RCIS process enhances microbial activity, promoting the decomposition of aromatic organic macromolecules.

Figure 6.
Changes in Spectral slopes, E2/E3 and SUVA250–280 among RM and different-term RCIS.
The changes in various fluorescence and absorbance indices (HIX, FI370, A:T, and β:α) for both RM and RCIS were examined further (Figure 7). HIX is strongly linked to the aromaticity of DOM and is inversely associated with its carbohydrate content []. Higher HIX values indicate either more condensed aromatic structures or greater conjugation in aliphatic chains. Among the four sample groups, RM recorded the highest HIX value at 5.05, while RCIS-5 had the lowest at 1.24. The HIX values for RCIS-7 and RCIS-2, at 4.10 and 4.59, respectively, were similar and markedly higher than that of RCIS-5. The values for RM, RCIS-7, and RCIS-2, which ranged from 4 to 6, suggest a weak humic character with recent contributions from autochthonous sources to DOM formation []. In contrast, the HIX value for RCIS-5 was below 4, pointing to a predominantly biological or aquatic bacterial origin of DOM []. Insights from previous studies on molecular weight distribution suggest that RCIS could enhance microbial abundance and diversity, facilitating the breakdown of high-molecular-weight humic substances. However, this did not lead to the anticipated significant increase in HIX values for RCIS compared to RM.

Figure 7.
Four fluorescence DOM compositional indicators—FI370, HIX, A:T, β:α—were also calculated as described in the RM and RCIS.
The FI370 was used to assess the source of DOM, whether from plant residues, soil organic matter, or microorganisms []. FI370 values between approximately 1.7 and 1.9 suggest microbial origins, whereas values from 1.3 to 1.4 indicate terrestrial-derived fulvic acid-like components []. In this study, RCIS-5 showed an FI370 value of 1.71, nearing 1.9, suggesting a microbial source for DOM. Other samples had FI370 values above 1.4, around 1.5, indicating that DOM in RM, RCIS-7, and RCIS-2 largely stems from organic matter inputs due to water and fertilizer management in rice cultivation. DOM in RCIS soil may also derive from crayfish and their excreta. Differences in FI370 values between RM and RCIS were not substantial, likely because the sampled topsoil contained fewer plant residues, thus resulting in a dominance of microbially derived organic matter in deeper soil layers over time. Further analysis of humus and protein fractions in these deeper layers is needed to substantiate these findings. Additionally, FI370 was negatively correlated with aromatic content [], with the order of FI370 values being RM < RCIS-2 < RCIS-7 < RCIS-5. The highest aromatic content in DOM was found in RM soil, aligning with the findings mentioned above.
The A:T ratio measures the relationship between humic- and tryptophan-like fluorescence intensities, illustrating the balance between recalcitrant and labile fluorophores []. For samples RM, RCIS-7, and RCIS-2, the A:T ratios are relatively close, ranging from 1.773 to 2.123, whereas sample RCIS-5 has a significantly lower ratio at 0.291. The Freshness Index (β:α) indicates the proportion of newly produced microbial DOM components and native inputs in aquatic systems []. In this study, the β:α values ranged from 0.68 to 0.83, consistent with previous findings in rice paddies that reported values between 0.5 and 0.9 []. Samples RCIS-7, RCIS-5, and RCIS-2 showed higher β:α values (0.70–0.83) compared to RM (0.68), suggesting that RCIS promotes enhanced microbial activity [].
The Stokes shift is calculated from Ex−1 to Em−1 and reflects the energy relaxation loss during fluorescence []. The distribution of the Stokes shift in DOM samples varied across different management practices, as illustrated in Figure 8. The RM samples under RM showed a distinct peak at a Stokes shift of 1.07 μm−1. For RCIS, samples RCIS-7 and RCIS-2 displayed Stokes shift peaks similar in shape and value to RM, whereas the RCIS-5 sample had a reduced peak at 1.07 μm−1 and an increased fluorescence peak intensity at smaller Stokes shifts (0.27–0.62 μm−1). These variations in Stokes shift, corresponding with changes in the EEM spectra, indicate that shifts in hydrophobic and hydrophilic properties affect fluorescence characteristics. This is supported by the understanding that hydrophobic compounds generally exhibit higher Stokes shifts due to higher aromaticity and larger conjugated systems []. According to Xiao et al., it may be because hydrophilic compounds have a considerable number of carboxyl groups (as the main type of acidic groups), which can act as electron-withdrawing substituents to increase molecular hardness and reduce Stokes shift [,]. The alterations in the RCIS-5 sample’s Stokes shift spectrum can be explained by the consumption of hydrophobic organic acids, such as humic acids.

Figure 8.
Stokes shift distributions of the different samples.
3.5. Discussion
Based on the observed variations in the EEM spectra and other fluorescence spectral indices, the impact of years of cultivation under RCIS on soil DOM can be summarized as follows. In the initial two years, the aquatic ecosystem remains unstable. Factors like rice straw deposition, root exudates, and crayfish excretions increase DOC release, enhancing humic acid content and altering DOM composition per unit concentration (mg/L DOC). By the fifth year, soil structure and microbial activity improve, leading to the decomposition of large-molecular-weight humic substances and an increase in small-molecular-weight amino acids. By the seventh year, the ecosystem tends to stabilize, and the content of humic substances in soil DOM rises.
Liang et al. compared the soil DOM characteristics of different management practices in RCIS and RM, finding that the HIX index for RM was 0.664, while for RCIS it was approximately 0.50 []. Although the HIX index obtained in Liang’s study differs significantly from our study (possibly due to variations in soil texture, sampling, and management practices), both studies reached the same conclusion: contrary to expectations, RCIS does not enhance the soil’s humification capacity. Therefore, the RCIS process should incorporate the application of various organic fertilizers to increase the content and diversity of DOM. Particularly during the mid-term of RCIS, it is advisable to appropriately increase the application of organic fertilizers. However, further sampling and analysis are needed to understand these changes under extended RCIS cultivation
4. Conclusions
The study highlights significant changes in DOM fluorescence characteristics over different durations of RCIS cultivation through 3DEEM analysis. Early in the RCIS process (2 years), factors such as rice straw deposition, root exudates, and crayfish excretions promote DOC release and alter the DOM composition, increasing the soil’s humic acid content. By the midpoint (5 years), improvements in soil structure and microbial activity lead to the breakdown of large-molecular-weight humic substances and a rise in small-molecular-weight amino acids. In the later stages (7 years), as the ecosystem nears stability, there is an increase in both the content of humic substances and the humification index in the soil DOM. This research emphasizes the potential environmental impacts of integrated farming systems on soil DOM, which is crucial for developing management strategies for soil health and sustainability in RCIS.
Author Contributions
Conceptualization, R.L. and L.S.; methodology, X.H.; validation, S.C. and Y.S.; formal analysis, R.J.; investigation, L.S. and S.W.; resources, S.Z.; data curation, Q.T.; writing—original draft preparation, S.C. and S.W.; writing—review and editing, S.Z. and L.Z. All authors have read and agreed to the published version of the manuscript.
Funding
This work was supported by the Basal Research Fund of Central Public Interest Scientific Institution of Nanjing Institute of Environmental Sciences, the Ministry of Ecology and Environment (grant number GYZX240415 & No. GYZX190203). The funding sources had no role in the study design, data collection, data analysis and interpretation, preparation of the manuscript, or decision to submit for publication.
Institutional Review Board Statement
Not applicable.
Informed Consent Statement
Not applicable.
Data Availability Statement
The data used to support the findings of this study are available from the corresponding author upon request.
Conflicts of Interest
The authors declare no conflicts of interest.
References
- Xie, J.; Hu, L.; Tang, J.; Wu, X.; Li, N.; Yuan, Y.; Yang, H.; Zhang, J.; Luo, S.; Chen, X. Ecological mechanisms underlying the sustainability of the agricultural heritage rice–fish coculture system. Proc. Natl. Acad. Sci. USA 2011, 108, E1381–E1387. [Google Scholar] [CrossRef]
- Ge, L.; Sun, Y.; Li, Y.; Wang, L.; Guo, G.; Song, L.; Wang, C.; Wu, G.; Zang, X.; Cai, X.; et al. Ecosystem sustainability of rice and aquatic animal co-culture systems and a synthesis of its underlying mechanisms. Sci. Total Environ. 2023, 880, 163314. [Google Scholar] [CrossRef]
- Bashir, M.A.; Liu, J.; Geng, Y.; Wang, H.; Pan, J.; Zhang, D.; Rehim, A.; Aon, M.; Liu, H. Co-culture of rice and aquatic animals: An integrated system to achieve production and environmental sustainability. J. Clean. Prod. 2020, 249, 119310. [Google Scholar] [CrossRef]
- Zhang, W.; Xu, M.; Lu, J.; Ren, T.; Cong, R.; Lu, Z.; Li, X. Integrated rice-aquatic animals culture systems promote the sustainable development of agriculture by improving soil fertility and reducing greenhouse gas emissions. Field Crop. Res. 2023, 299, 108970. [Google Scholar] [CrossRef]
- Li, L.; Yin, Y.; Zheng, G.; Liu, S.; Zhao, C.; Xie, W.; Ma, L.; Shan, Q.; Dai, X.; Wei, L. Determination of multiclass herbicides in sediments and aquatic products using QuECHERS combined with ultra-high performance liquid chromatography-tandem mass spectrometry (UHPLC-MS/MS) and its application to risk assessment of rice-fish co-culture system in China. Microchem. J. 2021, 170, 106628. [Google Scholar] [CrossRef]
- Xu, Q.; Peng, X.; Guo, H.; Che, Y.; Dou, Z.; Xing, Z.; Hou, J.; Styles, D.; Gao, H.; Zhang, H. Rice-crayfish coculture delivers more nutrition at a lower environmental cost. Sustain. Prod. Consump. 2022, 29, 14–24. [Google Scholar] [CrossRef]
- Jiang, R.; Xu, Q.; Li, J.; Dai, L.; Ao, D.; Dou, Z.; Gao, H. Sensitivity and uncertainty analysis of carbon footprint evaluation: A case study of rice-crayfish coculture in China. Chin. J. Eco-Agric. 2022, 30, 1577–1587. [Google Scholar] [CrossRef]
- Xue, L.; Cao, P.; Xu, D.; Guo, Y.; Wang, Q.; Zheng, X.; Han, R.; You, A. Agricultural land suitability analysis for an integrated rice–crayfish culture using a fuzzy AHP and GIS in central China. Ecol. Indic. 2023, 148, 109837. [Google Scholar] [CrossRef]
- Xu, Q.; Dai, L.; Shang, Z.; Zhou, Y.; Li, J.; Dou, Z.; Yuan, X.; Gao, H. Application of controlled-release urea to maintain rice yield and mitigate greenhouse gas emissions of rice–crayfish coculture field. Agr. Ecosyst. Environ. 2023, 344, 108312. [Google Scholar] [CrossRef]
- Feng, J.; Pan, R.; Hu, H.-W.; Huang, Q.; Zheng, J.; Tan, W.; Liu, Y.-R.; Delgado-Baquerizo, M. Effects of integrated rice-crayfish farming on soil biodiversity and functions. Sci. Bull. 2023, 68, 2311–2315. [Google Scholar] [CrossRef]
- Lv, W.; Zhou, W.; Lu, S.; Huang, W.; Yuan, Q.; Tian, M.; Lv, W.; He, D. Microplastic pollution in rice-fish co-culture system: A report of three farmland stations in Shanghai, China. Sci. Total Environ. 2019, 652, 1209–1218. [Google Scholar] [CrossRef]
- Xu, Q.; Dai, L.; Zhou, Y.; Dou, Z.; Gao, W.; Yuan, X.; Gao, H.; Zhang, H. Effect of nitrogen application on greenhouse gas emissions and nitrogen uptake by plants in integrated rice-crayfish farming. Sci. Total Environ. 2023, 905, 167629. [Google Scholar] [CrossRef]
- Si, G.; Yuan, J.; Xu, X.; Zhao, S.; Peng, C.; Wu, J.; Zhou, Z. Effects of an integrated rice-crayfish farming system on soil organic carbon, enzyme activity, and microbial diversity in waterlogged paddy soil. Acta Ecol. Sin. 2018, 38, 29–35. [Google Scholar] [CrossRef]
- Liu, L.; Li, C.; Xie, F.; Li, H.; Liu, Q.; Lai, L. Study on the mechanism of co-pyrolysed biochar on soil DOM evolution in short-term cabbage waste decomposition. Chemosphere 2023, 344, 140291. [Google Scholar] [CrossRef]
- Shen, Y.; Chapelle, F.H.; Strom, E.W.; Benner, R. Origins and bioavailability of dissolved organic matter in groundwater. Biogeochemistry 2015, 122, 61–78. [Google Scholar] [CrossRef]
- Li, K.; Chen, J.; Sun, W.; Zhou, H.; Zhang, Y.; Yuan, H.; Hu, A.; Wang, D.; Zhang, W. Coupling effect of DOM and microbe on arsenic speciation and bioavailability in tailings soil after the addition of different biologically stabilized sludges. J. Hazard. Mater. 2023, 458, 132048. [Google Scholar] [CrossRef]
- Chen, S.; Li, D.; He, H.; Zhang, Q.; Lu, H.; Xue, L.; Feng, Y.; Sun, H. Substituting urea with biogas slurry and hydrothermal carbonization aqueous product could decrease NH3 volatilization and increase soil DOM in wheat growth cycle. Environ. Res. 2022, 214, 113997. [Google Scholar] [CrossRef]
- Zhang, C.; Mi, W.; Xu, Y.; Zhou, W.; Bi, Y. Long-term integrated rice-crayfish culture disrupts the microbial communities in paddy soil. Aquacult. Rep. 2023, 29, 101515. [Google Scholar] [CrossRef]
- Zhang, Z.; Du, L.; Xiao, Z.; Li, C.; Wang, Z.; Zhou, P.; Sun, G.; Ye, Y.; Hu, T.; Wang, H. Rice-crayfish farming increases soil organic carbon. Agr. Ecosyst. Environ. 2022, 329, 107857. [Google Scholar] [CrossRef]
- Fan, L.; Li, F.; Chen, X.; Shen, L.; Chu, Y.; Qiu, L.; Hu, G.; Song, C.; Li, D.; Meng, S.; et al. Co-culture of red swamp crayfish Procambarus clarkia influenced glycoside hydrolase families and fungal communities in the rice-paddy soils. Appl. Soil Ecol. 2023, 186, 104816. [Google Scholar] [CrossRef]
- Sun, X.; Wang, H.; Wang, F.; Zhao, Y.; Wang, H.; Zhu, J.; Wei, S.; Chen, H. Effects of different fertilization patterns on the dietary composition of Procambarus clarkii in a rice-crayfish coculture system. Aquacult. Rep. 2023, 33, 101801. [Google Scholar] [CrossRef]
- Su, L.; Wang, S.; Ji, R.; Zhuo, G.; Liu, C.; Chen, M.; Li, H.; Zhang, L. New insight into the role of FDOM in heavy metal leaching behavior from MSWI bottom ash during accelerated weathering using fluorescence EEM-PARAFAC. Waste Manag. 2022, 144, 153–162. [Google Scholar] [CrossRef]
- Su, L.; Chen, M.; Wang, S.; Ji, R.; Liu, C.; Lu, X.; Zhen, G.; Zhang, L. Fluorescence characteristics of dissolved organic matter during anaerobic digestion of oil crop straw inoculated with rumen liquid. RSC Adv. 2021, 11, 14347–14356. [Google Scholar] [CrossRef]
- Zhang, F.; Li, X.; Duan, L.; Zhang, H.; Gu, W.; Yang, X.; Li, J.; He, S.; Yu, J.; Ren, M. Effect of different DOM components on arsenate complexation in natural water. Environ. Pollut. 2021, 270, 116221. [Google Scholar] [CrossRef]
- Ma, Z.; Yang, Y.; Lian, X.; Jiang, Y.; Xi, B.; Peng, X.; Yan, K. Identification of nitrate sources in groundwater using a stable isotope and 3DEEM in a landfill in Northeast China. Sci. Total Environ. 2016, 563–564, 593–599. [Google Scholar] [CrossRef]
- Zheng, L.; Zhang, C.; Wang, J.; Yu, D.; Zhong, H.; Hou, D.; Wei, Y. Distribution and transformation of dissolved organic matters (DOMs) in membrane distillation for desulfurization wastewater in thermal power plant. J. Water Process Eng. 2022, 46, 102363. [Google Scholar] [CrossRef]
- Gao, J.; Liang, C.; Shen, G.; Lv, J.; Wu, H. Spectral characteristics of dissolved organic matter in various agricultural soils throughout China. Chemosphere 2017, 176, 108–116. [Google Scholar] [CrossRef]
- McKnight, D.M.; Boyer, E.W.; Westerhoff, P.K.; Doran, P.T.; Kulbe, T.; Andersen, D.T. Spectrofluorometric characterization of dissolved organic matter for indication of precursor organic material and aromaticity. Limnol. Oceanogr. 2001, 46, 38–48. [Google Scholar] [CrossRef]
- Helms, J.R.; Stubbins, A.; Ritchie, J.D.; Minor, E.C.; Kieber, D.J.; Mopper, K. Absorption spectral slopes and slope ratios as indicators of molecular weight, source, and photobleaching of chromophoric dissolved organic matter. Limnol. Oceanogr. 2008, 53, 955–969. [Google Scholar] [CrossRef]
- Weishaar, J.L.; Aiken, G.R.; Bergamaschi, B.A.; Fram, M.S.; Fujii, R.; Mopper, K. Evaluation of Specific Ultraviolet Absorbance as an Indicator of the Chemical Composition and Reactivity of Dissolved Organic Carbon. Environ. Sci. Technol. 2003, 37, 4702–4708. [Google Scholar] [CrossRef]
- Zhang, R.; Huang, Q.; Yan, T.; Yang, J.; Zheng, Y.; Li, H.; Li, M. Effects of intercropping mulch on the content and composition of soil dissolved organic matter in apple orchard on the loess plateau. J. Environ. Manag. 2019, 250, 109531. [Google Scholar] [CrossRef]
- Ohno, T.; Fernandez, I.J.; Hiradate, S.; Sherman, J.F. Effects of soil acidification and forest type on water soluble soil organic matter properties. Geoderma 2007, 140, 176–187. [Google Scholar] [CrossRef]
- Cory, R.M.; McKnight, D.M. Fluorescence Spectroscopy Reveals Ubiquitous Presence of Oxidized and Reduced Quinones in Dissolved Organic Matter. Environ. Sci. Technol. 2005, 39, 8142–8149. [Google Scholar] [CrossRef]
- Zhang, H.; Yao, B.; Wang, S.; Wang, G. Remote sensing estimation of the concentration and sources of coloured dissolved organic matter based on MODIS: A case study of Erhai lake. Ecol. Indic. 2021, 131, 108180. [Google Scholar] [CrossRef]
- Hansen, A.M.; Kraus, T.E.C.; Pellerin, B.A.; Fleck, J.A.; Downing, B.D.; Bergamaschi, B.A. Optical properties of dissolved organic matter (DOM): Effects of biological and photolytic degradation. Limnol. Oceanogr. 2016, 61, 1015–1032. [Google Scholar] [CrossRef]
- Niloy, N.M.; Haque, M.M.; Tareq, S.M. Characteristics, Sources, and Seasonal Variability of Dissolved Organic Matter (DOM) in the Ganges River, Bangladesh. Environ. Process. 2021, 8, 593–613. [Google Scholar] [CrossRef]
- Leenheer, J.A.; Croue, J.P. Peer Reviewed: Characterizing Aquatic Dissolved Organic Matter. Environ. Sci. Technol. 2003, 37, 18A–26A. [Google Scholar] [CrossRef]
- Zhang, X.; Kang, J.; Chu, W.; Zhao, S.; Shen, J.; Chen, Z. Spectral and mass spectrometric characteristics of different molecular weight fractions of dissolved organic matter. Sep. Purif. Technol. 2020, 253, 117390. [Google Scholar] [CrossRef]
- Zhang, A.; Zhou, X.; Li, M.; Wu, H. Impacts of biochar addition on soil dissolved organic matter characteristics in a wheat-maize rotation system in Loess Plateau of China. Chemosphere 2017, 186, 986–993. [Google Scholar] [CrossRef]
- Her, N.; Amy, G.; Foss, D.; Cho, J. Variations of Molecular Weight Estimation by HP-Size Exclusion Chromatography with UVA versus Online DOC Detection. Environ. Sci. Technol. 2002, 36, 3393–3399. [Google Scholar] [CrossRef]
- Perminova, I.V.; Frimmel, F.H.; Kudryavtsev, A.V.; Kulikova, N.A.; Abbt-Braun, G.; Hesse, S.; Petrosyan, V.S. Molecular Weight Characteristics of Humic Substances from Different Environments As Determined by Size Exclusion Chromatography and Their Statistical Evaluation. Environ. Sci. Technol. 2003, 37, 2477–2485. [Google Scholar] [CrossRef]
- Lv, W.; Yuan, Q.; Lv, W.; Zhou, W. Effects of introducing eels on the yields and availability of fertilizer nitrogen in an integrated rice–crayfish system. Sci. Rep. 2020, 10, 14818. [Google Scholar] [CrossRef]
- Wang, S.; Liu, Y.; Zhang, F.; Jin, K.; Liu, H.; Zhai, L. Methane emissions sources and impact mechanisms altered by the shift from rice-wheat to rice-crayfish rotation. J. Clean. Prod. 2024, 434, 139968. [Google Scholar] [CrossRef]
- Bi, R.; Lu, Q.; Yuan, T.; Zhou, S.; Yuan, Y.; Cai, Y. Electrochemical and spectroscopic characteristics of dissolved organic matter in a forest soil profile. J. Environ. Sci. 2013, 25, 2093–2101. [Google Scholar] [CrossRef]
- Si, G.; Peng, C.; Yuan, J.; Xu, X.; Zhao, S.; Xu, D.; Wu, J. Changes in soil microbial community composition and organic carbon fractions in an integrated rice–crayfish farming system in subtropical China. Sci. Rep. 2017, 7, 2856. [Google Scholar] [CrossRef]
- Li, Z.P.; Han, C.W.; Han, F.X. Organic C and N mineralization as affected by dissolved organic matter in paddy soils of subtropical China. Geoderma 2010, 157, 206–213. [Google Scholar] [CrossRef]
- Pisani, O.; Haddix, M.L.; Conant, R.T.; Paul, E.A.; Simpson, M.J. Molecular composition of soil organic matter with land-use change along a bi-continental mean annual temperature gradient. Sci. Total Environ. 2016, 573, 470–480. [Google Scholar] [CrossRef]
- Xiao, K.; Han, B.; Sun, J.; Tan, J.; Yu, J.; Liang, S.; Shen, Y.; Huang, X. Stokes Shift and Specific Fluorescence as Potential Indicators of Organic Matter Hydrophobicity and Molecular Weight in Membrane Bioreactors. Environ. Sci. Technol. 2019, 53, 8985–8993. [Google Scholar] [CrossRef]
- Xiao, K.; Sun, J.-Y.; Shen, Y.-X.; Liang, S.; Liang, P.; Wang, X.-M.; Huang, X. Fluorescence properties of dissolved organic matter as a function of hydrophobicity and molecular weight: Case studies from two membrane bioreactors and an oxidation ditch. RSC Adv. 2016, 6, 24050–24059. [Google Scholar] [CrossRef]
- Yan, X.; Liao, J.; Cao, X.; Han, Z. Temporal and spatial distribution characteristics and source analysis of dissolved organic nitrogen in the surface sediment of the Caohai Lake, southwest China. Environ. Sci. Pollut. Res. 2023, 30, 12844–12856. [Google Scholar] [CrossRef]
- Maizel, A.C.; Li, J.; Remucal, C.K. Relationships Between Dissolved Organic Matter Composition and Photochemistry in Lakes of Diverse Trophic Status. Environ. Sci. Technol. 2017, 51, 9624–9632. [Google Scholar] [CrossRef]
- Kalbitz, K.; Solinger, S.; Park, J.H.; Michalzik, B.; Matzner, E. Controls on the dynamics of dissolved organic matter in soils: A review. Soil Sci. 2000, 165, 277–304. [Google Scholar] [CrossRef]
- Huang, Y.-R.; Liu, Q.-Q.; Fan, Y.-Z.; Li, H.-Z. A comparative study on the use of palm bark as a supplementary carbon source in partially saturated vertical constructed wetland: Organic matter characterization, release-adsorption kinetics, and pilot-scale performance. Chemosphere 2020, 253, 126663. [Google Scholar] [CrossRef]
- Kalbitz, K.; Schmerwitz, J.; Schwesig, D.; Matzner, E. Biodegradation of soil-derived dissolved organic matter as related to its properties. Geoderma 2003, 113, 273–291. [Google Scholar] [CrossRef]
- Huguet, A.; Vacher, L.; Relexans, S.; Saubusse, S.; Froidefond, J.M.; Parlanti, E. Properties of fluorescent dissolved organic matter in the Gironde Estuary. Org. Geochem. 2009, 40, 706–719. [Google Scholar] [CrossRef]
- Li, Y.; Zhang, Y.; Li, Z.; Wan, J.; Dang, C.; Fu, J. Characterization of colored dissolved organic matter in the northeastern South China Sea using EEMs-PARAFAC and absorption spectroscopy. J. Sea Res. 2022, 180, 102159. [Google Scholar] [CrossRef]
- Kundu, J.; Ghosh, Y.; Dennis, A.M.; Htoon, H.; Hollingsworth, J.A. Giant Nanocrystal Quantum Dots: Stable Down-Conversion Phosphors that Exploit a Large Stokes Shift and Efficient Shell-to-Core Energy Relaxation. Nano Lett. 2012, 12, 3031–3037. [Google Scholar] [CrossRef]
- Maoz, A.; Chefetz, B. Sorption of the pharmaceuticals carbamazepine and naproxen to dissolved organic matter: Role of structural fractions. Water Res. 2010, 44, 981–989. [Google Scholar] [CrossRef]
- Liang, Y.; Ni, C.; Liu, X.; Li, Y.; Liu, F.; Xu, T. Spectral characteristics of soil dissolved organic matter in different rice-crayfish cultivation modes. Chin. J. Eco-Agric. 2023, 31, 543–557. [Google Scholar] [CrossRef]
Disclaimer/Publisher’s Note: The statements, opinions and data contained in all publications are solely those of the individual author(s) and contributor(s) and not of MDPI and/or the editor(s). MDPI and/or the editor(s) disclaim responsibility for any injury to people or property resulting from any ideas, methods, instructions or products referred to in the content. |
© 2024 by the authors. Licensee MDPI, Basel, Switzerland. This article is an open access article distributed under the terms and conditions of the Creative Commons Attribution (CC BY) license (https://creativecommons.org/licenses/by/4.0/).