A Comprehensive Overview of Recycled Glass as Mineral Admixture for Circular UHPC Solutions
Abstract
1. Introduction
2. Research Significance
3. Waste Glass Powder
3.1. Glass Classification
3.2. Production
3.3. Chemical and Physical Properties
3.4. Chemical Reactions
3.4.1. Calcium Silicate Hydrate Gel
3.4.2. Calcium Aluminate Silicate Hydrate
3.4.3. Alkali Silica Gel
4. The Use of Waste Glass Powder in UHPC Formulations
4.1. GP as Supplementary Cementitious Material
- (i).
- Lowering the w/b ratio drives reduced porosity within the material.
- (ii).
- Decreasing the superplasticizer content mitigates the risk of potential incompatibility with cementitious materials.
4.2. Waste Glass as a Replacement for QS
5. Effect of WG Addition on UHPC’s Features
5.1. Rheological Properties
5.2. Hydration Kinetics
5.3. UHPC’s Microstructure
5.4. Mechanical Properties
5.4.1. Compressive Strength
5.4.2. MoE
5.4.3. Ultrasonic Pulse Velocity
5.4.4. Flexural Behavior
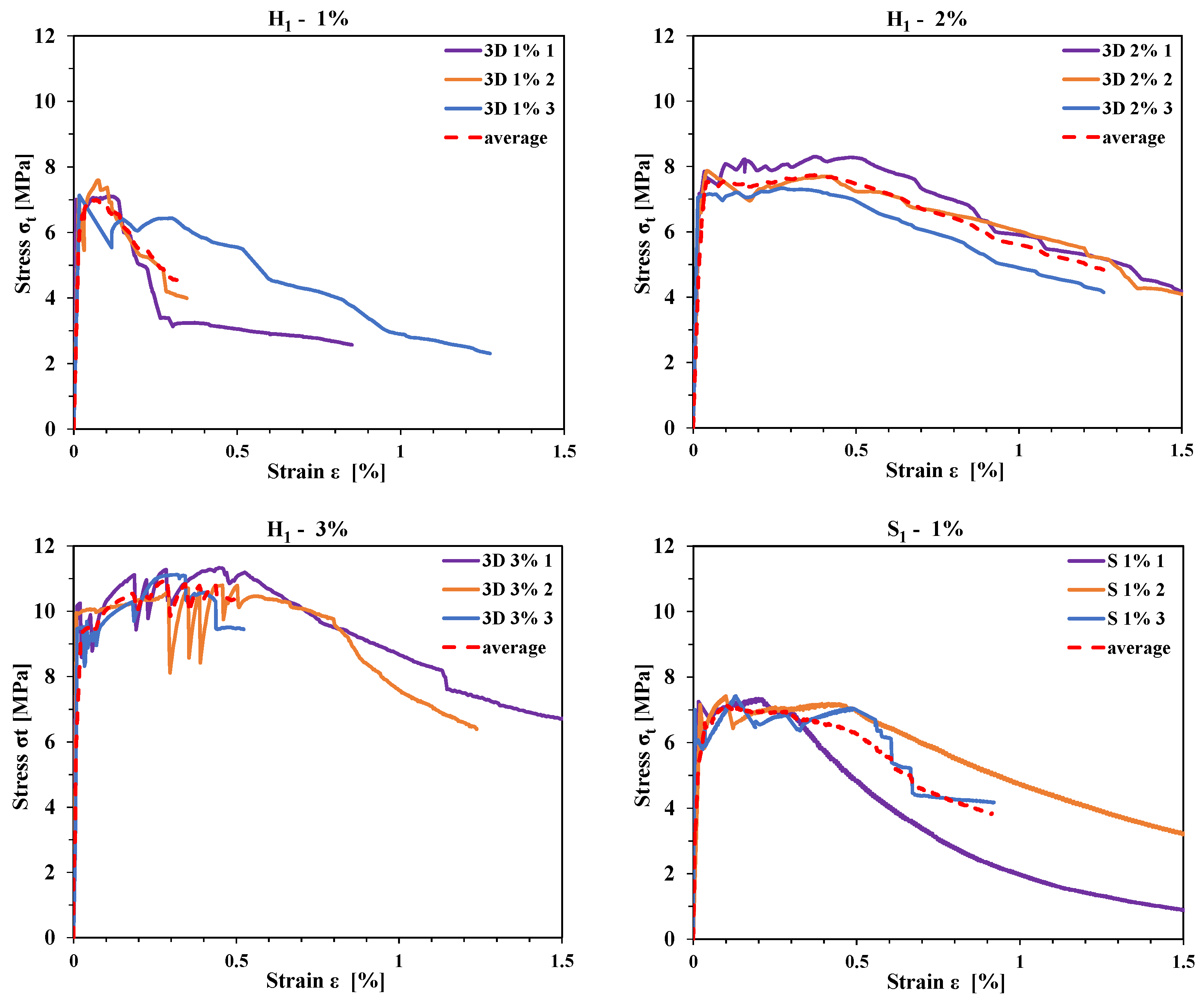
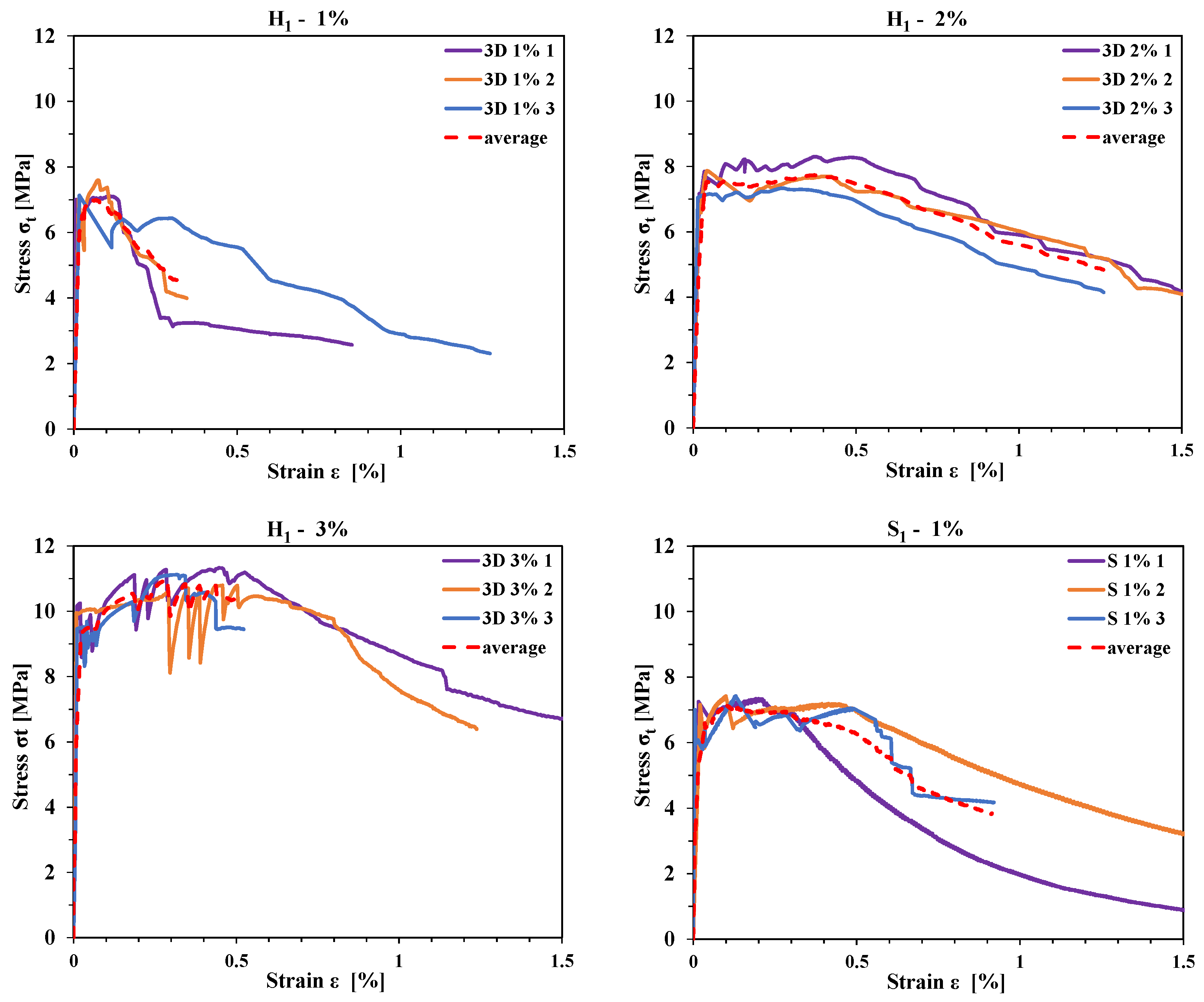
5.4.5. Tensile Behavior
5.5. Durability Properties
5.5.1. Voids in Hardened Concrete
5.5.2. Chloride Penetration
5.5.3. Initial Surface Absorption
5.5.4. Freeze-Thaw Performance
5.5.5. Alkali-Silica Reaction Resistance
5.5.6. Resistance to Mechanical Abrasion
5.5.7. Drying Shrinkage
5.5.8. Resistance to Deicing Salt Scaling
6. Impact of Recycled Glass Inclusion on the Life Cycle Assessment of UHPC
- Raw Material Extraction and Transportation: Examining the environmental impact associated with the extraction of raw materials such as cement, recycled glass and other supplementary materials, as well as the energy-intensive transportation of these materials to the production site.
- Manufacturing Process: Assessing the environmental consequences of the UHPC production process, including energy consumption, emissions and waste generation. This stage is critical for understanding the influence of incorporating recycled glass on factors like carbon footprint and energy efficiency.
- Construction Phase: Considering the environmental impact during the construction phase, which includes transportation of UHPC to the construction site, energy use during placement and potential implications for construction-related activities.
- Service Life: Evaluating the durability and performance of UHPC over its service life, as these factors can significantly influence the overall environmental sustainability of the material.
- End-of-Life Scenarios: Investigating the environmental implications of various end-of-life scenarios, such as recycling, reuse or disposal in landfills. This aspect is particularly relevant for assessing the potential environmental benefits of recycling glass in UHPC compared to conventional end-of-life options.
7. Cost Implications
8. Case Study of a Field Application
9. Conclusions
- Environmental and Economic Benefits: Using WG in UHPC helps preserve the environment and reduces costs by substituting traditional materials such as cement, silica fume, quartz powder and quartz sand. Incorporating waste glass and limestone powders in UHPC formulations substantially lowers production costs, with savings of up to 40% compared to traditional formulations.
- Supplementary Cementitious Material: Due to its high silicon oxide content and amorphous nature, GP, when properly milled, effectively acts as a supplementary cementitious material, enhancing the formation of C-S-H and improving UHPC properties.
- Enhanced Hydration Kinetics: The inclusion of GP improves hydration kinetics, reduces heat of hydration and mitigates microcrack formation.
- Compressive Strength: Substituting up to 25% of cement with GP can enhance compressive strength through pozzolanic reactions. However, cement replacement ratios over 30% may reduce it.
- Material Efficiency: The incorporation of GP allows for significant reductions in cement and silica fume content (up to 30% and 50%, respectively), while maintaining critical compressive strength thresholds above 150 MPa and achieving strengths exceeding 200 MPa in some formulations.
- Synergistic Effects with Limestone Powder: The combined use of GP and limestone powder improves rheology, reduces superplasticizer demand and lowers water-to-binder ratios, enhancing both mechanical properties and sustainability.
- Early Strength Development: The utilization of glass and limestone powder, along with FC3R and MK, shows promising advancements in early strength development. Through the synergy between glass and limestone, the negative effect on the rheology of the aluminum silicates in these components can be mitigated.
- Fiber-reinforced UHPC mechanical Performance: Waste glass–UHPC exhibits bending and direct tensile performances comparable to traditional UHPC with similar fiber reinforcement.
- Durability: The inclusion of milled GP in UHPC has been thoroughly analyzed, focusing on properties such as voids in hardened concrete, chloride penetration, initial surface absorption, freeze-thaw performance, alkali-silica reaction resistance, mechanical abrasion resistance, drying shrinkage and resistance to deicing salt scaling. While the addition of GP generally produces favorable results, slightly lower than traditional UHPC without recycled glass, it demonstrates superior performance in specific areas such as freeze-thaw resilience and drying shrinkage.
- Environmental Impact: Incorporating GP into UHPC formulations offers significant environmental benefits, as evidenced by life cycle analysis studies. Revised studies have shown that UHPC incorporating recycled glass exhibits lower carbon footprints compared to conventional end-of-life scenarios like landfilling, contributing to sustainability in construction. Furthermore, research indicates that UHPC formulations with GP achieve higher compressive strengths at lower CO2 emissions, in comparison with other supplementary cementitious materials.
- Scalable Application: The successful use of WG in UHPC for constructing the footbridge at the University of Sherbrooke demonstrates its potential for scalable and practical applications.
10. Future Research Directions
Funding
Acknowledgments
Conflicts of Interest
References
- Tagnit-Hamou, A.; Soliman, N.A.; Omran, A. Green Ultra-High-Performance Glass Concrete. In Proceedings of the International Interactive Symposium on Ultra-High Performance Concrete 2016, Des Moines, IA, USA, 18–20 July 2016. [Google Scholar]
- Abellán-García, J. K-Fold Validation Neural Network Approach for Predicting the One-Day Compressive Strength of UHPC. Adv. Civ. Eng. Mater. 2021, 10, 223–243. [Google Scholar] [CrossRef]
- Abellan-Garcia, J.; Santofimo-Vargas, M.A.; Torres-Castellanos, N. Analysis of Metakaolin as Partial Substitution of Ordinary Portland Cement in Reactive Powder Concrete. Adv. Civ. Eng. Mater. 2020, 9, 368–386. [Google Scholar] [CrossRef]
- Nehdi, M.; Abbas, S.; Soliman, A. Exploratory Study of Ultra-High Performance Fiber Reinforced Concrete Tunnel Lining Segments with Varying Steel Fiber Lengths and Dosages. Eng. Struct. 2015, 101, 733–742. [Google Scholar] [CrossRef]
- ACI Committe 239R; ACI Committe 239 ACI—239 Committee in Ultra-High Performance Concrete. ACI: Toronto, ON, Canada, 2018.
- Ahmad, S.; Hakeem, I.; Maslehuddin, M. Development of UHPC Mixtures Utilizing Natural and Industrial Waste Materials as Partial Replacements of Silica Fume and Sand. Eur. J. Environ. Civ. Eng. 2014, 2014, 1106–1126. [Google Scholar] [CrossRef] [PubMed]
- Habel, K.; Charron, J.-P.; Braike, S.; Hooton, R.D.; Gauvreau, P.; Massicotte, B. Ultra-High Performance Fibre Reinforced Concrete Mix Design in Central Canada. Can. J. Civ. Eng. 2008, 35, 217–224. [Google Scholar] [CrossRef]
- Abellán-García, J.; Fernández-Gómez, J.A.; Torres-Castellanos, N.; Núñez-López, A.M. Machine Learning Prediction of Flexural Behavior of UHPFRC. In Fibre Reinforced Concrete: Improvements and Innovations, BEFIB 2020; Serna, P., Llano-Torre, A., Martí-Vargas, J.R., Navarro-Gregori, J., Eds.; RILEM Bookseries: Valencia, Spain, 2020; Volume 4, pp. 570–583. ISBN 978-3-030-58482-5. [Google Scholar]
- Abellán-García, J.; Guzmán-Guzmán, J.S. Random Forest-Based Optimization of UHPFRC under Ductility Requirements for Seismic Retrofitting Applications. Constr. Build. Mater. 2021, 285, 122869. [Google Scholar] [CrossRef]
- Abellán-García, J.; Fernández-Gómez, J.; Torres-Castellanos, N.; Núñez-López, A. Tensile Behavior of Normal Strength Steel Fiber Green UHPFRC. ACI Mater. J. 2021, 118, 127–138. [Google Scholar] [CrossRef]
- Abellán-García, J.; Guzmán-Guzmán, J.S.; Sánchez-Díaz, J.A.; Rojas-Grillo, J. Experimental Validation of Artificial Intelligence Model for the Energy Absorption Capacity of UHPFRC. Dyna 2021, 88, 150–159. [Google Scholar] [CrossRef]
- Abellán-García, J. Dosage Optimization and Seismic Retrofitting Applications of Ultra-High-Performance Fiber Reinforced Concrete (UHPFRC); Polytechnic University of Madrid: Madrid, Spain, 2020. [Google Scholar]
- Abellán-García, J.; Ortega-Guzmán, J.J.; Chaparro-Ruiz, D.A.; García-Castaño, E. A Comparative Study of LASSO and ANN Regressions for the Prediction of the Direct Tensile Behavior of UHPFRC. Adv. Civ. Eng. Mater. 2022, 11, 235–262. [Google Scholar] [CrossRef]
- Shi, C.; Wu, Z.; Xiao, J.; Wang, D.; Huang, Z.; Fang, Z. A Review on Ultra High Performance Concrete: Part I. Raw Materials and Mixture Design. Constr. Build. Mater. 2015, 101, 741–751. [Google Scholar] [CrossRef]
- Neira-Medina, A.; Abellan-Garcia, J.; Torres-Castellanos, N. Flexural Behavior of Environmentally Friendly Ultra-High-Performance Concrete with Locally Available Low-Cost Synthetic Fibers. Eur. J. Environ. Civ. Eng. 2021, 26, 6281–6304. [Google Scholar] [CrossRef]
- Lowke, D.; Stengel, T.; Schießl, P.; Gehlen, C. Control of Rheology, Strength and Fibre Bond of UHPC with Adittions—Effect of Packing Density and Addittion Type. In Proceedings of the 3rd International Symposium on UHPC and Nanotechnology for High Performance Construction Materials, Kassel, Germany, 7–9 March 2012; University of Kassel: Kassel, Germany, 2012; pp. 215–224, ISBN 9783862192649. [Google Scholar]
- Nguyen, N.-H.; Abellán-García, J.; Lee, S.; Garcia-Castano, E.; Vo, T.P. Efficient Estimating Compressive Strength of Ultra-High Performance Concrete Using XGBoost Model. J. Build. Eng. 2022, 52, 104302. [Google Scholar] [CrossRef]
- Abellán-Garcia, J.; Sánchez-Díaz, J.; Ospina-Becerra, V. Neural Network-Based Optimization of Fibers for Seismic Retrofitting Applications of UHPFRC. Eur. J. Environ. Civ. Eng. 2021, 26, 6305–6333. [Google Scholar] [CrossRef]
- de Larrard, F.; Sedran, T.; Larrard, F. Optimization of Ultra-High-Performance Concrete by the Use of a Packing Model. Cem. Concr. Res. 1994, 24, 997–1009. [Google Scholar] [CrossRef]
- Aghdasi, P.; Heid, A.E.; Chao, S.H. Developing Ultra-High-Performance Fiber-Reinforced Concrete for Large-Scale Structural Applications. ACI Mater. J. 2016, 113, 559–569. [Google Scholar] [CrossRef]
- Shi, C.; Wu, Z.; Xiao, J.; Wang, D.; Huang, Z.; Fang, Z. A Review on Ultra High Performance Concrete: Part II. Hydration, Microstructure and Properties. Constr. Build. Mater. 2015, 96, 368–377. [Google Scholar] [CrossRef]
- Wang, D.; Shi, C.; Wu, Z.; Xiao, J.; Huang, Z.; Fang, Z. Durability of an Ultra High Performance Fiber Reinforced Concrete (UHPFRC) under Progressive Aging. Cem. Concr. Res. 2015, 55, 1–13. [Google Scholar] [CrossRef]
- Abellán-García, J.; Fernández-Gómez, J.; Torres-Castellanos, N. Properties Prediction of Environmentally Friendly Ultra-High-Performance Concrete Using Artificial Neural Networks. Eur. J. Environ. Civ. Eng. 2020, 26, 2319–2343. [Google Scholar] [CrossRef]
- Abellán, J.; Fernández, J.; Torres, N.; Núñez, A. Development of Cost-Efficient UHPC with Local Materials in Colombia. In Proceedings of the Hipermat 2020—5th International Symposium on UHPC and Nanotechnology for Construction Materials, Kessel, Germany, 11–13 March 2020; Middendorf, B., Fehling, E., Wetzel, A., Eds.; University of Kassel: Kassel, Germany, 2020; pp. 97–98. [Google Scholar]
- Abellán-García, J. Four-Layer Perceptron Approach for Strength Prediction of UHPC. Constr. Build. Mater. 2020, 256, 119465. [Google Scholar] [CrossRef]
- Aghdasi, P.; Ostertag, C.P. Green Ultra-High Performance Fiber-Reinforced Concrete (G-UHP-FRC). Constr. Build. Mater. 2018, 190, 246–254. [Google Scholar] [CrossRef]
- Abellán-García, J.; Núñez-López, A.; Torres-Castellanos, N.; Fernández-Gómez, J. Effect of FC3R on the Properties of Ultra-High-Performance Concrete with Recycled Glass. Dyna 2019, 86, 84–92. [Google Scholar] [CrossRef]
- Abellán-García, J.; Torres-Castellanos, N.; Fernández-Gómez, J.A.; Núñez-López, A.M. Ultra-High-Performance Concrete with Local High Unburned Carbon Fly Ash. Dyna 2021, 88, 38–47. [Google Scholar] [CrossRef]
- Abellán-García, J.; Núñez-López, A.; Torres-Castellanos, N.; Fernández-Gómez, J. Factorial Design of Reactive Powder Concrete Containing Electric Arc Slag Furnace and Recycled Glass Powder. Dyna 2020, 87, 42–51. [Google Scholar] [CrossRef]
- Mishra, O.; Singh, S.P. An Overview of Microstructural and Material Properties of Ultra-High-Performance Concrete. J. Sustain. Cem. Mater. 2019, 8, 97–143. [Google Scholar] [CrossRef]
- Tayeh, B.A.; Abu Bakar, B.H.; Megat Johari, M.A.; Voo, Y.L. Utilization of Ultra-High Performance Fibre Concrete (UHPFC) for Rehabilitation—A Review. Procedia Eng. 2013, 54, 525–538. [Google Scholar] [CrossRef]
- Kalny, M.; Kvasnicka, V.; Komanec, J. First Practical Applications of UHPC in the Czech Republic. In Proceedings of the Proceedings of Hipermat 2016—4th International Symposium on UHPC and Nanotechnology for Construction Materials, Kassel, Germany, 9–11 March 2016; Fehling, E., Middendorf, B., Thiemicke, J., Eds.; University of Kassel: Kassel, Germany, 2016; pp. 147–148. [Google Scholar]
- Abellán, J.; Núñez, A.; Arango, S. Pedestrian Bridge of UNAL in Manizales: A New UPHFRC Application in the Colombian Building Market. In Proceedings of the Hipermat 2020—5th International Symposium on UHPC and Nanotechnology for Construction Materials, Kessel, Germany, 11–13 March 2020; Middendorf, B., Fehling, E., Wetzel, A., Eds.; Kassel University Press: Kassel, Germany, 2020; pp. 43–44. [Google Scholar]
- Abellán-García, J. An Overview of the Development and Applications of UHPFRC in Colombia. In Concrete Plant International Worldwide; Conrete Technology: Cape Town, South Africa, 2020; pp. 48–52. ISBN 1437-9023. [Google Scholar]
- Abellán-García, J.; Nuñez-Lopez, A.; Arango-Campo, S. Pedestrian Bridge over Las Vegas Avenue in Medellín. First Latin American Infrastructure in UHPFRC. In BEFIB 2020; Serna, P., Llano-Torre, A., Martí-Vargas, J.R., Navarro-Gregori, J., Eds.; RILEM Bookseries: Valencia, Spain, 2020; pp. 864–872. ISBN 978-3-030-58482-5. [Google Scholar]
- Dagenais, M.A.; Massicotte, B.; Boucher-Proulx, G. Seismic Retrofitting of Rectangular Bridge Piers with Deficient Lap Splices Using Ultrahigh-Performance Fiber-Reinforced Concrete. J. Bridg. Eng. 2018, 23, 04017129. [Google Scholar] [CrossRef]
- Rai, B.; Wille, K. Development and Testing of High/Ultra-High Early Strength Concrete. In Proceedings of the 5th International Symposium on Fracture Mechanics of Concrete and Concrete Structures, Vail, CO, USA, 12–16 April 2004; Middendorf, B., Fehling, E., Wetzel, A., Eds.; University of Kassel: Kassel, Germany, 2020; pp. 7–8. [Google Scholar]
- Pham, H.D.; Khuc, T.; Nguyen, T.V.; Cu, H.V.; Le, D.B.; Trinh, T.P. Investigation of Flexural Behavior of a Prestressed Girder for Bridges Using Nonproprietary UHPC. Adv. Concr. Constr. 2020, 10, 71–79. [Google Scholar] [CrossRef]
- Abellán-García, J. Artificial Neural Network Model for Strength Prediction of Ultra-High-Performance Concrete. ACI Mater. J. 2021, 118, 3–14. [Google Scholar] [CrossRef]
- Soliman, N.A.; Omran, A.F.; Tagnit-Hamou, A. Laboratory Characterization and Field Application of Novel Ultra-High-Performance Glass Concrete. ACI Mater. J. 2016, 113, 307–316. [Google Scholar] [CrossRef]
- Soliman, N.A.; Tagnit-Hamou, A. Development of Ultra-High-Performance Concrete Using Glass Powder—Towards Ecofriendly Concrete. Constr. Build. Mater. 2016, 125, 600–612. [Google Scholar] [CrossRef]
- Šerelis, E.; Vaitkevičius, V.; Kerševičius, V. Mechanical Properties and Microstructural Investigation of Ultra-High Performance Glass Powder Concrete. J. Sustain. Archit. Civ. Eng. 2016, 1, 5–11. [Google Scholar] [CrossRef]
- Shi, C.; Wu, Y.; Riefler, C.; Wang, H. Characteristics and Pozzolanic Reactivity of Glass Powders. Cem. Concr. Res. 2005, 35, 987–993. [Google Scholar] [CrossRef]
- Hamada, H.; Alattar, A.; Tayeh, B.; Yahaya, F.; Thomas, B. Effect of Recycled Waste Glass on the Properties of High-Performance Concrete: A Critical Review. Case Stud. Constr. Mater. 2022, 17, e01149. [Google Scholar] [CrossRef]
- Rashad, A.M. Recycled Waste Glass as Fine Aggregate Replacement in Cementitious Materials Based on Portland Cement. Constr. Build. Mater. 2014, 72, 340–357. [Google Scholar] [CrossRef]
- Rajabipour, F.; Maraghechi, H.; Fischer, G. Investigating the Alkali-Silica Reaction of Recycled Glass Aggregates in Concrete Materials. J. Mater. Civ. Eng. 2010, 22, 1201–1208. [Google Scholar] [CrossRef]
- Abellan-Garcia, J.; Molinares, M.; Daza, N.; Abbas, Y.M.; Iqbal Khan, M. Formulation of Inexpensive and Green Reactive Powder Concrete by Using Milled-Waste-Glass and Micro Calcium-Carbonate—A Multi-Criteria Optimization Approach. Constr. Build. Mater. 2023, 409, 134167. [Google Scholar] [CrossRef]
- Kou, S.C.; Xing, F. The Effect of Recycled Glass Powder and Reject Fly Ash on the Mechanical Properties of Fibre-Reinforced Ultrahigh Performance Concrete. Hindawi Publ. Corp. Adv. Mater. Sci. Eng. 2012, 2012, 1–8. [Google Scholar] [CrossRef]
- Redondo-Mosquera, J.D.; Sánchez-Angarita, D.; Redondo-Pérez, M.; Gómez-Espitia, J.C.; Abellán-García, J. Development of High-Volume Recycled Glass Ultra-High-Performance Concrete with High C3A Cement. Case Stud. Constr. Mater. 2023, 18, e01906. [Google Scholar] [CrossRef]
- Abellan-Garcia, J.; Mosquera- Redondo, J.; Khan, M.I.; Abbas, Y.M.; Castro, A. Development of a Novel 124 MPa Strength Green Reactive Powder Concrete Employing Waste Glass and Locally Available Cement. Arch. Civ. Mech. Eng. 2023, 7, 1–17. [Google Scholar] [CrossRef]
- Du, H.; Tan, K.H. Waste Glass Powder as Cement Replacement in Concrete. J. Adv. Concr. Technol. 2014, 12, 468–477. [Google Scholar] [CrossRef]
- Tagnit-Hamou, A.; Zidol, A.; Soliman, N.; Deschamps, J.; Omran, A. Ground Glass Pozzolan in Conventional, High, and Ultra-High Performance Concrete. In Proceedings of the 2nd International Congress on Materials & Structural Stability (CMSS-2017), Rabat, Morocco, 22–25 November 2017. [Google Scholar]
- Amin, M.; Zeyad, A.M.; Tayeh, B.A.; Agwa, I.S. Effect of Glass Powder on High-Strength Self-Compacting Concrete Durability. Key Eng. Mater. 2023, 495, 117–127. [Google Scholar] [CrossRef]
- Dhir, R.K.; Dyer, T.D.; Tang, M.C. Alkali-Silica Reaction in Concrete Containing Glass. Mater. Struct. Constr. 2009, 42, 1451–1462. [Google Scholar] [CrossRef]
- Shaaban, M.; Ahmed, S. Development of Ultra-High Performance Concrete Jointed Precast Decks and Concrete Piles in Integral Abutment Bridges. In Proceedings of the The First International Symposium on Jointless & Sustainable Bridges, Fuzhou, China, 20–22 November 2016. [Google Scholar]
- Amin, M.; Agwa, I.S.; Mashaan, N.; Mahmood, S.; Abd-Elrahman, M.H. Investigation of the Physical Mechanical Properties and Durability of Sustainable Ultra-High Performance Concrete with Recycled Waste Glass. Sustainability 2023, 15, 3085. [Google Scholar] [CrossRef]
- Xu, J.; Zhan, P.; Zhou, W.; Zuo, J.; Shah, S.P.; He, Z. Design and Assessment of Eco-Friendly Ultra-High Performance Concrete with Steel Slag Powder and Recycled Glass Powder. Powder Technol. 2023, 419, 118356. [Google Scholar] [CrossRef]
- Jaramillo-Murcia, D.C.; Abellán-Garcia, J.; Torres-Castellanos, N.; García-Castaño, E. Properties Analysis of UHPC with Recycled Glass and Limestone Powders. ACI Mater. J. 2022, 119, 153–164. [Google Scholar] [CrossRef]
- Abellán-García, J.; Daza, N.; Molinares, M.; Abbas, Y.M.; Khan, M.I. Multi-Criteria Optimization of Cost-Effective and Environmentally Friendly Reactive Powder Concrete Incorporating Waste Glass and Micro Calcium Carbonate. Materials 2023, 16, 6434. [Google Scholar] [CrossRef]
- Wang, H.Y. A Study of the Effects of LCD Glass Sand on the Properties of Concrete. Waste Manag. 2009, 29, 335–341. [Google Scholar] [CrossRef] [PubMed]
- Shi, C.; Zheng, K. A Review on the Use of Waste Glasses in the Production of Cement and Concrete. Resour. Conserv. Recycl. 2007, 52, 234–247. [Google Scholar] [CrossRef]
- Esmaeili, J.; Oudah Al-Mwanes, A. A Review: Properties of Eco-Friendly Ultra-High-Performance Concrete Incorporated with Waste Glass as a Partial Replacement for Cement. Mater. Today Proc. 2021, 42, 1958–1965. [Google Scholar] [CrossRef]
- Soliman, N.A.; Tagnit-Hamou, A. Using Particle Packing and Statistical Approach to Optimize Eco-Efficient Ultra-High-Performance Concrete. ACI Mater. J. 2017, 114, 847–858. [Google Scholar] [CrossRef]
- Vaitkevicius, V.; Šerelis, E.; Hilbig, H. The Effect of Glass Powder on the Microstructure of Ultra High Performance Concrete. Constr. Build. Mater. 2014, 68, 102–109. [Google Scholar] [CrossRef]
- Guo, P.; Meng, W.; Nassif, H.; Gou, H.; Bao, Y. New Perspectives on Recycling Waste Glass in Manufacturing Concrete for Sustainable Civil Infrastructure. Constr. Build. Mater. 2020, 257, 119579. [Google Scholar] [CrossRef]
- Siddique, R. Waste Glass. In Waste Materials and By-Products in Concrete; Springer: Berlin/Heidelberg, Germany, 2008; pp. 147–175. ISBN 978-3-540-74294-4. [Google Scholar]
- Villanueva, A.; Eder, P. End-of-Waste Criteria for Waste Paper: Technical Proposals; European Commission: Luxembourg, 2011. [Google Scholar]
- Weihua Jin and Stephen Baxter, C.M. “Glascrete”—Concrete with Glass Aggregate. ACI Mater. J. 2000, 97, 208–213. [Google Scholar] [CrossRef]
- Soliman, N.A.; Tagnit-Hamou, A. Using Glass Sand as an Alternative for Quartz Sand in UHPC. ACI Mater. J. 2017, 145, 847–858. [Google Scholar] [CrossRef]
- FEVE. Contairner Glass Recycling Un Europe. Available online: https://feve.org/glass_recycling_stats_2018/ (accessed on 1 August 2023).
- United States Environmental Protection Agency. Advancing Sustainable Materials Management, 2017 Fact Sheet; United States Environmental Protection Agency: Washington, DC, USA, 2017.
- Jiao, Y.; Zhang, Y.; Guo, M.; Zhang, L.; Ning, H.; Liu, S. Mechanical and Fracture Properties of Ultra-High Performance Concrete (UHPC) Containing Waste Glass Sand as Partial Replacement Material. J. Clean. Prod. 2020, 277, 123501. [Google Scholar] [CrossRef]
- Sood, T.; Gurmu, A. Reusing and Repurposing of Glass Waste: A Literature Review. In Proceedings of the 10th World Construction Symposium, Colombo, Sri Lanka, 24–26 June 2022. [Google Scholar]
- Al-Awabdeh, F.W.; Al-Kheetan, M.J.; Jweihan, Y.S.; Al-Hamaiedeh, H.; Ghaffar, S.H. Comprehensive Investigation of Recycled Waste Glass in Concrete Using Silane Treatment for Performance Improvement. Results Eng. 2022, 16, 100790. [Google Scholar] [CrossRef]
- Abellán, J.; Fernández, J.; Torres, N.; Núñez, A. Statistical Optimization of Ultra-High-Performance Glass Concrete. ACI Mater J. 2020, 117, 243–254. [Google Scholar] [CrossRef]
- Esmaeili, J.; AL-Mwanes, A.O. Performance Evaluation of Eco-Friendly Ultra-High-Performance Concrete Incorporated with Waste Glass-A Review. IOP Conf. Ser. Mater. Sci. Eng. 2021, 1094, 012030. [Google Scholar] [CrossRef]
- Soliman, N.A.; Tagnit-Hamou, A. Partial Substitution of Silica Fume with Fine Glass Powder in UHPC: Filling the Micro Gap. Constr. Build. Mater. 2017, 139, 374–383. [Google Scholar] [CrossRef]
- Jain, K.L.; Sancheti, G.; Gupta, L.K. Durability Performance of Waste Granite and Glass Powder Added Concrete. Constr. Build. Mater. 2020, 252, 119075. [Google Scholar] [CrossRef]
- Taha, B.; Nounu, G. Using Lithium Nitrate and Pozzolanic Glass Powder in Concrete as ASR Suppressors. Cem. Concr. Compos. 2008, 30, 497–505. [Google Scholar] [CrossRef]
- Helmy, S.H.; Tahwia, A.M.; Mahdy, M.G.; Elrahman, M.A. Development and Characterization of Sustainable Concrete Incorporating a High Volume of Industrial Waste Materials. Constr. Build. Mater. 2023, 365, 130160. [Google Scholar] [CrossRef]
- Hasan, S.; Nayyef, D. Investigation of Using Waste Glass Powder as a Supplementary Cementitious Material in Reactive Powder Concrete. Proc. Int. Struct. Eng. Constr. 2020, 7, 1–6. [Google Scholar] [CrossRef]
- Abellan-Garcia, J.; Abbas, Y.M.; Khan, M.I.; Pellicer-Martínez, F. ANOVA-Guided Assessment of Waste Glass and Limestone Powder Influence on Ultra-High-Performance Concrete Properties. Case Stud. Constr. Mater. 2024, 20, e03231. [Google Scholar] [CrossRef]
- Abellán-García, J.; García-Castaño, E. Development and Research on Ultra-High-Performance Concrete Dosages in Colombia: A Review. ACI Mater. J. 2022, 119, 209–221. [Google Scholar] [CrossRef]
- Niibori, Y.; Chida, T.; Tochiyama, O. Dissolution Rates of Amorphous Silica in Highly Alkaline Solution. J. Nucl. Sci. Technol. 2000, 37, 349–357. [Google Scholar] [CrossRef]
- Guo, P.; Bao, Y.; Meng, W. Review of Using Glass in High-Performance Fiber-Reinforced Cementitious Composites. Cem. Concr. Compos. 2021, 120, 104032. [Google Scholar] [CrossRef]
- Islam, G.M.S.; Rahman, M.H.; Kazi, N. Waste Glass Powder as Partial Replacement of Cement for Sustainable Concrete Practice. Int. J. Sustain. Built Environ. 2017, 6, 37–44. [Google Scholar] [CrossRef]
- Kunhi Mohamed, A.; Moutzouri, P.; Berruyer, P.; Walder, B.J.; Siramanont, J.; Siramanont, J.; Harris, M.; Negroni, M.; Galmarini, S.C.; Parker, S.C.; et al. The Atomic-Level Structure of Cementitious Calcium Aluminate Silicate Hydrate. J. Am. Chem. Soc. 2020, 142, 11060–11071. [Google Scholar] [CrossRef]
- Kupwade-Patil, K.; Allouche, E.N. Impact of Alkali Silica Reaction on Fly Ash-Based Geopolymer Concrete. J. Mater. Civ. Eng. 2013, 25, 131–139. [Google Scholar] [CrossRef]
- Shayan, A.; Xu, A. Value-Added Utilisation of Waste Glass in Concrete. Cem. Concr. Res. 2004, 34, 81–89. [Google Scholar] [CrossRef]
- Idir, R.; Cyr, M.; Tagnit-Hamou, A. Use of Waste Glass in Cement-Based Materials. In Proceedings of the SBEIDCO—1st International Conference on Sustainable Built Environement Infrastructures in Developing Countries, Orán, Algeria, 12–14 October 2009; pp. 109–116. [Google Scholar]
- Kaminsky, A.; Krstic, M.; Rangaraju, P.; Tagnit-Hamou, A.; Thomas, M.D.A. Ground-Glass Pozzolan for Use in Concrete. Concr. Int. 2020, 42, 24–32. [Google Scholar]
- Shao, Y.; Lefort, T.; Moras, S.; Rodriguez, D. Studies on Concrete Containing Ground Waste Glass. Cem. Concr. Res. 2000, 30, 91–100. [Google Scholar] [CrossRef]
- Abellan-Garcia, J. Tensile Behavior of Recycled-Glass-UHPC under Direct Tensile Loading. Case Stud. Constr. Mater. 2022, 17, 1–16. [Google Scholar] [CrossRef]
- Abellan-garcia, J.; Martinez, D.M.; Khan, M.I.; Abbas, Y.M.; Pellicer-martı, F. Environmentally Friendly Use of Rice Husk Ash and Recycled Glass Waste to Produce Ultra-High- Performance Concrete. J. Mater. Res. Technol. 2023, 25, 1869–1881. [Google Scholar] [CrossRef]
- Abellan-Garcia, J. Effect of Rice Husk Ash as Partial Replacement of Ordinary Portland Cement in Ultra-High-Performance Glass Concrete. Eur. J. Environ. Civ. Eng. 2023, 2, 396–401. [Google Scholar] [CrossRef]
- Abellan-Garcia, J.; Iqbal Khan, M.; Abbas, Y.M.; Martínez-Lirón, V.; Carvajal-Muñoz, J.S. The Drying Shrinkage Response of Recycled-Waste-Glass-Powder-and Calcium-Carbonate-Based Ultrahigh-Performance Concrete. Constr. Build. Mater. 2023, 379, 131163. [Google Scholar] [CrossRef]
- Abellán-garcía, J.; Iqbal-khan, M.; Abbas, Y.M.; Pellicer-martínez, F. Predicting the Flowability of UHPC and Identifying Its Significant Influencing Factors Using an Accurate ANN Model. Dyna 2024, 91, 27–36. [Google Scholar] [CrossRef]
- De Larrard, F. Concrete Mixture Proportioning: A Scientific Approach; Modern Concrete Technology Series; CRC Press: Boca Raton, FL, USA, 1999. [Google Scholar]
- De Larrard, F.; Sedran, T. Mixture-Proportioning of High-Performance Concrete. Cem. Concr. Res. 2002, 32, 1699–1704. [Google Scholar] [CrossRef]
- Nguyen, N.H.; Abellán-García, J.; Lee, S.; Nguyen, T.K.; Vo, T.P. Simultaneous Prediction the Strain and Energy Absorption Capacity of Ultra-High Performance Fiber Reinforced Concretes by Using Multi-Output Regression Model. Constr. Build. Mater. 2023, 384, 131418. [Google Scholar] [CrossRef]
- Abellan-Garcia, J.; Fernández, J.; Khan, M.I.; Abbas, Y.M.; Carrillo, J. Uniaxial Tensile Ductility Behavior of Ultrahigh-Performance Concrete Based on the Mixture Design—Partial Dependence Approach. Cem. Concr. Compos. 2023, 140, 105060. [Google Scholar] [CrossRef]
- Huang, H.; Gao, X.; Wang, H.; Ye, H. Influence of Rice Husk Ash on Strength and Permeability of Ultra-High Performance Concrete. Constr. Build. Mater. 2017, 149, 621–628. [Google Scholar] [CrossRef]
- Chindaprasirt, P.; Homwuttiwong, S.; Jaturapitakkul, C. Strength and Water Permeability of Concrete Containing Palm Oil Fuel Ash and Rice Husk-Bark Ash. Constr. Build. Mater. 2007, 21, 1492–1499. [Google Scholar] [CrossRef]
- Yang, R.; Yu, R.; Shui, Z.; Guo, C.; Wu, S.; Gao, X.; Peng, S. The Physical and Chemical Impact of Manufactured Sand as a Partial Replacement Material in Ultra-High Performance Concrete (UHPC). Cem. Concr. Compos. 2019, 99, 203–213. [Google Scholar] [CrossRef]
- National Cancer Institute Crystalline Silica. Available online: https://www.cancer.gov/about-cancer/causes-prevention/risk/substances/crystalline-silica (accessed on 1 August 2023).
- Mousa, M.; Cuenca, E.; Ferrara, L.; Roy, N.; Tagnit-Hamou, A. Tensile Characterization of an “Eco-Friendly” UHPFRC with Waste Glass Powder and Glass Sand. In Proceedings of the Strain-Hardening Cement-Based Composites. SHCC 2017, Dresden, Germany, 18–20 September 2017; Mechtcherine, V., Slowik, V., Kabele, P., Eds.; RILEM Bookseries: Valencia, Spain, 2017; pp. 238–248. [Google Scholar]
- Azmee, N.M.; Shafiq, N. Ultra-High Performance Concrete: From Fundamental to Applications. Case Stud. Constr. Mater. 2018, 9, e00197. [Google Scholar] [CrossRef]
- Pedrajas, C.; Rahhal, V.; Talero, R. Determination of Characteristic Rheological Parameters in Portland Cement Pastes. Constr. Build. Mater. 2014, 51, 484–491. [Google Scholar] [CrossRef]
- Mirzahosseini, M.; Riding, K.A. Effect of Curing Temperature and Glass Type on the Pozzolanic Reactivity of Glass Powder. Cem. Concr. Res. 2014, 58, 103–111. [Google Scholar] [CrossRef]
- Jansen, D.; Neubauer, J.; Goetz-Neunhoeffer, F.; Haerzschel, R.; Hergeth, W.D. Change in Reaction Kinetics of a Portland Cement Caused by a Superplasticizer—Calculation of Heat Flow Curves from XRD Data. Cem. Concr. Res. 2012, 42, 327–332. [Google Scholar] [CrossRef]
- Li, W.; Huang, Z.; Zu, T.; Shi, C.; Duan, W.H.; Shah, S.P. Influence of Nanolimestone on the Hydration, Mechanical Strength, and Autogenous Shrinkage of Ultrahigh-Performance Concrete. J. Mater. Civ. Eng. 2016, 28, 1–9. [Google Scholar] [CrossRef]
- Li, J.; Wu, Z.; Shi, C.; Yuan, Q.; Zhang, Z. Durability of Ultra-High Performance Concrete—A Review. Constr. Build. Mater. 2020, 255, 119296. [Google Scholar] [CrossRef]
- Lee, N.K.; Koh, K.T.; Park, S.H.; Ryu, G.S. Microstructural Investigation of Calcium Aluminate Cement-Based Ultra-High Performance Concrete (UHPC) Exposed to High Temperatures. Cem. Concr. Res. 2017, 102, 109–118. [Google Scholar] [CrossRef]
- Ge, W.; Zhang, Z.; Ashour, A.; Li, W.; Jiang, H.; Hu, Y.; Shuai, H.; Sun, C.; Li, S.; Liu, Y.; et al. Hydration Characteristics, Hydration Products and Microstructure of Reactive Powder Concrete. J. Build. Eng. 2023, 69, 106306. [Google Scholar] [CrossRef]
- Amin, M.; Zeyad, A.M.; Tayeh, B.A.; Saad Agwa, I. Effects of Nano Cotton Stalk and Palm Leaf Ashes on Ultrahigh-Performance Concrete Properties Incorporating Recycled Concrete Aggregates. Constr. Build. Mater. 2021, 302, 124196. [Google Scholar] [CrossRef]
- Bahmani, H.; Mostofinejad, D. Microstructure of Ultra-High-Performance Concrete (UHPC)—A Review Study. J. Build. Eng. 2022, 50, 104118. [Google Scholar] [CrossRef]
- Faried, A.S.; Mostafa, S.A.; Tayeh, B.A.; Tawfik, T.A. Mechanical and Durability Properties of Ultra-High Performance Concrete Incorporated with Various Nano Waste Materials under Different Curing Conditions. J. Build. Eng. 2021, 43, 102569. [Google Scholar] [CrossRef]
- Cheyrezy, M.; Maret, V.; Frouin, L. Microstructural Analysis of RPC (Reactive Powder Concrete). Cem. Concr. Res. 1995, 25, 1491–1500. [Google Scholar] [CrossRef]
- Maso, J.C. (Ed.) Interfacial Transition Zone in Concrete; CRC Press: Boca Raton, FL, USA, 1996. [Google Scholar]
- Reda, M.M.; Shrive, N.G.; Gillott, J.E. Microstructural Investigation of Innovative UHPC. Cem. Concr. Res. 1999, 29, 323–329. [Google Scholar] [CrossRef]
- Demiss, B.A.; Oyawa, W.O.; Shitote, S.M. Mechanical and Microstructural Properties of Recycled Reactive Powder Concrete Containing Waste Glass Powder and Fly Ash at Standard Curing. Cogent Eng. 2018, 5, 1464877. [Google Scholar] [CrossRef]
- ACI. ACI Committe 239R Ultra-High-Performance Concrete: An Emerging Technology Report; ACI: Toronto, ON, Canada, 2018. [Google Scholar]
- Hassan, A.M.T.; Jones, S.W.; Mahmud, G.H. Experimental Test Methods to Determine the Uniaxial Tensile and Compressive Behaviour of Ultra High Performance Fibre Reinforced Concrete (UHPFRC). Constr. Build. Mater. 2012, 37, 874–882. [Google Scholar] [CrossRef]
- Shafieifar, M.; Farzad, M.; Azizinamini, A. Experimental and Numerical Study on Mechanical Properties of Ultra High Performance Concrete (UHPC). Constr. Build. Mater. 2017, 156, 402–411. [Google Scholar] [CrossRef]
- Nassif, H.; Najm, H.; Sukawang, N. Effect of Pozzolanic Materials and Curing Methods on the Elastic Modulus of HPC. Cem. Concr. Compos. 2005, 27, 661–670. [Google Scholar] [CrossRef]
- Yoo, D.Y.; Kim, M.J.; Kim, S.W.; Park, J.J. Development of Cost Effective Ultra-High-Performance Fiber-Reinforced Concrete Using Single and Hybrid Steel Fibers. Constr. Build. Mater. 2017, 150, 383–394. [Google Scholar] [CrossRef]
- Kim, D.J.; Park, S.H.; Ryu, G.S.; Koh, K.T. Comparative Flexural Behavior of Hybrid Ultra High Performance Fiber Reinforced Concrete with Different Macro Fibers. Constr. Build. Mater. 2014, 25, 4144–4155. [Google Scholar] [CrossRef]
- Abellán-García, J. Comparison of Artificial Intelligence and Multivariate Regression in Modeling the Flexural Behavior of UHPFRC. Dyna 2020, 87, 239–248. [Google Scholar] [CrossRef]
- Yu, R.; Spiesz, P.; Brouwers, H.J.H. Mix Design and Properties Assessment of Ultra-High Performance Fibre Reinforced Concrete (UHPFRC). Cem. Concr. Res. 2014, 56, 29–39. [Google Scholar] [CrossRef]
- Yu, R.; Spiesz, P.; Brouwers, H.J.H. Development of an Eco-Friendly Ultra-High Performance Concrete (UHPC) with Efficient Cement and Mineral Admixtures Uses. Cem. Concr. Compos. 2015, 55, 383–394. [Google Scholar] [CrossRef]
- Wu, Z.; Shi, C.; He, W.; Wu, L. Effects of Steel Fiber Content and Shape on Mechanical Properties of Ultra High Performance Concrete. Constr. Build. Mater. 2016, 103, 8–14. [Google Scholar] [CrossRef]
- Monte, R.; Pereira, L.d.S.; Figueiredo, A.D.d.; Blanco, A.; Bitencourt Júnior, L.A.G. Simplified DEWS Test for Steel Fibre-Reinforced Concrete Characterisation. Rev. IBRACON Estruturas Mater. 2023, 16, e16604. [Google Scholar] [CrossRef]
- Maya Duque, L.F.; Graybeal, B. Fiber Orientation Distribution and Tensile Mechanical Response in UHPFRC. Mater. Struct. Constr. 2017, 50, 55. [Google Scholar] [CrossRef]
- Wille, K.; Kim, D.; Naaman, A.E. Strain Hardening UHP-FRC with Low Fiber Contents. Mater. Struct. 2011, 44, 538–598. [Google Scholar] [CrossRef]
- Graybeal, B.A.; Baby, F. Development of Direct Tension Test Method for Ultra-High-Performance Fiber-Reinforced Concrete. ACI Mater. J. 2013, 110, 177–186. [Google Scholar] [CrossRef]
- Abellán-García, J. Artificial Neural Network-Based Methodology for Optimization of Low-Cost Green UHPFRC Under Ductility Requirements. In Numerical Modeling Strategies for Sustainable Concrete Structures; Rossi, P., Tailhan, J.-L., Eds.; Springer: Cham, Switzerland, 2023; pp. 1–11. ISBN 9783031077463. [Google Scholar]
- Kim, J.J.; Jang, Y.S.; Yoo, D.Y. Enhancing the Tensile Performance of Ultra-High-Performance Concrete through Novel Curvilinear Steel Fibers. J. Mater. Res. Technol. 2020, 9, 7570–7582. [Google Scholar] [CrossRef]
- Meng, W.; Khayat, K.H. Effect of Hybrid Fibers on Fresh Properties, Mechanical Properties, and Autogenous Shrinkage of Cost-Effective UHPC. J. Mater. Civ. Eng. 2018, 30, 04018030. [Google Scholar] [CrossRef]
- Kim, D.J.; Wille, K.; Naaman, A.E.; El-Tawil, S. Strength Dependent Tensile Behavior of Strain Hardening Fiber Reinforced Concrete. In High Performance Fiber Reinforced Cement Composites 6; Springer: Berlin/Heidelberg, Germany, 2011; pp. 3–10. [Google Scholar]
- Shaikh, F.U.A.; Nishiwaki, T.; Kwon, S. Effect of Fly Ash on Tensile Properties of Ultra-High Performance Fiber Reinforced Cementitious Composites (UHP-FRCC). J. Sustain. Cem. Mater. 2018, 7, 357–371. [Google Scholar] [CrossRef]
- Ghafari, E.; Costa, H.; Júlio, E.; Portugal, A.; Durães, L. Enhanced Durability of Ultra High Performance Concrete by Incorporating Supplementary Cementitious Materials. In Proceedings of the Second International Conference Microdurability, Amsterdam, The Netherlands, 11–13 April 2012; pp. 11–13. [Google Scholar]
- Abellan-Garcia, J.; Khan, M.I.; Abbas, Y.M.; Castro-Cabeza, A.; Carrillo, J. Multi-Criterion Optimization of Low-Cost, Self-Compacted and Eco-Friendly Micro-Calcium-Carbonate- and Waste-Glass-Flour-Based Ultrahigh-Performance Concrete. Constr. Build. Mater. 2023, 371, 130793. [Google Scholar] [CrossRef]
- BS1881-208; Recommendations for the Determination of the Initial Surface Absorption of Concrete. British Standards: London, UK, 1996.
- Liu, Z.; El-Tawil, S.; Hansen, W.; Wang, F. Effect of Slag Cement on the Properties of Ultra-High Performance Concrete. Constr. Build. Mater. 2018, 190, 830–837. [Google Scholar] [CrossRef]
- Taha, B.; Nounu, G. Utilizing Waste Recycled Glass as Sand/Cement Replacement in Concrete. J. Mater. Civ. Eng. 2009, 21, 709–721. [Google Scholar] [CrossRef]
- Graybeal, B.; Tanesi, J. Durability of an Ultrahigh-Performance Concrete. J. Mater. Civ. Eng. 2007, 19, 848–854. [Google Scholar] [CrossRef]
- Sadek, M.M.; Hassan, A.A.A. Abrasion and Scaling Resistance of Lightweight Self Consolidating Concrete Containing Expanded Slate Aggregate. ACI Mater. J. 2021, 118, 31–42. [Google Scholar] [CrossRef]
- Adresi, M.; Lacidogna, G. Investigating the Micro/Macro-Texture Performance of Roller-Compacted Concrete Pavement under Simulated Traffic Abrasion. Appl. Sci. 2021, 11, 5704. [Google Scholar] [CrossRef]
- Bonneau, O.; Lachemi, M.; Dallaire, E.; Dugat, J.; Aitcin, P.C. Mechanical Properties and Durability of Two Industrial Reactive Powder Concretes. ACI Mater. J. 1997, 94, 286–290. [Google Scholar] [CrossRef] [PubMed]
- Yang, S.L.; Millard, S.G.; Soutsos, M.N.; Barnet, S.J.; Le, T.T. Influence of Aggregate and Curing Regime on the Mechanical Properties of Ultra-High Performance Fibre Reinforced Concrete (UHPFRC). Constr. Build. Mater. 2009, 23, 2291–2298. [Google Scholar] [CrossRef]
- Randl, N.; Steiner, T.; Ofner, S.; Baumgartner, E.; Mészöly, T. Development of UHPC Mixtures from an Ecological Point of View. Constr. Build. Mater. 2014, 67, 373–378. [Google Scholar] [CrossRef]
- Herold, G.; Müller, H.S. Measurement of Porosity of Ultra High Strength Fibre Reinforced Concrete. In Proceedings of the International Symposium on Ultra-High Performance Concrete, Kassel, Germany, 13–15 September 2004; Kassel University Press: Kassel, Germany, 2004; pp. 685–694. [Google Scholar]
- Schmidt, M.; Fehling, E.; Teichmann, T.; Kai, B.; Roland, B. Ultra-High Performance Concrete: Perspective for the Precast Concrete Industry. Betonw. Fert. Precast. Plant Technol. 2003, 69, 16–29. [Google Scholar]
- Urbonas, L.; Heinz, D.; Gerlicher, T. Ultra-High Performance Concrete Mixes with Reduced Portland Cement Content. J. Sustain. Archit. Civ. Eng. 2013, 3, 47–51. [Google Scholar] [CrossRef]
- Graybeal, B.A. Characterization of the Behaviour of Ultra-High Performance Concrete; University of Maryland: College Park, MD, USA, 2005. [Google Scholar]
- Corinaldesi, V.; Moriconi, G. Mechanical and Thermal Evaluation of Ultra High Performance Fiber Reinforced Concretes for Engineering Applications. Constr. Build. Mater. 2012, 26, 289–294. [Google Scholar] [CrossRef]
- Akeed, M.H.; Qaidi, S.; Ahmed, H.U.; Faraj, R.H.; Mohammed, A.S.; Emad, W.; Tayeh, B.A.; Azevedo, A.R.G. Ultra-High-Performance Fiber-Reinforced Concrete. Part IV: Durability Properties, Cost Assessment, Applications, and Challenges. Case Stud. Constr. Mater. 2022, 17, e01271. [Google Scholar] [CrossRef]























| Soda-Lime | Lead | Borosilicate | E-Glass | |
|---|---|---|---|---|
| SiO2 | 71–75% | 54–65% | 70–80% | 52–56% |
| Al2O3 | 1–1.5% | 7% | 12–16% | |
| B2O3 | 7–15% | 0–10% | ||
| CaO | 9–15% | 16–25% | ||
| PbO | 25–30% | |||
| Na2O+ | 12–16% | 13–15% | 4–8% | 0–2% |
| K2O |
| Glass Color | |||
|---|---|---|---|
| Green | Brown/Amber | Clear/Flint | |
| SiO2 | 71.3% | 71.9–72.4% | 73.2–73.5% |
| Al2O3 | 2.20% | 1.70–1.80% | 1.7–1.9% |
| SO3 | 0.05 | 0.12–0.14% | 0.20–0.24% |
| CaO + MgO | 12.20% | 11.60% | 10.7–10.8% |
| Fe2O3 | 0.56% | 0.30% | 0.04–0.05% |
| Na2O + K2O | 13.10% | 13.8–14.4% | 13.6–14.1% |
| Cr2O3 | 0.43% | 0.01% | - |
| Components | Glass Powder References | |||||
|---|---|---|---|---|---|---|
| [29] | [75] | [76] | [77] | [48] | [64] | |
| SiO2 | 72.89 | 75.47 | 72.2 | 73.00 | 71.4 | 72.76 |
| Al2O3 | 1.67 | 1.09 | 1.54 | 1.5 | 1.4 | 1.67 |
| Fe2O3 | 0.81 | 0.79 | 0.48 | 0.4 | 0.2 | 0.79 |
| CaO | 9.73 | 9.02 | 11.42 | 11.3 | 10.6 | 9.74 |
| MgO | 2.08 | 1.97 | 0.79 | 1.2 | 2.5 | 2.09 |
| SO3 | 0.01 | - | 0.09 | - | 0.1 | 0.10 |
| Na2O | 12.54 | 11.65 | 12.85 | 13 | 12.7 | 12.56 |
| K2O | 0.76 | 0.75 | 0.43 | 0.5 | 0.5 | 0.76 |
| TiO2 | 0.04 | 0.04 | - | 0.04 | - | 0.04 |
| Physical Feature | Value |
|---|---|
| Specific gravity | 2.19–2.60 |
| Water absorption (%) | 0.19–0.4 |
| Total Powders (kg/m3) | % Cement | % SF | % WGP | Other Mineral Admixture | Other Mineral Admixture | w/b | Compressive Strength (MPa) | Reference | ||
|---|---|---|---|---|---|---|---|---|---|---|
| Type | % | Type | % | |||||||
| 1180–1727 | 59.88–90.00 | 6.83–10.00 | 0.00–27.03 | Rejected-FA | 0.00–31.67 | - | - | 0.15 | 148–158 | [48] |
| 1147–1246 | 58.99–88.13 | 0.00–11.87 | 0.00–33.06 | QP | 0.00–15.42 | - | - | 0.15–0.25 | 153–221 * | [42,64] |
| 1151–1282 | 47.26–63.38 | 8.76–17.63 | 19.03–37.73 | - | - | - | - | 0.15–0.20 | 100–177 | [1] |
| 1035–1052 | 78.23–78.31 | 0.00–21.74 | 0.00–21.77 | - | - | - | - | 0.21 | 100–175 | [77] |
| 1131–1147 | 50.05–58.72 | 8.76–8.84 | 7.83–13.92 | Limestone | 20.37–21.01 | FC3R | 4.38–4.40 | 0.16–0.18 | 132–156 | [27] |
| 1158–1210 | 48.80–56.84 | 8.26–8.63 | 25.52–31.66 | Limestone | 7.60–11.25 | - | - | 0.14–0.16 | 101–162 | [75] |
| 1287 | 37.95–48.17 | 7.70 | 24.08 | Limestone | 19.98 | MK | 0.00–10.21 | 0.16–0.18 | 129–159 | [3] |
| 1190 | 56.80 | 11.93 | 31.26 | - | - | - | - | 0.18 | 155 | [15] |
| 1282 | 46.02 | 7.80 | 26.13 | Limestone | 20.05 | - | - | 0.15 | 156 | [9,10,18,93] |
| 1165–1195 | 43.24–59.15 | 8.36–8.58 | 3.85–18.04 | Limestone | 21.79–35.96 | EAFS | 2.19–14.29 | 0.14–0.16 | 100–163 | [29] |
| 1205–1280 | 45.55–57.01 | 7.65–7.80 | 26.01–33.02 | Limestone | 10.15–30.22 | - | - | 0.14–0.21 | 142–156 | [58] |
| 1259 | 38.80–49.25 | 7.94 | 25.23 | Limestone | 17.58 | RHA | 0.00–10.45 | 0.16–0.18 | 139–159 | [94,95] |
| Control | Optimized 1 | Optimized 2 | |
|---|---|---|---|
| OPC (kg/m3) | 852 | 590 | 603 |
| SF (kg/m3) | 272 | 100 | 100 |
| Waste glass powder (kg/m3) | - | - | 169 |
| Waste glass flour (kg/m3) | - | 335 | 199 |
| LP (kg/m3) | - | 257 | 118 |
| SS (kg/m3) | 889 | 778 | 834 |
| HRWRA (kg/m3) | 26.5 | 21.5 | 20.0 |
| w/b | 0.218 | 0.165 | 0.163 |
| Slump flow (mm) | 260 | 253 | 258 |
| VPD * | 0.83 | 0.81 | 0.79 |
| Glass Sand d50 (μm) | Glass Sand dmax (μm) | Quartz Sand Replacement Percentage (%) | Compressive Strength Normal Curing (MPa) | Compressive Strength Heat Curing (MPa) | Reference |
|---|---|---|---|---|---|
| 275 | 630 | 50 | 171 *** | 196 * | [69] |
| 275 | 630 | 100 | 157 *** | 182 * | [69] |
| 350 | 630 | 100 | 128 *** | 153 * | [69] |
| 225 | 630 | 100 | 127 *** | 164 * | [69] |
| 300 | 600 | 100 | 124 ** | - | [50] |
| - | 800 | 25 | 175 *** | 200 * | [1] |
| - | 800 | 50 | 165 *** | 190 * | [1] |
| - | 800 | 50 | 162 *** | 175 * | [1] |
| 275 | 630 | 50 | 140 *** | 150 * | [106] |
| Replaced Material | Percentage of Replacement (%) | GP Fineness d50 (μm) | Concrete Strength Trend | Reference |
|---|---|---|---|---|
| Cement | 20 | 12 | Increase of 13% | [41] |
| Cement | 50 | 12 | Decrease of 9% | [41] |
| Cement | 25 | 10 | Increase of 11% | [40] |
| Silica Fume | 30 | 3.8 | Increase of 8% | [77] |
| Silica Fume | 50 | 3.8 | Increase of 1% | [77] |
| Silica Fume | 100 | 3.8 | Decrease of 16% | [77] |
| Quartz Powder | 100 | 12 | Increase of 17% | [41] |
| Quartz Powder | 50 | 12 | Increase of 11% | [41] |
| Quartz Powder | 100 | 10 | Increase of 19% | [40] |
| Notation | Form | df/lf | Material | Strength (MPa) |
|---|---|---|---|---|
| S1 | Smooth | 65 | Steel | ≈2600 |
| S2 | Smooth | 30 | Steel | ≈2600 |
| H1 | Hooked | 70 | Steel | ≈2000 |
| H2 | Hooked | 80 | Steel | ≈1600 |
| PP | Twisted | 26 | Steel | ≈1700 |
| PE | Corrugated | 75 | Polypropylene | ≈650 |
| PVA | Fibrillated | 67 | Polyethylene | ≈550 |
| Cement | SF | Glass Powder | Quartz Sand | PVA Fiber | Water |
|---|---|---|---|---|---|
| 549 | 204 | 403 | 888 | 32.5 | 224 |
Disclaimer/Publisher’s Note: The statements, opinions and data contained in all publications are solely those of the individual author(s) and contributor(s) and not of MDPI and/or the editor(s). MDPI and/or the editor(s) disclaim responsibility for any injury to people or property resulting from any ideas, methods, instructions or products referred to in the content. |
© 2024 by the authors. Licensee MDPI, Basel, Switzerland. This article is an open access article distributed under the terms and conditions of the Creative Commons Attribution (CC BY) license (https://creativecommons.org/licenses/by/4.0/).
Share and Cite
Redondo-Pérez, N.M.; Redondo-Mosquera, J.D.; Abellán-García, J. A Comprehensive Overview of Recycled Glass as Mineral Admixture for Circular UHPC Solutions. Sustainability 2024, 16, 5077. https://doi.org/10.3390/su16125077
Redondo-Pérez NM, Redondo-Mosquera JD, Abellán-García J. A Comprehensive Overview of Recycled Glass as Mineral Admixture for Circular UHPC Solutions. Sustainability. 2024; 16(12):5077. https://doi.org/10.3390/su16125077
Chicago/Turabian StyleRedondo-Pérez, N. Marcela, Jesús D. Redondo-Mosquera, and Joaquín Abellán-García. 2024. "A Comprehensive Overview of Recycled Glass as Mineral Admixture for Circular UHPC Solutions" Sustainability 16, no. 12: 5077. https://doi.org/10.3390/su16125077
APA StyleRedondo-Pérez, N. M., Redondo-Mosquera, J. D., & Abellán-García, J. (2024). A Comprehensive Overview of Recycled Glass as Mineral Admixture for Circular UHPC Solutions. Sustainability, 16(12), 5077. https://doi.org/10.3390/su16125077

