Next Article in Journal
Integration of Methane Reforming and Chemical Looping Technologies for Power Generation from Waste Plastic: Technical and Economic Assessment
Next Article in Special Issue
Poverty in the Kazakhstan Regions: Assessing the Influence of Key Indicators on Differences in Its Level
Previous Article in Journal
A Comprehensive Overview of Recycled Glass as Mineral Admixture for Circular UHPC Solutions
 
 
Font Type:
Arial Georgia Verdana
Font Size:
Aa Aa Aa
Line Spacing:
Column Width:
Background:
Article

“County-to-City Upgrading” Policy and Firm Innovation—Evidence from China

by
Yida Song
China Institute of WTO Studies, Academy of China Open Economy Studies, University of International Business and Economics, Beijing 100029, China
Sustainability 2024, 16(12), 5080; https://doi.org/10.3390/su16125080
Submission received: 8 April 2024 / Revised: 24 May 2024 / Accepted: 4 June 2024 / Published: 14 June 2024
(This article belongs to the Special Issue Development Economics and Sustainable Economic Growth)

Abstract

The “County-to-City Upgrading” policy represents a typical tool for central and local governments to promote the urbanization process through administrative empowerment. Do local governments’ policies promote innovation-driven high-quality and sustainable development? Under the context of the high-quality development of China’s economy, this paper examines the quantitative impact of the local governments’ “County-to-City Upgrading” policy on enterprises’ innovation. Using a staggered-DID model and the data from the Chinese Patent Database and the Industrial Enterprise Database from 2000 to 2013, the baseline results indicate that the policy not only increases the quantity of innovation but also improves the quality of innovation. The key findings of the research are the following: (1) The policy primarily promotes innovation activities among local enterprises through the cost reduction effect and resource accumulation effect. (2) The policy has a more significant impact on boosting innovation in the eastern regions as well as areas with stronger intellectual property protection. (3) The policy not only can advance technological and practical innovation but can also help enterprises overcome the problem of technological containment. (4) The policy has a prominent impact on green and low-carbon patents, which implies that it has become a significant drive pushing forward local green and sustainable development.

1. Introduction

During the period of 1990 to 2022, China’s economy maintained a high annual growth rate of 7.59% [1], with local governments playing a significant role in this process [2,3]. Currently, China’s economy is at a critical stage of transitioning from high-speed growth to high-quality and sustainable development, where innovation-driven economic growth is an intrinsic requirement. To explore the function of local governments’ policy further, this paper studied whether local governments will play a positive role in the new phase of China’s high-quality and sustainable economic development.
Initiated in China in 1978, the “County-to-City Upgrading” policy advances the transformation of the county economy into a city-level economy through administrative empowerment, which, in essence, means delegating greater autonomy to the county-level economy in terms of administrative approvals, land use, urban planning, taxation, etc., to promote local economic development, improve administrative efficiency, and realize the coordination and sustainability of urban and rural development. Current research indicates that this policy, through administrative empowerment, enhances managerial efficiency and promotes the transformation and development of county economies into urban economies [4]. Through “County-to-City Upgrading”, local governments gain greater autonomy in policy support, fiscal budgeting, and land planning. This autonomy enables them to better support business innovation activities according to local conditions, such as reducing the costs of financing and land use for businesses, attracting knowledge-intensive enterprises and high-skilled talent, enhancing resource agglomeration effects and spatial spillover effects, and thus promoting local business innovation.
Innovation is the primary driver of business development. As a crucial prerequisite for enterprises to survive and grow in competition, business innovation has attracted wide attention from scholars, policy makers and business managers alike. There are primarily three kinds of studies which are closely related to the study of this paper. The first discusses the factors influencing business innovation; which have verified that external factors such as industrial policy [5,6], internal factors such as R&D investment, and traits of Non-executive and Executive employees [7], as well as internet access, and digital transformation [8], are all important factors in determining the innovation capability of enterprises. The second focuses on the impact of administrative policy such as “County-to-City Upgrading”. Existing literature on the impact of “County-to-City Upgrading” policy mainly focuses on the regional economic aggregate level, such as the positive promotion effect of the “County-to-City Upgrading” policy on the economic development of counties and cities; Fan et al. [4], for instance, used data from 1993 to 2004 and found that county-level cities established by such policies showed no better performance than others in promoting economic development and urbanization. Similarly, Li, P. et al. [9] examined a negative causal relationship between the flattening of a government hierarchy and economic performance with a dataset on government reorganization in China from 1995 to 2012. Many scholars have investigated the role of urbanization in promoting technological innovation in firms [10,11,12]; however, currently, there is relatively limited research which focuses on the quantitative impact that “County-to-City Upgrading” policies have on local enterprises’ innovation, or sustainable development, one case in point is Molly Lipscomb et al. [13], which shows that administrative decentralization in Brazil can improve service delivery, but it can also generate negative environmental externalities across jurisdictional boundaries, such as water pollution and the deterioration of water quality.
This paper utilizes the Chinese Enterprise Patent Database and the Chinese Industrial Enterprise Database from 2000 to 2013 to conduct a comprehensive analysis of the business innovation effects induced by the “County-to-City Upgrading” policy. Empirical analysis is carried out at the micro-level using a quasi-natural experiment design and the Staggered Difference-in-Differences (Staggered-DID) model. This study firstly examines the impact of the “County-to-City Upgrading” policy on the quantity of patent applications and the likelihood of applying for patents in the baseline regression, then conducts robustness tests, placebo tests, and parallel trend tests to verify the reliability of the results and the existence of a causal relationship. In the mechanism tests, this study demonstrates that after the implementation of the “County-to-City Upgrading” policy, local governments reduced firms’ financing and land use costs and increased the level of human capital through cost effects and agglomeration effects. They also attracted knowledge-intensive enterprises, thereby promoting corporate innovation activities. In the heterogeneity analysis, the paper provides a detailed examination with a focus on the eastern, central, and western regions, types of patents, and the level of intellectual property rights protection. In the final extension analysis, the research explores the spatial spillover effects that the “County-to-City Upgrading” policy has on business innovation and its impact on core technological innovation, namely, whether it can help resolve China’s technological bottleneck. Moreover, the policy also has a positive influence over green and low-carbon patent applications, which verifies that such policy, to a certain extent, has contributed to the local green and sustainable development.
This study, using data from Chinese Enterprise Patent Database and the Chinese Industrial Enterprise Database during the year 2000 to 2013, aims to test the empirical effects that the “County-to-City Upgrading” policy has on business innovation and the possible mechanism. Clarifying these issues may not only help optimize policy formulation and stimulate innovation but also provide empirical evidence.
Compared with the existing literature, this paper’s main contributions are threefold: First, it focuses on the empirical relation between administrative empowerment and business innovation, offering a new perspective for the causes of business innovation. Second, this paper employs a staggered difference-in-differences (DID) causal identification strategy and constructs a dataset, based on merged data from the Chinese Industrial Enterprise and Chinese Enterprise Patent Databases, and manually collected data of the changes in administrative districts, which may blaze a trail for similar studies in the future. Third, this paper also focuses on the underlying mechanisms and multiple heterogeneous effects according to different regions, fields, and intellectual property protection level, as well as the “technological containment” issue and the green and low-carbon patents’ filing.
The rest of this paper is organized as follows (as is shown in Figure 1): the second section sheds light upon the empirical design, including data sources, stylized facts, and econometric model. The third section shows the empirical results, including the baseline regression, the parallel trend test, and the robustness test. Also, this section analyses the mechanism from the perspective of cost effect and agglomeration effect, and provides heterogeneity analysis according to different geological regions, different types of patents and the degree of regional intellectual property protection. The fourth section extends the results, including heterogeneity analysis in spatial spillover effect of the innovation, analysis in technological innovation in key areas, and analysis in innovation of green and low-carbon emission technology. The fifth section concludes and provides implications.

2. Material and Methods

2.1. Econometric Model

To identify the impact of administrative empowerment on local enterprise innovation, this study utilizes the “County-to-City Upgrading” policy as a quasi-natural experiment and constructs the following Difference-in-Differences model:
i n n o v a t i o n i c p t = α + β t r e a t c p t + θ X i · f t + ζ Z c · f t + γ i + σ p t + ε i c p t
The subscripts i, c, p, and t in this model represent the enterprise, county, province, and year, respectively. The dependent variable, innovation, denotes the innovation activities of the enterprises, with the specific measurement methods detailed later in the text. The core explanatory variable, treat, indicates whether the enterprise’s county has undergone “County-to-City Upgrading”. If a county is upgraded in year t, treat takes a value of 1 in year t and subsequent years; otherwise, it is 0. X represents other control variables that affect corporate innovation. γ i , σ p t , and ε i c p t , respectively, represent fixed effects for the enterprise, fixed effects for province–year, and the random error term.

2.2. Variable Descriptions

Dependent variable (innovation): In measuring corporate innovation, the existing literature often uses innovation inputs (such as R&D expenditure) or innovation outputs (such as patent applications) as indicators. In this study, following the approaches of Liu et al. [14], Aghion et al. [15], and Hashmi [16], this paper uses patent application data to reflect corporate innovation activities. Specifically, this paper employs the natural logarithm of the total number of corporate patent applications plus one (lnpatent), and a binary variable indicating whether a patent application was made (if_patent), where if_patent is 1 if the number of patent applications is greater than 0, and 0 otherwise.
Key explanatory variable (treat): As this paper aims to use the “County-to-City Upgrading” policy as a quasi-natural experiment to identify the causal effect of administrative empowerment on corporate innovation, the core explanatory variable treat is a dummy variable indicating whether the county where a company is located was subject to “County-to-City Upgrading” (treat) during the sample period. Treat takes a value of 1 in the year when the policy is implemented and subsequent years, and 0 otherwise.
Other control variables: In addition to the core explanatory variable, this paper controls for other potential factors that may affect corporate innovation. First, the natural logarithm of total assets (size) is used as a measure of company size to control for scale factors. Second, considering the impact of the operational tenure of a company on R&D innovation activities, this paper introduces the natural logarithm of the current year minus the year of company establishment plus one (age) as a control variable in the regression. Third, this paper controls for the impact of company ownership type by introducing dummy variables for foreign-owned enterprises (foe, where foe is 1 for foreign-owned enterprises and 0 otherwise) and state-owned enterprises (state, where state is 1 for state-owned enterprises and 0 otherwise).

2.3. Data Sources

The research sample of this paper comprises panel data at the micro-enterprise level from 2000 to 2013. The corporate patent data are gained from the National Intellectual Property Administration, which includes patent application numbers, classification numbers, main classification numbers, patent types, etc. Other enterprise-level characteristic variables are gathered from the China Industrial Enterprises Database, covering all state-owned and non-state-owned enterprises above a designated size and providing detailed information about these enterprises. County-level data on GDP, fiscal expenditure, financial institution loans, patent applications, etc., are obtained from the “China County Statistical Yearbook”. Additionally, data on land transfer area and land prices used in the mechanism analysis are sourced from the China Land Market website, which presents in detail actual land transaction scenarios in regions, including key information on the purpose, area, and transaction price of land transfers. Descriptive statistics for the main variables used in this study are presented in Table 1.

2.4. Stylized Facts

2.4.1. Randomness of the “County-to-City Upgrading” Policy

A key assumption in the difference-in-difference estimation is that the government’s choice of counties to upgrade is random, in other words, implementation of the policy should not be influenced by non-random factors, such as economic power or science and technological strength, etc.
To make sure the sample selection is randomized, based on the study of Li et al. [9], this paper controls lnGDP·f(t) as well as lngdp·f(t) in the baseline regression (where GDP refers to the overall GDP of each county, gdp denotes the per capita income of each county, and f(t) represents the time trend item), and the results are shown in the following Table 2. The results remain consistent and robust with the previous benchmark results, validating the randomization of the policy in terms of city selection.
Also, to solve the problem of bad controls, according to Li et al. [9], this paper adds X i · f ( t ) in the original baseline regression, where X i refers to features of the firm before the implementation of the policy, and f t   represents the time trend item. The new Equation (1) and empirical results are as follows in Table 2, which is consistent with the previous baseline regression.

2.4.2. Trends in Corporate Patent Applications

Figure 2 illustrates the trend in total corporate patent applications and the volume of applications by patent type. Several observations can be made from this figure. First, both the total number of patent applications and the number of applications by type exhibit an annual upward trend. Second, the overall pattern of patent applications in China is predominantly characterized by utility patents, followed by design patents, with invention patents constituting a smaller proportion. However, invention patents have steadily risen and, in 2013, surpassed design patents to rank second. Furthermore, from a geographical perspective, it is evident that corporate patent applications are primarily concentrated in the eastern coastal regions, indicating significant regional disparities.
The Figure 3 depicts the stylized fact of “County-to-City Upgrading” during the years 2000–2013, which shows that one hundred and fifty counties have been treated and more than one hundred and forty counties are in the control group, in other words, one hundred and fifty counties have undergone the policy.

3. Results

3.1. Baseline Regression

Table 2 reports the baseline estimation results of this study. Columns (1) and (2) use the volume of patent applications (lnpatent) as the dependent variable. In column (1), this paper control for both firm fixed effects and province–year fixed effects. It shows that the coefficient estimate of the core explanatory variable is significantly positive at the 1% level, indicating that the “County-to-City Upgrading” policy contributes to an increase in the volume of corporate patent applications. In column (2), this paper introduces additional relevant control variables, and the coefficient estimate of the core explanatory variable remains largely unchanged. This suggests that even after excluding the interference of other time-varying factors, the “County-to-City Upgrading” policy continues to significantly increase the volume of corporate patent applications. Columns (3) and (4) have the binary outcome of whether a firm applies for a patent (if_patent) as the dependent variable. The results in columns (3) and (4) indicate that the “County-to-City Upgrading” policy significantly promotes patent application activities among enterprises. Overall, the “County-to-City Upgrading” policy is seen to foster corporate innovation both in terms of extensive margin (increasing the volume of innovation activities) and intensive margin (enhancing the quality of innovations).
To avoid serious estimation bias in using two-way fixed effects to estimate staggered DID models, according to the study by Liu, L. et al. [17], this paper uses two-way fixed effects (TWFE) and the fixed-effect counterfactual estimator (FECT) for the estimation, respectively, and the results are shown in Table 3, which is consistent with previous results.

3.2. Parallel Trends Test

A key prerequisite for obtaining reliable results using Difference-in-Differences estimation in this study is that there should be no significant difference in innovation activities between treated and control groups prior to the implementation of the “County-to-City Upgrading” policy. To verify this, the study employs an event study approach for parallel trends testing, drawing on the methodology of Jacobson et al. [18]. This paper constructs the following econometric model:
  i n n o v a t i o n i c p t = α + k = 5 k = 4 β k D c p , t 0 + k + θ X + γ i + σ p t + ε i c p t
In the above model, k represents the standardized time periods, with the kth year before “County-to-City Upgrading” assigned a value of −k, and the kth year after assigned a value of k; t0 represents the initial year of “County-to-City Upgrading”; and D c p , t 0 + k represents a series of dummy variables, if t = k + t0, the value is 1, otherwise it is 0. The study focuses on the five periods before and four periods after the policy implementation for estimation and testing, with the results detailed in Figure 4. It is evident that there were no significant differences in corporate innovation between the treatment and control groups before the implementation of the “County-to-City Upgrading” policy. However, after the implementation, corporate innovation in the treated areas significantly increased compared to the control areas, thereby satisfactorily passing the parallel trends test.
Note: The explanatory variable in the left figure is the number of patent applications of the enterprise (lnpatent), and the explained variable in the right figure is whether the enterprise applies for patents (if_patent). The black lines depict the average treatment effect(ATT) of Equation (1), while the gray areas represent the 95% level confidence intervals.

3.3. Robustness Checks

3.3.1. Substituting the Dependent Variable

In the baseline regression, this study mainly used patent application data to characterize changes in corporate innovation. In this section, this paper focuses on the quality of corporate patents as the dependent variable to thoroughly examine the impact of the “County-to-City Upgrading” policy on the quality of corporate innovation. Specifically, following the research approach of Aghion et al., Akcigit et al. and Gao, X. [19,20,21], this paper measures patent quality using the knowledge breadth method, with the estimation results presented in Column (1) of Table 3. It shows that the coefficient estimate of the core explanatory variable remains significantly positive, indicating that the “County-to-City Upgrading” policy not only promotes the quantity of corporate innovation but also enhances the quality of innovation, thereby playing a dual role of “quantity increase and quality improvement”.

3.3.2. County-Level Analysis

Although the corporate-level estimation results of this paper indicate a significant increase in innovation following the implementation of the “County-to-City Upgrading” policy, this does not preclude the possibility that smaller enterprises in our sample might exit the market in the face of more intense market competition, thereby inhibiting innovation. To address this concern, this paper reports county-level estimation results in Column (2) of Table 4. The results show that the “County-to-City Upgrading” policy leads to a 14.9% increase in patent application numbers in the affected counties compared to other counties (control group). This suggests that even after considering the effects of enterprise entry and exit, the regression results remain robust.

3.3.3. Placebo Test

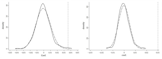
This study conducts a placebo test through random experimentation. Specifically, following the methodology of Li et al. [9], this paper randomly draws treatment groups and treatment times within the sample period, creating a “pseudo” treatment variable (treatf). This variable is then incorporated into the baseline model (1) for estimation. Since the “pseudo” treatment group is randomly selected, the corresponding dummy variable treatf theoretically should not have a significant impact on corporate innovation, implying that the estimate of β should be close to 0. To avoid interference from other factors, this paper has repeated this process 300 times, generating 300 different coefficient estimates.
Figure 5 depicts the density distribution of the core explanatory variable’s coefficient estimates from 300 regressions, with corporate patent applications (lnpatent) and the binary outcome of patent applications (if_patent) as dependent variables. As can be seen in Figure 5, the mean of the coefficient estimates is concentrated around 0 and approximates a normal distribution. Additionally, the actual estimate of the coefficient (indicated by the vertical line in the figure) is a clear outlier, which suggests that the baseline estimations of this study pass the placebo test convincingly.
Note: The solid lines show the normal distribution, while the dotted lines depict the distribution of estimated coefficients after random sampling. The vertical dotted lines represent the coefficients in baseline model.

3.3.4. Other Robustness Checks

Furthermore, to further test the robustness of the baseline conclusions of the article, the following additional checks are performed:
Trimming of the dependent variable: To mitigate the influence of outliers on the estimation results, a two-sided 1% trimming of the dependent variable is conducted. The estimation results of this process are shown in Columns (1) and (2) of Table 4.
Alternative estimation methods: Given the high number of zero values in patent counts, the study retests using a Poisson pseudo-maximum likelihood estimation. The regression results are presented in Columns (3) and (4) of Table 4.
Exclusion of firms from Beijing, Shanghai, Tianjin, Chongqing, and Tibet: The administrative levels of counties in these provinces and municipalities differ from those in other regions, potentially influencing estimation results due to these differences. Therefore, firms located in these special areas are excluded from the regression analysis. The estimation results of this exclusion are detailed in Columns (5) and (6) of Table 4.
The regression results in Table 5 show that the coefficient estimate of the core explanatory variable is significantly positive. This indicates that the baseline conclusions of this study are robust.

3.4. Mechanism Analysis

Based on existing literature and the practical gains and changes brought about by the “County-to-City Upgrading” policy, this paper posits that the policy can promote R&D innovation in local enterprises through two channels: cost effects and agglomeration effects.

3.4.1. Cost Effect

The “County-to-City Upgrading” can promote corporate innovation through cost effects, especially by reducing financial and land costs. Regarding the effect on financing costs, this paper argues that the policy can promote innovation by reducing firms’ financing costs and easing their financing constraints. Specifically, first, after the upgrade to city status, the economic scale of city-level administrative units typically expands, leading to increased fiscal budgets and economic resources. This expansion enables more financial support, such as the establishment of technology innovation funds and R&D subsidies. Second, the upgrade usually brings more policy support and incentives, like tax reductions and preferential loans, which help lower the operational and financing costs for enterprises. Finally, the policy support and development opportunities brought by the upgrade improve the local business outlook, motivating investors to increase their financial contributions to local firms. Overall, the “County-to-City Upgrading” policy helps alleviate financing constraints faced by local enterprises, thereby fostering innovation.
Regarding the effect on land costs, this paper suggests that the policy can promote corporate innovation by increasing land supply and reducing land prices. In detail, after the upgrade, the region will have greater autonomy in land planning and use, leading to increased urban construction land quotas and land supply and corresponding reductions in land price. This dual effect of supply and price reduction significantly lowers land costs for enterprises, thereby creating favorable conditions for innovation by increasing liquidity, reducing the crowding out of R&D investments by physical capital, and easing the impact of rising labor costs on R&D investment.
Next, the paper will empirically test the effects of both financial and land costs to comprehensively reveal the cost effect channels through which the “County-to-City Upgrading” policy influences corporate innovation. The data of financial institution loans and financial expenditure are gained from the China County Statistical Yearbook, and the data of the financing constraints are calculated based on the data from China Industrial Enterprises Database. The data of land price and land supply are gained from the website of Land China, the data of corporate human capital are calculated based on the data from China Industrial Enterprises Database, and the data of Intellectual property rights are gained from the China Marketization Index Report.
  • Financial cost effect: First, this paper estimates the regional financial institution loan balance and fiscal expenditure as the dependent variables (both variables are logarithmically transformed), with results presented in Columns (1) and (2) of Table 6. It is observed that financial institution loans and fiscal expenditure in the “County-to-City Upgraded” areas are significantly higher compared to areas without such upgrades. Furthermore, following the research approach of Li, Z. and Yu, M.J. [22], this paper uses the logarithm of firms’ interest expenses as a proxy indicator to examine the impact of the policy on firms’ financing constraints. The results in Column (3) of Table 6 show that the “County-to-City Upgrading” significantly alleviates financing constraints faced by local enterprises. In summary, Table 5 demonstrates that the policy can promote innovation by lowering financing costs and easing financing constraints for enterprises.
    Table 6. Cost effect: financial cost.
    Table 6. Cost effect: financial cost.
    Variable(1)(2)(3)
    Financial Institution LoansFinancial ExpenditureFinancing Constraints
    Treat0.423 ***0.229 ***0.231 *
    (0.064)(0.038)(0.134)
    Constant12.132 ***10.921 ***−4.269 ***
    (0.016)(0.008)(0.183)
    Obs24,89927,5402,027,665
    Adjust R20.6760.8720.651
    Control vars. (firm)××
    Control vars. (county area)×
    Firm FE××
    City FE×
    Province–Time FE
    *** and * indicate significance at the 1% and 10% levels.
  • Land cost effect: To examine whether the “County-to-City Upgrading” policy can promote corporate innovation activities through the land cost effect, this study regresses with the regional land supply and land prices as the dependent variables, where the land supply quantity is logarithmically transformed. According to the estimation results in Columns (1) and (2) of Table 7, compared to areas without “County-to-City Upgrading”, the land supply in upgraded areas significantly increases, and land prices markedly decrease. This indicates that the “County-to-City Upgrading” policy can promote corporate innovation by increasing land supply and reducing land prices.
    Table 7. Cost effect: land and talent.
    Table 7. Cost effect: land and talent.
    Variable(1)(2)(3)
    Land SupplyLand PriceCorporate Human Capital
    Treat0.097 *−0.573 *0.207 *
    (0.051)(0.347)(0.122)
    Constant−6.729 ***−16.177 **−0.916 ***
    (0.448)(6.844)(0.264)
    Obs12,62411,4951,971,452
    Adjust R20.6260.0080.294
    Control vars. (firm)××
    Control vars. (county area)×
    Firm FE××
    City FE×
    Province–Time FE
    ***, **, and * indicate significance at the 1%, 5%, and 10% levels.

3.4.2. Agglomeration Effect

This study posits that the “County-to-City Upgrading” policy, as an important measure to elevate the administrative level of local regions, can enhance the innovation level of local enterprises through “agglomeration effects—attracting knowledge-intensive enterprises and the congregation of innovative talents”. Specifically, the agglomeration effects triggered by this policy are as follows: First, there is congregation of knowledge-intensive enterprises. With the elevation of the administrative level of the area, the local development prospects and policy support are significantly improved, attracting knowledge-intensive businesses to establish headquarters, R&D centers, or branches. These enterprises typically have strong technical capabilities and innovation capacities, bringing new technologies, managerial experiences, and market channels to the region, which in turn can drive the upgrade and innovation of the entire industrial chain. Second, there is congregation of innovative talents. The “County-to-City Upgrading” helps to enhance the city’s status and reputation, thus endowing the local economic and social development with greater attractiveness and influence. Along with various advantages of urban development, such as quality educational resources, healthcare, research conditions, and living environment, the region becomes more capable of attracting innovative talents. These talents, often with rich knowledge reserves and innovative thinking, can provide continuous momentum and support for corporate innovation. Third, the interaction between the entry of knowledge-intensive enterprises and the congregation of innovative talents. The presence of knowledge-intensive enterprises creates more employment opportunities and professional development space in the area, which helps attract more innovative talents. Meanwhile, the congregation of innovative talents enhances the local talent advantage, attracting more knowledge-intensive enterprises to invest. This positive interaction between knowledge-intensive enterprises and innovative talents further drives the enhancement and improvement of local corporate innovation capacities. Subsequently, the paper will analyze from the perspective of “the entry of knowledge-intensive enterprises” and “the congregation of innovative talents” to find out whether “County-to-City Upgrading” can positively impact corporate innovation through agglomeration effects.
  • Congregation of innovative talents: The congregation of innovative talents in a region, reflected in enterprises, signifies the enhancement of human capital. Thus, this study uses corporate human capital as a mechanism variable, drawing on the research approach of Cole et al. [23], and uses the ratio of average wages per employee to the industry average as a proxy for human capital. The estimation results in Column (3) of Table 6 show that the “County-to-City Upgrading” policy significantly enhances the level of corporate human capital. This indicates that the policy positively impacts corporate innovation by promoting the congregation of innovative talents in the region.
  • Entry of knowledge-intensive enterprises: To verify this mechanism, the study, following model (1), substitutes the dependent variable with the number of new registrations of knowledge-intensive industries in each region. The core dependent variable is measured using the “Industrial and Commercial Registration Database”. The study thus calculates the number of new enterprises in each industry in each region from 2000 to 2013. Figure 6 presents the mechanism test results, where hollow circles represent the estimated coefficients, and the two-sided solid lines represent 99% confidence intervals. The results indicate that the introduction of the “County-to-City Upgrading” policy leads to more registrations of “manufacturing enterprises”, “scientific research and technical service enterprises”, and “financial enterprises” in the local area. This demonstrates that the policy indeed attracts more knowledge-intensive enterprises. Specifically, the manufacturing industry has a close relationship with innovation and the transformation of patent achievements. Innovation and patent transformation are vital drivers for the development of the manufacturing industry, which is a primary application field for these innovations. Additionally, enterprises in scientific research and technical services, being the main force of R&D, are important sources of knowledge spillovers. The entry of financial enterprises provides necessary financial support for local scientific research and innovation, aiding the transfer and diffusion of technology. The professional capabilities of the financial industry in project evaluation and risk assessment help select tech projects with market potential, accelerating technology transfer and industrialization. In contrast, the study did not find that “County-to-City Upgrading” has the same attracting and congregating effect on traditional industries, such as “mining enterprises”, “resident services, repair, and other service enterprises”, and “public administration, social security, and social organization enterprises”.

3.5. Heterogeneity Analysis

3.5.1. Heterogeneity Analysis by Region

Different regions in China exhibit significant disparities in terms of economic development level, industrial structure, and scientific and technological innovation capabilities. These disparities might lead to varying impacts of the “County-to-City Upgrading” policy on corporate innovation. To address this, the study divides the data sample into two groups, the eastern region and the central-western region, and conducts separate regressions for each. The estimation results in Table 8 indicate that the “County-to-City Upgrading” policy significantly promotes corporate innovation in the eastern region, while its impact in the central-western region is not significant. The main reason for this difference is that the eastern region, compared to the central-western region, has greater advantages in terms of economic development level, scientific and technological innovation infrastructure, and resources for innovation elements. Therefore, the “County-to-City Upgrading” policy is more likely to exert a significant innovation-promoting effect in the eastern region through mechanisms such as the “agglomeration effect”.

3.5.2. Heterogeneity Analysis by Patent Type

Different types of patents reflect innovations at various levels and in different fields. Invention patents usually represent higher levels of technological innovation, utility patents are inclined towards improvements in practical technologies, and design patents involve innovations in appearance design. Conducting empirical analyses by differentiating patent types help researchers understand more comprehensively and deeply the impact of the “County-to-City Upgrading” policy on corporate innovation. According to the estimation results in Table 9, compared to design patents, the “County-to-City Upgrading” policy has a more significant positive impact on invention and utility patents. This indicates that the policy plays a more prominent role in promoting technological innovation (invention patents) and practical innovation (utility patents).

3.5.3. Heterogeneity Analysis by Degree of IPR Protection

It is widely recognized that in regions with stronger intellectual property (IP) rights protection, enterprises are more inclined to innovate. This is because firms believe their IP will be better protected and rewarded, making the marginal benefits of innovation relatively higher. Additionally, areas with stronger IP protection likely have more innovation resources and talent clusters, thus providing solid conditions and a foundation for corporate innovation. Therefore, the degree of local IP rights protection could be a crucial factor influencing the effectiveness of the “County-to-City Upgrading” policy. To verify this, this study adopts the approach of Zhang, J. et al. [24], using the IP protection index from the “China Marketization Index—Report on the Relative Progress of Regional Marketization 2011” as a proxy for the degree of regional IP rights protection. The sample is divided into two groups based on the median value: regions with stronger and weaker IP protection, and separate regressions are conducted for each group. As shown in Table 10, the “County-to-City Upgrading” policy significantly promotes corporate innovation in regions with a higher degree of IP rights protection. In contrast, its impact on promoting corporate innovation in regions with lower IP protection is relatively limited.

4. Extension Analysis

4.1. Spatial Spillover Effect

In this part, this paper has tested whether the promotion effect of the “County-to-City Upgrading” on corporate innovation spills over into neighboring counties. If a spatial spillover effect exists, it implies that the treatment group influences the control group, potentially introducing bias into the estimation results of our Difference-in-Differences model. To ensure robustness, the study first identifies all counties neighboring the upgraded areas and constructs a spatial spillover variable, treat_spillct, following the methodology used for the core explanatory variable. If a neighboring county of an area is upgraded in year t, then treat_spillct takes the value 1 from year t onwards; otherwise, it remains 0. For example, when Wenshan County in Yunnan Province was upgraded to Wenshan City in October 2010, its neighboring county, Yanshan, was defined as a “neighboring area” of Wenshan City. Thus, for Yanshan County, treat_spillct is assigned 0 before 2010 and 1 from 2010 onwards. This paper follows the approach of Liu, Y. and Li, Y. [25] and introduces the spatial spillover variable treat_spillct into the right side of Equation (1). This paper focus on the coefficient of the treat_spillct term, which indicates whether the control group counties adjacent to the treatment group are also impacted by the “County-to-City Upgrading”. If the coefficient is significantly positive (negative), it indicates the presence of a positive (negative) spatial spillover effect of the policy, which would lead to an underestimation (overestimation) of our results. If the coefficient of treat_spillct is small and insignificant, it confirms that the “County-to-City Upgrading” policy only promotes innovation in local enterprises without spillover effects to neighboring areas, thereby demonstrating the robustness of our estimation results.
Table 11 reports the estimation results of the spatial spillover effect. Columns (1) and (2) use the logarithm of the number of corporate patent applications as the dependent variable, and Columns (3) and (4) use a dummy variable indicating whether a firm applies for a patent. Columns (2) and (4) introduce control variables based on Columns (1) and (3), respectively. As shown in Table 11, when the spatial spillover term treat_spillct is introduced, the core explanatory variable treat remains significantly positive, and its coefficient size is almost identical to the baseline regression results. However, the newly introduced treat_spillct coefficient is close to 0 and statistically insignificant. This confirms that there is no spatial spillover effect of the “County-to-City Upgrading” policy, meaning that the treatment effect of the treatment group does not spill over to the control group, thus ensuring the robustness of our baseline estimation results.

4.2. Technological Innovation in Key Areas and Innovation of Green and Low-Carbon Emission Technology

Since China has actively promoted the development of its modern technology industrial system, it has made significant strides in the field of science and technology, becoming a major force in global technological innovation. However, despite significant breakthroughs and progress in many fields, China still relies on imports for some key technologies or is constrained by other countries at the technological level, hindering self-sufficiency. In areas such as high-end manufacturing, core chip technology, new energy materials, aerospace, and biomedicine (as shown in Table A1, China faces serious “bottleneck” challenges, significantly limiting its capacity for independent technological innovation and development. Addressing these “bottleneck” issues has become an urgent task for China’s technological advancement. In this context, patent R&D plays a key role in addressing China’s technological “bottlenecks”. Patents are crucial outcomes of technological innovation. By filing patents, researchers and enterprises can protect their technological achievements and intellectual property, encourage innovation, promote the transformation of scientific and technological achievements, solve real-world national and societal problems, and meet the country’s practical needs. In high-tech fields, patents are an important way to showcase technological strength and competitiveness. Owning patents with independent intellectual property rights can enhance China’s voice and status in international competition.
Previous analysis has shown that “County-to-City Upgrading” indeed promotes innovation within local enterprises. This section further discusses whether the innovation spurred by “County-to-City Upgrading” focuses on core field technologies, i.e., whether innovative enterprises apply for core patents, thereby indirectly helping China address the longstanding “bottleneck” problem. To verify this, the paper uses corporate patent data provided by the National Intellectual Property Administration and conducts text recognition on patent titles and summaries. Patents that contain keywords related to core field technologies, as listed in Table A1, are defined as core patents. The paper conducts empirical tests at both the enterprise and county levels, with results shown in Table 12. Column (1) demonstrates that “County-to-City Upgrading” leads to a higher number of core field patent applications in the region, and Column (2) maintains significance at the 1% statistical level even after introducing a range of enterprise control variables. Economically, this policy increases the number of core patent applications by an average of 1.4% in the region. Considering that most enterprises in the sample have not applied for core patents, the paper further uses Poisson pseudo-maximum likelihood estimation to address the zero-inflation issue. As shown in Columns (3) and (4), the coefficient of the core explanatory variable treat remains significantly positive at the 1% statistical level, regardless of whether control variables are introduced, thus proving the robustness of the results. Finally, the paper aggregates the enterprise-level data to the county level, reaching the same conclusion. In summary, the implementation of the “County-to-City Upgrading” policy has a positive impact on local enterprises in terms of core patent applications. The elevation of the administrative level attracts more policy support and investment, providing a better innovation environment and market opportunities for enterprises. The government can introduce more innovation-encouraging policies and increase support for scientific and technological research and development, thereby motivating enterprises to increase core patent applications. Such a development momentum can indirectly help China break through the long-standing “bottleneck” issues, drive technological innovation, and promote sustainable and healthy economic development.
Innovation serves as a key driver for sustainability and is widely accepted among scholars, industry professionals, and government representatives [26]. One of the key areas that has been addressed by the Sustainable Development discourse is the role of innovations in enhancing sustainability [27]. Accordingly, this section tests the empirical impact of the policy on the green and low-carbon patent application by local firms. To test this, based on the matching databases of industrial enterprises and green low-carbon technology patents from 1998 to 2014, this paper conducts text recognition on patent titles and summaries. Specifically, patents that contain keywords related to “green and low-carbon” technologies, are defined as patents of green and low-carbon technology. The result in column (7) of Table 12 shows that the “County-to-City Upgrading” policy significantly increases the level of green and low-carbon technology patent applications by local firms, and this result remains robust (with 10% statistical significance) after adding firm, province, and year fixed effects. To specify, when other conditions remain unchanged, after the implementation of the “County-to-City Upgrading” policy, the policy has a significant promotion effect of 27.3% on the level of green and low-carbon technologies patent applications of local enterprises, compared with the areas without such a policy.

5. Conclusions and Implications

This paper explores the impact of China’s “County-to-City Upgrading” policy on corporate innovation, offering a novel perspective on how external factors influence enterprise innovation. Specifically, based on matched data from China’s Enterprise Patent Database and Industrial Enterprise Database for 2000–2013, the paper employs a progressive Difference-in-Differences model to empirically test the impact and underlying mechanisms of the “County-to-City Upgrading” policy on enterprise innovation. The conclusions are as follows:
First, the “County-to-City Upgrading” policy significantly promotes innovation within local enterprises. This policy not only increases the quantity of innovation but also significantly enhances the quality of innovation in enterprises. Second, mechanism tests reveal that the innovation incentives of the “County-to-City Upgrading” policy are realized mainly through two channels: cost effects (reducing corporate costs, including financial and land costs) and agglomeration effects (attracting knowledge-intensive enterprises and innovative talents). Third, the policy’s impact on innovation shows significant heterogeneity based on geographical location and intellectual property rights protection levels. The innovation-promoting effect is more pronounced in the eastern regions and areas with stronger intellectual property rights protection, providing empirical evidence for more targeted policy-making. Fourth, the paper finds that the policy primarily drives technological and practical innovation and significantly promotes technological innovation in core fields, helping to overcome “bottleneck” challenges. Fifth, the policy has a significant promotion effect on the level of green and low-carbon technologies patent applications by local enterprises, which validates the role of the policy in strengthening local sustainable development. The limitation of this paper is the time frame of data, which is between year 2000 to 2013 due to data availability, and this study can be improved by expanding to new time periods (year 2013 to 2023, for instance) to test whether the empirical results of this paper still stand.
Based on the above-mentioned conclusions, the following policy recommendations are proposed: Firstly, the government should continue to support and optimize the “County-to-City Upgrading” policy, especially in knowledge-intensive industries and areas with strong intellectual property rights protection. This includes reducing financing and land costs for enterprises and providing tax incentives and talent attraction policies to draw more knowledge-intensive enterprises. Secondly, since technological innovation enhances enterprise competitiveness and practical innovation meets market needs, it is advisable to promote the coordinated development of both, leveraging the “County-to-City Upgrading” policy’s influence. Thirdly, the government should strengthen collaboration with enterprises, increase investment in basic research, enhance financing and land support, and build efficient “government–industry–academia–research–application” collaborative innovation chains through improved personnel and platform development. This collaborative effort aims to tackle key technological challenges in fields like chips, engines, materials, software, and medical equipment, promoting technological upgrades and industrial transformation. In summary, through close cooperation, the government and enterprises can use policy tools and resources to foster R&D innovation, technological progress as well as green development, providing continuous internal momentum for high-quality and sustainable economic development.

Funding

This research was funded by University of International Business and Economics, Graduate Research and Innovation Fund (202343).

Data Availability Statement

No new data were created or analyzed in this study. Data sharing is not applicable to this article.

Conflicts of Interest

The author declares no conflict of interest.

Appendix A

Table A1. Technological Innovation in Key Areas.
Table A1. Technological Innovation in Key Areas.
Technology NamePurposeTechnology NamePurpose
Lithography MachineSemiconductor manufacturingHigh-Pressure Plunger PumpIndustrial equipment and hydraulic systems
ChipCore component of integrated circuitsTransmission Electron MicroscopeMaterials and biological sciences microscopy
Operating SystemControls computer hardware and software resourcesMain Bearing of Tunneling MachineMining and tunnel engineering equipment
Tactile SensorSenses and provides feedback on object touch or force informationMicrosphereMaterial science and medical microparticles
Vacuum Deposition MachineThin-film preparation and other fieldsHigh-End Welding Power SourceHigh-precision welding power equipment
Mobile Phone RF DevicesMobile communication and wireless connectivityPotassium Battery SeparatorImportant component of batteries
Aircraft Engine NacelleImportant part of aircraft enginesKey Material for Fuel CellsKey materials used in fuel cells
iCLIP TechnologyA technique used for RNA researchComponents of Medical Imaging EquipmentKey components of medical imaging equipment
Heavy-Duty Gas TurbineEnergy production and industrial fieldsData Management SystemManaging and analyzing large-scale data systems
LIDARLaser sensing and rangingEpoxy ResinAdhesives and composite materials
Airworthiness StandardsStandards and regulations for the safety airworthiness of aircraftUltra-Precision Polishing ProcessOptical components and semiconductor manufacturing processes
High-End Capacitors and ResistorsElectronic components widely used in circuitsHigh-Strength Stainless SteelSpecial industrial and construction fields
Core Industrial SoftwareIndustrial automation, design, and managementScanning Electron MicroscopeHigh-resolution microscopy in materials and biological sciences
ITO Target MaterialTransparent conductive films
Note: The definition of the technologies in this table can be accessed from the “Science and Technology Daily”, managed by the Ministry of Science and Technology of the People’s Republic of China.

References

  1. World Development Indicators Page. Available online: https://databank.worldbank.org/reports.aspx?source=World-Development-Indicators (accessed on 24 September 2023).
  2. Qian, Y.; Weingast, B.R. Federalism as a Commitment to Preserving Market Incentives. J. Econ. Perspect. 1997, 11, 83–92. [Google Scholar] [CrossRef]
  3. Blanchard, O.; Shleifer, A. Federalism with and without Political Centralization: China versus Russia. IMF Staff Pap. 2001, 48 (Suppl. S1), 171–179. [Google Scholar] [CrossRef]
  4. Fan, S.; Li, L.; Zhang, X. Challenges of Creating Cities in China: Lessons from A Short-lived “County-to-City Upgrading” Policy. J. Comp. Econ. 2012, 40, 476–491. [Google Scholar] [CrossRef]
  5. Lee, J.W. Government Interventions and Productivity Growth in Korean Manufacturing Industries. J. Econ. Growth 1996, 1, 391–414. [Google Scholar] [CrossRef]
  6. Aghion, P.; Cai, J.; Dewatripont, M.; Du, L.; Harrison, A.; Legros, P. Industrial Policy and Competition. NBE R Work. Pap. 2012, 7, w18048. [Google Scholar]
  7. Chang, X.; Fu, K.; Low, A.; Zhang, W. Non-Executive Employee Stock Options and Corporate Innovation. J. Financ. Econ. 2015, 115, 168–188. [Google Scholar] [CrossRef]
  8. Pietrobelli, C.; Rabellotti, R. Global Value Chains Meet Innovation Systems: Are There Learning Opportunities for Developing Countries? World Dev. 2011, 39, 1261–1269. [Google Scholar] [CrossRef]
  9. Li, P.; Lu, Y.; Wang, J. Does Flattening Government Improve Economic Performance? Evidence from China. J. Dev. Econ. 2016, 123, 18–37. [Google Scholar] [CrossRef]
  10. Higgs, R. American Inventiveness: 1870–1920. J. Political Econ. 1971, 79, 661–667. [Google Scholar] [CrossRef]
  11. Glaeser, E.L.; Kallal, H.D.; Scheinkman, J.A.; Shleifer, A. Growth in Cities. J. Political Econ. 1992, 100, 1126–1152. [Google Scholar] [CrossRef]
  12. Glaeser, E.L. Learning in Cities. J. Urban Econ. 1999, 46, 254–277. [Google Scholar] [CrossRef]
  13. Lipscomb, M.; Mobarak, A.M. Decentralization and Pollution Spillovers: Evidence from the re-drawing of county borders in Brazil. Rev. Econ. Stud. 2016, 84, 464–502. [Google Scholar] [CrossRef]
  14. Liu, Q.; Lu, R.; Lu, Y.; Luong, T.A. Import Competition and Firm Innovation: Evidence from China. J. Dev. Econ. 2021, 151, 102650. [Google Scholar] [CrossRef]
  15. Aghion, P.; Bloom, N.; Blundell, R.; Griffith, R.; Howitt, P. Competition and Innovation: An Inverted-U Relationship. Q. J. Econ. 2005, 20, 701–728. [Google Scholar]
  16. Hashmi, A.R. Competition and Innovation: The Inverted-U Relationship Revisited. Rev. Econ. Stat. 2013, 95, 1653–1668. [Google Scholar] [CrossRef]
  17. Liu, L.; Wang, Y.; Xu, Y. A Practical Guide to Counterfactual Estimators for Causal Inference with Time-Series Cross-Sectional Data. Am. J. Political Sci. 2022, 68, 160–176. [Google Scholar] [CrossRef]
  18. Jacobson, L.S.; LaLonde, R.J.; Sullivan, D.G. Earnings Losses of Displaced Workers. Am. Econ. Rev. 1993, 83, 685–709. [Google Scholar]
  19. Aghion, P.; Akcigit, U.; Bergeaud, A.; Blundell, R.; Hémous, D. Innovation and Top Income Inequality; NBER Working Paper, No. w21247; National Bureau of Economic Research: Cambridge, MA, USA, 2015. [Google Scholar]
  20. Akcigit, U.; Baslandze, S.; Stantcheva, S. Taxation and the International Mobility of Inventors. Am. Econ. Rev. 2016, 106, 2930–2981. [Google Scholar] [CrossRef]
  21. Gao, X.; Li, C.; Elahi, E.; Abro, M.I.; Cui, Z. Technological Innovation, Product Quality and Upgrading of Manufacturing Value Chain: Empirical Evidence from China. Sustainability 2023, 15, 7289. [Google Scholar] [CrossRef]
  22. Li, Z.Y.; Yu, M.J. Exports, Productivity and Credit Constraints: A Firm-Level Empirical Investigation of China. Econ. Res. J. 2013, 48, 85–99. (In Chinese) [Google Scholar] [CrossRef]
  23. Cole, M.A.; Elliott, R.J.; Shimamoto, K. Why the Grass is Not Always Greener: The Competing Effects of Environmental Regulations and Factor Intensities on US Specialization. Ecol. Econ. 2005, 54, 95–109. [Google Scholar] [CrossRef]
  24. Zhang, J.; Zheng, W.P. Has Catch-up Strategy of Innovation Inhibited the Quality of China’s Patents? Econ. Res. J. 2018, 53, 28–41. (In Chinese) [Google Scholar]
  25. Liu, Y.Z.; Li, Y. High-speed Rails and City Economic Growth in China. J. Financ. Res. 2017, 11, 18–33. (In Chinese) [Google Scholar]
  26. Silvestre, B.S.; Ţîrcă, D.M. Innovations for sustainable development: Moving toward a sustainable future. J. Clean. Prod. 2019, 208, 325–332. [Google Scholar] [CrossRef]
  27. Bruno, S. Silvestre, Romeu e Silva Neto, Capability accumulation, innovation, and technology diffusion: Lessons from a Base of the Pyramid cluster. Technovation 2014, 34, 270–283. [Google Scholar]
Figure 1. Research procedure.
Figure 1. Research procedure.
Sustainability 16 05080 g001
Figure 2. Trends in the number of patent applications.
Figure 2. Trends in the number of patent applications.
Sustainability 16 05080 g002
Figure 3. Stylized facts.
Figure 3. Stylized facts.
Sustainability 16 05080 g003
Figure 4. Parallel trends test.
Figure 4. Parallel trends test.
Sustainability 16 05080 g004
Figure 5. Distribution of estimated coefficients after random sampling.
Figure 5. Distribution of estimated coefficients after random sampling.
Sustainability 16 05080 g005
Figure 6. Test results of knowledge-intensive enterprise agglomeration. The red line represents the value of zero, which can be seen as a reference. For example, the coefficient and the confidence interval of manufacturing industry are all above the red line, which indicates that the County-to-City Upgrading has a significant positive impact on innovation in that industry.
Figure 6. Test results of knowledge-intensive enterprise agglomeration. The red line represents the value of zero, which can be seen as a reference. For example, the coefficient and the confidence interval of manufacturing industry are all above the red line, which indicates that the County-to-City Upgrading has a significant positive impact on innovation in that industry.
Sustainability 16 05080 g006
Table 1. Descriptive statistics of main variables.
Table 1. Descriptive statistics of main variables.
VariableNMeanMinMaxSD
lnpatent2,519,3230.1050.0007.7240.460
if_patent2,519,3230.0660.0001.0000.248
treat2,519,3230.1220.0001.0000.328
size2,519,32310.030.00019.431.450
age2,519,3232.0190.0004.1740.770
state2,519,3230.0400.0001.0000.196
foe2,519,3230.1770.0001.0000.382
Table 2. Baseline regression results.
Table 2. Baseline regression results.
(1)(2)(3)(4)
VariableslnpatentlnpatentPatent_DummyPatent_Dummy
treat0.035 ***0.019 *0.029 ***0.021 ***
(0.011)(0.011)(0.006)(0.006)
size 0.008 *** 0.003 ***
(0.000) (0.000)
age −0.001 ** −0.000 ***
(0.000) (0.000)
state −0.003 * −0.002 ***
(0.001) (0.001)
foe −0.004 *** −0.001 ***
(0.001) (0.000)
lngdp·f(t) −0.098 *** −0.046 ***
(0.036) (0.017)
lnGDP·f(t) 0.060 *** 0.028 ***
(0.003) (0.001)
Constant0.099 ***−1.934 ***0.061 ***−0.815 ***
(0.001)(0.072)(0.001)(0.026)
Obs2,519,3232,513,9382,519,3232,513,938
Adjusted R20.4420.4620.3690.384
***, **, and * indicate significance at the 1%, 5%, and 10% levels, respectively. The values in parentheses are clustering robust standard errors, and the regression results are clustered to the county level.
Table 3. TWFE and FECT.
Table 3. TWFE and FECT.
TWFEFFECT
D_PatentlnPatentD_PatentlnPatent
ATT0.030 ***0.037 ***0.049 ***0.075 ***
(0.006)(0.011)(0.010)(0.017)
*** indicates significance at the 1% level.
Table 4. Robustness test: changing core indicators and county-level analysis.
Table 4. Robustness test: changing core indicators and county-level analysis.
Variables(1)(2)
QualityLnpatent
Treat0.015 ***0.149 **
(0.006)(0.062)
Constant−0.078 ***−4.795 ***
(0.008)(0.379)
Obs2,335,72212,513
Adjust R20.4410.770
Control vars. (firm)×
Control vars. (county area)×
Firm FE×
City FE×
Province–time FE
*** and ** indicate significance at the 1% and 5% levels.
Table 5. Other robustness tests.
Table 5. Other robustness tests.
VariablesTrimming of the Dependent VariableAlternative Estimation MethodsRemove Special Cities
(1)(2)(3)(4)(5)(6)
lnpatentIf_PatentlnpatentIf_PatentlnpatentIf_Patent
Treat0.040 ***0.030 ***0.261 ***0.237 ***0.037 ***0.030 ***
(0.012)(0.007)(0.077)(0.067)(0.013)(0.007)
Constant−0.205 ***−0.102 ***−3.734 ***−0.799 ***−0.195 ***−0.086 ***
(0.020)(0.011)(0.143)(0.007)(0.020)(0.010)
Obs2,335,7222,335,722436,513470,3702,105,2352,105,235
Adjust R20.4240.3720.27830.1420.4280.362
Control vars. (firm)
Firm FE
Province–Time FE
*** indicates significance at the 1% level.
Table 8. Heterogeneity analysis: by different regions.
Table 8. Heterogeneity analysis: by different regions.
VariableEasternCentral and Western
(1)(2)(3)(4)
lnpatentIf_PatentlnpatentIf_Patent
Treat0.043 ***0.034 ***0.0160.017
(0.015)(0.009)(0.027)(0.011)
Constant−0.293 ***−0.126 ***−0.112 ***−0.051 ***
(0.032)(0.015)(0.017)(0.009)
Obs1,639,3541,639,354696,344696,344
Adjust R20.4460.3800.4500.353
Control vars.(firm)
Firm FE
Province–Time FE
*** indicates significance at the 1% level.
Table 9. Heterogeneity Analysis: by patent types.
Table 9. Heterogeneity Analysis: by patent types.
VariableInvention PatentUtility PatentsDesign Patent
(1)(2)(3)(4)(5)(6)
lnpatentIf_PatentlnpatentIf_PatentlnpatentIf_Patent
Treat0.016 ***0.018 ***0.024 **0.019 ***0.0020.005 *
(0.005)(0.005)(0.010)(0.006)(0.004)(0.003)
Constant−0.079 ***−0.071 ***−0.154 ***−0.081 ***−0.063 ***−0.029 ***
(0.008)(0.007)(0.016)(0.009)(0.009)(0.004)
Obs2,335,7222,335,7222,335,7222,335,7222,335,7222,335,722
Adjust R20.3740.3320.4100.3530.3160.244
Control vars. (firm)
Firm FE
Province–Time FE
***, **, and * indicate significance at the 1%, 5%, and 10% levels.
Table 10. Heterogeneity analysis: by the degree of IPR protection.
Table 10. Heterogeneity analysis: by the degree of IPR protection.
VariableHigh Intensity of IPRLow Intensity of IPR
(1)(2)(3)(4)
lnpatentIf_PatentlnpatentIf_Patent
Treat0.048 ***0.040 ***0.0270.019 **
(0.018)(0.011)(0.018)(0.007)
Constant−0.383 ***−0.162 ***−0.114 ***−0.055 ***
(0.041)(0.019)(0.012)(0.007)
Obs1,159,3251,159,3251,013,4851,013,485
Adjust R20.4650.4050.4290.329
Control vars. (firm)
Firm FE
Province–Time FE
*** and ** indicate significance at the 1% and 5% levels.
Table 11. Extension analysis: spatial spillover effect.
Table 11. Extension analysis: spatial spillover effect.
Variable(1)(2)(3)(4)
lnpatentlnpatentIf_PatentIf_Patent
Treat0.036 ***0.036 ***0.029 ***0.029 ***
(0.011)(0.013)(0.006)(0.007)
Treat_spill0.0050.000−0.000−0.002
(0.007)(0.008)(0.004)(0.004)
Constant0.097 ***−0.233 ***0.061 ***−0.101 ***
(0.003)(0.024)(0.002)(0.011)
Obs2,519,3232,335,7222,519,3232,335,722
Adjust R20.4420.4460.3690.372
Control vars. (firm)××
Firm FE
Province–Time FE
*** indicates significance at the 1% level.
Table 12. Extension analysis: technological innovation in key areas and innovation of green and low-carbon emission technology.
Table 12. Extension analysis: technological innovation in key areas and innovation of green and low-carbon emission technology.
OLSPPMLPPMLPPML
Variable(1)(2)(3)(4)(5)(6)(7)
Treat0.014 ***0.014 ***0.512 ***0.606 ***2.646 ***1.205 ***0.273 *
(0.005)(0.005)(0.156)(0.137)(0.323)(0.347)(0.155)
Constant0.022 ***−0.059 ***−0.427 ***−4.436 ***1.645 ***−20.699 ***−2.576 ***
(0.001)(0.006)(0.016)(0.182)(0.120)(1.063)(0.911)
Obs2,519,3232,335,722227,650211,26617,48613,973157,299
Adjust R20.4600.471/////
Control vars. (firm)×××××
Control vars. (county)××××××
Firm FE××
City FE×××××
Province–Time FE
*** and * indicate significance at the 1% and 10% levels.
Disclaimer/Publisher’s Note: The statements, opinions and data contained in all publications are solely those of the individual author(s) and contributor(s) and not of MDPI and/or the editor(s). MDPI and/or the editor(s) disclaim responsibility for any injury to people or property resulting from any ideas, methods, instructions or products referred to in the content.

Share and Cite

MDPI and ACS Style

Song, Y. “County-to-City Upgrading” Policy and Firm Innovation—Evidence from China. Sustainability 2024, 16, 5080. https://doi.org/10.3390/su16125080

AMA Style

Song Y. “County-to-City Upgrading” Policy and Firm Innovation—Evidence from China. Sustainability. 2024; 16(12):5080. https://doi.org/10.3390/su16125080

Chicago/Turabian Style

Song, Yida. 2024. "“County-to-City Upgrading” Policy and Firm Innovation—Evidence from China" Sustainability 16, no. 12: 5080. https://doi.org/10.3390/su16125080

APA Style

Song, Y. (2024). “County-to-City Upgrading” Policy and Firm Innovation—Evidence from China. Sustainability, 16(12), 5080. https://doi.org/10.3390/su16125080

Note that from the first issue of 2016, this journal uses article numbers instead of page numbers. See further details here.

Article Metrics

Back to TopTop