The Effect of Remediation of Soil Co-Contaminated by Cu and Cd in a Semi-Arid Area with Sewage Sludge-Derived Biochar
Abstract
1. Introduction
2. Materials and Methods
2.1. Soil and Biochar
2.2. Sample Characterization
2.3. Incubation Experiments
2.4. Statistical Analyses
3. Results and Discussion
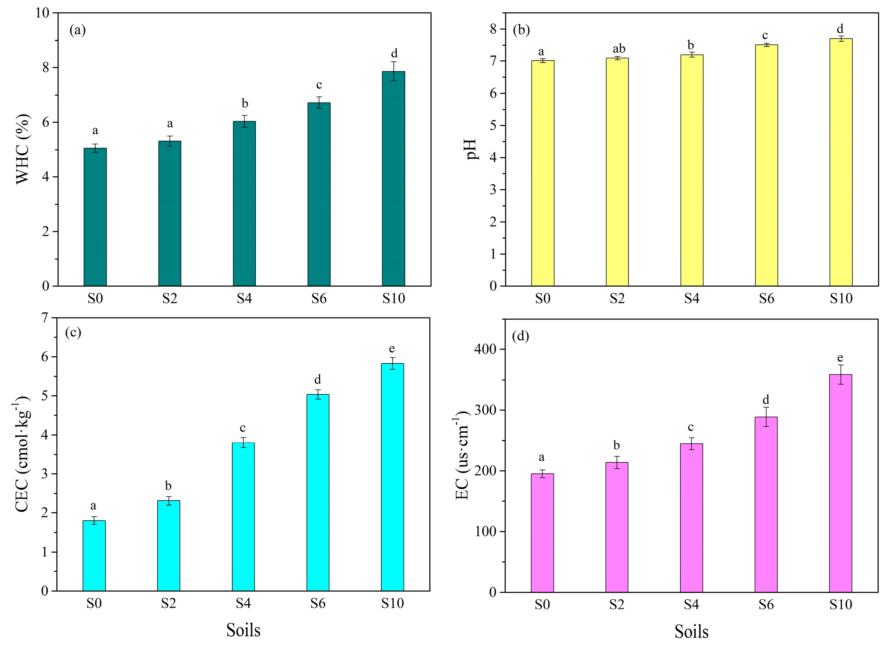
3.1. Physicochemical Properties
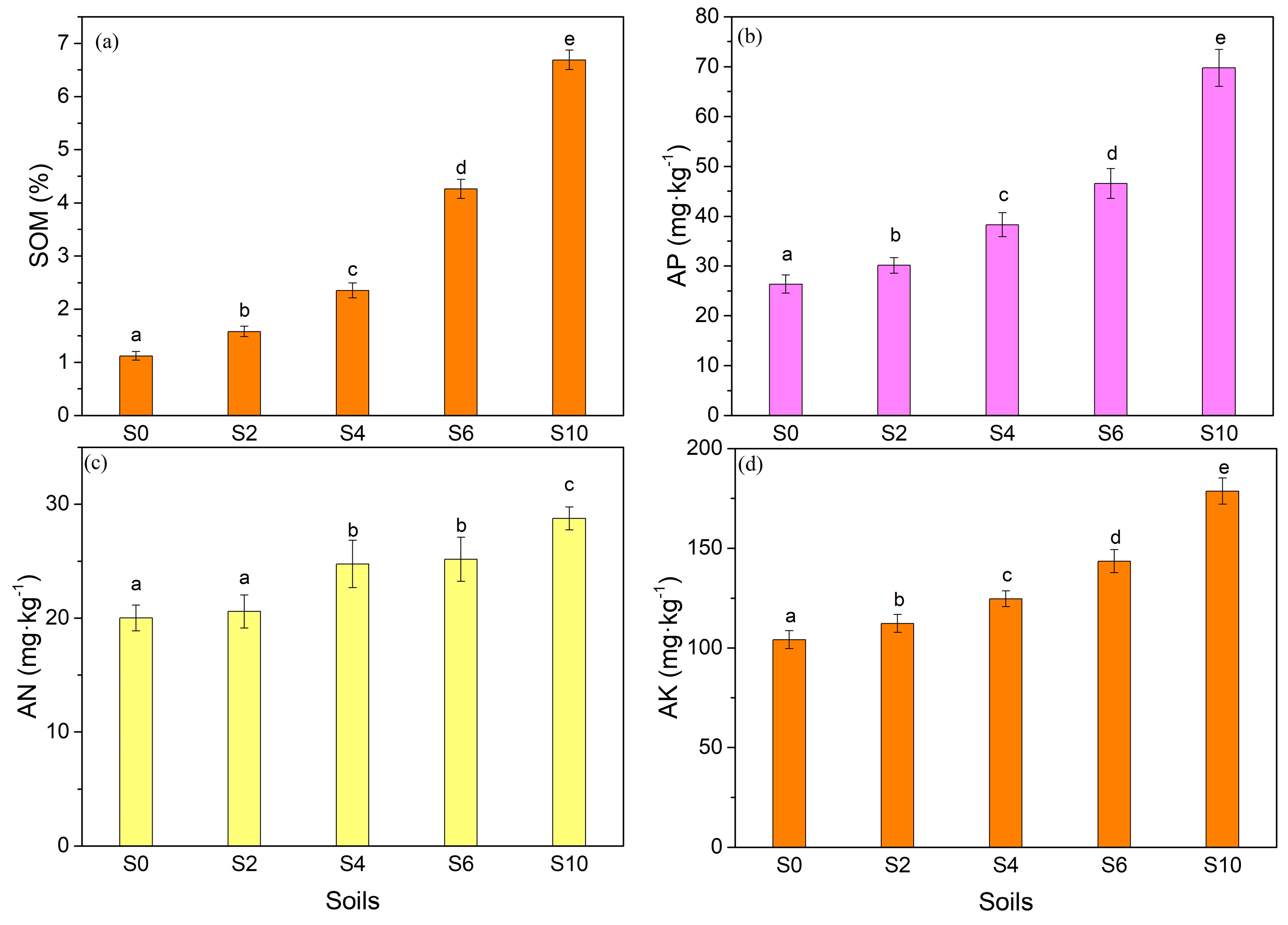
3.2. Soil Fertility
3.3. Enzyme Activities
3.4. Immobilization of Heavy Metals
3.4.1. Total Contents and Bioavailability of the Metals
3.4.2. Fractions of the Metals
3.4.3. Percentage of Four Fractions of Heavy Metals
4. Conclusions
Author Contributions
Funding
Institutional Review Board Statement
Informed Consent Statement
Data Availability Statement
Acknowledgments
Conflicts of Interest
References
- Zhang, Y.; Qin, J.; Yi, Y. Biochar and hydrochar derived from freshwater sludge: Characterization and possible applications. Sci. Total Environ. 2021, 763, 144550. [Google Scholar] [CrossRef] [PubMed]
- Ghorbani, M.; Konvalina, P.; Walkiewicz, A.; Neugschwandtner, R.W.; Kopecky, M.; Zamanian, K.; Chen, W.H.; Bucur, D. Feasibility of Biochar Derived from Sewage Sludge to Promote Sustainable Agriculture and Mitigate GHG Emissions—A Review. Int. J. Environ. Res. Public Health 2022, 19, 12983. [Google Scholar] [CrossRef] [PubMed]
- Wang, Y.; Zhang, Z.; Wang, X.; Guo, H.; Zhu, T.; Zhao, Y.; Lu, X.; Zhang, Y.; Ni, B.-J.; Liu, Y. Medium-chain fatty acids production from sewage sludge through anaerobic fermentation: A critical review. Chem. Eng. J. 2023, 477, 147138. [Google Scholar] [CrossRef]
- Zhen, K.; Zhu, Q.; Zhai, S.; Gao, Y.; Cao, H.; Tang, X.; Wang, C.; Li, J.; Tian, L.; Sun, H. PPCPs and heavy metals from hydrothermal sewage sludge-derived biochar: Migration in wheat and physiological response. Environ. Sci. Pollut. Res. Int. 2022, 29, 83234–83246. [Google Scholar] [CrossRef] [PubMed]
- Xiang, T.; Shi, C.; Guo, Y.; Zhang, J.; Min, W.; Sun, J.; Liu, J.; Yan, X.; Liu, Y.; Yao, L.; et al. Effect-directed analysis of androgenic compounds from sewage sludges in China. Water Res. 2024, 256, 121652. [Google Scholar] [CrossRef]
- Yang, Y.Q.; Cui, M.H.; Guo, J.C.; Du, J.J.; Zheng, Z.Y.; Liu, H. Effects of co-pyrolysis of rice husk and sewage sludge on the bioavailability and environmental risks of Pb and Cd. Environ. Technol. 2021, 42, 2304–2312. [Google Scholar] [CrossRef] [PubMed]
- Li, X.; Chen, Y.; Tan, W.; Chen, P.; Yang, H.; Chen, H. Prediction of char yield and nitrogen fixation rate from pyrolysis of sewage sludge based on machine learning. J. Anal. Appl. Pyrolysis 2023, 171, 105948. [Google Scholar]
- Yang, G.; Hu, Y.; Chen, D.; Zhou, N.; Jiao, L.; Guo, Q. Quantification of the formed environmentally persistent free radicals (EPFRs) in the pyrolyzed sewage sludges from municipal and industrial wastewater treatment. J. Anal. Appl. Pyrolysis 2024, 177, 106371. [Google Scholar] [CrossRef]
- Yin, X.; Xi, M.; Li, Y.; Kong, F.; Jiang, Z. Improvements in physicochemical and nutrient properties of sewage sludge biochar by the co-pyrolysis with organic additives. Sci. Total Environ. 2021, 779, 146565. [Google Scholar] [CrossRef]
- Łapińśki, D.; Wiater, J.; Szatyłowicz, E. The Content of Heavy Metals in Waste as an Indicator Determining the Possibilities of their Agricultural Use. J. Ecol. Eng. 2019, 20, 225–230. [Google Scholar] [CrossRef]
- Domingues, R.R.; Trugilho, P.F.; Silva, C.A.; Melo, I.; Melo, L.C.A.; Magriotis, Z.M.; Sanchez-Monedero, M.A. Properties of biochar derived from wood and high-nutrient biomasses with the aim of agronomic and environmental benefits. PLoS ONE 2017, 12, e0176884. [Google Scholar] [CrossRef] [PubMed]
- Da Silva Mendes, J.; Fernandes, J.D.; Chaves, L.H.G.; Guerra, H.O.C.; Tito, G.A.; de Brito Chaves, I. Chemical and Physical Changes of Soil Amended with Biochar. Water Air Soil Pollut. 2021, 232, 338. [Google Scholar] [CrossRef]
- Yang, X.; Lu, K.; McGrouther, K.; Che, L.; Hu, G.; Wang, Q.; Liu, X.; Shen, L.; Huang, H.; Ye, Z.; et al. Bioavailability of Cd and Zn in soils treated with biochars derived from tobacco stalk and dead pigs. J. Soils Sediments 2015, 17, 751–762. [Google Scholar] [CrossRef]
- Kopittke, P.M.; Asher, C.J.; Menzies, N.W. Prediction of Pb speciation in concentrated and dilute nutrient solutions. Environ. Pollut. 2008, 153, 548–554. [Google Scholar] [CrossRef] [PubMed]
- Cao, X.; Ma, L.; Liang, Y.; Gao, B.; Harris, W. Simultaneous immobilization of lead and atrazine in contaminated soils using dairy-manure biochar. Environ. Sci. Technol. 2011, 45, 4884–4889. [Google Scholar] [CrossRef] [PubMed]
- Odinga, E.S.; Waigi, M.G.; Gudda, F.O.; Wang, J.; Yang, B.; Hu, X.; Li, S.; Gao, Y. Occurrence, formation, environmental fate and risks of environmentally persistent free radicals in biochars. Environ. Int. 2020, 134, 105172. [Google Scholar] [CrossRef]
- Gao, J.; Zhao, T.; Tsang, D.C.W.; Zhao, N.; Wei, H.; Feng, M.; Liu, K.; Zhang, W.; Qiu, R. Effects of Zn in sludge-derived biochar on Cd immobilization and biological uptake by lettuce. Sci. Total Environ. 2020, 714, 136721. [Google Scholar] [CrossRef] [PubMed]
- Zhang, G.; Zhao, Z.; Zhu, Y. Changes in abiotic dissipation rates and bound fractions of antibiotics in biochar-amended soil. J. Clean. Prod. 2020, 256, 120314. [Google Scholar] [CrossRef]
- Rinklebe, J.; Shaheen, S.M.; El-Naggar, A.; Wang, H.; Du Laing, G.; Alessi, D.S.; Sik Ok, Y. Redox-induced mobilization of Ag, Sb, Sn, and Tl in the dissolved, colloidal and solid phase of a biochar-treated and un-treated mining soil. Environ. Int. 2020, 140, 105754. [Google Scholar] [CrossRef]
- Zeeshan, M.; Ahmad, W.; Hussain, F.; Ahamd, W.; Numan, M.; Shah, M.; Ahmad, I. Phytostabalization of the heavy metals in the soil with biochar applications, the impact on chlorophyll, carotene, soil fertility and tomato crop yield. J. Clean. Prod. 2020, 255, 120318. [Google Scholar] [CrossRef]
- Hou, R.; Li, T.; Fu, Q.; Liu, D.; Li, M.; Zhou, Z.; Li, Q.; Zhao, H.; Yu, P.; Yan, J. The effect on soil nitrogen mineralization resulting from biochar and straw regulation in seasonally frozen agricultural ecosystem. J. Clean. Prod. 2020, 255, 120302. [Google Scholar] [CrossRef]
- Long, X.X.; Yu, Z.N.; Liu, S.W.; Gao, T.; Qiu, R.L. A systematic review of biochar aging and the potential eco-environmental risk in heavy metal contaminated soil. J. Hazard. Mater. 2024, 472, 134345. [Google Scholar] [CrossRef] [PubMed]
- Wu, P.; Wang, Z.; Wang, H.; Bolan, N.S.; Wang, Y.; Chen, W. Visualizing the emerging trends of biochar research and applications in 2019: A scientometric analysis and review. Biochar 2020, 2, 135–150. [Google Scholar] [CrossRef]
- Pathy, A.; Ray, J.; Paramasivan, B. Biochar amendments and its impact on soil biota for sustainable agriculture. Biochar 2020, 2, 287–305. [Google Scholar] [CrossRef]
- Zhang, L.; Xiang, Y.; Jing, Y.; Zhang, R. Biochar amendment effects on the activities of soil carbon, nitrogen, and phosphorus hydrolytic enzymes: A meta-analysis. Environ. Sci. Pollut. Res. Int. 2019, 26, 22990–23001. [Google Scholar] [CrossRef] [PubMed]
- Yuan, J.H.; Xu, R.K.; Zhang, H. The forms of alkalis in the biochar produced from crop residues at different temperatures. Bioresour. Technol. 2011, 102, 3488–3497. [Google Scholar] [CrossRef] [PubMed]
- Birer, A.M.; Gozmen, B.; Sonmez, O.; Kalderis, D. Evaluation of sewage sludge biochar and modified derivatives as novel SPE adsorbents for monitoring of bisphenol A. Chemosphere 2021, 268, 128866. [Google Scholar] [CrossRef] [PubMed]
- Hazrati, S.; Farahbakhsh, M.; Cerda, A.; Heydarpoor, G. Functionalization of ultrasound enhanced sewage sludge-derived biochar: Physicochemical improvement and its effects on soil enzyme activities and heavy metals availability. Chemosphere 2021, 269, 128767. [Google Scholar] [CrossRef]
- Shao, H.; Wei, Y.; Zhang, F.; Li, F. Effects of Biochars Produced from Coconut Shell and Sewage Sludge on Reducing the Uptake of Cesium by Plant from Contaminated Soil. Water Air Soil Pollut. 2020, 231, 550. [Google Scholar] [CrossRef]
- Wu, Y.; Yang, J.; Tang, J.; Kerr, P.; Wong, P.K. The remediation of extremely acidic and moderate pH soil leachates containing Cu (II) and Cd (II) by native periphytic biofilm. J. Clean. Prod. 2017, 162, 846–855. [Google Scholar] [CrossRef]
- Chen, G.; Ma, Y.; Xu, W.; Chen, Z.; Li, Z.; Zhou, J.; Yu, W. Remediation of cadmium-contaminated soil by micro-nano nitrogen-doped biochar and its mechanisms. Environ. Sci. Pollut. Res. Int. 2023, 30, 48078–48087. [Google Scholar] [CrossRef] [PubMed]
- Ahmad, Z.; Gao, B.; Mosa, A.; Yu, H.; Yin, X.; Bashir, A.; Ghoveisi, H.; Wang, S. Removal of Cu(II), Cd(II) and Pb(II) ions from aqueous solutions by biochars derived from potassium-rich biomass. J. Clean. Prod. 2018, 180, 437–449. [Google Scholar] [CrossRef]
- Gao, R.; Hu, H.; Fu, Q.; Li, Z.; Xing, Z.; Ali, U.; Zhu, J.; Liu, Y. Remediation of Pb, Cd, and Cu contaminated soil by co-pyrolysis biochar derived from rape straw and orthophosphate: Speciation transformation, risk evaluation and mechanism inquiry. Sci. Total Environ. 2020, 730, 139119. [Google Scholar] [CrossRef] [PubMed]
- Qiu, M.; Liu, L.; Ling, Q.; Cai, Y.; Yu, S.; Wang, S.; Fu, D.; Hu, B.; Wang, X. Biochar for the removal of contaminants from soil and water: A review. Biochar 2022, 4, 19. [Google Scholar] [CrossRef]
- Bogusz, A.; Oleszczuk, P. Sequential extraction of nickel and zinc in sewage sludge- or biochar/sewage sludge-amended soil. Sci. Total Environ. 2018, 636, 927–935. [Google Scholar] [CrossRef] [PubMed]
- Liu, L.; Liu, X.; Wang, D.; Lin, H.; Huang, L. Removal and reduction of Cr(VI) in simulated wastewater using magnetic biochar prepared by co-pyrolysis of nano-zero-valent iron and sewage sludge. J. Clean. Prod. 2020, 257, 120562. [Google Scholar] [CrossRef]
- Rodriguez-Franco, C.; Page-Dumroese, D.S. Woody biochar potential for abandoned mine land restoration in the U.S.: A review. Biochar 2021, 3, 7–22. [Google Scholar] [CrossRef]
- Kneller, T.; Harris, R.J.; Bateman, A.; Munoz-Rojas, M. Native-plant amendments and topsoil addition enhance soil function in post-mining arid grasslands. Sci. Total Environ. 2018, 621, 744–752. [Google Scholar] [CrossRef]
- Syed, A.; Sarwar, G.; Shah, S.H.; Muhammad, S. Soil Salinity Research in 21st Century in Pakistan: Its Impact on Availability of Plant Nutrients, Growth and Yield of Crops. Commun. Soil Sci. Plant Anal. 2020, 52, 183–200. [Google Scholar] [CrossRef]
- Feng, W.; Gao, J.; Cen, R.; Yang, F.; He, Z.; Wu, J.; Miao, Q.; Liao, H. Effects of Polyacrylamide-Based Super Absorbent Polymer and Corn Straw Biochar on the Arid and Semi-Arid Salinized Soil. Agriculture 2020, 10, 519. [Google Scholar] [CrossRef]
- Mukherjee, I.; Singh, U.K.; Singh, R.P.; Anshumali; Kumari, D.; Jha, P.K.; Mehta, P. Characterization of heavy metal pollution in an anthropogenically and geologically influenced semi-arid region of east India and assessment of ecological and human health risks. Sci. Total Environ. 2020, 705, 135801. [Google Scholar] [CrossRef] [PubMed]
- Sun, Y.; Liu, C.; Gao, Y.; Zhang, T.; Jia, Y.; Wang, S. All-in-one strategy to prepare molded biochar with magnetism from sewage sludge for high-efficiency removal of Cd(II). J. Hazard. Mater. 2023, 454, 131488. [Google Scholar] [CrossRef] [PubMed]
- Zhao, S.; Li, Q.; Tang, Z.; Yang, Y.; Wu, J.; Gao, P.; Qian, Y.; Chen, J.; Xue, G. Simultaneous removal of Cr, Cu, Zn, and Cd by nano zero-valent iron modified sludge biochar in high salinity wastewater. Sep. Purif. Technol. 2024, 347, 127560. [Google Scholar] [CrossRef]
- Wang, Z.; Shu, X.; Zhu, H.; Xie, L.; Cheng, S.; Zhang, Y. Characteristics of biochars prepared by co-pyrolysis of sewage sludge and cotton stalk intended for use as soil amendments. Environ. Technol. 2020, 41, 1347–1357. [Google Scholar] [CrossRef]
- Bouyoucos, G.J. Hydrometer Method Improved for Making Particle Size Analyses of Soils. Agron. J. 1962, 54, 464–465. [Google Scholar] [CrossRef]
- NY/T 1121.5-2006; Soil Testing—Part 5: Method for Determination of Soil Cation Exchange Capacity in Calcareous Soil. Ministry of Agriculture: Beijing, China, 2006.
- NY/T 1121.6-2006; Soil Testing—Part 6: Method for Determination of Soil Organic Matter. Ministry of Agriculture: Beijing, China, 2006.
- LY/T 1228-2015; Nitrogen Determination Methods of Forest Soils. State Forestry Administration: Beijing, China, 2015.
- NY/T 1121.7-2014; Soil Testing—Part 7: Method for Determination of Available Phosphorus in Soil. Ministry of Agriculture: Beijing, China, 2014.
- NY/T 889-2004; Determination of Exchangeable Potassium and Non-Exchangeable Potassium Content in Soil. Ministry of Agriculture: Beijing, China, 2004.
- NY/T 1121.22-2010; Soil Testing—Part 22: Cutting Ring Method for Determination of Field Water—Holding Capacity in Soil. Ministry of Agriculture: Beijing, China, 2014.
- Tu, C.; Wei, J.; Guan, F.; Liu, Y.; Sun, Y.; Luo, Y. Biochar and bacteria inoculated biochar enhanced Cd and Cu immobilization and enzymatic activity in a polluted soil. Environ. Int. 2020, 137, 105576. [Google Scholar] [CrossRef]
- Hossain, M.K.; Strezov, V.; Chan, K.Y.; Nelson, P.F. Agronomic properties of wastewater sludge biochar and bioavailability of metals in production of cherry tomato (Lycopersicon esculentum). Chemosphere 2010, 78, 1167–1171. [Google Scholar] [CrossRef] [PubMed]
- Rauret, G.; López-Sánchez, J.F.; Sahuquillo, A.; Rubio, R.; Davidson, C.; Ure, A.; Quevauviller, P. Improvement of the BCR three step sequential extraction procedure prior to the certification of new sediment and soil reference materials. J. Environ. Monit. 1998, 1, 57–61. [Google Scholar] [CrossRef]
- Lindsay, W.; Sabey, B. Solubility and plant uptake of cadmium in soils amended with cadmium and sewage sludge. Environ. Qual. 1977, 6, 72–77. [Google Scholar]
- Wang, Y.; Liu, Y.; Liu, R.; Zhang, A.; Yang, S.; Liu, H.; Zhou, Y.; Yang, Z. Biochar amendment reduces paddy soil nitrogen leaching but increases net global warming potential in Ningxia irrigation, China. Sci. Rep. 2017, 7, 1592. [Google Scholar] [CrossRef]
- Liu, Z.; Dugan, B.; Masiello, C.A.; Gonnermann, H.M. Biochar particle size, shape, and porosity act together to influence soil water properties. PLoS ONE 2017, 12, e0179079. [Google Scholar] [CrossRef] [PubMed]
- Laghari, M.; Mirjat, M.S.; Hu, Z.; Fazal, S.; Xiao, B.; Hu, M.; Chen, Z.; Guo, D. Effects of biochar application rate on sandy desert soil properties and sorghum growth. Catena 2015, 135, 313–320. [Google Scholar] [CrossRef]
- Yue, Y.; Cui, L.; Lin, Q.; Li, G.; Zhao, X. Efficiency of sewage sludge biochar in improving urban soil properties and promoting grass growth. Chemosphere 2017, 173, 551–556. [Google Scholar] [CrossRef] [PubMed]
- Chen, X.; Jiang, S.; Wu, J.; Yi, X.; Dai, G.; Shu, Y. Three-year field experiments revealed the immobilization effect of natural aging biochar on typical heavy metals (Pb, Cu, Cd). Sci. Total Environ. 2024, 912, 169384. [Google Scholar] [CrossRef] [PubMed]
- Purakayastha, T.J.; Bera, T.; Bhaduri, D.; Sarkar, B.; Mandal, S.; Wade, P.; Kumari, S.; Biswas, S.; Menon, M.; Pathak, H.; et al. A review on biochar modulated soil condition improvements and nutrient dynamics concerning crop yields: Pathways to climate change mitigation and global food security. Chemosphere 2019, 227, 345–365. [Google Scholar] [CrossRef]
- Arif, M.; Ilyas, M.; Riaz, M.; Ali, K.; Shah, K.; Ul Haq, I.; Fahad, S. Biochar improves phosphorus use efficiency of organic-inorganic fertilizers, maize-wheat productivity and soil quality in a low fertility alkaline soil. Field Crops Res. 2017, 214, 25–37. [Google Scholar] [CrossRef]
- Lehmann, J.; Rillig, M.C.; Thies, J.; Masiello, C.A.; Hockaday, W.C.; Crowley, D. Biochar effects on soil biota—A review. Soil Biol. Biochem. 2011, 43, 1812–1836. [Google Scholar] [CrossRef]
- Mendez, A.; Gomez, A.; Paz-Ferreiro, J.; Gasco, G. Effects of sewage sludge biochar on plant metal availability after application to a Mediterranean soil. Chemosphere 2012, 89, 1354–1359. [Google Scholar] [CrossRef] [PubMed]
- Xu, S.; Pan, D.; Hu, F.; Wu, Y.; Wang, H.; Chen, Y.; Yuan, H.; Gao, L.; Xiao, G. Highly efficient Cr/β zeolite catalyst for conversion of carbohydrates into 5-hydroxymethylfurfural: Characterization and performance. Fuel Process. Technol. 2019, 190, 38–46. [Google Scholar] [CrossRef]
- Lin, P.; Liu, H.; Yin, H.; Zhu, M.; Luo, H.; Dang, Z. Remediation performance and mechanisms of Cu and Cd contaminated water and soil using Mn/Al-layered double oxide-loaded biochar. J. Environ. Sci. 2023, 125, 593–602. [Google Scholar] [CrossRef]
- Sarma, B.; Farooq, M.; Gogoi, N.; Borkotoki, B.; Kataki, R.; Garg, A. Soil organic carbon dynamics in wheat—Green gram crop rotation amended with vermicompost and biochar in combination with inorganic fertilizers: A comparative study. J. Clean. Prod. 2018, 201, 471–480. [Google Scholar] [CrossRef]
- Bordoloi, S.; Gopal, P.; Boddu, R.; Wang, Q.; Cheng, Y.-F.; Garg, A.; Sreedeep, S. Soil-biochar-water interactions: Role of biochar from Eichhornia crassipes in influencing crack propagation and suction in unsaturated soils. J. Clean. Prod. 2019, 210, 847–859. [Google Scholar] [CrossRef]
- Hu, X.-F.; Jiang, Y.; Shu, Y.; Hu, X.; Liu, L.; Luo, F. Effects of mining wastewater discharges on heavy metal pollution and soil enzyme activity of the paddy fields. J. Geochem. Explor. 2014, 147, 139–150. [Google Scholar] [CrossRef]
- Diatta, A.A.; Fike, J.H.; Battaglia, M.L.; Galbraith, J.M.; Baig, M.B. Effects of biochar on soil fertility and crop productivity in arid regions: A review. Arab. J. Geosci. 2020, 13, 595. [Google Scholar] [CrossRef]
- Saracoglu, S.; Soylak, M.; Eli, L. Extractable Trace Metals Content of Dust from Vehicle Air Filters as Determined by Sequential Extraction and Flame Atomic Absorption Spectrometry. J. AOAC Int. 2009, 92, 1196–1202. [Google Scholar] [CrossRef] [PubMed]
- Wang, Z.; Wang, J.; Xie, L.; Zhu, H.; Shu, X. Influence of the Addition of Cotton Stalk during Co-pyrolysis with Sewage Sludge on the Properties, Surface Characteristics, and Ecological Risks of Biochars. J. Therm. Sci. 2019, 28, 755–762. [Google Scholar] [CrossRef]
- Liu, S.; Liu, J.; Zhao, J.; Xia, D.; Pan, F.; Liu, C.; Kyzas, G.Z.; Fu, J. Palygorskite changes heavy metal bioavailability and microbial functional diversity in sewage sludge composting. Environ. Technol. 2015, 36, 2855–2862. [Google Scholar] [CrossRef] [PubMed]
- Lu, K.; Yang, X.; Gielen, G.; Bolan, N.; Ok, Y.S.; Niazi, N.K.; Xu, S.; Yuan, G.; Chen, X.; Zhang, X.; et al. Effect of bamboo and rice straw biochars on the mobility and redistribution of heavy metals (Cd, Cu, Pb and Zn) in contaminated soil. J. Environ. Manag. 2017, 186 Pt 2, 285–292. [Google Scholar] [CrossRef] [PubMed]
- Jiang, J.; Xu, R.K.; Jiang, T.Y.; Li, Z. Immobilization of Cu(II), Pb(II) and Cd(II) by the addition of rice straw derived biochar to a simulated polluted Ultisol. J. Hazard. Mater. 2012, 229–230, 145–150. [Google Scholar] [CrossRef] [PubMed]
- Park, J.H.; Choppala, G.K.; Bolan, N.S.; Chung, J.W.; Chuasavathi, T. Biochar reduces the bioavailability and phytotoxicity of heavy metals. Plant Soil 2011, 348, 439–451. [Google Scholar] [CrossRef]
- Jin, J.; Wang, M.; Cao, Y.; Wu, S.; Liang, P.; Li, Y.; Zhang, J.; Zhang, J.; Wong, M.H.; Shan, S.; et al. Cumulative effects of bamboo sawdust addition on pyrolysis of sewage sludge: Biochar properties and environmental risk from metals. Bioresour. Technol. 2017, 228, 218–226. [Google Scholar] [CrossRef]
- Cui, L.; Pan, G.; Li, L.; Bian, R.; Liu, X.; Yan, J.; Quan, G.; Ding, C.; Chen, T.; Liu, Y.; et al. Continuous immobilization of cadmium and lead in biochar amended contaminated paddy soil: A five-year field experiment. Ecol. Eng. 2016, 93, 1–8. [Google Scholar] [CrossRef]
- Pandey, A.K.; Pandey, S.D.; Misra, V. Stability constants of metal-humic acid complexes and its role in environmental detoxification. Ecotoxicol. Environ. Saf. 2000, 47, 195–200. [Google Scholar] [CrossRef] [PubMed]
- Ghorbani, M.; Konvalina, P.; Neugschwandtner, R.W.; Soja, G.; Bárta, J.; Chen, W.-H.; Amirahmadi, E. How do different feedstocks and pyrolysis conditions effectively change biochar modification scenarios? A critical analysis of engineered biochars under H2O2 oxidation. Energy Convers. Manag. 2024, 300, 117924. [Google Scholar] [CrossRef]
- Beesley, L.; Moreno-Jiménez, E.; Gomez-Eyles, J.L.; Harris, E.; Robinson, B.; Sizmur, T. A review of biochars’ potential role in the remediation, revegetation and restoration of contaminated soils. Environ. Pollut. 2011, 159, 3269–3282. [Google Scholar] [CrossRef]
- Zhu, X.; Chen, B.; Zhu, L.; Xing, B. Effects and mechanisms of biochar-microbe interactions in soil improvement and pollution remediation: A review. Environ. Pollut. 2017, 227, 98–115. [Google Scholar] [CrossRef] [PubMed]
- Covelo, E.F.; Vega, F.A.; Andrade, M.L. Competitive sorption and desorption of heavy metals by individual soil components. J. Hazard. Mater. 2007, 140, 308–315. [Google Scholar] [CrossRef] [PubMed]
- Meng, Z.; Huang, S.; Wu, J.; Lin, Z. Competitive adsorption and immobilization of Cd, Ni, and Cu by biochar in unsaturated soils under single-, binary-, and ternary-metal systems. J. Hazard. Mater. 2023, 451, 131106. [Google Scholar] [CrossRef]






| Properties | Unit | Soil | Biochar |
|---|---|---|---|
| pH | - | 7.08 ± 0.30 | 8.95 ± 0.66 |
| EC | Ms/cm | 200.32 ± 10.46 | 428.32 ± 20.26 |
| CEC | cmol/kg | 1.98 ± 0.11 | 33.55 ± 2.10 |
| SOM | % | 1.04 ± 0.58 | - |
| AP | mg/kg | 26.12 ± 1.98 | 171.76 ± 16.22 |
| AN | mg/kg | 19.56 ± 1.22 | 76.42 ± 5.31 |
| AK | mg/kg | 130.28 ± 6.80 | 1366.28 ± 30.55 |
| WHC | % | 4.43 ± 0.18 | - |
| Total heavy metal contents | |||
| Cd | mg/kg | 0.57 ± 0.03 | 2.17 ± 0.18 |
| Cu | mg/kg | 155.24 ± 12.25 | 335.84 ± 18.20 |
Disclaimer/Publisher’s Note: The statements, opinions and data contained in all publications are solely those of the individual author(s) and contributor(s) and not of MDPI and/or the editor(s). MDPI and/or the editor(s) disclaim responsibility for any injury to people or property resulting from any ideas, methods, instructions or products referred to in the content. |
© 2024 by the authors. Licensee MDPI, Basel, Switzerland. This article is an open access article distributed under the terms and conditions of the Creative Commons Attribution (CC BY) license (https://creativecommons.org/licenses/by/4.0/).
Share and Cite
Wang, Z.; Wei, N.; Yang, F.; Hanikai, D.; Li, S.; Zhai, Y.; Zhou, J.; Liu, D.; Yuan, X.; Bie, S.; et al. The Effect of Remediation of Soil Co-Contaminated by Cu and Cd in a Semi-Arid Area with Sewage Sludge-Derived Biochar. Sustainability 2024, 16, 4961. https://doi.org/10.3390/su16124961
Wang Z, Wei N, Yang F, Hanikai D, Li S, Zhai Y, Zhou J, Liu D, Yuan X, Bie S, et al. The Effect of Remediation of Soil Co-Contaminated by Cu and Cd in a Semi-Arid Area with Sewage Sludge-Derived Biochar. Sustainability. 2024; 16(12):4961. https://doi.org/10.3390/su16124961
Chicago/Turabian StyleWang, Zhipu, Nan Wei, Fei Yang, Daoren Hanikai, Shifeng Li, Yawei Zhai, Jiabin Zhou, Dan Liu, Xiaoxian Yuan, Shiji Bie, and et al. 2024. "The Effect of Remediation of Soil Co-Contaminated by Cu and Cd in a Semi-Arid Area with Sewage Sludge-Derived Biochar" Sustainability 16, no. 12: 4961. https://doi.org/10.3390/su16124961
APA StyleWang, Z., Wei, N., Yang, F., Hanikai, D., Li, S., Zhai, Y., Zhou, J., Liu, D., Yuan, X., Bie, S., & Tian, Y. (2024). The Effect of Remediation of Soil Co-Contaminated by Cu and Cd in a Semi-Arid Area with Sewage Sludge-Derived Biochar. Sustainability, 16(12), 4961. https://doi.org/10.3390/su16124961

