Next Article in Journal
Using Deficit Irrigation Strategies and Adding Sugarcane Waste Biochar as a Sustainable Material to Sandy Soils for Improving Yield and Water Productivity of Cucumber
Previous Article in Journal
Evaluating Mineral Matter Dynamics within the Peatland as Reflected in Water Composition
 
 
Font Type:
Arial Georgia Verdana
Font Size:
Aa Aa Aa
Line Spacing:
Column Width:
Background:
Article

Green Behavior Strategies in the Green Credit Market: Analysis of the Impacts of Enterprises’ Greenwashing and Blockchain Technology

School of Economics and Management, Nanjing Forestry University, Nanjing 210037, China
*
Author to whom correspondence should be addressed.
Sustainability 2024, 16(11), 4858; https://doi.org/10.3390/su16114858
Submission received: 21 April 2024 / Revised: 1 June 2024 / Accepted: 3 June 2024 / Published: 6 June 2024

Abstract

With the degradation of the environment due to increasing ecological destruction and pollution, sustainable development has become the paramount objective of social progress. As a result, the concept of green development has garnered considerable attention, which is an important starting point for China to achieve stable economic development and sustainable ecological development. To achieve high-quality economic progress while advancing environmentally friendly practices, it is imperative to formulate and uphold a sound green credit system. However, the phenomenon of greenwashing by enterprises still exists, which compromises the efficacy of green credit and hinders the long-term sustainable and well-organized progress of green finance. Building on the background of green credit, considering the existence of blockchain and government subsidies and adopting the method of tripartite evolutionary game, this paper examines the strategic decisions made by the government, financial institutions, and small and medium-sized enterprises in the context of greenwashing. An emphasis is placed on the impact of blockchain technology on the three parties involved in the green credit market. The findings demonstrate that blockchain technology can diminish the likelihood of greenwashing by businesses and enhance the impact of government subsidies. However, it cannot replace the regulatory authority of the government in sustainable development. Moreover, excessive subsidies can stimulate more greenwashing practices, but eliminating subsidies does not eradicate the root of greenwashing. To encourage sustainable economic development and minimize corporate defaults, the government ought to reinforce supervision and establish a robust social surveillance and publicity mechanism. This paper broadens the research perspective on the effectiveness of green credit and provides some empirical and theoretical references for further promoting the green transformation of SMEs and the sustainable development of the ecological environment.

1. Introduction

Environmental issues have gradually become one of the major global challenges [1,2]. In response to this critical challenge, commercial banks worldwide promote green financial development [3]. In China, the government proposed the concept of green credit in 2007, issued the “green credit guidelines” in 2012, and established a thorough ecological-oriented financial policy to guide the flow of funds [4,5,6]. However, on account of information asymmetry, it is arduous for financial institutions to ensure the use of green credit funds. Profit maximization leads some enterprises to engage in non-green production to bolster profitability [7], which is known as greenwashing behavior [8]. Greenwashing is common in the international market. In 2022, Bank of New York Mellon was accused of making false statements and omissions in ESG factor considerations by some of its mutual funds. In 2023, China’s Southern Weekend magazine published a greenwashing list, which included many of the world’s top 500 companies, such as Tesla. Numerous factors induce greenwashing. Future investment and financing requirements, particularly for companies with higher debt levels [9], may encourage greenwashing behavior. Furthermore, the style of leadership (adherence to authoritative and moral leadership) and incentives [10], as well as gender [11], can also play a role in this behavior. At a macro level, the existence of greenwashing hinders the progress of the real economy and is not conducive to long-term sustainable finance. At an individual level, greenwashing has a negative impact on the work performance of employees and on investor willingness [12]. Individual investors believe that companies with greenwashing behavior are hypocritical [13] and are reluctant to invest in companies that engage in falsification and deceptive manipulation [14]. Additionally, greenwashing impacts consumers’ trust in products [15] and results in decreased brand equity and purchase intention [16]. This is why greenwashing needs to be paid attention to and solved in time.
To address information asymmetry and enhance the efficacy of green credit, financial technology has been utilized, such as blockchain [17]. Moreover, the pioneering attributes of blockchain can augment credit value and optimize corporate default cost [18]. The use of highly transparent and traceable data and smart contract technology is conducive to the supervision of the government and banks. While ensuring the confidentiality and security of private data, it reduces the evaluation and credit reporting costs of financial institutions to enterprises and improves financing efficiency [19]. However, the majority of existing articles concentrate on the features of blockchain, with limited scholarly attention paid to the application and outcomes of blockchain technology in the domain of green credit and regulation. The purpose of this paper is to address this gap and to provide an insight into the use cases and benefits of blockchain in the aforementioned context.
This paper investigates the green supply chain in the financial market against the background of green credit. Based on an evolutionary game, it examines the possibility for greenwashing by SMEs. This paper analyzes the stability strategies of the government, financial institutions, and SMEs, reveals the decision-making mechanisms of participants in the green credit market under blockchain technology and conducts a sensitivity analysis of the pertinent factors. The aim is to address the following inquiries. (1) Can the adoption of blockchain technology reduce the possibility of greenwashing by SMEs? (2) In the context of the green credit policy, what is the regulatory position and role of blockchain? (3) Is there a link between government subsidies and corporate greenwashing? If so, is there no room for greenwashing if the subsidy is cancelled?
The innovations and marginal contributions of this paper are as follows. First of all, the previous research on greenwashing mostly focused on the discussion of greenwashing motivation and solutions, and the field mostly focused on accounting and management, ignoring the impact of the existence of this behavior on the financing system. This paper incorporates it into the consideration of the credit system, explores the impact of greenwashing behavior on the decision-making of financial institutions and enterprises, and identifies the behavioral relationship between the government, financial institutions and enterprises, so as to fill the gap in the relationship between the three under the consideration of enterprise greenwashing behavior. Secondly, previous research on blockchain technology in financing focused on changes in financing methods and financing efficiency between banks and enterprises, and few scholars observed its regulatory role in the financial system from a macro perspective. This paper applies blockchain technology to the green credit market and discusses its impact on government regulation and subsidy policies. Thirdly, most of the environment-related literature adopts the perspective of management and empirical research. This paper provides a dynamic perspective of bounded rationality with the method of an evolutionary game, and it studies the relationship between environment and sustainable economic growth. The results provide inspiration for further research in innovation theory and offer a theoretical reference and scientific basis for improving the effectiveness of the green credit policy.
This paper comprises multiple sections, with the second being a literature review. The Section 3 outlines the model hypothesis and parameter setting. Subsequently, we present the results of the simulation analysis in the Section 4. Finally, we present the conclusions, discussion and policy implications in the Section 5.

2. Literature Review

2.1. Governance of Greenwashing

In general, scholars tended to solve the problem of greenwashing from two directions, one was digital technology represented by blockchain and the other was to reduce the occurrence of greenwashing through various aspects of supervision.
Blockchain technology had the potential to meet the demands of both supply chain flexibility and sustainable circular economy. Dong [20] found that manufacturers in the logistics industry might engage in “greenwashing” practices. The extent to which greenwashing behavior benefited logistics companies was contingent on the likelihood of being caught and receiving punishment. According to Nygaard [15], blockchain had the ability to provide greater protection to consumers against the dangers of greenwashing than authentication systems.
Some scholars included supervision in their research on corporate greenwashing. Hu [21] argued that unifying environmental rating standards, strengthening internal supervision, and extending external supervision were vital in curbing the phenomenon of greenwashing. Supervision was categorized as either internal or external. Internal supervision involved enhancing the responsible management of supply chain businesses [22]. External scrutiny consisted of government and media oversight. Xu [23] believed in the power of regulatory measures and efforts by the government. Sun [24] revealed the impact of the government’s punishment mechanism and tax subsidy mechanism on the greenwashing behavior among heterogeneous enterprises. Considering the problem of greenwashing in the green certification mechanism of enterprises, Chen [25] examined the effect of subsidy policies and other policy tools from the perspective of a multi-agent evolutionary game. Sun [26] proved that the influence of different government supervision intensities and different heterogeneous proportion coefficients of enterprises on the greenwashing behavior of superior and inferior enterprises was different. Government regulations and media coverage could reduce information asymmetry [27]. The cooperation between the two could also have a synergistic governance effect [28]. Yu [29] believed that the greenwashing behavior in the environment, social and governance (ESG) dimension could be prevented by some measures. It was most effective to have more institutional investors and independent directors.

2.2. The Impact of Blockchain on SCF

The current blockchain research focused on mechanism design and application, and on the comparison of financing methods. This paper concentrates on the influence of blockchain’s introduction on the supply chain and upstream and downstream participants, such as financial institutions and SMEs.
Ahluwalia [30] analyzed the transactional nature of blockchain technology in view of transactional economics, showing how the technology overcame the inherent problems of entrepreneurial finance. Blockchain technology had a great impact on SME financing. Cao [31] believed that the emergence of platforms based on blockchain technology and Internet of Things technology could effectively solve the problems of high risks, financing difficulties, and lack of credit in traditional agricultural supply chains. Blockchain could promote trust between organizations in terms of the system and reputation [32], thereby promoting cooperation between upstream and downstream nodes in supply chain finance [33,34] and helping SMEs to comply with contracts [35]. It also brought about changes in financing methods and boosted financing efficiency. Yu [36] suggested that blockchain technology’s credibility and transparency had enabled SMEs to obtain loans from financial institutions through self-guaranteeing them. Song [37] studied the ways in which blockchain can improve financing performance, especially in accounts receivable financing and inventory financing scenarios [38,39].
Blockchain could also help financial institutions such as banks to solve practical business problems and foster financial services to better serve the economy. Cucari [40] discussed a blockchain case study. It was assumed that blockchain technology provided greater data transparency and visibility, improving the transmission and networking efficiency of information and ledger accounting. The decentralized structure of blockchain also greatly enhanced the security of banking business. Wang [41] argued that blockchain changed the credit business and mechanism of traditional banks. It upgraded the centralized banking system, which could reduce the cost of centralized databases, credit risks and potential money laundering risks, and it could develop new financial products [42].

2.3. Research on Green Supply Chain Financing System Based on an Evolutionary Game

Green financing has always been a hot issue in research. The research field centered on influencing factors and financing decisions. This paper mainly revolves around the evolutionary game strategies in the green financial market. Hu [43] considered the existence of joint fraud in the financing problems of banks and enterprises. Li [44] started a game model of the green construction industry. Sun [45] studied the impact of government subsidy mechanisms on corporate green investment. Wang [46] considered the pollution control strategy.
Many scholars regarded government regulation as a party in the evolutionary game to study the longer-term and more macro stability of the credit market. Cui [47] constructed an evolutionary game model composed of four participants—government, financial institutions, enterprises and consumers—to prove the importance of strengthening government supervision and stressed that the construction of a sustainable economy needs the interaction of all parties. The main factors affecting the green behavior of supply chain enterprises included government subsidies, corporate investment income and green consumption costs [48,49]. In terms of government participation factors, many scholars subdivided them. Long [50] considered the government’s green sensitivity. Wei [51] focused on the issue of governance intensity and the punishment coefficient. From the perspective of differentiated pricing, Ye [52] analyzed the strategic choices of the government, financial institutions and enterprises in the process of green credit transactions and promoted the stable strategy of the tripartite game to the ideal range of low interest rates, green production and efficient supervision. With regard to greenwashing, Yang [53] found that the size of the interest gap between greenwashing and ecological innovation (positive and negative) fundamentally determined the direction and outcome of the evolution of new enterprise behavior strategies. Xu [54] analyzed the relevant conditions for enterprises to produce green products by constructing an evolutionary game model of green credit financing.
From the above literature review, it can be seen that there are some gaps in the practical research. (1) The problem of greenwashing is more centered on the discussion of motivation and solutions, while most of the research on ways to curb greenwashing focuses on technical solutions and strengthening supervision, without considering the combination of the two to enhance effectiveness. (2) Given the massive articles on regulation and blockchain technology, the specific application of the green credit market is not taken into account. Few literature studies pay attention to the impact of the existence of greenwashing on the lending of specific financially constrained SMEs, and most ignore the impact of greenwashing on the decision-making of financial institutions. (3) In the research on introducing a supply chain into blockchain technology, few scholars pay attention to the behavior choice of the government as a regulator with the participation of blockchain technology. This paper focuses on the three-party game between the government, financial institutions and enterprises against the background of the green credit market, considering the introduction of blockchain technology and the existence of greenwashing behavior on the part of enterprises.

3. Methodology

Green credit is an important market for China’s green financial development. In reality, the market players involved in green credit are the government, financial institutions and SMEs. The main body of direct transactions of funds is comprised by financial institutions and enterprises, both of which want to maximize their profits, but there are often conflicts between economic benefits and environmental protection. In order to cater to green indicators and maximize their own interests, enterprises may carry out false environmental protection behaviors, obtain recognition and preference of the investment market through greenwashing, and engage in non-green production activities with high risk and high return [55]. Due to information asymmetry, for financial institutions, bearing the risk is too high to recover the loss of all the loan amount. The blockchain itself has the characteristics of openness, decentralization, and traceability, and it can be well applied to the financing scenario. Compared with the traditional mode, the financial mode of access to blockchain technology can reduce the cost of credit investigation and the risk of loss while bearing certain service costs. Increasing the default cost of the defaulting party may be a good solution to the problem of greenwashing [20]. Government subsidies can guide the upgrading of green industries, promote the development of green finance, better help green SMEs with positive externalities, solve the imbalance of economic and social development, and obtain economic benefits and social welfare [56]. At the same time, the input of government subsidies is a burden for national finance, and it is necessary to balance and manage fiscal revenue and expenditure. How to achieve this balance is a problem that the government needs to think about. On the basis of Xu [54], this paper combines the blockchain and greenwashing issues with China’s green credit policy and expands the government’s choice of behavior. The government, as a regulator, quantifies and measures the benefits of environmental protection, supervision and subsidy costs, and it also serves as one of the main players in the tripartite game. This paper focuses on a macro dynamic financing market.

3.1. Evolutionary Model Construction

In order that the research on the evolutionary game can be effectively carried out, some necessary assumptions are made for the model. The assumptions are as follows.
(1) Economic man hypothesis. The purpose of the participants is to maximize their own interests. As an advocate of environmental protection, the government maximizes environmental benefits and social welfare; financial institutions as special profit-making enterprises and SMEs have profit maximization as the biggest goal they pursue.
(2) Bounded rationality hypothesis. This paper abandons the traditional game and chooses the evolutionary game, mainly because the bounded rationality of the participants is more in line with the actual situation. We also need to observe a long-term, dynamic selection and adjustment process of the green credit market.
(3) Strategy. The government’s strategic choices include the implementation of green credit “subsidies” and the “non-subsidies.” The probability of “subsidies” is x (x ⊆ [0, 1]), and the probability of “non-subsidies” is 1 − x. Correspondingly, the strategic choices of financial institutions include “blockchain” and “traditional”, which means whether to adopt blockchain technology in the financial situations, and the probability of “blockchain” is y (y ⊆ [0, 1]), while the probability of “traditional” is 1 − y. The strategic choices of SMEs include “green” and “greenwashing”. The probability of “green” is z (z ⊆ [0, 1]), and the probability of “greenwashing” is 1 − z.

3.2. Model Parameters

As shown in Table 1, this paper sets the environmental benefits and social welfare brought about by the green production of SMEs in the green credit market as W2. The government will provide financing subsidies H for SMEs with limited funds to engage in green production risks. In addition to the cost of capital, the government needs to invest a certain amount of administrative resources in the design of relevant policies. It is necessary to bear the cost of supervision and law enforcement while establishing monitoring and evaluation mechanisms. The existence of incentives also reduces tax revenue. The total cost is recorded as C2. The government has a regulatory function, especially for the trend of funds paid by the government. The regulatory intensity of providing subsidies and not providing subsidies is different, and the cost of different regulatory intensity is also different. When the government pays the funds, we set its supervision as α. If the subsidy policy is not adopted, there is no need to follow up the flow of subsidy funds and the supervision β is weaker (α > β) [51]. Enterprises also have greenwashing production. The emergence of this situation has allowed green funds to flow to non-green areas and failed to achieve the expected environmental effects. Moreover, this fund can be used for the normal production of other green SMEs, and the government will vigorously punish this behavior, recorded as P. As an emerging technology, blockchain can improve the level of information construction, enhance the effectiveness of public services, promote digital economic growth and industrial innovation, and set the relevant income as W1. As a platform builder, the government’s construction cost is C1.
Financial institutions are mainly based on deposit and loan interest spreads, and the deposit interest rate is set as i1. The preferential loan interest rate under the green credit policy is i2 (i2 > i1). That is, the financing cost of green production of SMEs. Its green credit line is L. The business cost of financing for SMEs, such as credit audit, formalities, etc., is set as C3. After adopting the blockchain financial model, the service cost of accessing the blockchain technology platform is C4. If the SMEs providing financing bleach green production, then the financial institutions may bear a variety of damage, such as if the enterprise cannot repay the loan on time, the financial institutions are exposed to the risk of debt default, resulting in the funds not being recovered. Financial institutions may face bad debt, the loss of the value of the assets and bear the loss of reputation and the possibility of legal compliance risk. Under the principle of green finance, financial institutions and highly polluting enterprises may be subject to social and public condemnation, affecting their reputation and business development, and in serious cases, they will be responsible for the legal liability, recorded as S.
The green production yield of small and medium-sized enterprises is r1, while greenwashing production has high risk and high return, and the yield is r2 (r2 > r1). If green production is adopted, a certain cost is required, including updating or modifying existing equipment to meet the needs of environmental protection and energy efficiency. In the procurement of raw materials and supplier cooperation, it is necessary to consider that raw materials must meet environmental protection standards and assess the sustainability of the supply chain. The costs of certification and compliance review, as well as training and governance costs, are recorded as C5. If you access blockchain technology, SMEs in accordance with the rules of the agreement on green production must agree to the timely repayment of loans. Then, according to the formula algorithm and smart contract of blockchain decentralization, digital currency or other forms of trustworthy rewards can be provided for participants’ honest performance, G [31]. In this way, participants are encouraged to actively follow the rules and enhance the operation effect of the system. Through the consensus mechanism in the blockchain, participants participate in the verification transaction according to the rules, and the destruction of greenwashing production will face punishment, M. It is also the compensation obtained by financial institutions through the reward and punishment mechanism of the blockchain service platform. In addition, there is a credit evaluation mechanism in the blockchain, and honest and trustworthy participants receive higher credit scores and reputations. The occurrence of malicious behavior will lead to a series of consequences, such as corporate trust, corporate reputation and image damage [32]. We record these losses as invisible value losses, V, under greenwashing behavior.
The revenue matrix of the three parties is shown in Table 2, which can be derived from the above hypothesis.

3.3. Replicator Dynamics Equation and Stability analysis of Evolutionary Game

According to the above model assumptions and variable settings, the government’s expectation of adopting a green credit subsidy strategy is Ex. The expectation of not adopting green credit subsidies is E1−x. Therefore, the government’s evolutionary game replication dynamic equation is:
E x = y z ( W 1 + W 2 + α P H C 1 C 2 ) + y ( 1 z ) ( W 1 + α P H C 1 C 2 ) + z ( 1 y ) ( W 2 + α P H C 2 ) + ( 1 y ) ( 1 z ) ( α P H C 2 ) E 1 x = y z ( W 1 + W 2 + β P C 1 ) + y ( 1 z ) ( W 1 + β P C 1 ) + z ( 1 y ) ( W 2 + β P ) + ( 1 y ) ( 1 z ) β P F ( x ) = d x / d t = x ( x 1 ) ( C 2 + H α P + β P )
Similarly, the expectations for financial institutions to adopt the blockchain financial strategy and maintain the traditional financial strategy are as follows: Ey, E1−y. Thus, the evolutionary game replication dynamic equation of financial institutions is:
E y = x z [ L ( i 2 i 1 ) C 4 ] + x ( 1 z ) [ L ( i 2 i 1 ) + M S C 4 ] + z ( 1 x ) [ L ( i 2 i 1 ) C 4 ] + ( 1 z ) ( 1 x ) [ L ( i 2 i 1 ) + M S C 4 ] E 1 y = x z [ L ( i 2 i 1 ) C 3 ] + x ( 1 z ) [ L ( i 2 i 1 ) S C 3 ] + z ( 1 x ) [ L ( i 2 i 1 ) C 3 ] + ( 1 z ) ( 1 x ) [ L ( i 2 i 1 ) S C 3 ] F ( y ) = d y / d t = y ( y 1 ) ( C 3 C 4 + M z M )
The expectations for SMEs to adopt the green production strategy and greenwashing production strategy are as follows: Ez, E1−z.
E z = x y [ L ( r 1 i 2 ) + G + H C 5 ] + x ( 1 y ) [ L ( r 1 i 2 ) + H C 5 ] + y ( 1 x ) [ L ( r 1 i 2 ) + G C 5 ] + ( 1 y ) ( 1 x ) [ L ( r 1 i 2 ) C 5 ] E 1 z = x y [ L ( r 2 i 2 ) + H M V α P ] + x ( 1 y ) [ L ( r 2 i 2 ) + H α P ] + y ( 1 x ) [ L ( r 2 i 2 ) M V β P ] + ( 1 y ) ( 1 x ) [ L ( r 2 i 2 ) β P ] F ( z ) = d z / d t = z ( z 1 ) ( β P C 5 + L r 1 L r 2 + y G + y M + y V + x α P x β P )
When  F ( x ) = 0 ,   F ( x ) < 0 ,  let  F ( x ) = 0 ,  then  x = 0 ,   x = 1 .
When  C 2 + H α P + β P > 0 ,   F ( 0 ) < 0 ,   F ( 1 ) > 0  then  x = 0  is an evolution-stable point. The government will not choose a subsidy.
When  C 2 + H α P + β P < 0 ,   F ( 0 ) > 0 ,   F ( 1 ) < 0 , then  x = 1  is an evolution-stable point. The government will choose a subsidy.
When  F ( y ) = 0 ,   F ( y ) < 0 ,  let  F ( y ) = 0 ,  then  y = 0 ,   y = 1  and  z 0 = ( C 3 C 4 ) / M + 1 .
When  z = z 0 ,   F ( y ) = 0 , any value of y is an evolution-stable state.
When  z z 0 ,   0 < z < z 0  and  F ( 0 ) > 0 ,   F ( 1 ) < 0 , then  y = 1  is an evolution-stable point. When the probability of SMEs choosing green production is less than z0, financial institutions will adopt the blockchain financial model.
When  z z 0 ,   z 0 < z < 1 , and  F ( 0 ) < 0 ,   F ( 1 ) > 0 , then  y = 0  is an evolution-stable point. When the probability of SMEs choosing green production is more than z0, financial institutions will adopt the traditional financial model.
Based on the above analysis, the conclusions are expressed in a three-dimensional coordinate system, which leads to the dynamic evolutionary trend of financial institutions’ behavior, as shown in Figure 1.
When  F ( z ) = 0 ,   F ( z ) < 0 ,  let  F ( z ) = 0 , then  z = 0 ,   z = 1 , and  x 0 = ( β P C 5 + L r 1 L r 2 + y G + y M + y V ) / ( β P α P ) .
When  x = x 0 ,   F ( z ) = 0 , any value of z is an evolution-stable state.
When  x x 0 ,   0 < x < x 0  and  F ( 0 ) < 0 , F ( 1 ) > 0 , then  z = 0  is an evolution-stable point. When the probability of the government choosing green credit subsidy is less than x0, SMEs will adopt the way of greenwashing production.
When  x x 0 ,   x 0 < x < 1 , and  F ( 0 ) > 0 , F ( 1 ) < 0 , then  z = 1  is an evolution-stable point. When the probability of the government choosing green credit subsidy is more than x0, SMEs will adopt the way of green production.
Based on the above analysis, the conclusions are expressed in a three-dimensional coordinate system, which leads to the dynamic evolutionary trend of financial institutions’ behavior, as shown in Figure 2.
By analyzing the local stability of the matrix of the corresponding replication dynamic system, the evolutionary stability strategy of the evolutionary game is obtained. According to the replication dynamic equation of the three parties, we can obtain the Jacobian matrix of the system.
D 11 = F ( x ) x , D 12 = F ( x ) y , D 13 = F ( x ) z D 21 = F ( y ) x , D 22 = F ( y ) y , D 23 = F ( y ) z D 31 = F ( z ) x , D 32 = F ( z ) y , D 33 = F ( z ) z J = ( D 11 D 12 D 13 D 21 D 22 D 23 D 31 D 32 D 33 ) = ( λ 1 0 0 0 λ 2 0 0 0 λ 3 )
D 11 = ( x 1 ) ( C 2 + H α P + P ) + x ( C 2 + H P + β P ) , D 12 = D 13 = 0 .
D 21 = 0 , D 22 =   y ( C 3 C 4 + M z M ) ( y 1 ) ( C 3 C 4 + M z M ) , D 23 = yM ( y 1 ) .
D 31 = z ( z 1 ) ( α P β P ) , D 32 = z ( z 1 ) ( G + M + V ) , D 33 = ( 2 z 1 ) [ β P C 5 + L r 1 L r 2 + ( G + M + V ) y + P α x P β x ] .
When all the eigenvalues of the matrix are negative, the equilibrium point is the evolutionary stable point (ESS); when the sign of all the eigenvalues of the matrix is determined and there are positive eigenvalues, the equilibrium point is unstable. However, if the equilibrium of an asymmetric game is asymptotically stable, it must be consistent with the strict Nash equilibrium and be a pure strategic equilibrium. Therefore, in order to discuss the asymptotic stability of the equilibrium point of the replicator dynamics equation, only the equilibrium point of the replicator dynamics equation needs to be discussed with a pure strategy. This paper only considers the pure strategy and does not consider the mixed strategy, so only the positive and negative eigenvalues of the first eight stable points are analyzed in Table 3 and Table 4.
In practice, the initial parameters should satisfy  C 4 C 3 < 0 . The reason for this is that the use of the blockchain platform reduces the investment cost of financial institutions in financing SMEs, that is, the service cost of the blockchain platform is less than the financing cost of green small and medium-sized enterprises. E1(0,0,0), E2(1,0,0), E4(0,0,1), E6(1,0,1). The eigenvalues do not meet the symbolic requirements of the Lyapunov discriminant method for evolutionary stable points. Whether the eigenvalues E3(0,1,0), E5(1,1,0), E7(0,1,1), E8(1,1,1) satisfied the Lyapunov criterion needs further discussion. As  C 4 C 3 < 0 C 4 C 3 M < 0 . The stability of these four equilibrium points is discussed as follows:
Case I:  G C 5 + M + V + β P + L r 1 L r 2 < 0 ,   α P H C 2 β P < 0 .  In the green credit financing system, the total benefit of the loss compensation for financial institutions and the incentive for enterprises to be trustworthy brought by the use of blockchain finance is less than that of the greenwashing production enterprises under the weak regulatory punishment and the loss of invisible value ( G + M < L r 2 L r 1 + C 5 V β P ). For the government, the difference between the benefits of strong regulation and the benefits of weak regulation is less than the cost of government subsidies ( α P β P < C 2 + H ). The eigenvalues of the equilibrium point (0,1,0) are all negative. So, {non-subsidy, blockchain, greenwashing} is a stable strategy.
Case II:  G C 5 + M + V + α P + L r 1 L r 2 < 0 ,   C 2 + H α P + β P < 0 .  In the green credit financing system, the total benefit of the loss compensation for financial institutions and the incentive for enterprises to be trustworthy brought about by the use of blockchain finance is less than that of the greenwashing production enterprises under the strict regulatory punishment and the loss of invisible value ( G + M < L r 2 L r 1 + C 5 V α P ). For the government, the difference between the benefits of strong supervision and the benefits of weak supervision is greater than the cost of government subsidies, and the benefits of strong supervision under the government subsidy model are higher ( C 2 + H < α P β P ). The eigenvalues of the equilibrium point (1,1,0) are all negative. So, {subsidy, blockchain, greenwashing} is a stable strategy.
Case III:  C 5 G M V β P L r 1 + L r 2 < 0 ,   α P H C 2 β P < 0 .  In the green credit financing system, the total income from the loss compensation of financial institutions and the incentive for enterprises to keep their promises brought by blockchain finance is greater than the income from the use of greenwashing production enterprises to bear weak regulatory penalties and invisible value losses ( G + M > L r 2 L r 1 + C 5 V β P ). For the government, the difference between the benefits of strong regulation and the benefits of weak regulation is less than the cost of government subsidies ( α P β P < C 2 + H ). The eigenvalues of the equilibrium point (0,1,1) are all negative. So, {non-subsidy, blockchain, green} is a stable strategy.
Case IV:  C 5 G M V α P L r 1 + L r 2 < 0 ,   C 2 + H α P + β P < 0 .  In the green credit financing system, the total income from the loss compensation of financial institutions and the incentive for enterprises to keep their promises brought by blockchain finance is greater than the income from the use of greenwashing production enterprises to bear weak regulatory penalties and invisible value losses ( G + M > L r 2 L r 1 + C 5 V α P ). For the government, the difference between the benefits of strong regulation and the benefits of weak regulation is greater than the cost of government subsidies ( C 2 + H < α P β P ). The eigenvalues of the equilibrium point (1,1,1) are all negative. So, {subsidy, blockchain, green} is a stable strategy.

4. Numerical Simulation Analysis

4.1. Case Study

In reality, the Chinese government and financial institutions have gradually realized the importance of blockchain in green credit, encouraged technological innovation and application, and tapped the potential of blockchain for improving credit efficiency and reducing credit fraud.
In 2022, the regulatory tools for Shenzhen Fintech innovation included blockchain. The “green credit service based on artificial intelligence technology” declared the Shenzhen Branch of Industrial Bank, which built a “circle of friends” network with green enterprises as the core. It constructed a green enterprise identification model so that financial institutions could identify the risk of greenwashing from multiple dimensions, improve the efficiency and accuracy of risk control, and strengthen the judgment ability of green financial enterprises. At the same time, it provided more accurate and efficient green credit services for eligible enterprises and lifted financing efficiency. It is the future trend to adopt financial technology, including blockchain, to solve the problem of greenwashing.

4.2. The Evolution Trajectory of the Stable Point

The one-year pricing of the People’s Bank of China was 3.55% and the one-year fixed deposit data of the Industrial and Commercial Bank of China in 2023 was 1.65%. According to the green credit discount of Xiamen green financing enterprises and green financing project library enterprises, each enterprise discounts no more than CNY 300,000 per year, so we set H to 5 and 15. Regarding the government’s penalty, there are two cases for reference. In January 2022, Shandong Xinhua Wanbo Chemical Co., Ltd. (Zibo, China) was fined CNY 87,500 by the Zibo City Ecological Environment Bureau due to the inconsistency between the pollutant discharge mode and the discharge destination and the pollutant discharge license. In December 2022, the Taizhou Ecological Environment Bureau announced that Tiantai Huatong Animal Husbandry Co., Ltd. (Huzhou, China) was suspected of discharging water pollutants by evading supervision and fined CNY 370,000. It can be seen that the size of the company and the degree of pollution will lead to different amounts of fines. This paper is set for SMEs, so P fluctuates between 10 and 40. The remaining parameters are substituted into the three-party game model according to the operation of the blockchain service platform, the basic situation of the green credit business and the replication dynamic equation of the three parties. Then, using MATLAB R2021a, the model based on the behavior strategy of the participants in the green credit market is simulated and analyzed, and the impacts of government subsidies, punishments, supervision, service costs, business costs, trustworthy incentives, platform tracking mechanisms and invisible value losses on the three-party behavior strategy are discussed.
Based on the model assumptions and stability conditions, this paper assigns the parameters and numerically simulates the equilibrium point of the tripartite evolutionary game. Combined with the data mentioned above, according to the different preconditions in the previous section, the parameter values in the four cases are set in Table 5, Table 6, Table 7 and Table 8:
G C 5 + M + V + β P + L r 1 L r 2 < 0 ,   α P H C 2 β P < 0 ;
G C 5 + M + V + α P + L r 1 L r 2 < 0 ,   C 2 + H α P + β P < 0 ;
C 5 G M V β P L r 1 + L r 2 < 0 ,   α P H C 2 β P < 0 ; C 5 G M V α P L r 1 + L r 2 < 0 ,   C 2 + H α P + β P < 0 .
This value represents the general proportion and is mainly used to verify the tripartite evolutionary game model in the green credit market. These four groups of values are shown in the following table. As time goes on, they have evolved 50 times and finally they reach their respective stable points. The evolutionary trajectory is shown in the figure.
When  x = 0.2 , y = 0.2 , z = 0.2 , the evolution trajectory is shown in the figure. The numerical simulation results provide a consistent and effective conclusion for the strategic stability analysis of all the parties, and they provide some practical guidance for the tripartite strategy of the government, financial institutions and SMEs.
Under the condition that the initial willingness is 0.2 and the stability of the first case is satisfied, the government, financial institutions and small and medium-sized enterprises finally reach E3(0,1,0) after 50 periods of evolution in the model. This point has only one combination {non-subsidy, blockchain, greenwashing} and the evolutionary trajectories are shown in Figure 3. Government subsidies need to invest a lot of money and the cost is too high, so the willingness to subsidize is low. Financial institutions can obtain default compensation and reduce financing costs by adopting the blockchain model. Under the green credit policy, for the SMEs, the government and the blockchain default punishments are not enough. Given that the greenwashing production yield is higher, the enthusiasm for green production is very low.
Under the condition that the initial willingness is 0.2 and the stability of the second case is satisfied, the government, financial institutions and SMEs evolve 50 times in the model and finally reach E5(1,1,0). The evolutionary trajectories are shown in Figure 4. This point has only one combination {subsidy, blockchain, greenwashing}. The government subsidy income is higher than the cost paid and the subsidy enthusiasm is high. The benefit of financial institutions adopting the blockchain model is higher, but the addition of government subsidies and the lack of two-dimensional punishment still allow SMEs to retain the motivation for greenwashing production.
Under the condition that the initial willingness is 0.2 and the stability of the third case is satisfied, as shown in the Figure 5, the government has not invested subsidy funds in support, SMEs enjoy compliance incentives in the face of blockchain mode, and the cost of illegal production is high. Therefore, the government, financial institutions, small and medium-sized enterprises in the model after 50 periods of evolution, finally reached E7(0,1,1). This point has only one combination {non-subsidy, blockchain, green}.
Under the condition that the initial willingness is 0.2 and the stability of situation 4 is satisfied, as shown in the Figure 6, the government invests subsidies to guide green production, financial institutions use blockchain revenue maximization, small and medium-sized enterprises use green production, taking into account economic and social benefits, and the three parties are win–win. The government, financial institutions, SMEs in the model, after 50 periods of evolution, finally reached E8(1,1,1). This point has only one combination {subsidy, blockchain, green}.
However, the green economy is supported by green technology and ecological economic ethics. In the immature stage of the green economy, in order to pursue maximum benefits and despise environmental protection, enterprises have also undermined the effectiveness of green credit policies. Financial institutions have assumed credit risks, and the government’s environmental governance costs are becoming higher and higher, which runs counter to the concept of environmental protection. From an ideal perspective, the government and SMEs should adjust their strategies to achieve a win–win situation. The government subsidy income is higher than the cost, which can continuously guide SMEs to carry out green production and take into account economic and environmental benefits. SMEs should also respond to the government’s call to engage in green production, obtaining no less than the income of green production while taking into account social responsibility, enterprises have the enthusiasm to participate in green construction. Therefore, for the sustainable development of the society, the government funds support green small and medium-sized enterprises, guide the green upgrading of the industry, and strengthen supervision. Financial institutions introduce blockchain technology, while enterprises operate legally and greenly, which is the ideal state of the green credit market. Therefore, in the next results analysis, we will pay more attention to the influence of key parameters in the ideal state.

4.3. Sensitivity Analysis

To evaluate the influence of some key parameters on the evolution results and trajectories of the three agents, numerical simulations are also carried out. The selected parameters include H, P, α, β, G, V, M, C3, and C4. When  x = 0.2 , y = 0.2 , z = 0.2 , the initial parameters are set to satisfy the Case IV:  W 1 = 50 , W 2 = 50 , C 1 = 25 , C 2 = 15 ,   C 3 = 10 ,   C 4 = 8 , C 5 = 15 , P = 60 ,   H = 5 ,   L = 150 , M = 15 , S = 40 , G = 10 , V = 10 , r 1 = 0.15 , r 2 = 0.35 ,   i 1 = 0.0355 , i 2 = 0.0165 , α = 1 , β = 0.1 .
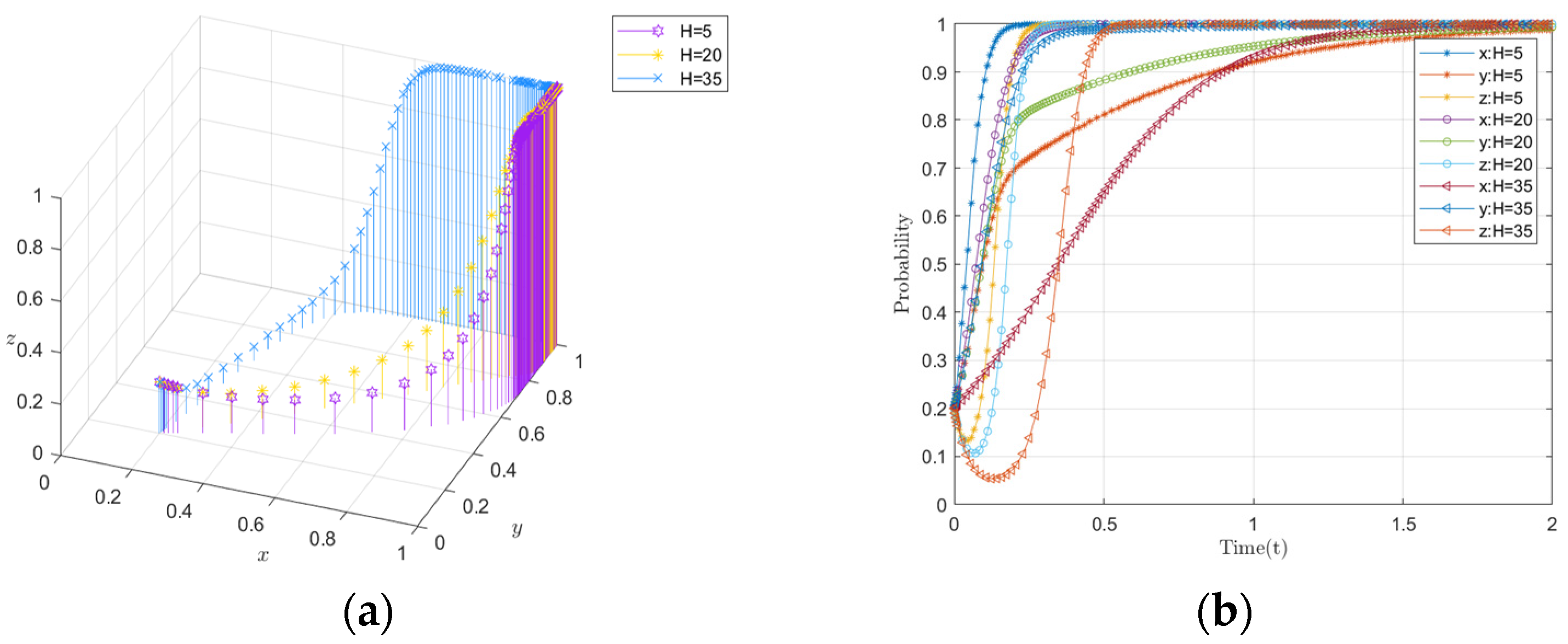
In different time periods, the government’s subsidies may be different. As we can see in Figure 7, when H = 5, 20, 35, the simulation results of replicating the dynamic equation system 20 times are shown in the figure. With the increase in the subsidy intensity, the government’s financial pressure is also greater, and the speed of the evolutionary stability point is also slower and slower. When H = 35, the evolution process of government subsidy measures slows down. In view of the high cost of green R&D and the equipment upgrading of enterprises, and given the low proportion of consumers’ awareness of green environmental protection into effective market demand, resulting in the imbalance between the supply side and the demand side of green products, it is necessary to intervene in the production of green products by means of government subsidies, alleviate the financial pressure of enterprises, reduce the risk of technological R&D of enterprises, and improve the enthusiasm of enterprises for green production. However, with the gradual increase inf government subsidies, this positive effect will also produce negative effects at the same time, and the marginal effect of the positive effects is becoming lower and lower. It increases the possibility of greenwashing production in small and medium-sized enterprises. When the subsidy intensity becomes larger, the process of enterprise green production evolution also slows down. The possibility of corporate greenwashing production becomes higher, which means that financial institutions need to bear higher capital risks and legal risks. Therefore, financial institutions will accelerate the adoption of financial services under the blockchain model to minimize the risk of default lending.
Strict government supervision has a good effect on preventing the occurrence of greenwashing behavior. When P = 40, 25, 15, α = 0.6, 0.85, 1, β = 0.05, 0.15, 0.2, it can be seen in Figure 8 and Figure 9 that after 20 periods of system evolution, SMEs with penalties of 15 and 25 finally choose greenwashing behavior, and the benefits of default behavior are much higher than the penalty cost found. At the same time, enterprises choose to default, and government subsidy funds lose the significance of guiding green production. The government will choose the “no subsidy” strategy to reduce fiscal expenditure. When P = 40, with the increase in government punishment, the probability of SMEs choosing green production becomes higher, and the government will adopt subsidies. It can be seen that subsidies are very important for green development. With the increasing value of the evolutionary convergence speed of enterprises choosing green production and the government adopting subsidy measures is accelerated.
The reward and punishment mechanism of the blockchain has different effects on the decision-making of all the parties. In reality, different blockchain platforms and financing methods will have different information services, and the compensation for financial institutions is not the same. With reference to the model mentioned in Jiao’s article, Tencent Financial Technology’s micro-enterprise chain platform and cross-border factoring financing with linkage advantages can provide different information services. Different transaction information contracts and punishment mechanisms will have different effects on the invisible value loss of defaulting companies. The compensation of cross-border factoring financing and aerospace information invoice credit financing for financial institutions is also different. Therefore, we set the assignment of the platform tracing mechanism compensation, trustworthy incentive, and invisible value loss as (5,5,5), (15,15,10), (25,20,15). From Figure 10, it can be seen that with the increase in positive incentives and penalties brought about by blockchain, the production behavior of SMEs also has positive feedback, which reduces the possibility of greenwashing by SMEs and evolves faster to the stable point of green production. The increase in penalties also means that financial institutions can make up for more losses from SME default lending, and the enthusiasm for borrowing and the motivation to adopt blockchain are also increasing.
In the real financing situation, the service cost of the blockchain platform is different from the business cost of financial institutions in the dynamic financial environment. In order to comprehensively analyze the impact of the blockchain platform service fees and business costs of financial institutions on the strategy of participating entities, we set C3 = 8, 15, 20 and C4 = 1, 4, 5. The simulation results are shown in Figure 11. It can be seen from the figure that the change in the control cost and cost gap has no effect on government decision-making. With the increase in the gap between the two, it will accelerate the speed of financial institutions and SMEs to the stable point of {blockchain, green}, but there is no obvious change in the decision-making of the three. The greater the cost gap, the higher the necessity and enthusiasm of financial institutions to adopt the blockchain model. Small and medium-sized enterprises have clearer rewards and punishments for trustworthiness and default, which will further promote the evolution to green production.

5. Conclusions and Discussion

5.1. Conclusions

(1) In the green credit financing system, the government’s income difference under different regulatory intensities directly affects the government’s subsidy decision. The difference in income is greater than the subsidy cost, that is, the subsidy strategy is adopted. The difference in income is less than the subsidy cost, and the government will not adopt the subsidy method. The positive incentives and default penalties brought by the blockchain affect the direction of enterprise production. If the benefits of the blockchain finance for the enterprise’s trustworthy incentives and the compensation for the loss of financial institutions are greater than the regulatory penalties and invisible value losses borne by the greenwash production enterprises, then the enterprise will choose green production. On the contrary, the enterprise will still choose default greenwashing.
(2) Excessive government subsidies will increase the possibility of corporate greenwashing in the short term, and the subsidy policy cannot be adhered to for a long time. The cancellation of subsidies will still leave the problem of greenwashing. The addition of blockchain can reduce the occurrence of greenwashing, but it cannot replace the regulatory role of the government.

5.2. Discussion

(1) Government subsidies are intended to ease the financial pressure of green transformation and green R&D for SMEs, reduce the cost of green enterprise certification, and guide the upgrading of green industries. The policy can indeed alleviate the problem of financial constraints. The subsidy program is also an effective force for promoting the ecological design and recycling of products, but it is not a fact that the higher government subsidies are more beneficial to environmental performance [57]. Excessive government subsidies cannot enhance the guiding effect of environmental ethics and the green production of enterprises, and they even create the soil for greenwashing production of SMEs. However, if the government removes subsidies, greenwashing production by SMEs will still occur. The government needs to weigh the environmental benefits and financial costs and the losses of corporate greenwashing.
(2) The citation of blockchain technology allows financial institutions to reduce the cost of financing operations, as well as to moderately compensate for the loss of defaulted loans to SMEs, reducing the credit risk and increasing the incentives of financial institutions for green credit. The cost of blockchain platform services does not affect financial institutions’ decision-making, but the larger the gap with business costs, the more incentive financial institutions have to adopt blockchain technology. The cost of blockchain in this paper is relatively simple. In fact, there are cost problems in the construction, application and operation of blockchain [52]. The high cost of blockchain will make it difficult for the game system to reach the ideal state [3], and banks are extremely sensitive to the change in the blockchain cost [54]. Reducing the blockchain cost is the key direction to be developed.
(3) Unlike Chen’s cautious attitude toward environmental information disclosure [25], the information transparency brought about by blockchain has a positive effect on the entire credit financing system, and there is no need to worry that the government’s disclosure of negative information about the environmental behavior of enterprises will damage its disclosure of good environmental information represented by green certification, while positive information about enterprises’ fulfilment of green commitments will also be made known to the public. As trustworthy enterprises are incentivized, the default cost of greenwashed enterprises will be higher, including both the explicit and implicit loss of value, thus accelerating the evolution of SMEs to green production and sharing the burden of government regulation. However, the introduction of blockchain technology does not eliminate the possibility of SMEs drifting toward green production, and to reduce the occurrence of this behavior, the position of government regulation must not be missing and regulation must not be relaxed at a reasonable cost. Compared with the advantageous enterprises that occupy a higher market share, the decision-making speed and effect of the disadvantageous enterprises are much lower than the former. In reality, enterprise heterogeneity will affect the speed of decision-making and even the effectiveness of the policy. Advantageous enterprises can obtain more green innovation returns and reputation from their market share, and government punishment can effectively warn them. They can have more choice space to access the blockchain. Disadvantaged companies are more likely to engage in greenwashing for lower penalties [24]. It can be considered to enhance the construction of corporate social responsibility to increase the cost of greenwashing psychological loss [35]. But for disadvantaged companies, accepting blockchain means smaller greenwashing possibilities and higher technical costs, and the enthusiasm for access will not be high, which is a hidden danger to the effectiveness of green credit. In the market with universal access to blockchain, rejection may mean financing difficulties, and brands are not trusted by consumers and thus difficult to operate. In the future, it may be necessary to consider subsidizing blockchain by the government.
(4) This paper considers the tripartite game of greenwashing behavior among the government, financial institutions and SMEs in the green credit market based on blockchain technology. The blockchain technology platform is built by the government and used by financial institutions. In reality, many financial institutions build their own platforms. Whether the construction cost can be used as a parameter affecting the decision-making of financial institutions can be studied. In addition, the green credit market, in addition to government participation, will have the participation of non-financial institutions, so in the future, we can consider the four-party evolutionary game or Stackelberg game and take the refined blockchain cost as the focus of the research, study the sensitivity of each party to the blockchain cost and determine which blockchain platform is the cost minimization method.

5.3. Policy Implications

(1) We can reinforce the social publicity mechanism, increase social publicity and media disclosure to enhance the reputation damage of greenwashing, and improve the reputation and popularity of green production enterprises. We can strengthen the construction of corporate social responsibility to increase the illegal cost and greenwashing psychological loss, so that green enterprises have more motives to put into green production.
(2) Government subsidies can consider a variety of subsidy methods rather than a one-size-fits-all cost subsidy and can be adjusted according to the subsidy object. For example, the subsidy method can consider “inclusive subsidy” and “competitive subsidy”, consider “consumption subsidy” and “innovation subsidy” with different incentive effects, and also consider “technology subsidy” and “price subsidy” to improve the efficiency of government funds.
(3) The introduction of blockchain reduces the financing cost of financial institutions, improves the enthusiasm for green credit, and also benefits more small and medium-sized enterprises in terms of the green transformation. When the government invests the same degree of subsidy, the enthusiasm for green production is higher and the subsidy effect is strengthened on behalf of blockchain. Therefore, the government can also consider subsidizing the investment and construction of the blockchain, encouraging more institutions to participate in the use of new technologies and applying new technologies to all aspects of green production. From the two dimensions of technology and government, the two-pronged approach reduces the possibility of corporate greenwashing.
(4) The government should amplify the supervisory and management mechanism and strengthen the supervision and penalties for opportunistic corporate behavior so that the green credit market can develop more healthily. It can also match a variety of policy combinations and make rational use of tax and other policy tools to encourage more enterprises to engage in green production.

Author Contributions

Conceptualization, X.L. and H.W.; methodology, X.L.; software, X.L.; validation, X.L. and H.W.; formal analysis, X.L.; writing—original draft preparation, X.L. and H.W.; writing—review and editing, X.L. and H.W.; visualization, X.L.; supervision, X.L. and H.W.; funding acquisition, H.W. All authors have read and agreed to the published version of the manuscript.

Funding

This work was supported by the Humanities and Social Science Fund of Ministry of Education of China (grant numbers: 20YJC630142).

Institutional Review Board Statement

Not applicable.

Informed Consent Statement

Not applicable.

Data Availability Statement

The original report data were obtained from the People’s Bank of China and Industrial and Commercial Bank of China.

Acknowledgments

We are very grateful to the editors and anonymous reviewers. Funding is acknowledged as well.

Conflicts of Interest

The authors declare no conflicts of interest.

References

  1. Chien, F.; Chau, K.Y.; Ady, S.U. Does the combining effects of energy and consideration of financial development lead to environmental burden: Social perspective of energy finance? Environ. Sci. Pollut. Res. 2021, 28, 40957–40970. [Google Scholar] [CrossRef] [PubMed]
  2. Zhang, D.; Zhang, Z.; Managi, S. A bibliometric analysis on green finance: Current status, development, and future directions. Financ. Res. Lett. 2019, 29, 425–430. [Google Scholar] [CrossRef]
  3. Chai, S.L.; Zhang, K.; Wei, W.; Ma, W.Y.; Abedin, M.Z. The impact of green credit policy on enterprises’ financing behavior: Evidence from Chinese heavily-polluting listed companies. J. Clean. Prod. 2022, 363, 12. [Google Scholar] [CrossRef]
  4. Cowan, E. Topical Issues in Environmental Finance; Research Paper was Commissioned by the Asia Branch of the Canadian International Development Agency (CIDA); International Development Research Centre: Ottawa, ON, Canada, 1999; Volume 1, pp. 1–20.
  5. Liu, Y.; Wang, J.; Xu, C. Green credit policy and labor investment efficiency: Evidence from China. Environ. Sci. Pollut. Res. 2023, 30, 110461–110480. [Google Scholar] [CrossRef] [PubMed]
  6. Lv, C.; Bian, B.; Lee, C.C.; He, Z. Regional gap and the trend of green finance development in China. Energy Econ. 2021, 102, 105476. [Google Scholar] [CrossRef]
  7. He, L.; Gan, S.; Zhong, T. The impact of green credit policy on firms’ green strategy choices: Green innovation or green-washing? Environ. Sci. Pollut. Res. 2022, 29, 73307–73325. [Google Scholar] [CrossRef] [PubMed]
  8. Lyon, T.P.; Montgomery, A.W. The means and end of greenwash. Organ. Environ. 2015, 28, 223–249. [Google Scholar] [CrossRef]
  9. Xia, F.; Chen, J.; Yang, X.; Li, X.; Zhang, B. Financial constraints and corporate greenwashing strategies in China. Corp. Soc. Responsib. Environ. Manag. 2023, 30, 1770–1781. [Google Scholar] [CrossRef]
  10. Blome, C.; Foerstl, K.; Schleper, M.C. Antecedents of green supplier championing and greenwashing: An empirical study on leadership and ethical incentives. J. Clean. Prod. 2017, 152, 339–350. [Google Scholar] [CrossRef]
  11. Zhang, D. Can environmental monitoring power transition curb corporate greenwashing behavior? J. Econ. Behav. Organ. 2023, 212, 199–218. [Google Scholar] [CrossRef]
  12. Li, W.; Seppänen, V. How and when does perceived greenwashing affect employees’ job performance? Evidence from China. Corp. Soc. Responsib. Environ. Manag. 2022, 29, 1722–1735. [Google Scholar] [CrossRef]
  13. Ioannou, I.; Kassinis, G.; Papagiannakis, G. The impact of perceived greenwashing on customer satisfaction and the contingent role of capability reputation. J. Bus. Ethics 2023, 185, 333–347. [Google Scholar] [CrossRef]
  14. Gatti, L.; Pizzetti, M.; Seele, P. Green lies and their effect on intention to invest. J. Bus. Res. 2021, 127, 228–240. [Google Scholar] [CrossRef]
  15. Nygaard, A.; Silkoset, R. Sustainable development and greenwashing: How blockchain technology information can empower green consumers. Bus. Strategy Environ. 2023, 32, 3801–3813. [Google Scholar] [CrossRef]
  16. Akturan, U. How does greenwashing affect green branding equity and purchase intention? An empirical research. Mark. Intell. Plan. 2018, 36, 809–824. [Google Scholar] [CrossRef]
  17. Wu, Q.; Kang, J.; Zhao, Y. Application of science and technology in the field of green finance. China Financ. 2023, 14, 71–72. [Google Scholar]
  18. Jiao, Y.; Yan, X.; Du, J. Tripartite Evolutionary Game Research of Factoring Financing under the Integration of Blockchain. Chin. J. Manag. 2023, 20, 598–609. [Google Scholar]
  19. Guerar, M.; Merlo, A.; Migliardi, M. A fraud-resilient blockchain-based solution for invoice financing. IEEE Trans. Eng. Manag. 2020, 67, 1086–1098. [Google Scholar] [CrossRef]
  20. Dong, C.; Huang, Q.; Pan, Y.; Ng, C.T.; Liu, R. Logistics outsourcing: Effects of greenwashing and blockchain technology. Transp. Res. Part E Logist. Transp. Rev. 2023, 170, 103015. [Google Scholar] [CrossRef]
  21. Hu, X.; Hua, R.; Liu, Q.; Wang, C. The green fog: Environmental rating disagreement and corporate greenwashing. Pac.-Basin Financ. J. 2023, 78, 101952. [Google Scholar] [CrossRef]
  22. Pizzetti, M.; Gatti, L.; Seele, P. Firms talk, suppliers walk: Analyzing the locus of greenwashing in the blame game and introducing ‘vicarious greenwashing’. J. Bus. Ethics 2021, 170, 21–38. [Google Scholar] [CrossRef]
  23. Xu, W.; Li, M.; Xu, S. Unveiling the “Veil” of information disclosure: Sustainability reporting “greenwashing” and “shared value”. PLoS ONE 2023, 18, e0279904. [Google Scholar] [CrossRef]
  24. Sun, Z.; Zhang, W. Do government regulations prevent greenwashing? An evolutionary game analysis of heterogeneous enterprises. J. Clean. Prod. 2019, 231, 1489–1502. [Google Scholar] [CrossRef]
  25. Chen, Y.; Liu, J. Dose subsidy make green certification more effective? Based on the perspective of green market evolution. J. Ind. Eng. Eng. Manag. 2022, 36, 274–282. [Google Scholar]
  26. Sun, R.; He, D.; Su, H. Application of blockchain technology to preventing supply chain finance based on evolutionary game. Chin. J. Manag. Sci. 2024, 32, 1–18. [Google Scholar]
  27. Li, W.; Li, W.; Seppänen, V.; Koivumäki, T. Effects of greenwashing on financial performance: Moderation through local environmental regulation and media coverage. Bus. Strategy Environ. 2023, 32, 820–841. [Google Scholar] [CrossRef]
  28. Wang, W.; Sun, Z.; Zhu, W. How does multi-agent govern corporate greenwashing? A stakeholder engagement perspective from “common” to “collaborative” governance. Corp. Soc. Responsib. Environ. Manag. 2023, 30, 291–307. [Google Scholar] [CrossRef]
  29. Yu, E.P.; Van Luu, B.; Chen, C.H. Greenwashing in environmental, social and governance disclosures. Res. Int. Bus. Financ. 2020, 52, 101192. [Google Scholar] [CrossRef]
  30. Ahluwalia, S.; Mahto, R.V.; Guerrero, M. Blockchain technology and startup financing: A transaction cost economics perspective. Technol. Forecast. Soc. Chang. 2020, 151, 119854. [Google Scholar] [CrossRef]
  31. Cao, Y.; Yi, C.; Wan, G.; Hu, H.; Li, Q.; Wang, S. An analysis on the role of blockchain-based platforms in agricultural supply chains. Transp. Res. Part E Logist. Transp. Rev. 2022, 163, 102731. [Google Scholar] [CrossRef]
  32. Wu, J.; Yang, Y.; Zou, L.; Ke, D. The Information Sharing Model of Agricultural Supply Chain Finance for Small Farmers Based on Blockchain. Inf. Sci. 2023, 41, 97–106. [Google Scholar]
  33. Song, X.; Mao, J. Research on the Process of Blockchain-based Interorganizational Trust Building Take the Digital Supply Chain Finance Model for Example. China Ind. Econ. 2022, 11, 174–192. [Google Scholar]
  34. Su, L.; Cao, Y.; Li, H.; Tan, J. Blockchain-Driven Optimal Strategies for Supply Chain Finance Based on a Tripartite Game Model. J. Theor. Appl. Electron. Commer. Res. 2022, 17, 1320–1335. [Google Scholar] [CrossRef]
  35. Sun, Z.; Ge, C.; Zhang, W. Evolutionary game on enterprise greenwashing governance from the perspective of heterogeneity. Syst. Eng. 2024, 42, 1–14. [Google Scholar]
  36. Yu, Y.; Huang, G.; Guo, X. Financing strategy analysis for a multi-sided platform with blockchain technology. Int. J. Prod. Res. 2021, 59, 4513–4532. [Google Scholar] [CrossRef]
  37. Song, H.; Han, S.; Yu, K. Blockchain-enabled supply chain operations and financing: The perspective of expectancy theory. Int. J. Oper. Prod. Manag. 2023, 43, 1943–1975. [Google Scholar] [CrossRef]
  38. Chen, J.; Chen, S.; Liu, Q. Applying blockchain technology to reshape the service models of supply chain finance for SMEs in China. Singap. Econ. Rev. 2021, 66. [Google Scholar] [CrossRef]
  39. Du, M.; Chen, Q.; Xiao, J.; Yang, H.; Ma, X. Supply chain finance innovation using blockchain. IEEE Trans. Eng. Manag. 2020, 67, 1045–1058. [Google Scholar] [CrossRef]
  40. Cucari, N.; Lagasio, V.; Lia, G.; Torriero, C. The impact of blockchain in banking processes: The Interbank Spunta case study. Technol. Anal. Strateg. Manag. 2022, 34, 138–150. [Google Scholar] [CrossRef]
  41. Wang, R. Blockchain and Bank Lending Behavior: A Theoretical Analysis. SAGE Open 2023, 13. [Google Scholar] [CrossRef]
  42. Chang, V.; Baudier, P.; Zhang, H.; Xu, Q.; Zhang, J.; Arami, M. How Blockchain can impact financial services—The overview, challenges and recommendations from expert interviewees. Technol. Forecast. Soc. Chang. 2022, 158, 120166. [Google Scholar] [CrossRef] [PubMed]
  43. Hu, H.; Li, Y.; Tian, M. Evolutionary game of small and medium-sized enterprises’ accounts-receivable pledge financing in the supply chain. Systems 2022, 10, 21. [Google Scholar] [CrossRef]
  44. Li, S.; Zheng, X.; Zeng, Q. Can Green Finance Drive the Development of the Green Building Industry?—Based on the Evolutionary Game Theory. Sustainability 2023, 15, 13134. [Google Scholar] [CrossRef]
  45. Sun, H.; Wan, Y.; Zhang, L.; Zhou, Z. Evolutionary game of the green investment in a two-echelon supply chain under a government subsidy mechanism. J. Clean. Prod. 2019, 235, 1315–1326. [Google Scholar] [CrossRef]
  46. Wang, Z.; Jian, Z.; Ren, X. Pollution prevention strategies of SMEs in a green supply chain finance under external government intervention. Environ. Sci. Pollut. Res. 2023, 30, 45195–45208. [Google Scholar] [CrossRef] [PubMed]
  47. Cui, H.; Wang, R.; Wang, H. An evolutionary analysis of green finance sustainability based on multi-agent game. J. Clean. Prod. 2020, 269, 121799. [Google Scholar] [CrossRef]
  48. Gong, M.; Dai, A. Multiparty evolutionary game strategy for green technology innovation under market orientation and pandemics. Front. Public Health 2022, 9, 821172. [Google Scholar] [CrossRef] [PubMed]
  49. Zhang, H.; Su, X. The applications and complexity analysis based on supply chain enterprises’ green behaviors under evolutionary game framework. Sustainability 2021, 13, 10987. [Google Scholar] [CrossRef]
  50. Long, Q.; Tao, X.; Shi, Y.; Zhang, S. Evolutionary game analysis among three green-sensitive parties in green supply chains. IEEE Trans. Evol. Comput. 2021, 25, 508–523. [Google Scholar] [CrossRef]
  51. Wei’an, L.; Yin, M. A tripartite evolutionary game study on green governance in China’s coating industry. Environ. Sci. Pollut. Res. 2022, 29, 61161–61177. [Google Scholar] [CrossRef]
  52. Ye, L.; Fang, Y. Optimizing Green Credit Trading Mechanism from the Perspective of Differential Pricing. J. Hebei Univ. Econ. Bus. 2022, 43, 97–109. [Google Scholar]
  53. Yang, X.; Liao, S.; Li, R. The evolution of new ventures’ behavioral strategies and the role played by governments in the green entrepreneurship context: An evolutionary game theory perspective. Environ. Sci. Pollut. Res. 2021, 28, 31479–31496. [Google Scholar] [CrossRef] [PubMed]
  54. Xu, L.; Tian, T. Blockchain-enabled enterprise bleaching green regulation banking evolution game analysis. Environ. Dev. Sustain. 2023, 15. [Google Scholar] [CrossRef]
  55. Li, S.; Chen, R.; Li, Z.; Chen, X. Can blockchain help curb “greenwashing” in green finance?-Based on tripartite evolutionary game theory. J. Clean. Prod. 2024, 435, 140447. [Google Scholar] [CrossRef]
  56. Song, L.; Luo, Y.; Chang, Z.; Jin, C.; Nicolas, M. Blockchain adoption in agricultural supply chain for better sustainability: A game theory perspective. Sustainability 2022, 14, 1470. [Google Scholar] [CrossRef]
  57. Yu, H.; Chang, X.; Liu, W. Cost-based subsidy and performance-based subsidy in a manufacturing-recycling system considering product eco-design. J. Clean. Prod. 2021, 327, 129391. [Google Scholar] [CrossRef]
Figure 1. Replication dynamic phase diagram of FIs.
Figure 1. Replication dynamic phase diagram of FIs.
Sustainability 16 04858 g001
Figure 2. Replication dynamic phase diagram of SMEs.
Figure 2. Replication dynamic phase diagram of SMEs.
Sustainability 16 04858 g002
Figure 3. Evolutionary trajectory of E3(0,1,0); (a) 3D perspective; (b) plane perspective.
Figure 3. Evolutionary trajectory of E3(0,1,0); (a) 3D perspective; (b) plane perspective.
Sustainability 16 04858 g003
Figure 4. Evolutionary trajectory of E5(1,1,0); (a) 3D perspective; (b) plane perspective.
Figure 4. Evolutionary trajectory of E5(1,1,0); (a) 3D perspective; (b) plane perspective.
Sustainability 16 04858 g004
Figure 5. Evolutionary trajectory of E7(0,1,1); (a) 3D perspective; (b) plane perspective.
Figure 5. Evolutionary trajectory of E7(0,1,1); (a) 3D perspective; (b) plane perspective.
Sustainability 16 04858 g005
Figure 6. Evolutionary trajectory of E8 (1,1,1); (a) 3D perspective; (b) plane perspective.
Figure 6. Evolutionary trajectory of E8 (1,1,1); (a) 3D perspective; (b) plane perspective.
Sustainability 16 04858 g006
Figure 7. Impact of H on the evolutionary results and trajectories; (a) 3D perspective; (b) plane perspective.
Figure 7. Impact of H on the evolutionary results and trajectories; (a) 3D perspective; (b) plane perspective.
Sustainability 16 04858 g007
Figure 8. Impact of P on the evolutionary results and trajectories. (a) 3D perspective; (b) plane perspective.
Figure 8. Impact of P on the evolutionary results and trajectories. (a) 3D perspective; (b) plane perspective.
Sustainability 16 04858 g008
Figure 9. Impact of α, β on the evolutionary results and trajectories; (a) 3D perspective; (b) plane perspective.
Figure 9. Impact of α, β on the evolutionary results and trajectories; (a) 3D perspective; (b) plane perspective.
Sustainability 16 04858 g009
Figure 10. Impact of M, G, V on the evolutionary results and trajectories. (a) 3D perspective; (b) plane perspective.
Figure 10. Impact of M, G, V on the evolutionary results and trajectories. (a) 3D perspective; (b) plane perspective.
Sustainability 16 04858 g010
Figure 11. Impact of C3, C4 on the evolutionary results and trajectories; (a) 3D perspective; (b) plane perspective.
Figure 11. Impact of C3, C4 on the evolutionary results and trajectories; (a) 3D perspective; (b) plane perspective.
Sustainability 16 04858 g011
Table 1. Parameters and descriptions.
Table 1. Parameters and descriptions.
DescriptionsParameters
Relevant income of financial institutions under the blockchain financial model W 1
Environmental benefits of green production in SMEs W 2
Blockchain platform construction cost C 1
Government subsidies for green production of SMEs H
The total cost paid under government subsidies C 2
The government’s punishment for greenwashing production of SMEs P
The supervision of SMEs under government subsidies α
The government’s supervision of small and medium-sized enterprises without subsidies β
Deposit rate i 1
Small and medium-sized enterprise credit line L
Prime lending rate i 2
The business cost of financing for green SMEs C 3
Losses caused by greenwashing behavior of SMEs S
Blockchain platform service cost C 4
Green production costs of SMEs C 5
Small and medium-sized enterprise green production yield r 1
Small and medium-sized enterprise greenwashing production yield r 2
Blockchain trustworthiness incentives for green production in SMEs G
Blockchain system service platform tracking mechanism punishment M
The invisible value loss of greenwashing behavior under blockchain system V
Table 2. Revenue matrix of the three parties.
Table 2. Revenue matrix of the three parties.
SMEs
Green   z Greenwashing 1 − z
GovSubsidy
x
FIsBlockchain
y
W 1 + W 2 + α P H C 1 C 2
L ( i 2 i 1 ) C 4
L ( r 1 i 2 ) + G + H C 5
W 1 + α P H C 1 C 2
L ( i 2 i 1 ) + M S C 4
L ( r 2 i 2 ) + H M V α P
Traditional
1 y
W 2 + α P H C 2
L ( i 2 i 1 ) C 3
L ( r 1 i 2 ) + H C 5
α P H C 2
L ( i 2 i 1 ) C 3 S
L ( r 2 i 2 ) + H α P
Non-subsidy
1 x
FIsBlockchain
y
W 1 + W 2 + β P C 1
L ( i 2 i 1 ) C 4
L ( r 1 i 2 ) + G C 5
W 1 + β P C 1
L ( i 2 i 1 ) + M S C 4
L ( r 2 i 2 ) M V β P
Traditional
1 y
W 2 + β P
L ( i 2 i 1 ) C 3
L ( r 1 i 2 ) C 5
β P
L ( i 2 i 1 ) S C 3
L ( r 2 i 2 ) β P
Table 3. Equilibrium points and eigenvalues of the system.
Table 3. Equilibrium points and eigenvalues of the system.
Equilibrium λ 1 λ 2 λ 3
E 1 (0,0,0) C 3 C 4 + M β P C 5 + L r 1 L r 2 α P H C 2 β P
E 2 (1,0,0) C 3 C 4 + M α P C 5 + L r 1 L r 2 C 2 + H α P + β P
E 3 (0,1,0) C 4 C 3 M G C 5 + M + V + β P + L r 1 L r 2 α P H C 2 β P
E 4 (0,0,1) C 3 C 4 C 5 β P + L r 2 L r 1 α P H C 2 β P
E 5 (1,1,0) C 4 C 3 M G C 5 + M + V + α P + L r 1 L r 2 C 2 + H α P + β P
E 6 (1,0,1) C 3 C 4 C 5 α P + L r 2 L r 1 C 2 + H α P + β P
E 7 (0,1,1) C 4 C 3 C 5 G M V β P L r 1 + L r 2 α P H C 2 β P
E 8 (1,1,1) C 4 C 3 C 5 G M V α P L r 1 + L r 2 C 2 + H α P + β P
Table 4. ESS judgment.
Table 4. ESS judgment.
EquilibriumCase 1Case 2Case 3Case 4
λ1λ2λ3 λ1λ2λ3 λ1λ2λ3 λ1λ2λ3
E1(0,0,0)+ × ++ × +± × +±+ ×
E2(1,0,0)+±+ × + × +±+ × +± ×
E3(0,1,0)ESS+ × + × ±+ ×
E4(0,0,1)+++ × +++ × +± × +±+ ×
E5(1,1,0)±+ × ESS++ × + ×
E6(1,0,1)+±+ × ++ × +±+ × +± ×
E7(0,1,1)+ × ++ × ESS±+ ×
E8(1,1,1)±+ × + × + × ESS
Table 5. Set 1 of the parameter values.
Table 5. Set 1 of the parameter values.
Parameter W 1 W 2 C 1 C 2 C 3 C 4 C 5 P H L
Value20202010105152015100
Parameter M S G V r 1 r 2 i 1 i 2 α β
Value1020550.30.450.03550.016510.3
Table 6. Set 2 of the parameter values.
Table 6. Set 2 of the parameter values.
Parameter W 1 W 2 C 1 C 2 C 3 C 4 C 5 P H L
Value151510531715580
Parameter M S G V r 1 r 2 i 1 i 2 α β
Value510320.250.50.03550.016510.1
Table 7. Set 3 of the parameter values.
Table 7. Set 3 of the parameter values.
Parameter W 1 W 2 C 1 C 2 C 3 C 4 C 5 P H L
Value10107720.5612540
Parameter M S G V r 1 r 2 i 1 i 2 α β
Value512320.220.30.03550.016510.25
Table 8. Set 4 of the parameter values.
Table 8. Set 4 of the parameter values.
Parameter W 1 W 2 C 1 C 2 C 3 C 4 C 5 P H L
Value25252315158204015150
Parameter M S G V r 1 r 2 i 1 i 2 α β
Value154010100.150.30.03550.016510.1
Disclaimer/Publisher’s Note: The statements, opinions and data contained in all publications are solely those of the individual author(s) and contributor(s) and not of MDPI and/or the editor(s). MDPI and/or the editor(s) disclaim responsibility for any injury to people or property resulting from any ideas, methods, instructions or products referred to in the content.

Share and Cite

MDPI and ACS Style

Ling, X.; Wang, H. Green Behavior Strategies in the Green Credit Market: Analysis of the Impacts of Enterprises’ Greenwashing and Blockchain Technology. Sustainability 2024, 16, 4858. https://doi.org/10.3390/su16114858

AMA Style

Ling X, Wang H. Green Behavior Strategies in the Green Credit Market: Analysis of the Impacts of Enterprises’ Greenwashing and Blockchain Technology. Sustainability. 2024; 16(11):4858. https://doi.org/10.3390/su16114858

Chicago/Turabian Style

Ling, Xianwei, and Hong Wang. 2024. "Green Behavior Strategies in the Green Credit Market: Analysis of the Impacts of Enterprises’ Greenwashing and Blockchain Technology" Sustainability 16, no. 11: 4858. https://doi.org/10.3390/su16114858

APA Style

Ling, X., & Wang, H. (2024). Green Behavior Strategies in the Green Credit Market: Analysis of the Impacts of Enterprises’ Greenwashing and Blockchain Technology. Sustainability, 16(11), 4858. https://doi.org/10.3390/su16114858

Note that from the first issue of 2016, this journal uses article numbers instead of page numbers. See further details here.

Article Metrics

Back to TopTop