Modelling Soil Ammonium Nitrogen, Nitrate Nitrogen and Available Phosphorus Using Normalized Difference Vegetation Index and Climate Data in Xizang’s Grasslands
Abstract
1. Introduction
2. Materials and Methods
2.1. Study Area
2.2. Soil Sampling and Analyses
2.3. Statistical Analyses
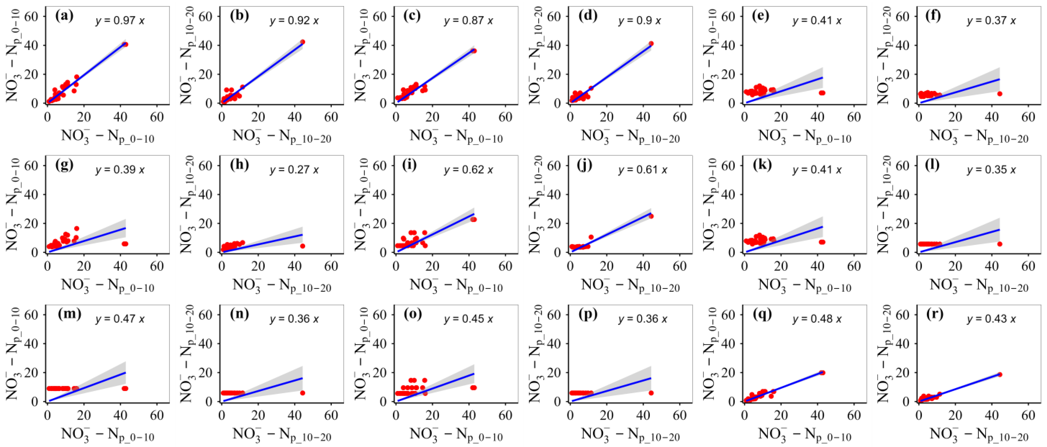
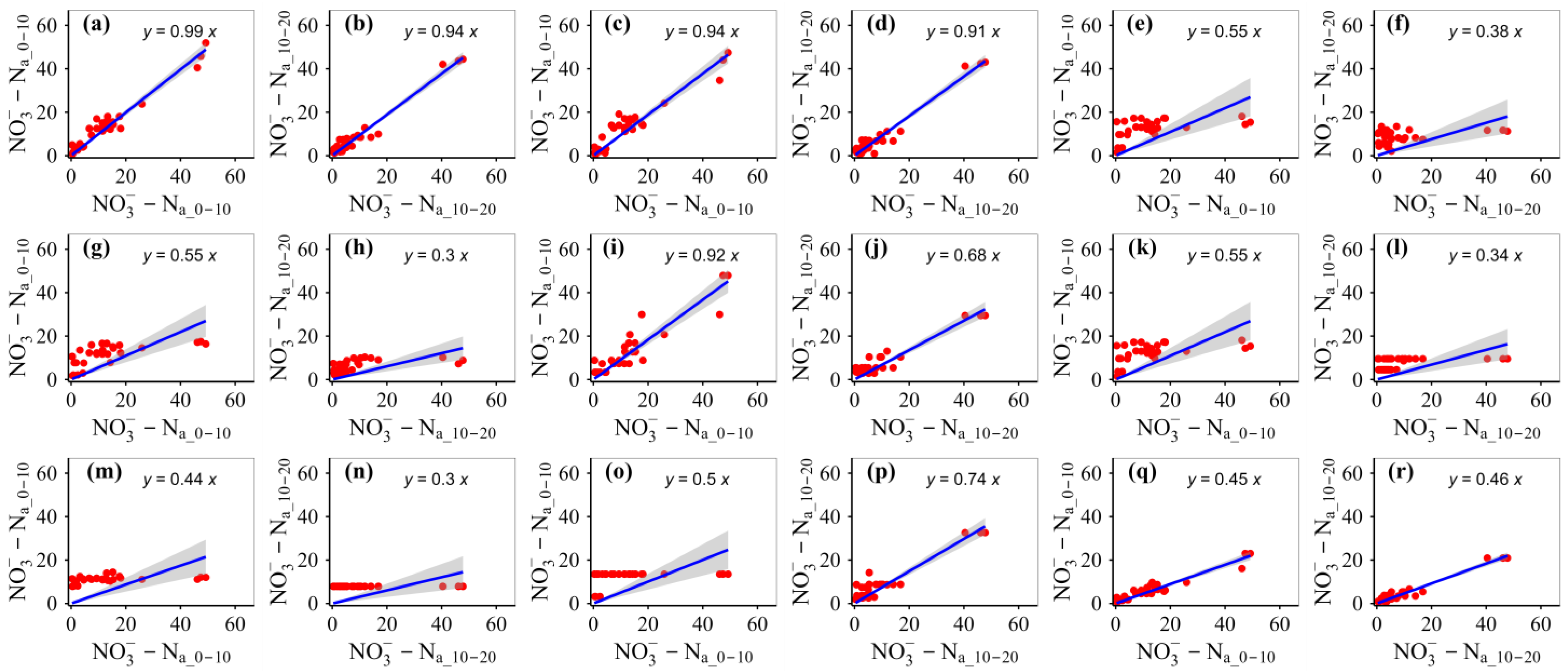
3. Results
3.1. Evaluation of Soil Nutrient Modeling Algorithms
3.2. Soil Nutrient Modeling Accuracy under Different Conditions
4. Discussion
4.1. Random Forest Models with the Highest Accuracy
4.2. The Accuracy of the Models in This Study versus That of Previous Studies
4.3. Effect of Soil Depth on the Interpretation of Soil Nutrient Variation by Climate Data and/or Normalized Difference Vegetation Index
4.4. Effect of Combined Climate Data and Normalized Difference Vegetation Index on Soil Nutrient Variation
4.5. Uncertainty Analyses
5. Conclusions
Supplementary Materials
Author Contributions
Funding
Institutional Review Board Statement
Informed Consent Statement
Data Availability Statement
Conflicts of Interest
References
- Xu, X.; Ouyang, H.; Kuzyakov, Y.; Richter, A.; Wanek, W. Significance of organic nitrogen acquisition for dominant plant species in an alpine meadow on the Tibet plateau, China. Plant Soil 2006, 285, 221–231. [Google Scholar] [CrossRef]
- Xiao, Y.; Xie, G.; An, K. Comparison of interpolation methods for content of soil available phosphor. Chin. J. Eco-Agric. 2003, 11, 56–58. [Google Scholar]
- Xiao, Y.; Lu, X. Geostatistics-based spatial variability of soil nutrients in Fengqiu County of Henan Province. Bull. Soil Water Conserv. 2012, 32, 180–184. [Google Scholar]
- Ji, W.; Rossel, R.A.V.; Shi, Z. Accounting for the effects of water and the environment on proximally sensed vis-NIR soil spectra and their calibrations. Eur. J. Soil Sci. 2015, 66, 555–565. [Google Scholar] [CrossRef]
- Liu, H.; Cao, L.; Zeng, J. Spatial distribution of soil nitrogen in gully hillsides of Sejila Mountain, Southeastern Tibet. Acta Ecol. Sin. 2016, 36, 127–133. [Google Scholar]
- Fang, X.; Wang, W.; Jin, X.; Qi, H.; Li, S. Study on visible-near infrared spectroscopy for detection of available phosphorus in soil. Jiangsu J. Agric. Sci. 2019, 35, 1112–1118. [Google Scholar]
- Xu, X.; Ban, R.; Jin, Y.; Zhang, Y.; Gao, Y.; Xu, H. Nitrogen migration characteristics in farmland in plain river network area based on HYDRUS-1D model. J. Agro-Environ. Sci. 2022, 41, 400–410. [Google Scholar]
- Cui, H.; Zhou, Q.; Han, N.; Zhang, B. Simulating water and nitrogen dynamics in drip-irrigated soil based on the HYDRUS-2D model. J. Irrig. Drain. 2023, 42, 57–66. [Google Scholar]
- Qi, H.; Li, S.; Karnieli, A.; Jin, X.; Wang, W. Prediction method of soil available phosphorus using hyperspectral data based on PLS-BPNN. Trans. Chin. Soc. Agric. Mach. 2018, 49, 166–172. [Google Scholar]
- Jin, X.; Zhu, X.; Li, S.; Wang, W.; Qi, H. Predicting soil available phosphorus by hyperspectral regression method based on gradient boosting decision tree. Laser Optoelectron. Prog. 2019, 56, 131102. [Google Scholar] [CrossRef]
- Mou, X.; Sun, Z.; Liu, X. Spatial distribution patterns of nitrate nitrogen and ammonia nitrogen in typical tidal marsh soils of Yellow River Delta. Bull. Soil Water Conserv. 2012, 32, 256–261. [Google Scholar]
- Li, W.; Zhang, S.; Zhang, Q.; Dong, C.; Zhang, S. Rapid prediction of available N, P, and K content in soil using near-infrared reflectance spectroscopy. Trans. Chin. Soc. Agric. Eng. 2007, 23, 55–59. [Google Scholar]
- He, D.; Chen, X.; Ren, J.; Wang, M. Detection of soil available P content based on near-infrared spectra. Trans. Chin. Soc. Agric. Mach. 2015, 46, 152–157. [Google Scholar]
- Klein, J.A.; Harte, J.; Zhao, X.Q. Experimental warming, not grazing, decreases rangeland quality on the Tibetan Plateau. Ecol. Appl. 2007, 17, 541–557. [Google Scholar] [CrossRef] [PubMed]
- Wang, J.; Li, M.; Yu, C.; Fu, G. The change in environmental variables linked to climate change has a stronger effect on aboveground net primary productivity than does phenological change in alpine grasslands. Front. Plant Sci. 2022, 12, 798633. [Google Scholar] [CrossRef] [PubMed]
- Han, F.; Yu, C.; Fu, G. Non-growing/growing season non-uniform-warming increases precipitation use efficiency but reduces its temporal stability in an alpine meadow. Front. Plant Sci. 2023, 14, 1090204. [Google Scholar] [CrossRef] [PubMed]
- Ren, F.; Yang, X.X.; Zhou, H.K.; Zhu, W.Y.; Zhang, Z.H.; Chen, L.T.; Cao, G.M.; He, J.S. Contrasting effects of nitrogen and phosphorus addition on soil respiration in an alpine grassland on the Qinghai-Tibetan Plateau. Sci. Rep. 2016, 6, 34786. [Google Scholar] [CrossRef] [PubMed]
- Zha, X.J.; Tian, Y.; Ouzhu; Fu, G. Response of forage nutrient storages to grazing in alpine grasslands. Front. Plant Sci. 2022, 13, 991287. [Google Scholar] [CrossRef] [PubMed]
- Zhang, X.Z.; Shen, Z.X.; Fu, G. A meta-analysis of the effects of experimental warming on soil carbon and nitrogen dynamics on the Tibetan Plateau. Appl. Soil Ecol. 2015, 87, 32–38. [Google Scholar] [CrossRef]
- Zhang, K.P.; Shi, Y.; Jing, X.; He, J.S.; Sun, R.B.; Yang, Y.F.; Shade, A.; Chu, H.Y. Effects of short-term warming and altered precipitation on soil microbial communities in alpine grassland of the Tibetan Plateau. Front. Microbiol. 2016, 7, 1032. [Google Scholar] [CrossRef]
- Zhang, Y.; Dong, S.K.; Gao, Q.Z.; Liu, S.L.; Ganjurjav, H.; Wang, X.X.; Su, X.K.; Wu, X.Y. Soil bacterial and fungal diversity differently correlated with soil biochemistry in alpine grassland ecosystems in response to environmental changes. Sci. Rep. 2017, 7, 43077. [Google Scholar] [CrossRef] [PubMed]
- Han, F.; Fu, G.; Yu, C.; Wang, S. Modeling nutrition quality and storage of forage using climate data and normalized-difference vegetation index in alpine grasslands. Remote Sens. 2022, 14, 3410. [Google Scholar] [CrossRef]
- Tian, Y.; Fu, G. Quantifying plant species α-diversity using normalized difference vegetation index and climate data in alpine grasslands. Remote Sens. 2022, 14, 5007. [Google Scholar] [CrossRef]
- Dai, E.; Zhang, G.; Fu, G.; Zha, X. Can meteorological data and normalized difference vegetation index be used to quantify soil pH in grasslands? Front. Ecol. Evol. 2023, 11, 1206581. [Google Scholar] [CrossRef]
- Wang, S.; Fu, G. Modelling soil moisture using climate data and normalized difference vegetation index based on nine algorithms in alpine grasslands. Front. Environ. Sci. 2023, 11, 1130448. [Google Scholar] [CrossRef]
- Wang, S.; Qi, H.; Li, T.; Qin, Y.; Fu, G.; Pan, X.; Zha, X. Can normalized difference vegetation index and climate data be used to estimate soil carbon, nitrogen, phosphorus, and their ratios in Xizang‘s grasslands? Front. Earth Sci. 2024, 11, 1340020. [Google Scholar] [CrossRef]
- Huang, S.; Fu, G. Impacts of climate change and human activities on plant species α-diversity across the Tibetan grasslands. Remote Sens. 2023, 15, 2947. [Google Scholar] [CrossRef]
- Li, S.; Fu, G. Impacts of anthropogenic activities and climate change on forage nutrition storage in Tibetan grasslands. Plants 2023, 12, 2735. [Google Scholar] [CrossRef] [PubMed]
- Liu, J.L.; Zhan, W.; Huang, X.Y.; Tang, D.; Jin, S.F.; Zhu, D.; Chen, H. Nitrogen addition increases topsoil carbon stock in an alpine meadow of the Qinghai-Tibet Plateau. Sci. Total Environ. 2023, 888, 164071. [Google Scholar] [CrossRef]
- Fu, G.; Zhang, H.R.; Sun, W. Response of plant production to growing/non-growing season asymmetric warming in an alpine meadow of the Northern Tibetan Plateau. Sci. Total Environ. 2019, 650, 2666–2673. [Google Scholar] [CrossRef]
- Rui, Y.C.; Wang, Y.F.; Chen, C.R.; Zhou, X.Q.; Wang, S.P.; Xu, Z.H.; Duan, J.C.; Kang, X.M.; Lu, S.B.; Luo, C.Y. Warming and grazing increase mineralization of organic P in an alpine meadow ecosystem of Qinghai-Tibet Plateau, China. Plant Soil 2012, 357, 73–87. [Google Scholar] [CrossRef]
- Zong, N.; Shi, P.L. Enhanced community production rather than structure improvement under nitrogen and phosphorus addition in severely degraded alpine meadows. Sustainability 2019, 11, 2023. [Google Scholar] [CrossRef]
- Jia, S.-Y.; Yang, X.-L.; Li, G.; Zhang, J.-M. Quantitatively determination of available phosphorus and available potassium in soil by near infrared spectroscopy combining with recursive partial least squares. Spectrosc. Spectr. Anal. 2015, 35, 2516–2520. [Google Scholar]
- Liu, Z.; Chen, X.; Jing, Y.; Zhang, J.; Huang, Q.; Li, Q. A study on spatial variance of soil nutrients on the farmland scale in dryland of red soil based on geostatistics. J. Soil Sci. 2013, 44, 392–397. [Google Scholar]
- Wang, X.; Shen, Q.; Gao, F.; Zhang, X.; Zhang, S.; Wang, L. Comparing interpolation methods to predict the spatial distribution of soil available phosphorus in the Mollisol watershed of Northeast China. Res. Soil Water Conser. 2021, 28, 33–40. [Google Scholar]
- Zheng, W.; Li, S.; Han, Y.; Shi, S.; Zhu, X.; Jin, X. Study on transfer learning prediction methods for soil available phosphorus NIR. J. Instrum. Anal. 2020, 39, 1274–1281. [Google Scholar]
- Wang, L.; Gu, X.; Wang, B.; Wang, Y.; Chen, Y.; Gao, L. Study on county-wide cultivated soil available phosphorous content remote sensing mapping based on HJ-1A HSI. Chin. J. Soil Sci. 2015, 46, 1314–1320. [Google Scholar]
- Chen, Y.; Feng, J.; Yuan, X.; Zhu, B. Effects of warming on carbon and nitrogen cycling in alpine grassland ecosystems on the Tibetan Plateau: A meta-analysis. Geoderma 2020, 370, 114363. [Google Scholar] [CrossRef]
- Chen, X.-M.; Wu, H.-S.; Sun, J.-H. Time-spatial variability of ammonium and nitrate in farmland soil of Taihu Lake region. Huan Jing Ke Xue= Huanjing Kexue 2006, 27, 1217–1222. [Google Scholar]
- Sun, Z.-G.; Liu, J.-S.; Chen, X.-B. Spatial distribution patterns of nitrate nitrogen and ammonia nitrogen in typical Calamagrostis angustifolia wetland soils of Sanjiang Plain. Bull. Soil Water Conserv. 2009, 29, 66–72. [Google Scholar]
- Rui, Y.C.; Wang, S.P.; Xu, Z.H.; Wang, Y.F.; Chen, C.R.; Zhou, X.Q.; Kang, X.M.; Lu, S.B.; Hu, Y.G.; Lin, Q.Y.; et al. Warming and grazing affect soil labile carbon and nitrogen pools differently in an alpine meadow of the Qinghai-Tibet Plateau in China. J. Soil Sedim. 2011, 11, 903–914. [Google Scholar] [CrossRef]
- Zhang, Y.; Dong, S.K.; Gao, Q.Z.; Liu, S.L.; Zhou, H.K.; Ganjurjav, H.; Wang, X.X. Climate change and human activities altered the diversity and composition of soil microbial community in alpine grasslands of the Qinghai-Tibetan Plateau. Sci. Total Environ. 2016, 562, 353–363. [Google Scholar] [CrossRef] [PubMed]
- Sun, Z.; Liu, J. Study on vertical movement of nitrate nitrogen and ammonia nitrogen in typical Calamagrostis angustifolia wetland soils of Sanjiang Plain. J. Soil Water Conserv. 2007, 21, 25–30. [Google Scholar]
- Xu, Y.; Zhang, J.; Han, S.; Wang, S.; Wang, C.; Wang, S. Spatial heterogeneity of soil inorganic nitrogen in a broadleaved-Korean pine mixed forest in Changbai Mountains of Northeast China. J. Appl. Ecol. 2010, 21, 1627–1634. [Google Scholar]
- Bai, E.; Li, S.L.; Xu, W.H.; Li, W.; Dai, W.W.; Jiang, P. A meta-analysis of experimental warming effects on terrestrial nitrogen pools and dynamics. New Phytologist. 2013, 199, 441–451. [Google Scholar] [CrossRef] [PubMed]
- Xu, W.F.; Yuan, W.P.; Dong, W.J.; Xia, J.Z.; Liu, D.; Chen, Y. A meta-analysis of the response of soil moisture to experimental warming. Environ. Res. Lett. 2013, 8, 044027. [Google Scholar] [CrossRef]
- Barnard, R.; Le Roux, X.; Hungate, B.A.; Cleland, E.E.; Blankinship, J.C.; Barthes, L.; Leadley, P.W. Several components of global change alter nitrifying and denitrifying activities in an annual grassland. Funct. Ecol. 2006, 20, 557–564. [Google Scholar] [CrossRef]
- Zhu, H.; Chen, X.; Du, Z. Spatial variability of soil nitrogen and pH assessed by the method of geostatistics. J. Soil Sci. 2010, 41, 1086–1090. [Google Scholar]
- Suleymanov, A.; Abakumov, E.; Alekseev, I.; Nizamutdinov, T. Digital mapping of soil properties in the high latitudes of Russia using sparse data. Geoderma Reg. 2024, 36, e00776. [Google Scholar] [CrossRef]
- Sun, W.; Li, S.; Zhang, G.; Fu, G.; Qi, H.; Li, T. Effects of climate change and anthropogenic activities on soil pH in grassland regions on the Tibetan Plateau. Glob. Ecol. Conserv. 2023, 45, e02532. [Google Scholar] [CrossRef]






| Scene | Variables | Soil Depth (cm) | RFA | GBRA | MLRA | SVMA | RRTA | ANNA | GLRA | CITA | eXGBA |
|---|---|---|---|---|---|---|---|---|---|---|---|
| Fencing | NH4+-Np | 0–10 | 4.11 | 1.52 | −14.31 | −25.55 | 1.64 | −14.31 | −12.36 | −13.94 | −47.41 |
| 10–20 | 3.62 | 8.96 | −16.71 | −27.56 | −3.05 | −16.71 | −14.35 | 0.49 | −38.29 | ||
| NO3−-Np | 0–10 | −0.33 | −4.50 | −14.75 | −27.51 | −18.69 | −14.75 | −4.20 | −19.56 | −49.93 | |
| 10–20 | −5.62 | −5.90 | 4.85 | −30.55 | −15.93 | 3.33 | 6.28 | 6.28 | −50.80 | ||
| APp | 0–10 | 6.02 | 10.32 | 8.26 | −19.57 | 6.62 | 8.26 | 8.14 | 13.79 | −46.81 | |
| 10–20 | 6.93 | 4.10 | −1.99 | −11.78 | 0.61 | −1.99 | 2.82 | −1.70 | −47.89 | ||
| Grazing | NH4+-Na | 0–10 | −8.44 | −15.87 | −19.38 | −25.73 | −24.07 | −27.04 | −21.96 | −18.21 | −55.47 |
| 10–20 | 6.73 | 10.65 | 3.19 | −11.73 | 18.13 | 3.19 | −2.69 | −1.10 | −40.14 | ||
| NO3−-Na | 0–10 | 8.65 | 6.81 | −0.56 | −9.89 | 4.09 | −0.56 | −14.50 | −3.34 | −50.33 | |
| 10–20 | −2.42 | −7.12 | −9.94 | −36.13 | −16.69 | −18.25 | −16.26 | −9.40 | −51.10 | ||
| APa | 0–10 | 1.23 | −3.59 | −16.67 | −15.81 | −6.22 | −16.67 | −1.14 | −5.20 | −51.36 | |
| 10–20 | −1.69 | −2.07 | −6.99 | −16.89 | −6.79 | −6.99 | −5.47 | −7.41 | −51.96 |
| Scene | Variables | Soil Depth (cm) | RFA | GBRA | MLRA | SVMA | RRTA | ANNA | GLRA | CITA | eXGBA |
|---|---|---|---|---|---|---|---|---|---|---|---|
| Potential | NH4+-Np | 0–10 | 1.28 | 1.85 | 3.76 | 3.07 | 2.65 | 3.76 | 4.46 | 2.95 | 3.65 |
| 10–20 | 0.71 | 0.86 | 2.03 | 1.37 | 1.77 | 2.03 | 2.23 | 1.49 | 1.41 | ||
| NO3−-Np | 0–10 | 2.29 | 2.92 | 9.89 | 9.74 | 6.27 | 9.89 | 9.66 | 9.18 | 7.16 | |
| 10–20 | 2.12 | 2.09 | 7.55 | 7.55 | 4.19 | 7.68 | 7.69 | 7.69 | 5.50 | ||
| APp | 0–10 | 2.35 | 2.81 | 7.72 | 8.11 | 5.45 | 7.72 | 8.01 | 5.55 | 6.28 | |
| 10–20 | 3.37 | 3.85 | 4.35 | 3.63 | 3.51 | 4.35 | 4.49 | 4.33 | 5.36 | ||
| Actual | NH4+-Na | 0–10 | 2.28 | 2.91 | 5.70 | 4.32 | 3.99 | 6.77 | 6.20 | 4.43 | 5.78 |
| 10–20 | 1.22 | 1.38 | 3.44 | 2.69 | 3.05 | 3.44 | 3.84 | 3.61 | 2.80 | ||
| NO3−-Na | 0–10 | 3.14 | 4.13 | 12.00 | 10.97 | 5.40 | 12.00 | 13.25 | 12.58 | 10.32 | |
| 10–20 | 2.44 | 2.83 | 11.84 | 11.82 | 5.83 | 11.91 | 12.57 | 5.22 | 8.55 | ||
| APa | 0–10 | 2.06 | 2.74 | 7.64 | 6.23 | 5.02 | 7.64 | 7.86 | 6.55 | 7.13 | |
| 10–20 | 1.92 | 2.49 | 4.81 | 3.70 | 3.26 | 4.81 | 4.74 | 3.39 | 5.97 |
| Scene | Variables | Soil Depth (cm) | RFA | GBRA | MLRA | SVMA | RRTA | ANNA | GLRA | CITA | eXGBA |
|---|---|---|---|---|---|---|---|---|---|---|---|
| Potential | NH4+-Np | 0–10 | 0.96 | 0.92 | 0.68 | 0.81 | 0.83 | 0.68 | 0.55 | 0.81 | 0.93 |
| 10–20 | 0.93 | 0.91 | 0.45 | 0.84 | 0.58 | 0.45 | 0.33 | 0.70 | 0.92 | ||
| NO3−-Np | 0–10 | 0.97 | 0.96 | 0.47 | 0.50 | 0.84 | 0.47 | 0.49 | 0.56 | 0.97 | |
| 10–20 | 0.95 | 0.96 | 0.36 | 0.41 | 0.89 | 0.34 | 0.34 | 0.34 | 0.96 | ||
| APp | 0–10 | 0.95 | 0.93 | 0.50 | 0.46 | 0.75 | 0.50 | 0.47 | 0.75 | 0.93 | |
| 10–20 | 0.91 | 0.87 | 0.82 | 0.87 | 0.89 | 0.82 | 0.80 | 0.82 | 0.89 | ||
| Actual | NH4+-Na | 0–10 | 0.94 | 0.91 | 0.64 | 0.84 | 0.87 | 0.50 | 0.63 | 0.81 | 0.92 |
| 10–20 | 0.96 | 0.94 | 0.60 | 0.77 | 0.72 | 0.60 | 0.50 | 0.56 | 0.94 | ||
| NO3−-Na | 0–10 | 0.97 | 0.95 | 0.57 | 0.66 | 0.91 | 0.57 | 0.51 | 0.53 | 0.95 | |
| 10–20 | 0.98 | 0.97 | 0.43 | 0.51 | 0.93 | 0.44 | 0.36 | 0.92 | 0.97 | ||
| APa | 0–10 | 0.97 | 0.95 | 0.61 | 0.75 | 0.83 | 0.61 | 0.57 | 0.70 | 0.92 | |
| 10–20 | 0.97 | 0.94 | 0.79 | 0.90 | 0.91 | 0.79 | 0.80 | 0.90 | 0.94 |
Disclaimer/Publisher’s Note: The statements, opinions and data contained in all publications are solely those of the individual author(s) and contributor(s) and not of MDPI and/or the editor(s). MDPI and/or the editor(s) disclaim responsibility for any injury to people or property resulting from any ideas, methods, instructions or products referred to in the content. |
© 2024 by the authors. Licensee MDPI, Basel, Switzerland. This article is an open access article distributed under the terms and conditions of the Creative Commons Attribution (CC BY) license (https://creativecommons.org/licenses/by/4.0/).
Share and Cite
Sun, W.; Qi, H.; Li, T.; Qin, Y.; Fu, G.; Han, F.; Wang, S.; Pan, X. Modelling Soil Ammonium Nitrogen, Nitrate Nitrogen and Available Phosphorus Using Normalized Difference Vegetation Index and Climate Data in Xizang’s Grasslands. Sustainability 2024, 16, 4695. https://doi.org/10.3390/su16114695
Sun W, Qi H, Li T, Qin Y, Fu G, Han F, Wang S, Pan X. Modelling Soil Ammonium Nitrogen, Nitrate Nitrogen and Available Phosphorus Using Normalized Difference Vegetation Index and Climate Data in Xizang’s Grasslands. Sustainability. 2024; 16(11):4695. https://doi.org/10.3390/su16114695
Chicago/Turabian StyleSun, Wei, Huxiao Qi, Tianyu Li, Yong Qin, Gang Fu, Fusong Han, Shaohua Wang, and Xu Pan. 2024. "Modelling Soil Ammonium Nitrogen, Nitrate Nitrogen and Available Phosphorus Using Normalized Difference Vegetation Index and Climate Data in Xizang’s Grasslands" Sustainability 16, no. 11: 4695. https://doi.org/10.3390/su16114695
APA StyleSun, W., Qi, H., Li, T., Qin, Y., Fu, G., Han, F., Wang, S., & Pan, X. (2024). Modelling Soil Ammonium Nitrogen, Nitrate Nitrogen and Available Phosphorus Using Normalized Difference Vegetation Index and Climate Data in Xizang’s Grasslands. Sustainability, 16(11), 4695. https://doi.org/10.3390/su16114695

