Examination of the Physical–Mechanical Properties of Sustainable Self-Curing Concrete Using Crushed Ceramic, Volcanic Powder, and Polyethylene Glycol
Abstract
1. Introduction
2. Experimental Procedures
2.1. Materials
2.2. Mix Design
2.3. Concrete Mixture Preparation and Specimen Preparation
2.4. Testing Procedure
3. Results and Discussion
3.1. Slump
3.2. Mechanical Properties
3.2.1. Compressive Strength
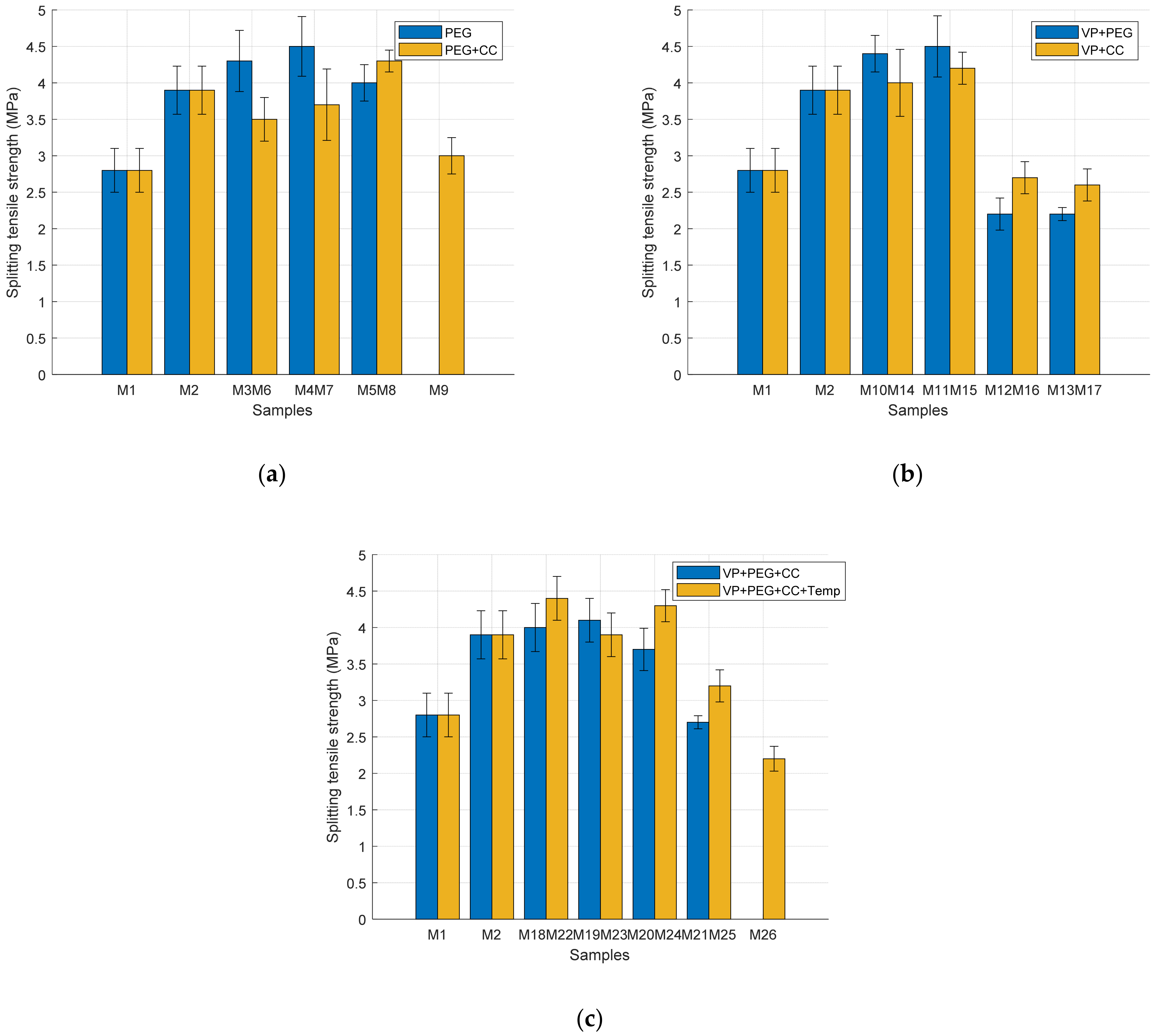
3.2.2. Splitting Tensile Strength
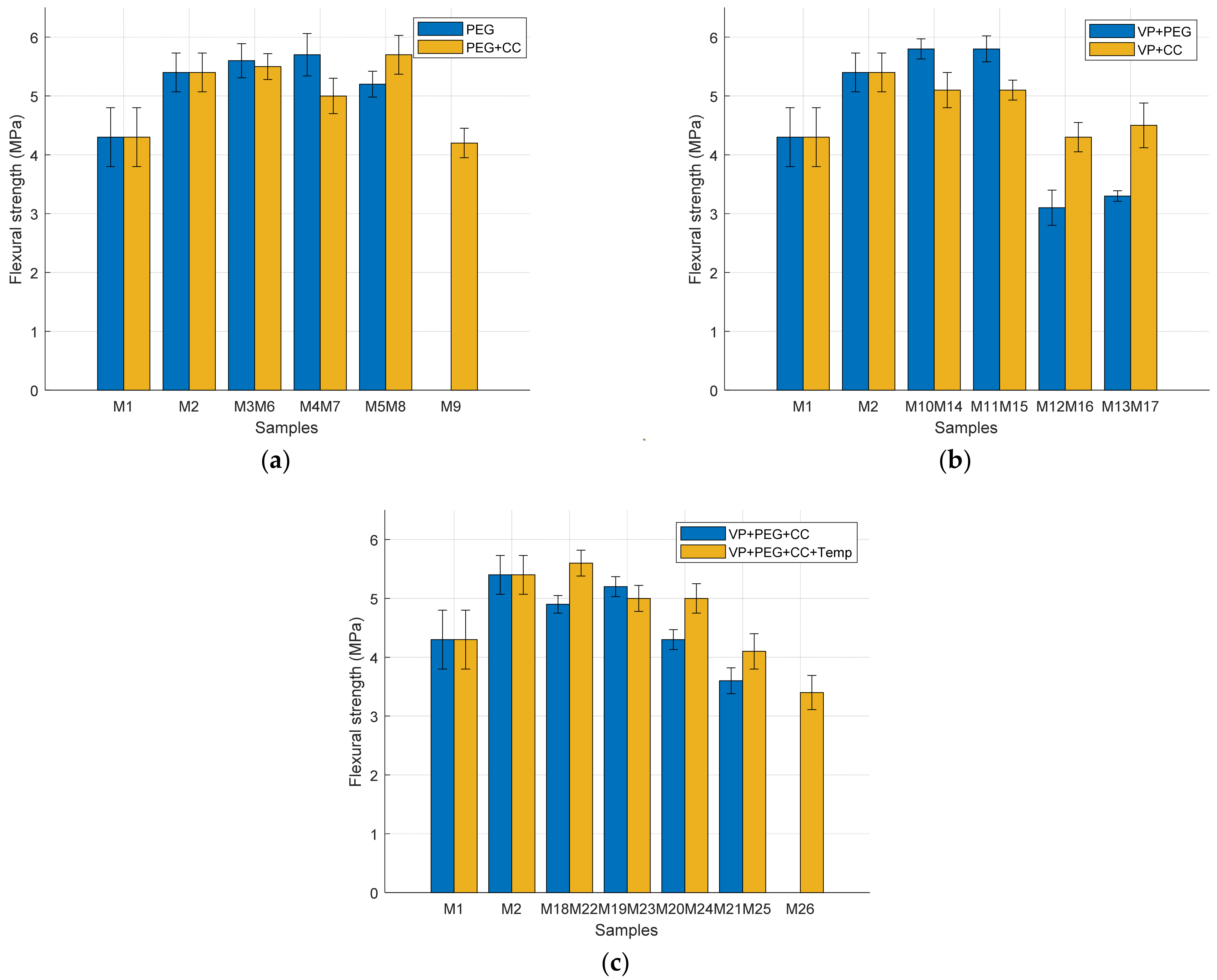
3.2.3. Flexural Strength
3.3. Chloride Penetration Depth and Absorption Evaluation
3.4. Microstructure of Developed SSC Charascteristics
4. Conclusions
- VP enhances the compression strength of SSC; however, adding 1.5% PEG improved the compression strength of SSC by 52.8%, 54.5%, 11.1%, and 2.4% with 5%, 10%, 15%, and 20% VP in cement mixes M10, M11, M12, and M13, respectively, with respect to M01, after 28 days. The compressive strength was decreased by using different percentages of VP, 1.5% PEG, and CC by 14.6%, 13.3%, 1.3%, and 12.7% compared to the mixes without CC (M10, M11, M12, and M13) after 56 days.
- Using the ideal dosage (1.5% PEG and 10% VP (M11)) boosts the compressive strength by 55.17% compared to mixes that were air-cured after 28 days. When utilizing 1.5% PEG, the highest compression strength of 47 MPa was attained after 56 days. Concrete that underwent self-curing with PEG was able to reach an appropriate compression strength. When compared to air-cured concrete, using 1.5% PEG increased the compression strength by 49.3%.
- The flexural and splitting tensile strengths improved by 34.9% and 60.7%, respectively, compared to the mix that was air-cured when using the ideal dosage. The flexural and splitting tensile strengths increased to 5.7 and 4.3 MPa, respectively, when 50% CC was substituted as the coarse aggregate with 1.5% of PEG (M08), as opposed to 4.3 and 2.8 MPa for the air-cured mixtures.
- In comparison to alternative water-curing or air-curing processes, using self-curing systems with 1.5% PEG and 5% VP (M11) produced the lowest chloride penetrability, with an average depth of roughly 13 mm for M18 and about 20 mm and 19.8 mm for both water-cured and air-cured mixes, respectively.
Author Contributions
Funding
Institutional Review Board Statement
Informed Consent Statement
Data Availability Statement
Acknowledgments
Conflicts of Interest
References
- Hakeem, I.Y.; Alharthai, M.; Amin, M.; Zeyad, A.M.; Tayeh, B.A.; Agwa, I.S. Properties of sustainable high-strength concrete containing large quantities of industrial wastes, nanosilica and recycled aggregates. J. Mater. Res. Technol. 2023, 24, 7444–7461. [Google Scholar] [CrossRef]
- Helmy, S.H.; Tahwia, A.M.; Mahdy, M.G.; Elrahman, M.A. Development and characterization of sustainable concrete incorporating a high volume of industrial waste materials. Constr. Build. Mater. 2023, 365, 130160. [Google Scholar] [CrossRef]
- Wang, P.; Wu, H.-L.; Ke, L.; Leung, C.K.Y. Mechanical and long-term durability prediction of GFRP rebars with the adoption of low-pH CSA concrete. Constr. Build. Mater. 2022, 346, 128444. [Google Scholar] [CrossRef]
- Sreenivasa, A.; Babu, T.S. Effect of Self Curing Compound on Strength and Durability of M25 Mix Concrete. Int. J. New Technol. Res. 2015, 1, 1–4. [Google Scholar]
- Ozer, B.; Ozkul, M.H. The influence of initial water curing on the strength development of ordinary portland and pozzolanic cement concretes. Cem. Concr. Res. 2004, 34, 13–18. [Google Scholar] [CrossRef]
- Memon, R.; Mohd, A.R.; Awang, A.; Huseien, G.; Memon, U. A review: Mechanism, materials and properties of self-curing concrete. J. Eng. Appl. Sci. 2018, 13, 24. [Google Scholar]
- Muthalvan, R.S.; Selvaraj, L.; Avudaiappan, S.; Liseitsev, Y. Performance evaluation of super absorbent polymer modified cement mortar with nano-silica/GGBS. Case Stud. Constr. Mater. 2023, 19, e02359. [Google Scholar] [CrossRef]
- Khan, R.A.; Gupta, C.; Alam, S. Strength and durability of self-curing concrete developed using calcium lignosulfonate. J. King Saud Univ. Eng. Sci. 2022, 34, 536–543. [Google Scholar] [CrossRef]
- Yang, J.; Fan, J.; Kong, B.; Cai, C.S.; Chen, K. Theory and application of new automated concrete curing system. J. Build. Eng. 2018, 17, 125–134. [Google Scholar] [CrossRef]
- Bentz, D.P. Influence of internal curing using lightweight aggregates on interfacial transition zone percolation and chloride ingress in mortars. Cem. Concr. Compos. 2009, 31, 285–289. [Google Scholar] [CrossRef]
- El-Hawary, M.; Al-Sulily, A. Internal curing of recycled aggregates concrete. J. Clean. Prod. 2020, 275, 122911. [Google Scholar] [CrossRef]
- Al Saffar, D.M.; Al Saad, A.J.K.; Tayeh, B.A. Effect of internal curing on behavior of high performance concrete: An overview. Case Stud. Constr. Mater. 2019, 10, e00229. [Google Scholar] [CrossRef]
- Mehta, P.K.; Monteiro, P.J.M. Concrete: Microstructure, Properties, and Materials; McGraw-Hill Education: New York, NY, USA, 2014. [Google Scholar]
- Neville, A.M. Properties of Concrete; Longman: London, UK, 1995; Volume 4. [Google Scholar]
- Sastry, K.; Kumar, P. Self-curing concrete with different self-curing agents. IOP Conf. Ser. Mater. Sci. Eng. 2018, 330, 12120. [Google Scholar] [CrossRef]
- Singh, K. Mechanical properties of self curing concrete studied using polyethylene glycol-400: A-review. Mater. Today Proc. 2021, 37, 2864–2871. [Google Scholar] [CrossRef]
- Makendran, C. Study on self-curing concrete using Polyethylene Glycol 600 for highway infrastructure project. Mater. Today Proc. 2023, 80, 1677–1682. [Google Scholar] [CrossRef]
- Khader, T.A.S.; Shabana, T.S. Experimental Investigation on the Mechanical Properties of Self Curing Concrete Using Sodium Lignosulphonate and Polyvinyl Alcohol. Int. J. Innov. Res. Sci. Eng. Technol. 2018, 10, 2580–2593. [Google Scholar]
- El-Dieb, A.S. Self-curing concrete: Water retention, hydration and moisture transport. Constr. Build. Mater. 2007, 21, 1282–1287. [Google Scholar] [CrossRef]
- Balasubramanian, D. Polyethylene glycol. J. Chem. Educ. 1983, 60, 77–78. [Google Scholar] [CrossRef]
- Ha, J.; Chae, S.; Chou, K.W.; Tyliszczak, T.; Monteiro, P.J.M. Effect of polymers on the nanostructure and on the carbonation of calcium silicate hydrates: A scanning transmission X-ray microscopy study. J. Mater. Sci. 2012, 47, 976–989. [Google Scholar] [CrossRef]
- Guan, W.; Ji, F.; Chen, Q.; Yan, P.; Pei, L. Synthesis and Enhanced Phosphate Recovery Property of Porous Calcium Silicate Hydrate Using Polyethyleneglycol as Pore-Generation Agent. Materials 2013, 6, 2846–2861. [Google Scholar] [CrossRef]
- Richardson, I.G. The calcium silicate hydrates. Cem. Concr. Res. 2008, 38, 137–158. [Google Scholar] [CrossRef]
- Cygan, R.T.; Greathouse, J.A.; Heinz, H.; Kalinichev, A.G. Molecular models and simulations of layered materials. J. Mater. Chem. 2009, 19, 2470–2481. [Google Scholar] [CrossRef]
- Makiniemi, R.O.; Das, P.; Honders, D.; Grygiel, K.; Cordella, D.; Detrembleur, C.; Yuan, J.; Walther, A. Conducting, Self-Assembled, Nacre-Mimetic Polymer/Clay Nanocomposites. ACS Appl. Mater. Interfaces 2015, 7, 15681–15685. [Google Scholar] [CrossRef] [PubMed]
- Krishnan, M.; Saharay, M.; Kirkpatrick, R.J. Molecular Dynamics Modeling of CO2 and Poly(ethylene glycol) in Montmorillonite: The Structure of Clay–Polymer Composites and the Incorporation of CO2. J. Phys. Chem. C 2013, 117, 20592–20609. [Google Scholar] [CrossRef]
- Zhou, Y.; Orozco, C.A.; Duque-Redondo, E.; Manzano, H.; Geng, G.; Feng, P.; Monteiro, P.J.; Miao, C. Modification of poly(ethylene glycol) on the microstructure and mechanical properties of calcium silicate hydrates. Cem. Concr. Res. 2019, 115, 20–30. [Google Scholar] [CrossRef]
- Singh, V.K.; Khatri, S.D.; Singh, R.K. Hydration and Some Other Properties of Polyethylene Glycol Modified Cement Products. Trans. Indian Ceram. Soc. 2002, 61, 152–161. [Google Scholar] [CrossRef]
- Zhou, Y.; Hou, D.; Geng, G.; Feng, P.; Yu, J.; Jiang, J. Insights into the interfacial strengthening mechanisms of calcium-silicate-hydrate/polymer nanocomposites. Phys. Chem. Chem. Phys. 2018, 20, 8247–8266. [Google Scholar] [CrossRef] [PubMed]
- Naik, T. Sustainability of Cement and Concrete Industries. In Proceedings of the International Conference on Achieving Sustainability in Construction, Dundee, UK, 5–6 July 2005. [Google Scholar] [CrossRef]
- Manjunatha, M.; Preethi, S.; Malingaraya; Mounika, H.G.; Niveditha, K.N.; Ravi. Life cycle assessment (LCA) of concrete prepared with sustainable cement-based materials. Mater. Today Proc. 2021, 47, 3637–3644. [Google Scholar] [CrossRef]
- Keshta, M.M.; Elshikh, M.M.Y.; Kaloop, M.R.; Hu, J.W.; ELMohsen, I.A. Effect of magnetized water on characteristics of sustainable concrete using volcanic ash. Constr. Build. Mater. 2022, 361, 129640. [Google Scholar] [CrossRef]
- Naran, J.M.; Gonzalez Gonzalez, R.E.; del Rey Castillo, E.; Toma, C.L.; Almesfer, N.; van Vreden, P.; Saggi, O. Incorporating waste to develop environmentally-friendly concrete mixes. Constr. Build. Mater. 2022, 314, 125599. [Google Scholar] [CrossRef]
- Ray, S.; Haque, M.; Sakib, M.N.; Mita, A.F.; Rahman, M.D.M.; Tanmoy, B.B. Use of ceramic wastes as aggregates in concrete production: A review. J. Build. Eng. 2021, 43, 102567. [Google Scholar] [CrossRef]
- Mustafa, A.; Abdullah, M.M.A.B.; Noor, N.M.; Kamarudin, H.; Salleh, M.A.A.M.; Abdullah, A. Strength of Concrete Based Cement Using Recycle Ceramic Waste as Aggregate. Adv. Mater. Res. 2013, 740, 734–738. [Google Scholar] [CrossRef]
- Meena, R.V.; Jain, J.K.; Chouhan, H.S.; Beniwal, A.S. Use of waste ceramics to produce sustainable concrete: A review. Clean. Mater. 2022, 4, 100085. [Google Scholar] [CrossRef]
- Soleimani, S.M.; Alaqqad, A.; Afrasiab, T.; Jumaah, A.; Behbehani, A.; Majeed, A.; AlSawwaf, M.H.; AlMuhanna, S. A sustainable solution for ceramic and steel wastes in self-consolidating, high-performance concrete. IOP Conf. Ser. Earth Environ. Sci. 2020, 588, 042062. [Google Scholar] [CrossRef]
- Suzuki, M.; Meddah, S.; Sato, R. Use of Porous Ceramic Waste Aggregates for Internal Curing of High-Performance Concrete. Cem. Concr. Res. 2009, 39, 373–381. [Google Scholar] [CrossRef]
- Decker, R.W.; Decker, B.B. Volcano Geology. Available online: https://www.britannica.com/science/volcano/additional-info#contributors (accessed on 1 May 2024).
- Yazıcı, H.; Yiğiter, H.; Karabulut, A.Ş.; Baradan, B. Utilization of fly ash and ground granulated blast furnace slag as an alternative silica source in reactive powder concrete. Fuel 2008, 87, 2401–2407. [Google Scholar] [CrossRef]
- Lemougna, P.N.; Wang, K.T.; Tang, Q.; Nzeukou, A.N.; Billong, N.; Melo, U.C.; Cui, X.M. Review on the use of volcanic ashes for engineering applications. Resour. Conserv. Recycl. 2018, 137, 177–190. [Google Scholar] [CrossRef]
- Alraddadi, S.; Assaedi, H. Characterization and potential applications of different powder volcanic ash. J. King Saud Univ. Sci. 2020, 32, 2969–2975. [Google Scholar] [CrossRef]
- Alraddadi, S. Surface and thermal properties of fine black and white volcanic ash. Mater. Today Proc. 2019, 26, 1964–1966. [Google Scholar] [CrossRef]
- Tchakoute, H.K.; Elimbi, A.; Yanne, E.; Djangang, C.N. Utilization of volcanic ashes for the production of geopolymers cured at ambient temperature. Cem. Concr. Compos. 2013, 38, 75–81. [Google Scholar] [CrossRef]
- Langmann, B.; Zakšek, K.; Hort, M.; Duggen, S. Volcanic ash as fertiliser for the surface ocean. Atmos. Chem. Phys. 2010, 10, 3891–3899. [Google Scholar] [CrossRef]
- Querol, X.; Umana, J.C.; Plana, F.; Alastuey, A.; Lopez-Soler, A.; Medinaceli, A.; Valero, A.; Domingo, M.J.; Garcia-Rojo, E. Synthesis of zeolites from fly ash at pilot plant scale. Examples of potential applications. Fuel 2001, 80, 857–865. [Google Scholar] [CrossRef]
- Hossain, K.M.A.; Lachemi, M. Strength, durability and micro-structural aspects of high performance volcanic ash concrete. Cem. Concr. Res. 2007, 37, 759–766. [Google Scholar] [CrossRef]
- Khurram, N.; Khan, K.; Saleem, M.U.; Amin, M.N.; Akmal, U. Effect of Elevated Temperatures on Mortar with Naturally Occurring Volcanic Ash and Its Blend with Electric Arc Furnace Slag. Adv. Mater. Sci. Eng. 2018, 2018, 5324036. [Google Scholar] [CrossRef]
- Alqarni, A.S. A comprehensive review on properties of sustainable concrete using volcanic pumice powder ash as a supplementary cementitious material. Constr. Build. Mater. 2022, 323, 126533. [Google Scholar] [CrossRef]
- Malhotra, V.M. Making Concrete ‘Greener’ with Fly Ash. Concr. Int. 1999, 21, 61–66. [Google Scholar]
- Mo, K.H.; Alengaram, U.J.; Jumaat, M.Z.; Yap, S.P.; Lee, S.C. Green concrete partially comprised of farming waste residues: A review. J. Clean. Prod. 2016, 117, 122–138. [Google Scholar] [CrossRef]
- Mousa, M.I.; Mahdy, M.G.; Abdel-Reheem, A.H.; Yehia, A.Z. Mechanical properties of self-curing concrete (SCUC). HBRC J. 2015, 11, 311–320. [Google Scholar] [CrossRef]
- Younis, M.O.; Amin, M.; Tahwia, A.M. Case Studies in Construction Materials Durability and mechanical characteristics of sustainable self-curing concrete utilizing crushed ceramic and brick wastes. Case Stud. Constr. Mater. 2022, 17, e01251. [Google Scholar] [CrossRef]
- BS EN 197-1; Cement. Composition, Specifications and Conformity Criteria for Common Cements. British Standards Institution: London, UK, 2011.
- ASTM C191-19; Standard Test Methods for Time of Setting of Hydraulic Cement by Vicat Needle. ASTM International: West Conshohocken, PA, USA, 2019.
- Egyptian Organization for Standardization and Quality. Egyptian Standards (1109/2021): Standard Specifications for the Physical and Mechanical Properties of Concrete; Egyptian Organization for Standardization and Quality: Cairo, Egypt, 2021. [Google Scholar]
- Egyptian Organization for Standardization and Quality. Egyptian Organization for Standards & Quality Standard (8615–1/2019): Standard for Volcanic Rocks; Egyptian Organization for Standardization and Quality: Cairo, Egypt, 2019. [Google Scholar]
- ASTM C494/C494M-15; Standard Specification for Chemical Admixtures for Concrete. ASTM International: West Conshohocken, PA, USA, 2015. [CrossRef]
- ASTM C33/C33M-13; Standard Specification for Concrete Aggregates. ASTM International: West Conshohocken, PA, USA, 2013. [CrossRef]
- Anderson, D.J.; Smith, S.T.; Au, F.T.K. Mechanical properties of concrete utilising waste ceramic as coarse aggregate. Constr. Build. Mater. 2016, 117, 20–28. [Google Scholar] [CrossRef]
- Zhao, W.; Yang, J.; Zhao, W.; Yang, C. Experimental study on the influence of mixing time on concrete performance under different mixing modes. Sci. Eng. Compos. Mater. 2021, 28, 638–651. [Google Scholar] [CrossRef]
- ASTM C143/C143M-15; Standard Test Method for Slump of Hydraulic Cement Concrete. ASTM International: West Conshohocken, PA, USA, 2015. [CrossRef]
- BS EN 12390; Testing of Hardened Concrete. Determination of Electrical Resistivity. BSI Standards: London, UK, 2023.
- ASTM C496/C496M-11; Standard Test Method for Splitting Tensile Strength of Cylindrical Concrete Specimens. ASTM International: West Conshohocken, PA, USA, 2011. [CrossRef]
- ASTM C78/C78M-15a; Standard Test Method for Flexural Strength of Concrete (Using Simple Beam with Third-Point Loading). ASTM International: West Conshohocken, PA, USA, 2015. [CrossRef]
- ASTM C192/C192M-16a; Standard Practice for Making and Curing Concrete Test Specimens in the Laboratory. ASTM International: West Conshohocken, PA, USA, 2016.
- Watanasrisin, P.; Supatnantakul, K.; Leelawat, T. Three Colorimetric Methods for Evaluating Chloride Penetration of Cracked and Coated Concrete. In Proceedings of the International Conference on Chemical, Civil and Environmental Engineering (CCEE’2014), Singapore, 18–19 November 2014. [Google Scholar]
- He, F.; Shi, C.; Yuan, Q.; Chen, C.; Zheng, K. AgNO3-based colorimetric methods for measurement of chloride penetration in concrete. Constr. Build. Mater. 2012, 26, 1–8. [Google Scholar] [CrossRef]
- Knapen, E.; Van Gemert, D. Cement hydration and microstructure formation in the presence of water-soluble polymers. Cem. Concr. Res. 2009, 39, 6–13. [Google Scholar] [CrossRef]
- Karolina, R.; Simanjuntak, M. The influence of using volcanic ash and lime ash as filler on compressive strength in self compacting concrete. IOP Conf. Ser. Earth Environ. Sci. 2018, 126, 12038. [Google Scholar] [CrossRef]
- Olawuyi, B.J.; Olusola, K.O. Compressive Strength of Volcanic Ash/Ordinary Portland Cement Laterized Concrete. Civ. Eng. Dimens. 2010, 12, 23–28. [Google Scholar] [CrossRef][Green Version]
- Schröfl, C.; Mechtcherine, V.; Gorges, M. Relation between the molecular structure and the efficiency of superabsorbent polymers (SAP) as concrete admixture to mitigate autogenous shrinkage. Cem. Concr. Res. 2012, 42, 865–873. [Google Scholar] [CrossRef]
- Althoey, F.; Hakeem, I.Y.; Hosen, M.A.; Qaidi, S.; Isleem, H.F.; Hadidi, H.; Shahapurkar, K.; Ahmad, J.; Ali, E. Behavior of Concrete Reinforced with Date Palm Fibers. Materials 2022, 15, 7923. [Google Scholar] [CrossRef] [PubMed]
- Alizadeh, R.; Beaudoin, J.J.; Raki, L.; Terskikh, V. C–S–H/polyaniline nanocomposites prepared by in situ polymerization. J. Mater. Sci. 2011, 46, 460–467. [Google Scholar] [CrossRef]
- Pellenq, R.J.-M.; Lequeux, N.; van Damme, H. Engineering the bonding scheme in C–S–H: The iono-covalent framework. Cem. Concr. Res. 2008, 38, 159–174. [Google Scholar] [CrossRef]
- Beaudoin, J.J.; Dramé, H.; Raki, L.; Alizadeh, R. Formation and properties of C-S-H–PEG nano-structures. Mater. Struct. 2009, 42, 1003–1014. [Google Scholar] [CrossRef]
- Zeyad, A.; Shubaili, M.; Abutaleb, A. Using volcanic pumice dust to produce high-strength self-curing concrete in hot weather regions. Case Stud. Constr. Mater. 2023, 18, e01927. [Google Scholar] [CrossRef]
- Otsuki, N.; Nagataki, S.; Nakashita, K. Evaluation of AgNO3 Solution Spray Method for Measurement of Chloride Penetration into Hardened Cementitious Matrix Materials. ACI Mater. J. 1992, 89, 587–592. [Google Scholar] [CrossRef]
- Qaidi, S.; Al-Kamaki, Y.; Hakeem, I.; Dulaimi, A.F.; Özkılıç, Y.; Sabri, M.; Sergeev, V. Investigation of the physical-mechanical properties and durability of high-strength concrete with recycled PET as a partial replacement for fine aggregates. Front. Mater. 2023, 10, 1101146. [Google Scholar] [CrossRef]
- Al-Fakih, A.; Mohammed, B.S.; Liew, M.S.; Alaloul, W.S. Physical properties of the rubberized interlocking masonry brick. Int. J. Civ. Eng. Technol. 2018, 9, 656–664. [Google Scholar]
- ASTM C140/C140M-22b; Standard Test Methods for Sampling and Testing Concrete Masonry Units and Related Units. ASTM International: West Conshohocken, PA, USA, 2003.
- Ogawa, Y.; Bui, P.T.; Kawai, K.; Sato, R. Effects of porous ceramic roof tile waste aggregate on strength development and carbonation resistance of steam-cured fly ash concrete. Constr. Build. Mater. 2020, 236, 117462. [Google Scholar] [CrossRef]
- Zhang, S.P.; Zong, L. Evaluation of Relationship between Water Absorption and Durability of Concrete Materials. Adv. Mater. Sci. Eng. 2014, 2014, 650373. [Google Scholar] [CrossRef]
- Bui, P.T.; Ogawa, Y.; Nakarai, K.; Kawai, K.; Sato, R. Internal curing of Class-F fly-ash concrete using high-volume roof-tile waste aggregate. Mater. Struct. 2017, 50, 203. [Google Scholar] [CrossRef]
- Muragishi, Y.; Ogawa, Y.; Kawai, K.; Sato, R. Effect of Porous Ceramic Waste Aggregate on Durability of Steam Cured Fly Ash Concrete. Cem. Sci. Concr. Technol. 2014, 68, 337–344. [Google Scholar] [CrossRef]
- Higashiyama, H.; Yagishita, F.; Sano, M.; Takahashi, O. Compressive strength and resistance to chloride penetration of mortars using ceramic waste as fine aggregate. Constr. Build. Mater. 2012, 26, 96–101. [Google Scholar] [CrossRef]
- Ahmad, J.; Althoey, F.; Abuhussain, M.A.; Deifalla, A.F.; Özkılıç, Y.O.; Rahmawati, C. Durability and microstructure analysis of concrete made with volcanic ash: A review (Part II). Sci. Eng. Compos. Mater. 2023, 30, 20220211. [Google Scholar] [CrossRef]
- Siddique, R. Properties of concrete made with volcanic ash. Resour. Conserv. Recycl. 2012, 66, 40–44. [Google Scholar] [CrossRef]
- Alsaadawi, M.M.; Amin, M.; Tahwia, A.M. Thermal, mechanical and microstructural properties of sustainable concrete incorporating Phase change materials. Constr. Build. Mater. 2022, 356, 129300. [Google Scholar] [CrossRef]
- Erdem, S.; Dawson, A.R.; Thom, N.H. Impact load-induced micro-structural damage and micro-structure associated mechanical response of concrete made with different surface roughness and porosity aggregates. Cem. Concr. Res. 2012, 42, 291–305. [Google Scholar] [CrossRef]
- Tahwia, A.M.; Elgendy, G.M.; Amin, M. Durability and microstructure of eco-efficient ultra-high-performance concrete. Constr. Build. Mater. 2021, 303, 124491. [Google Scholar] [CrossRef]
- Huang, Q. Insights for global energy interconnection from China renewable energy development. Glob. Energy Interconnect. 2020, 3, 1–11. [Google Scholar] [CrossRef]
- Sorelli, L.; Constantinides, G.; Ulm, F.-J.; Toutlemonde, F. The nano-mechanical signature of Ultra High Performance Concrete by statistical nanoindentation techniques. Cem. Concr. Res. 2008, 38, 1447–1456. [Google Scholar] [CrossRef]
- Ahmed, S.F.U.; Maalej, M.; Paramasivam, P. Flexural responses of hybrid steel–polyethylene fiber reinforced cement composites containing high volume fly ash. Constr. Build. Mater. 2007, 21, 1088–1097. [Google Scholar] [CrossRef]
- Amin, M.; Tayeh, B.A.; Agwa, I.S. Effect of using mineral admixtures and ceramic wastes as coarse aggregates on properties of ultrahigh-performance concrete. J. Clean. Prod. 2020, 273, 123073. [Google Scholar] [CrossRef]
- Liu, J.; Shi, C.; Wu, Z. Hardening, microstructure, and shrinkage development of UHPC: A review. J. Asian Concr. Fed. 2019, 5, 1–19. [Google Scholar] [CrossRef]
- Amin, M.; Zeyad, A.M.; Tayeh, B.A.; Agwa, I.S. Effects of nano cotton stalk and palm leaf ashes on ultrahigh-performance concrete properties incorporating recycled concrete aggregates. Constr. Build. Mater. 2021, 302, 124196. [Google Scholar] [CrossRef]
- Jaf, D.; Abdulrahman, P.; Mohammed, A.; Kurda, R.; Qaidi, S.; Asteris, P. Machine learning techniques and multi-scale models to evaluate the impact of silicon dioxide (SiO2) and calcium oxide (CaO) in fly ash on the compressive strength of green concrete. Constr. Build. Mater. 2023, 400, 132604. [Google Scholar] [CrossRef]
- Ahmad, J.; Majdi, A.; Elhag, A.B.; AF, D.; Soomro, M.; Isleem, H.F.; Qaidi, S. A Step towards Sustainable Concrete with Substitution of Plastic Waste in Concrete: Overview on Mechanical, Durability and Microstructure Analysis. Crystals 2022, 12, 944. [Google Scholar] [CrossRef]













| Property | Unit | Value |
|---|---|---|
| Specific gravity | 3.15 | |
| Specific surface area | (cm2/gm) | 3500 |
| Density | (Kg/m3) | 1440 |
| Initial setting time | (min) | 60 |
| Final setting time | (min) | 525 |
| Property | Value |
|---|---|
| Physical | |
| Specific gravity | 2.65 |
| Bulk unit weight (Kg/m3) | 1650 |
| Specific surface area (cm2/gm) | 3500 |
| color | Grey |
| Chemical compositions (%) | |
| Al2O3 | 13.91 |
| Fe2O3 | 6.12 |
| SiO2 | 65.66 |
| CaO | 3.41 |
| K2O | 3.32 |
| MgO | 1.33 |
| SO3 | 0.13 |
| LOI | 0.67 |
| Na2O | 3.93 |
| Property | Fine Aggregate (Sand) | Coarse Aggregate (Dolomite) | Lightweight Aggregate (Crushed Ceramic) |
|---|---|---|---|
| Bulk density (Kg/m3) | 1650 | 1600 | 1400 |
| Specific gravity | 2.66 | 2.68 | 2.36 |
| Water absorption (%) | - | 2.15 | 9 |
| Impact value (%) | - | 16.8 | 21.3 |
| Clay and fine materials (%) | 0.86 | 0.95 | 0.1 |
| Los Angeles abrasion loss (%) | - | 15.8 | 22.5 |
| PEG Type | PEG |
|---|---|
| Hydroxyl number, mg KOH/g. | 178–197 |
| Average molecular weight. | 570–630 |
| pH at 25 °C, 5% Aqueous solution. | 4.5–7.5 |
| Liquid density, g/cc 20 °C. | 1.002 |
| Melting or freezing range, °C. | 15–25 |
| Average number of repeating Oxyethylene units. | 13.2 |
| Viscosity at 100 °C. | 10.8 |
| Solubility in water at 20 °C, % by weight. | Complete |
| Mix ID | PC | VP | Water | SP | Sand | Dolomite | CC | PEG |
|---|---|---|---|---|---|---|---|---|
| M01 (air-cured control) | 400 | - | 180 | 4 | 734 | 1101 | - | - |
| M02 (water-cured control) | 400 | - | 180 | 4 | 734 | 1101 | - | - |
| M03 | 400 | - | 180 | 4 | 730 | 1095 | - | 4 |
| M04 | 400 | - | 180 | 4 | 728 | 1091 | - | 6 |
| M05 | 400 | - | 180 | 4 | 726 | 1088 | - | 8 |
| M06 | 400 | - | 180 | 4 | 706 | 530 | 530 | - |
| M07 | 400 | - | 180 | 4 | 702 | 527 | 527 | 4 |
| M08 | 400 | - | 180 | 4 | 700 | 525 | 525 | 6 |
| M09 | 400 | - | 180 | 4 | 698 | 523 | 523 | 8 |
| M10 | 380 | 20 | 180 | 4 | 726 | 1090 | - | 6 |
| M11 | 360 | 40 | 180 | 4 | 724 | 1085 | - | 6 |
| M12 | 340 | 60 | 180 | 4 | 723 | 1084 | - | 6 |
| M13 | 320 | 80 | 180 | 4 | 722 | 1083 | - | 6 |
| M14 | 380 | 20 | 180 | 4 | 704 | 528 | 528 | - |
| M15 | 360 | 40 | 180 | 4 | 703 | 527 | 527 | - |
| M16 | 340 | 60 | 180 | 4 | 701 | 526 | 526 | - |
| M17 | 320 | 80 | 180 | 4 | 701 | 526 | 526 | - |
| M18 | 380 | 20 | 180 | 4 | 700 | 524 | 524 | 6 |
| M19 | 360 | 40 | 180 | 4 | 698 | 524 | 524 | 6 |
| M20 | 340 | 60 | 180 | 4 | 697 | 522 | 522 | 6 |
| M21 | 320 | 80 | 180 | 4 | 695 | 521 | 521 | 6 |
| M22 | 400 | 0 | 180 | 4 | 700 | 525 | 525 | 6 |
| M23 | 380 | 20 | 180 | 4 | 700 | 524 | 524 | 6 |
| M24 | 360 | 40 | 180 | 4 | 698 | 524 | 524 | 6 |
| M25 | 340 | 60 | 180 | 4 | 697 | 522 | 522 | 6 |
| M26 | 320 | 80 | 180 | 4 | 695 | 521 | 521 | 6 |
Disclaimer/Publisher’s Note: The statements, opinions and data contained in all publications are solely those of the individual author(s) and contributor(s) and not of MDPI and/or the editor(s). MDPI and/or the editor(s) disclaim responsibility for any injury to people or property resulting from any ideas, methods, instructions or products referred to in the content. |
© 2024 by the authors. Licensee MDPI, Basel, Switzerland. This article is an open access article distributed under the terms and conditions of the Creative Commons Attribution (CC BY) license (https://creativecommons.org/licenses/by/4.0/).
Share and Cite
Etman, H.M.; Elshikh, M.M.Y.; Kaloop, M.R.; Hu, J.W.; Abd ELMohsen, I. Examination of the Physical–Mechanical Properties of Sustainable Self-Curing Concrete Using Crushed Ceramic, Volcanic Powder, and Polyethylene Glycol. Sustainability 2024, 16, 4659. https://doi.org/10.3390/su16114659
Etman HM, Elshikh MMY, Kaloop MR, Hu JW, Abd ELMohsen I. Examination of the Physical–Mechanical Properties of Sustainable Self-Curing Concrete Using Crushed Ceramic, Volcanic Powder, and Polyethylene Glycol. Sustainability. 2024; 16(11):4659. https://doi.org/10.3390/su16114659
Chicago/Turabian StyleEtman, Hassan M., Mohamed M. Yousry Elshikh, Mosbeh R. Kaloop, Jong Wan Hu, and Ibrahim Abd ELMohsen. 2024. "Examination of the Physical–Mechanical Properties of Sustainable Self-Curing Concrete Using Crushed Ceramic, Volcanic Powder, and Polyethylene Glycol" Sustainability 16, no. 11: 4659. https://doi.org/10.3390/su16114659
APA StyleEtman, H. M., Elshikh, M. M. Y., Kaloop, M. R., Hu, J. W., & Abd ELMohsen, I. (2024). Examination of the Physical–Mechanical Properties of Sustainable Self-Curing Concrete Using Crushed Ceramic, Volcanic Powder, and Polyethylene Glycol. Sustainability, 16(11), 4659. https://doi.org/10.3390/su16114659

