Sign in to use this feature.

Years

Between: -

Subjects

remove_circle_outline
remove_circle_outline
remove_circle_outline
remove_circle_outline
remove_circle_outline
remove_circle_outline
remove_circle_outline
remove_circle_outline
remove_circle_outline

Journals

Article Types

Countries / Regions

Search Results (134)

Search Parameters:
Keywords = self-curing concrete

Order results
Result details
Results per page
Select all
Export citation of selected articles as:
18 pages, 1809 KB  
Article
Utilization of Waste Marble Sludge in Self-Compacting Concrete: A Study on Partial Replacement of Cement and Fine Aggregates
by Hadi Bahmani, Hasan Mostafaei, Reza Mohamad Momeni and Sayyed Mehran Khoshoei
Sustainability 2025, 17(19), 8523; https://doi.org/10.3390/su17198523 - 23 Sep 2025
Viewed by 136
Abstract
This study presents a novel approach to the development of self-compacting concrete (SCC) by partially replacing both cement and fine aggregate (sand) with waste marble sludge (WMS), a byproduct of the marble industry. The research aims to evaluate the feasibility of incorporating this [...] Read more.
This study presents a novel approach to the development of self-compacting concrete (SCC) by partially replacing both cement and fine aggregate (sand) with waste marble sludge (WMS), a byproduct of the marble industry. The research aims to evaluate the feasibility of incorporating this industrial waste into SCC to enhance sustainability without compromising performance. To assess the fresh and hardened properties of the proposed mixtures, a comprehensive experimental program was conducted. Tests included slump flow, T50, and V-funnel for evaluating workability, as well as measurements of specific gravity, compressive strength, flexural strength, Brazilian tensile strength, and water absorption at 28 days of curing. The results demonstrated that the mix containing 5% cement replacement and 20% sand replacement with marble sludge exhibited the highest mechanical performance, achieving a compressive strength of 48.2 MPa, tensile strength of 3.9 MPa, and flexural strength of 4.4 MPa. Furthermore, increasing the percentage of cement replacement led to enhanced flowability, as evidenced by an increase in slump flow diameter and a reduction in V-funnel flow time, indicating improved workability. Overall, the findings suggest that controlled incorporation of WMS can produce SCC with desirable mechanical and rheological properties, offering a promising pathway for sustainable concrete production. In addition to the technical performance, a carbon footprint analysis was conducted to examine the environmental benefits of marble sludge utilization. The mixture with 10% cement and 20% sand replacement exhibited the lowest carbon footprint, while the 7.5% replacement level provided the best balance between strength and sustainability. Full article
(This article belongs to the Special Issue Carbon Capture, Utilization, and Storage (CCUS) for Clean Energy)
Show Figures

Figure 1

20 pages, 8389 KB  
Article
Green Recycling and Long-Term Immobilization of Disposable Medical Masks for Enhanced Mechanical Performance of Self-Compacting Recycled Concrete
by Fubin Zhang, Zhenshuo Xu, Zhenyuan Lv, Dianchao Wang, Xiulian Li, Lingfeng Zhang, Bochao Sun and Chang Sun
Buildings 2025, 15(18), 3286; https://doi.org/10.3390/buildings15183286 - 11 Sep 2025
Viewed by 223
Abstract
The global outbreak and prolonged presence of Coronavirus Disease 2019 (COVID-19) have resulted in a substantial accumulation of discarded masks, posing serious environmental challenges. This study proposes an eco-friendly and low-carbon strategy to repurpose discarded DMFM fibers as a key component in fiber-reinforced [...] Read more.
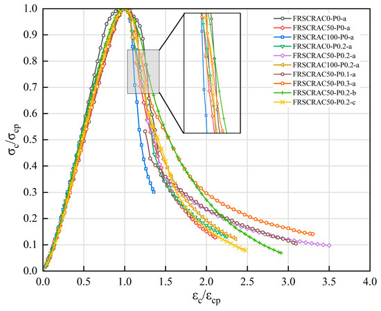
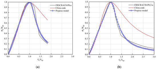
The global outbreak and prolonged presence of Coronavirus Disease 2019 (COVID-19) have resulted in a substantial accumulation of discarded masks, posing serious environmental challenges. This study proposes an eco-friendly and low-carbon strategy to repurpose discarded DMFM fibers as a key component in fiber-reinforced self-compacting recycled aggregate concrete (FRSCRAC). The mechanical and environmental performance of FRSCRAC was systematically evaluated by investigating the effects of recycled coarse aggregate (RCA) replacement ratios (0%, 50%, 100%), discarded DMFM fiber material (DMFM) contents (0%, 0.1%, 0.2%, 0.3%), and fiber lengths (2 cm, 3 cm, 4 cm) on axial compression failure mode and stress–strain behavior. The results demonstrated that DMFM fibers significantly enhanced concrete ductility and peak stress via the fiber-bridging effect. Based on fiber influence, modified stress–strain and shrinkage models for SCRAC were established. To further understand the fiber fixation mechanism, X-ray computed tomography (X-CT) and scanning electron microscopy (SEM) analyses were conducted. The findings revealed a stable random distribution of fibers and strong interfacial bonding between fibers. These improvements contributed to enhanced mechanical performance and the effective immobilization of polypropylene microfibers, preventing further microplastics release into the air. This innovative approach provides a sustainable solution for recycling and effectively immobilizing discarded DMFM fibers in concrete over long curing periods, while also enhancing its properties. Full article
Show Figures

Figure 1

18 pages, 2775 KB  
Article
Eco-Friendly Self-Compacting Concrete Incorporating Waste Marble Sludge as Fine and Coarse Aggregate Substitute
by Hadi Bahmani and Hasan Mostafaei
Buildings 2025, 15(17), 3218; https://doi.org/10.3390/buildings15173218 - 6 Sep 2025
Cited by 2 | Viewed by 406
Abstract
This research investigates the feasibility of producing eco-friendly self-compacting concrete (SCC) by partially replacing both fine and coarse natural aggregates with waste marble sludge (WMS), a byproduct of the marble industry. The objective is to evaluate whether this substitution enhances or compromises the [...] Read more.
This research investigates the feasibility of producing eco-friendly self-compacting concrete (SCC) by partially replacing both fine and coarse natural aggregates with waste marble sludge (WMS), a byproduct of the marble industry. The objective is to evaluate whether this substitution enhances or compromises the concrete’s performance while contributing to sustainability. A comprehensive experimental program was conducted to assess fresh and hardened properties of SCC with varying WMS content. Fresh-state tests—including slump flow, T50 time, and V-funnel flow time—were used to evaluate workability, flowability, and viscosity. Hardened properties were measured through compressive, flexural, and Brazilian tensile strengths, along with water absorption after 28 days of curing. The mix with 10% replacement of both sand and coarse aggregate showed the most balanced performance, achieving a slump flow of 690 mm and a V-funnel time of 6 s, alongside enhanced mechanical properties—compressive strength 48.6 MPa, tensile strength 3.9 MPa, and flexural strength 4.5 MPa—and reduced water absorption (4.9%). A complementary cost model quantified direct material cost per cubic meter and a performance-normalized efficiency metric (compressive strength per cost). The cost decreased monotonically from 99.1 $/m3 for the base mix to $90.7 $/m3 at 20% + 20% WMS (−8.4% overall), while the strength-per-cost peaked at the 10% + 10% mix (0.51 MPa/USD; +12% vs. base). Results demonstrate that WMS can simultaneously improve rheology and mechanical performance and reduce material cost, offering a practical pathway for resource conservation and circular economy concrete production. Full article
(This article belongs to the Special Issue Research on Solar Energy System and Storage for Sustainable Buildings)
Show Figures

Figure 1

24 pages, 2397 KB  
Article
Carbonation Treatments for Durable Low-Carbon Recycled Aggregate Concrete
by Ruth Saavedra and Miren Etxeberria
Materials 2025, 18(17), 4168; https://doi.org/10.3390/ma18174168 - 5 Sep 2025
Viewed by 822
Abstract
The use of supplementary cementitious materials and the CO2 uptake capacity of cementitious materials—including recycled concrete aggregates—not only promotes the circular economy but may also present an opportunity to increase their ecoefficiency, thus improving the shrinkage and durability properties of concretes. This [...] Read more.
The use of supplementary cementitious materials and the CO2 uptake capacity of cementitious materials—including recycled concrete aggregates—not only promotes the circular economy but may also present an opportunity to increase their ecoefficiency, thus improving the shrinkage and durability properties of concretes. This study analyses the impact of carbonated recycled aggregates and CO2 curing on improving the properties of commercial structural self-compacting concrete. Recycled aggregate concretes (RACs) were produced using 50% and 60% coarse recycled concrete aggregate (RCA), in carbonated and uncarbonated forms, and two types of cement—ordinary Portland cement (CEM I) and CEM II/B-M Portland composite cement containing 24% less clinker than CEM I—all with similar compressive strengths. After evaluating the CO2 curing process, the physical, mechanical, shrinkage, and durability properties (including suction and carbonation resistance) of the concretes were assessed. The properties of the RACs were compared with those achieved by conventional concrete, to generate insights for developing a highly sustainable concrete manufacturing process. Taking all the assessed properties into account, the CO2 curing process improved concrete’s properties. In addition, RAC-C50-I concrete (using CEM I with carbonated RCA) and RAC50-II (using CEM IIB and uncarbonated RCA) exhibited the greatest durability, resulting in reductions in sorptivity values of 40% and 45%, and decreases in the carbonation coefficient of 16% and 21%, respectively, compared to concrete without CO2 curing. Full article
(This article belongs to the Special Issue Towards Sustainable Low-Carbon Concrete—Second Edition)
Show Figures

Figure 1

16 pages, 2351 KB  
Article
Use of Expansive Agents to Increase the Sustainability and Performance of Heat-Cured Concretes
by José Luis García Calvo and Pedro Carballosa
Buildings 2025, 15(17), 3128; https://doi.org/10.3390/buildings15173128 - 1 Sep 2025
Viewed by 378
Abstract
Heat-curing processes are often used to ensure the production rate of precast concrete elements, as this process increases the early strength of the material. However, the increase in curing temperature can negatively affect the final mechanical properties since cracking, and especially high porosity, [...] Read more.
Heat-curing processes are often used to ensure the production rate of precast concrete elements, as this process increases the early strength of the material. However, the increase in curing temperature can negatively affect the final mechanical properties since cracking, and especially high porosity, may occur under these conditions. In order to compensate for the expected loss in mechanical and durability-related properties, the cement content is typically increased. This solution raises the cost of the final product and reduces its sustainability. Thus, in this study, the development of expansive self-compacting concretes (SCCs) is proposed to achieve higher final mechanical properties without increasing cement contents. The mechanical properties, expansive performance, and porous microstructure have been evaluated under different curing regimes. The obtained results show that it is possible to obtain similar or even better mechanical performance in expansive concretes cured at high temperatures than in those cured in standard conditions, particularly when using ettringite-based expansive agents (EAs). Moreover, the use of limestone filler (LF) proved to be more suitable than the use of fly ashes in the working conditions evaluated in the present study. In this sense, the compressive strength at 28 days of SCC with LF and ettringite-based EAs is 4.3% higher than the one obtained under standard curing; moreover, the total porosity is reduced (5%), and the drying shrinkage is also limited. These aspects have not been previously reported in non-expansive heat-cured concretes and represent a unique opportunity to reduce the cement content and, therefore, the carbon footprint of precast concretes without reducing their mechanical properties. When using CaO-based EAs, the results are also better than those of non-expansive SCC, although the improvement is less pronounced than in the previous case. Full article
Show Figures

Figure 1

43 pages, 15193 KB  
Article
Bio-Mitigation of Sulfate Attack and Enhancement of Crack Self-Healing in Sustainable Concrete Using Bacillus megaterium and sphaericus Bacteria
by Ibrahim AbdElFattah, Seleem S. E. Ahmad, Ahmed A. Elakhras, Ahmed A. Elshami, Mohamed A. R. Elmahdy and Attitou Aboubakr
Infrastructures 2025, 10(8), 205; https://doi.org/10.3390/infrastructures10080205 - 7 Aug 2025
Viewed by 1606
Abstract
Concrete cracks and sulfate degradation severely compromise structural durability, highlighting the need for sustainable solutions to enhance longevity and minimize environmental impact. This study assesses the efficacy of bacterial self-healing technology utilizing Bacillus megaterium (BM) and Bacillus sphaericus (BS) in enhancing the resistance [...] Read more.
Concrete cracks and sulfate degradation severely compromise structural durability, highlighting the need for sustainable solutions to enhance longevity and minimize environmental impact. This study assesses the efficacy of bacterial self-healing technology utilizing Bacillus megaterium (BM) and Bacillus sphaericus (BS) in enhancing the resistance of concrete to sulfate attacks and improving its mechanical properties. Bacterial suspensions (1% and 2.5% of cement weight) were mixed with concrete containing silica fume or fly ash (10% of cement weight) and cured in freshwater or sulfate solutions (2%, 5%, and 10% concentrations). Specimens were tested for compressive strength, flexural strength, and microstructure using a Scanning Electron Microscope (SEM), Energy-Dispersive X-ray Spectroscopy (EDS), and X-ray diffraction (XRD) at various ages. The results indicate that a 2.5% bacterial content yielded the best performance, with BM surpassing BS, enhancing compressive strength by up to 41.3% and flexural strength by 52.3% in freshwater-cured samples. Although sulfate exposure initially improved early-age strength by 1.97% at 7 days, it led to an 8.5% loss at 120 days. Bacterial inclusion mitigated sulfate damage through microbially induced calcium carbonate precipitation (MICP), sealing cracks, and bolstering durability. Cracked specimens treated with BM recovered up to 93.1% of their original compressive strength, promoting sustainable, sulfate-resistant, self-healing concrete for more resilient infrastructure. Full article
(This article belongs to the Section Infrastructures Materials and Constructions)
Show Figures

Figure 1

23 pages, 3479 KB  
Article
Assessment of Low-Cost Sensors in Early-Age Concrete: Laboratory Testing and Industrial Applications
by Rocío Porras, Behnam Mobaraki, Zhenquan Liu, Thayré Muñoz, Fidel Lozano and José A. Lozano
Appl. Sci. 2025, 15(15), 8701; https://doi.org/10.3390/app15158701 - 6 Aug 2025
Viewed by 384
Abstract
Concrete is an essential material in the construction industry due to its strength and versatility. However, its quality can be compromised by environmental factors during its fresh and early-age states. To address this vulnerability, various sensors have been implemented to monitor critical parameters. [...] Read more.
Concrete is an essential material in the construction industry due to its strength and versatility. However, its quality can be compromised by environmental factors during its fresh and early-age states. To address this vulnerability, various sensors have been implemented to monitor critical parameters. While high-precision sensors (e.g., piezoelectric and fiber optic) offer accurate measurements, their cost and fragility limit their widespread use in construction environments. In response, this study proposes a cost-effective, Arduino-based wireless monitoring system to track temperature and humidity in fresh and early-age concrete elements. The system was validated through laboratory tests on cylindrical specimens and industrial applications on self-compacting concrete New Jersey barriers. The sensors recorded temperature variations between 15 °C and 35 °C and relative humidity from 100% down to 45%, depending on environmental exposure. In situ monitoring confirmed the system’s ability to detect thermal gradients and evaporation dynamics during curing. Additionally, the presence of embedded sensors caused a tensile strength reduction of up to 37.5% in small specimens, highlighting the importance of sensor placement. The proposed solution demonstrates potential for improving quality control and curing management in precast concrete production with low-cost devices. Full article
Show Figures

Figure 1

14 pages, 2047 KB  
Article
Fracture Behavior of Steel-Fiber-Reinforced High-Strength Self-Compacting Concrete: A Digital Image Correlation Analysis
by Maoliang Zhang, Junpeng Chen, Junxia Liu, Huiling Yin, Yan Ma and Fei Yang
Materials 2025, 18(15), 3631; https://doi.org/10.3390/ma18153631 - 1 Aug 2025
Viewed by 411
Abstract
In this study, steel fibers were used to improve the mechanical properties of high-strength self-compacting concrete (HSSCC), and its effect on the fracture mechanical properties was investigated by a three-point bending test with notched beams. Coupled with the digital image correlation (DIC) technique, [...] Read more.
In this study, steel fibers were used to improve the mechanical properties of high-strength self-compacting concrete (HSSCC), and its effect on the fracture mechanical properties was investigated by a three-point bending test with notched beams. Coupled with the digital image correlation (DIC) technique, the fracture process of steel-fiber-reinforced HSSCC was analyzed to elucidate the reinforcing and fracture-resisting mechanisms of steel fibers. The results indicate that the compressive strength and flexural strength of HSSCC cured for 28 days exhibited an initial decrease and then an enhancement as the volume fraction (Vf) of steel fibers increased, whereas the flexural-to-compressive ratio linearly increased. All of them reached their maximum of 110.5 MPa, 11.8 MPa, and 1/9 at 1.2 vol% steel fibers, respectively. Steel fibers significantly improved the peak load (FP), peak opening displacement (CMODP), fracture toughness (KIC), and fracture energy (GF) of HSSCC. Compared with HSSCC without steel fibers (HSSCC-0), the FP, KIC, CMODP, and GF of HSSCC with 1.2 vol% (HSSCC-1.2) increased by 23.5%, 45.4%, 11.1 times, and 20.1 times, respectively. The horizontal displacement and horizontal strain of steel-fiber-reinforced HSSCC both increased significantly with an increasing Vf. HSSCC-0 experienced unstable fracture without the occurrence of a fracture process zone during the whole fracture damage, whereas the fracture process zone formed at the notched beam tip of HSSCC-1.2 at its initial loading stage and further extended upward in the beams of high-strength self-compacting concrete with a 0.6% volume fraction of steel fibers and HSSCC-1.2 as the load approaches and reaches the peak. Full article
Show Figures

Figure 1

24 pages, 3123 KB  
Article
Investigation of the Effects of Water-to-Cement Ratios on Concrete with Varying Fine Expanded Perlite Aggregate Content
by Mortada Sabeh Whwah, Hajir A Al-Hussainy, Anmar Dulaimi, Luís Filipe Almeida Bernardo and Tiago Pinto Ribeiro
J. Compos. Sci. 2025, 9(8), 390; https://doi.org/10.3390/jcs9080390 - 24 Jul 2025
Cited by 1 | Viewed by 1105
Abstract
This study investigates the influence of varying water-to-cement (W/C) ratios and fine aggregate compositions on the performance of concrete incorporating expanded perlite aggregate (EPA) as a lightweight alternative to natural sand. A total of eighteen concrete mixes were produced, each with different W/C [...] Read more.
This study investigates the influence of varying water-to-cement (W/C) ratios and fine aggregate compositions on the performance of concrete incorporating expanded perlite aggregate (EPA) as a lightweight alternative to natural sand. A total of eighteen concrete mixes were produced, each with different W/C ratios and fine-to-coarse aggregate (FA/CA) ratios, and evaluated for workability, compressive strength, flexural and tensile strength, water absorption, density, and thermal conductivity. Perlite was used to fully replace natural sand in half of the mixes, allowing a direct assessment of its effects across low-, medium-, and high-strength concrete formulations. The results demonstrate that EPA can improve workability and reduce both density and thermal conductivity, with variable impacts on mechanical performance depending on the W/C and FA/CA ratios. Notably, higher cement contents enhanced the internal curing effect of perlite, while lower-strength mixes experienced a reduction in compressive strength when perlite was used. These findings suggest that expanded perlite can be effectively applied in structural and non-structural concrete with optimized mix designs, supporting the development of lightweight, thermally efficient concretes. Mixture W16-100%EPS was considered the ideal mix because its compressive strength at the age of 65 days 44.2 MPa and the reduction in compressive strength compared to the reference mix 14% and the reduction in density 5.4% compared with the reference mix and the reduction in thermal conductivity 14% compared with the reference mix. Full article
(This article belongs to the Special Issue Sustainable Composite Construction Materials, Volume II)
Show Figures

Figure 1

18 pages, 9340 KB  
Article
Prediction of Compressive Strength of Concrete Considering Pore Relative Humidity
by Gyeonghee An
Materials 2025, 18(12), 2859; https://doi.org/10.3390/ma18122859 - 17 Jun 2025
Viewed by 382
Abstract
This study investigates a prediction method for the compressive strength of concrete considering the pore relative humidity. Water within concrete not only facilitates the bonding of cementitious materials and aggregates but also influences the pore structure, thus affecting the compressive strength of concrete. [...] Read more.
This study investigates a prediction method for the compressive strength of concrete considering the pore relative humidity. Water within concrete not only facilitates the bonding of cementitious materials and aggregates but also influences the pore structure, thus affecting the compressive strength of concrete. While the relationship between the water–cement ratio and mechanical properties has been extensively explored, the quantitative effects of curing and moisture history on compressive strength remain insufficiently demonstrated. This research aims to fill this gap by proposing predictive models that consider the history of pore humidity. Experimental data from previous studies were utilized to develop and verify these models. Pore humidity was assessed through self-desiccation and diffusion processes. A self-desiccation model was formulated based on existing experimental results, and the finite element method was employed for diffusion analysis. The prediction model for compressive strength was derived from the rate constant model, incorporating apparent activation energy and adjusting for various curing conditions. The proposed models provide a robust framework for predicting the compressive strength of concrete under diverse curing scenarios. This research contributes to the development of practical tools for ensuring the safety and durability of concrete structures in the construction industry. Full article
(This article belongs to the Section Construction and Building Materials)
Show Figures

Figure 1

19 pages, 3437 KB  
Article
Use of Carbon Nanotubes for the Functionalization of Concrete for Sensing Applications
by Xiaohui Jia, Anna Lushnikova and Olivier Plé
Sensors 2025, 25(12), 3755; https://doi.org/10.3390/s25123755 - 16 Jun 2025
Viewed by 974
Abstract
This study advances the development of self-sensing concrete through functionalization with carbon nanotubes (CNTs) for structural health monitoring. Through experimental analyses, it relies on its dual responsiveness to mechanical and thermal stimuli. Three-point bending and thermal tests were systematically conducted on concrete samples [...] Read more.
This study advances the development of self-sensing concrete through functionalization with carbon nanotubes (CNTs) for structural health monitoring. Through experimental analyses, it relies on its dual responsiveness to mechanical and thermal stimuli. Three-point bending and thermal tests were systematically conducted on concrete samples with CNT concentrations ranging from 0 to 0.05 wt.% of cement, evaluated at 7- and 28-day curing periods. Mechanical testing demonstrated curing-dependent behavior: At 7 days, mechanical strength and electrical current response exhibited pronounced variability across CNTs loadings, with optimal balance achieved at 0.01% CNTs. At 28 days, the tests show that the mechanical properties are relatively stabilized, reaching the highest value at 0.006 wt.% CNTs and achieving the best electrical sensitivity at 0.01 wt.% CNTs. The thermal experiments revealed faster current modulation in the 7-day samples than in the 28-day counterparts, with intermediate CNT concentrations (e.g., 0.01 wt.%) showing a more sensitive response. The sensitivity was analyzed for both mechanical and thermal changes to further evaluate the feasibility of using CNT-reinforced concrete as a sensor material. Conductivity measurements on fully cured samples indicated that all samples exhibited electrical conductivities in the 10−4 S/m range, suggesting semiconductive behavior, while 0.006 wt.% CNTs yielded the highest conductivity. Higher CNT content did not further improve conductivity, likely due to agglomeration disrupting the network. These findings confirm CNT-modified concrete’s dual electromechanical and thermal responsiveness and support its potential as a multifunctional sensing material. Full article
(This article belongs to the Special Issue Advanced Flexible Electronics for Sensing Application)
Show Figures

Figure 1

23 pages, 4661 KB  
Article
Microstructural, Mechanical and Fresh-State Performance of BOF Steel Slag in Alkali-Activated Binders: Experimental Characterization and Parametric Mix Design Method
by Lucas B. R. Araújo, Daniel L. L. Targino, Lucas F. A. L. Babadopulos, Heloina N. Costa, Antonio E. B. Cabral and Juceline B. S. Bastos
Buildings 2025, 15(12), 2056; https://doi.org/10.3390/buildings15122056 - 15 Jun 2025
Cited by 2 | Viewed by 688
Abstract
Alkali-activated binders (AAB) are a suitable and sustainable alternative to ordinary Portland cement (OPC), with reductions in natural resource usage and environmental emissions in regions where the necessary industrial residues are available. Despite its potential, the lack of mix design methods still limits [...] Read more.
Alkali-activated binders (AAB) are a suitable and sustainable alternative to ordinary Portland cement (OPC), with reductions in natural resource usage and environmental emissions in regions where the necessary industrial residues are available. Despite its potential, the lack of mix design methods still limits its applications. This paper proposes a systematic parametric validation for AAB mix design applied to pastes and concretes, valorizing steel slag as precursors. The composed binders are based on coal fly ash (FA) and Basic Oxygen Furnace (BOF) steel slag. These precursors were activated with sodium silicate (Na2SiO3) and sodium hydroxide (NaOH) alkaline solutions. A parametric investigation was performed on the mix design parameters, sweeping the (i) alkali content from 6% to 10%, (ii) silica modulus (SiO2/Na2O) from 0.75 to 1.75, and (iii) ash-to-slag ratios in the proportions of 75:25 and 50:50, using parametric intervals retrieved from the literature. These variations were analyzed using response surface methodology (RSM) to develop a mechanical model of the compressive strength of the hardened paste. Flowability, yield stress, and setting time were evaluated. Statistical analyses, ANOVA and the Duncan test, validated the model and identified interactions between variables. The concrete formulation design was based on aggregates packing analysis with different paste contents (from 32% up to 38.4%), aiming at self-compacting concrete (SCC) with slump flow class 1 (SF1). The influence of the curing condition was evaluated, varying with ambient and thermal conditions, at 25 °C and 65 °C, respectively, for the initial 24 h. The results showed that lower silica modulus (0.75) achieved the highest compressive strength at 80.1 MPa (28 d) for pastes compressive strength, densifying the composite matrix. The concrete application of the binder achieved SF1 fluidity, with 575 mm spread, 64.1 MPa of compressive strength, and 26.2 GPa of Young’s modulus in thermal cure conditions. These findings demonstrate the potential for developing sustainable high-performance materials based on parametric design of AAB formulations and mix design. Full article
(This article belongs to the Special Issue Advances in Cementitious Materials)
Show Figures

Figure 1

29 pages, 4180 KB  
Article
Development of Ultra High-Performance Concrete with Artificial Aggregates from Sesame Ash and Waste Glass: A Study on Mechanical Strength and Durability
by Aïssa Rezzoug, Ali H. AlAteah, Muwaffaq Alqurashi and Sahar A. Mostafa
Buildings 2025, 15(11), 1942; https://doi.org/10.3390/buildings15111942 - 4 Jun 2025
Cited by 2 | Viewed by 890
Abstract
This study demonstrates the conversion of agricultural and industrial waste into construction materials by developing ultra-high-performance concrete using cold-bonded sesame ash and waste glass aggregates. The primary focus of this study was sustainability and waste valorization in self-curing concrete systems. This study focuses [...] Read more.
This study demonstrates the conversion of agricultural and industrial waste into construction materials by developing ultra-high-performance concrete using cold-bonded sesame ash and waste glass aggregates. The primary focus of this study was sustainability and waste valorization in self-curing concrete systems. This study focuses on many aspects of producing cementless concrete with superior short- and long-term properties, incorporating an innovative artificial aggregate premanufactured using sesame ash and waste glass. Prepacking technology of casting was used. A self-curing additive is used to reduce the energy required for curing. In cold-bonded aggregates (CBAs), the aggregate content ranged from 10 to 50% of the total sand volume. Polyethylene glycol was used as an internal curing agent to evaluate the mechanical properties of the concrete, including the compressive strength and tensile strength at different ages. The durability characteristics of the concrete were also analyzed in terms of its resistance to sulfates, chloride ion penetration, and performance at elevated temperatures of 300 and 600 °C. Microscopic analyses were conducted by scanning electron microscopy (SEM), thermogravimetric analysis (TGA), Fourier transform infrared spectroscopy (FTIR), and Differential Scanning Calorimetry (DSC). The results showed a significant improvement in the mechanical and durability performance, especially at 30%, which resulted in the highest compressive strength of 147.2 MPa at 90 days. This is an 11.93% increase compared with that of the reference mix. The tensile strength was also improved by 14.5% at the same replacement ratio. The mix containing 30% manufactured aggregate demonstrated the best thermal resistance, retaining the highest percentage of residual strength at both 300 °C and 600 °C, as well as superior sulfate impact resistance, with a strength reduction factor of 39.5%. When the replacement ratio was increased to 50%, the chloride penetration resistance improved significantly by 41% compared with that of the reference mix. FTIR, TGA, and DSC analyses also demonstrated enhanced silicate polymerization and increased carbonate formation, contributing to the improved chemical stability and density of the concrete matrix. Full article
Show Figures

Figure 1

14 pages, 3273 KB  
Article
Improved Autogenous Healing of Concrete with Superabsorbent Polymers Evaluated Through Coupled and Air-Coupled Ultrasound
by Gerlinde Lefever
Buildings 2025, 15(10), 1691; https://doi.org/10.3390/buildings15101691 - 17 May 2025
Viewed by 545
Abstract
Superabsorbent polymers have been introduced into cementitious materials to solve issues related to early-age cracking, caused by shrinkage, and manual repair. A general improvement of autogenous healing is noticed, while the extent and effectiveness depend on the type of hydrogel and the amount [...] Read more.
Superabsorbent polymers have been introduced into cementitious materials to solve issues related to early-age cracking, caused by shrinkage, and manual repair. A general improvement of autogenous healing is noticed, while the extent and effectiveness depend on the type of hydrogel and the amount included. To evaluate the self-healing effectiveness, the regain of mechanical performance needs to be assessed. However, such evaluation requires destructive testing, meaning that the healing progress cannot be followed over time. As a solution, air-coupled ultrasonic testing was used within this study, adopting a novel laser interferometer as a receiver, to estimate the regained properties of cementitious mixtures with and without superabsorbent polymers. The sensitivity of ultrasonic waves to the elastic properties of the material under study allows us to monitor the crack healing progress, while the semi-contactless nature of the procedure enables an easy and reliable measurement. Up to 80% recovery in ultrasonic velocity was achieved with reference concrete, while SAP concrete demonstrated up to 100% recovery after wet–dry curing. Following microscopic analysis, up to 19% visual crack closure was obtained for reference concrete, compared to a maximum of 50% for SAP mixtures, for average crack widths between 250 µm and 450 µm. Full article
Show Figures

Figure 1

16 pages, 3780 KB  
Article
The Properties of Self-Compacting Ultra-High Performance Concrete with Different Types of Mineral Admixtures
by Lin Wang, Xiying Tian, Yuefan Pan, Dingyuan Wu, Shengli Xu, Hangyang Wang, Xiaolu Tian, Yubo Xu, Hong Guo and Min Zou
Coatings 2025, 15(5), 591; https://doi.org/10.3390/coatings15050591 - 16 May 2025
Viewed by 809
Abstract
This paper investigates the effects of silica fume, cenosphere, fly ash, and ground slag powder on the rheological properties and mechanical strengths of self-compacting ultra-high performance concrete (UHPC). The mass ratio of each mineral admixture varies from 0% to 15%, while the water-binder [...] Read more.
This paper investigates the effects of silica fume, cenosphere, fly ash, and ground slag powder on the rheological properties and mechanical strengths of self-compacting ultra-high performance concrete (UHPC). The mass ratio of each mineral admixture varies from 0% to 15%, while the water-binder ratios are set at 0.18, 0.20, and 0.22. The slump flow and plastic viscosity of fresh UHPC are measured, and the corresponding flexural and compressive strengths of UHPC cured for 3 days and 28 days are determined. Scanning electron microscopy (SEM) and X-ray diffraction (XRD) are employed to elucidate the mechanisms underlying the observed performance changes. The results indicate that the addition of silica fume and mineral powder negatively impacts the fluidity of fresh UHPC but positively affects its plastic viscosity. Conversely, the inclusion of cenosphere and fly ash enhances the fluidity of fresh UHPC while having the opposite effect on its plastic viscosity. Increasing the water-binder ratio improves the fluidity of fresh UHPC but reduces its plastic viscosity. Mechanically, silica fume enhances the strengths of UHPC. In contrast, the cenosphere, fly ash, and mineral powder decrease the strengths of UHPC cured for 3 days but increase those cured for 28 days. UHPC containing silica fume exhibits the most compact hydration products and the lowest content of Ca(OH)2. Full article
Show Figures

Figure 1

Back to TopTop