Application of Hydrus-2D Model in Subsurface Drainage of Saline Soil in Coastal Forest Land—A Case Example of Fengxian, Shanghai
Abstract
1. Introduction
1.1. Hydrus Model and Principle
1.2. Overview of the Study Area
2. Experimental Methods
2.1. Experimental Design
2.1.1. Subsurface Pipe Laying Program
2.1.2. Sampling and Experimental Programs
2.2. Hydrus Model Setup
2.2.1. Fundamental Equations of Soil Water Movement
2.2.2. Modeling of Root Water Uptake
2.3. Indoor Soil Column Experiment Rate Determination
2.4. Validation of Outdoor Field Experiments
3. Modelling Application
3.1. Hydrus Model Setup
3.1.1. Two-Dimensional Model Building
3.1.2. Boundary and Initial Conditions
3.2. Model Results Analysis
4. Results and Discussion
4.1. Influence of Burial Depth (D) on the Effectiveness of Amelioration
4.2. Influence of Pipe Diameter on the Effectiveness of the Improvement
4.3. Discussion of Findings
5. Conclusions
- (1)
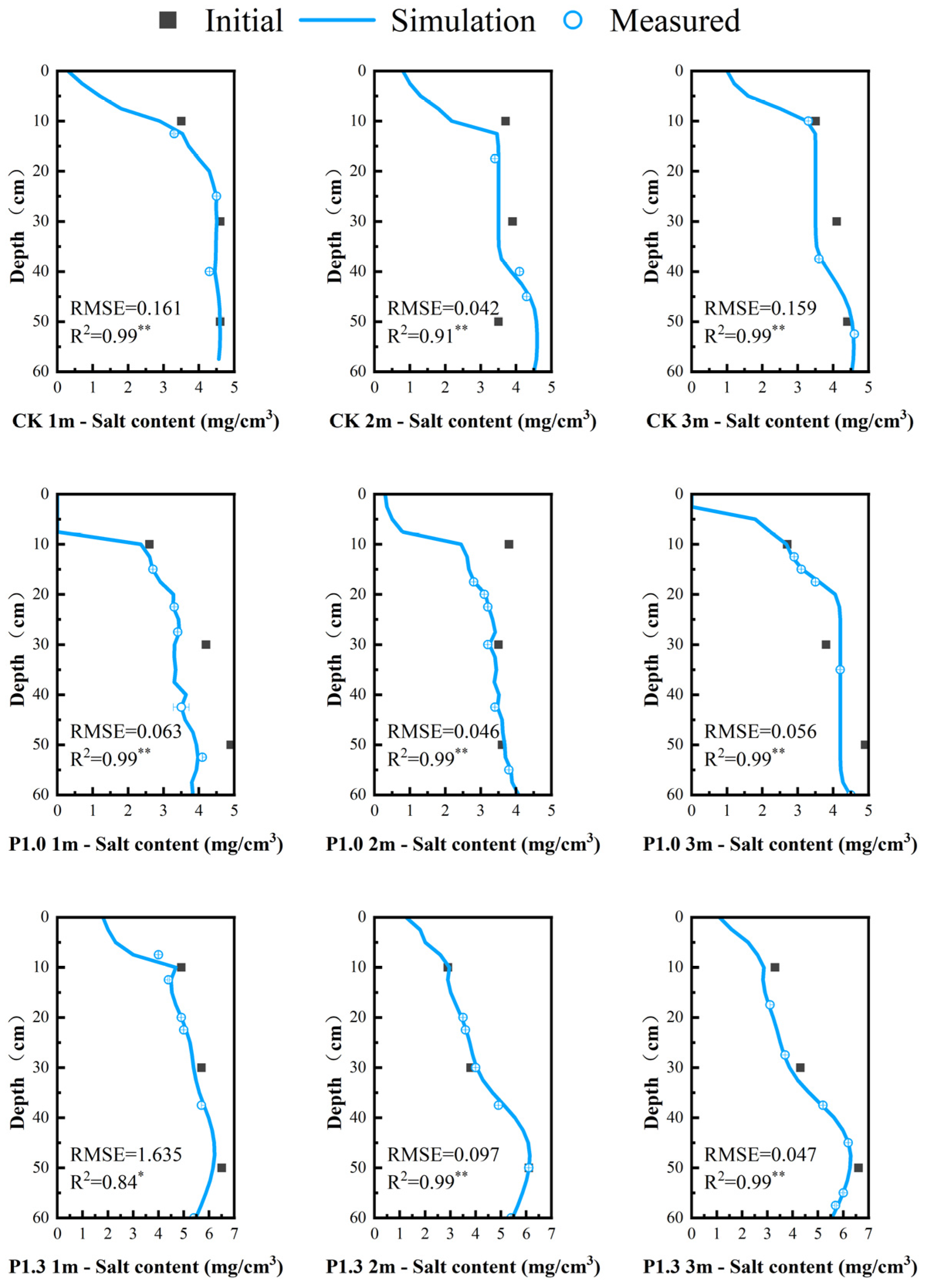
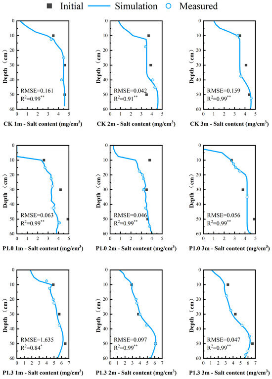
- Hydrus-2D/3D software shows excellent applicability in simulating water and salt transport in coastal saline soils under forests in Fengxian, Shanghai. The range of RMSE coefficients varies from 0.04 to 1.63, with the R2 values in most cases reaching as high as 0.99, demonstrating its outstanding reliability in field applications and providing solid support for future research.
- (2)
- In cases where the groundwater level is relatively deep, the improvement of water and salt in the shallow soil layer (0–60 cm) under the coastal forests in Fengxian is mainly related to the burial depth when using subsurface pipes. Pipes buried at a depth of 0.7 m with a diameter of 12 cm perform best. Furthermore, a burial depth of 1.5 m leads to more uniform soil amelioration and higher salt removal rates in the deeper soil layers, albeit with a relatively modest overall increase in cumulative simulated salt flux. Regression analysis reveals that the burial depth (D) significantly influences soil salt discharge, with a regression coefficient of 12.812, indicating its pronounced impact on soil salt emission. In contrast, the effect of pipe diameter on salt discharge is not significant, consistent with previous conclusions.
- (3)
- Based on observations within the experimental area, concealed pipe laying schemes offer long-term effectiveness and cost advantages without relying on other facilities such as irrigation or drip irrigation. This study aims to provide a scientific basis for the development of green corridors and the optimization of subsurface drainage and salt discharge schemes in coastal areas, which can help improve soil quality and reduce construction costs. Furthermore, the study endeavors to furnish practical technical insights for future landscape soil rehabilitation and the establishment of ecological corridors.
- (4)
- Field measurements reveal variations in soil homogeneity across the experimental area, with subsurface pipe installation causing significant soil disturbance and yielding inconsistent construction results. These issues significantly diminish the efficacy and durability of subsurface drainage systems. Thus, it is essential to continuously refine models in future research endeavors to augment their precision and relevance in predicting soil water movement. Additionally, further investigation into the long-term simulation outcomes is warranted.
Author Contributions
Funding
Institutional Review Board Statement
Informed Consent Statement
Data Availability Statement
Conflicts of Interest
References
- Ma, B. Experiment and Simulation on Soil Water and Salt Transport under Drip Irrigation in Tianjin Coastal Area. Master’s Thesis, Tianjin Agricultural University, Tianjin, China, 2020. [Google Scholar]
- Kou, Y.; Dai, J.; Liu, S.; Wu, W.; Chen, J. Microbialproperty improvement of saline-alkali soil for vegetable cultivation in Shanghai coastal area and its evaluation. J. Shanghai Norm. Univ. (Nat. Sci.) 2015, 44, 599–605. [Google Scholar]
- Wei, F.; Xia, R.; Qian, J.; Shen, Z. Exploration on the Practice and Law of Greening Salty Soil in Shanghai Coastal Area; Shanghai Scientific & Technical Publishers: Shanghai, China, 2011. [Google Scholar]
- Shanghai Municipal Administration of Gardening and Landscaping; Shanghai Development and Reform Commission; Shanghai Municipal Finance Bureau. Management Measures for Shanghai Ecological Corridor Construction Projects; Shanghai Municipal Administration of Gardening and Landscaping: Shanghai, China; Shanghai Development and Reform Commission: Shanghai, China; Shanghai Municipal Finance Bureau: Shanghai, China, 2023.
- Wang, S.; Wang, X.; Brown, L.C.; Qu, X. Current status and prospects of agricultural drainage in China. Irrig. Drain. 2007, 56, S47–S58. [Google Scholar] [CrossRef]
- Zhou, H.; Zhang, L.; Yu, F.; Li, P. Summary and prospect of saline-alkali land improvement technology in China. Xiandai Nongye Keji|Mod. Agric. Sci. Technol. 2007, 159–161+164. [Google Scholar]
- Gupta, S.K. Drainage Engineering: Principles and Practices; Scientific Publishers: Jodhpur, India, 2019. [Google Scholar]
- Liu, Y.; Yang, H.; Wang, K.; Lu, T.; Zhang, F. Shallow subsurface pipe drainage in Xinjiang lowers soil salinity and improves cotton seed yield. Trans. Chin. Soc. Agric. Eng. 2014, 30, 84–90. [Google Scholar]
- Wang, Z.; Heng, T.; Li, W.; Zhang, J.; Zhangzhong, L. Effects of subsurface pipe drainage on soil salinity in saline-sodic soil under mulched drip irrigation. Irrig. Drain. 2020, 69, 95–106. [Google Scholar] [CrossRef]
- Zhou, L.; Li, R.; Miao, Q.; Dou, X.; Tian, F.; Yu, D.; Sun, C. Effects of Underground Drainage Pipe Spacing on Salt and Alkali Characteristics and Fertility of Heavy Saline Soil in Hetao Irrigation Area. Soils 2021, 53, 602–609. [Google Scholar] [CrossRef]
- Ma, J. Research on Water-Salt Migrating Characteristics under the Subsurface Pipe Drainage of Shallow-Tight Type in Yinbei Irrigation Area. Master’s Thesis, Ningxia University, Yinchuan, China, 2023. [Google Scholar] [CrossRef]
- Valipour, M.; Krasilnikof, J.; Yannopoulos, S.; Kumar, R.; Deng, J.; Roccaro, P.; Mays, L.; Grismer, M.E.; Angelakis, A.N. The Evolution of Agricultural Drainage from the Earliest Times to the Present. Sustainability 2020, 12, 416. [Google Scholar] [CrossRef]
- Ma, F.J.; Tan, L.M.; Liu, H.T.; Yu, S.H.; Liu, H.J.; Yuan, Y.; Liu, J.T. Evaluation of the rainfall effectiveness for reclaim of saline soil by subsurface pipe drainage system in coastal saline regions of Hebei Province. Zhongguo Shengtai Nongye Xuebao/Chin. J. Eco-Agric. 2011, 19, 409–414. [Google Scholar] [CrossRef]
- Fang, D.; Guo, K.; Ameen, A.; Wang, S.; Xie, J.; Liu, J.; Han, L. A Root Density Tradeoff in an Okra-Assisted Subsurface Pipe Drainage System for Amelioration of Saline Soil. Agronomy 2022, 12, 866. [Google Scholar] [CrossRef]
- Yu, S.; Liu, J.; Eneji, A.E.; Han, L.; Tan, L.; Liu, H. Dynamics of Soil Water and Salinity Under Subsurface Drainage of a Coastal Area With High Groundwater Table in Spring and Rainy Season. Irrig. Drain. 2016, 65, 360–370. [Google Scholar] [CrossRef]
- Li, G.; Li, X.; Chi, D. Development status and dynamics of domestic and international subsurface pipe drainage. Agric. Technol. 2003, 65–71. [Google Scholar]
- Liu, Y.; Ao, C.; Zeng, W.; Srivastava, A.K.; Gaiser, T.; Wu, J.; Huang, J. Simulating water and salt transport in subsurface pipe drainage systems with HYDRUS-2D. J. Hydrol. 2021, 592, 125823. [Google Scholar] [CrossRef]
- Fan, Y.-W.; Huang, N.; Zhang, J.; Zhao, T. Simulation of Soil Wetting Pattern of Vertical Moistube-Irrigation. Water 2018, 10, 601. [Google Scholar] [CrossRef]
- ZGao; Zhong, R.; Yang, S.; Li, X.; Yang, X. Recent Progresses in Research and Applications of Hydrus Model in China. Soils 2022, 54, 219–231. [Google Scholar] [CrossRef]
- Šimůnek, J.; Šejna, M.; van Genuchten, M.T. New features of version 3 of the HYDRUS (2D/3D) computer software package. J. Hydrol. Hydromech. 2018, 66, 133–142. [Google Scholar] [CrossRef]
- Li, X.; Zuo, Q.; Shi, J.; Alon, B.; Wang, S. Evaluation of salt discharge by subsurface pipes in the cotton field with film mulched drip irrigation in Xinjiang, China I. Calibration to models and parameters. J. Hydraul. Eng. 2016, 47, 537–544. [Google Scholar] [CrossRef]
- Huang, Q.J.; Wang, H.W.; Li, P.; Zhu, J.J.; Chen, B.S. Analysis of Planting Herbal Energy Plants Suitable to the Saline-alkali Mudflats in Shanghai Areas. J. Shanghai Inst. Technol. (Nat. Sci.) 2012, 12, 210–213+239. [Google Scholar]
- Chen, S. Remote Sensing Analysis of Urban Evapotranspiration in Shanghai. Master’s Thesis, East China Normal University, Shanghai, China, 2011. Available online: https://kns.cnki.net/KCMS/detail/detail.aspx?dbcode=CMFD&dbname=CMFD2011&filename=1011130669.nh&v= (accessed on 8 April 2024).
- Fu, X. Analysis and countermeasures of groundwater management in Shanghai. China Water Resour. 2022, 36–38. [Google Scholar]
- Richards, L.A. Capillary conduction of liquids through porous mediums. Physics 2004, 1, 318–333. [Google Scholar] [CrossRef]
- van Dam, J.C.; Feddes, R.A. Numerical simulation of infiltration, evaporation and shallow groundwater levels with the Richards equation. J. Hydrol. 2000, 233, 72–85. [Google Scholar] [CrossRef]
- Šimůnek, J.; Köhne, J.M.; Kodešová, R.; Šejna, M. Simulating nonequilibrium movement of water, solutes and particles using hydrus—A review of recent applications. Soil Water Res. 2008, 3, S42–S51. [Google Scholar] [CrossRef]
- Chen, N.; Li, X.; Šimůnek, J.; Shi, H.; Hu, Q.; Zhang, Y. Evaluating soil nitrate dynamics in an intercropping dripped ecosystem using HYDRUS-2D. Sci. Total Environ. 2020, 718, 137314. [Google Scholar] [CrossRef] [PubMed]
- Kandelous, M.M.; Šimůnek, J. Numerical simulations of water movement in a subsurface drip irrigation system under field and laboratory conditions using HYDRUS-2D. Agric. Water Manag. 2010, 97, 1070–1076. [Google Scholar] [CrossRef]
- Feddes, R.A.; Kowalik, P.J.; Zaradny, H.; Feddes, R.A.; Kowalik, P.J.; Zaradny, H. Simulation of Field Water Use and Crop Yield; Centre for Agricultural Publishing and Documentation: Wageningen, The Netherlands, 1978. [Google Scholar]
- Fan, Y.; Huang, N.; Gong, J.; Shao, X.; Zhang, J.; Zhao, T. A Simplified Infiltration Model for Predicting Cumulative Infiltration during Vertical Line Source Irrigation. Water 2018, 10, 89. [Google Scholar] [CrossRef]
- Liu, L.; Zhang, J.; Zhang, K.; Jia, L.; Zhang, D.; Nie, A. Effect of the Subsurface Drain Parameters on Water-salt Transport Based on HYDRUS-2D. Pearl River 2021, 42, 70–77. [Google Scholar]
- Chicco, D.; Warrens, M.J.; Jurman, G. The coefficient of determination R-squared is more informative than SMAPE, MAE, MAPE, MSE and RMSE in regression analysis evaluation. PeerJ Comput. Sci. 2021, 7, e623. [Google Scholar] [CrossRef] [PubMed]
- Liu, B.; Liu, Y.; Zhang, K. Numerical simulations of water infiltration for various soil textures using HYDRUS-1D. Agric. Res. Arid. Areas 2018, 36, 140–145. [Google Scholar]
- Li, X. Reclamation Strategies of Salt Discharge by Subsurface Pipes in the Salinized Cotton Field of Xinjiang. Ph.D. Thesis, China Agricultural University, Gunagzhou, China, 2017. Available online: https://kns.cnki.net/kcms2/article/abstract?v=3uoqIhG8C447WN1SO36whLpCgh0R0Z-iTEMuTidDzndci_h58Y6ouegocGvRGpxCMa07sRb6alpYQ1emsL4WB5SIlnwvSCm7&uniplatform=NZKPT (accessed on 22 October 2023).
- GB 50288-2018; Design standard for irrigation and drainage engineering. Institute of Standards: Beijing, China, 2018.
- Heng, T.; He, X.-L.; Yang, L.-L.; Xu, X.; Feng, Y. Mechanism of Saline–Alkali land improvement using subsurface pipe and vertical well drainage measures and its response to agricultural soil ecosystem. Environ. Pollut. 2022, 293, 118583. [Google Scholar] [CrossRef] [PubMed]
- Gao, H.; Fu, T.; Tang, S.; Liu, J. Effects of saline water irrigation on winter wheat and its safe utilization under a subsurface drainage system in coastal saline-alkali land of Hebei Province, China. Irrig. Sci. 2023, 41, 251–260. [Google Scholar] [CrossRef]
- Qian, Y.; Zhu, Y.; Wu, J.; Huang, J. Subsurface drains layout in arid areas with purposes of salt control and discharge. Trans. Chin. Soc. Agric. Eng. 2019, 35, 74–83. [Google Scholar]
- Mirjat, M.S.; Mughal, A.Q.; Chandio, A.S. Simulating Water Flow and Salt Leaching under Sequential Flooding between Subsurface Drains. Irrig. Drain. 2014, 63, 112–122. [Google Scholar] [CrossRef]
- Lv, J.; Shi, L.; Dou, Y.; Gong, W.; Zhang, L. Study on modified soil infiltration system model for wastewater treatment based on HYDRUS—1D. Environ. Prot. Technol. 2022, 28, 1–5+16. [Google Scholar]
- Liu, Y.; Zeng, W.; Ao, C.; Lei, G.; Wu, J.; Huang, J. Simulation of drainage process of subsurface pipe based on improved HYDRUS-2D model. Agric. Res. Arid. Areas 2020, 38, 221–228. [Google Scholar]
- Li, Y.; Xu, L.; Qi, F.; Gao, H.; Yu, S.; Fu, T.; Liu, J. Seepage field simulation of subsurface pipe salt drainage processes in coastal saline-alkali farmland. Chin. J. Eco-Agric. 2023, 31, 1110–1120. [Google Scholar] [CrossRef]
- Yang, Y.; Zhou, X.; Gao, Y.; Li, D.; Wang, X.; Li, Z. Factors influencing usage of subsurface drainage to improve soil desalination and cotton yield in the Tarim Basin oasis in China. Irrig. Sci. 2022, 40, 857–871. [Google Scholar] [CrossRef]
- Qian, Y.; Zhu, Y.; Ye, M.; Huang, J.; Wu, J. Experiment and numerical simulation for designing layout parameters of subsurface drainage pipes in arid agricultural areas. Agric. Water Manag. 2021, 243, 106455. [Google Scholar] [CrossRef]
- Wang, X.; Liu, G.; Yang, J.; Huang, G.; Yao, R. Evaluating the effects of irrigation water salinity on water movement, crop yield and water use efficiency by means of a coupled hydrologic/crop growth model. Agric. Water Manag. 2017, 185, 13–26. [Google Scholar] [CrossRef]
- Stuyt, L.C.P.M.; Dierickx, W. Design and performance of materials for subsurface drainage systems in agriculture. Agric. Water Manag. 2006, 86, 50–59. [Google Scholar] [CrossRef]
- Lu, P.; Yang, Y.; Luo, W.; Zhang, Y.; Jia, Z. Numerical Simulation of Soil Water–Salt Dynamics and Agricultural Production in Reclaiming Coastal Areas Using Subsurface Pipe Drainage. Agronomy 2023, 13, 588. [Google Scholar] [CrossRef]
- Li, X.; Zuo, Q.; Shi, J.; Alon, B.; Wang, S. Evaluation of salt discharge by subsurface pipes in the cotton field with film mulched drip irrigation in Xinjiang, China II: Application of the calibrated models and parameters. J. Hydraul. Eng. 2016, 47, 616–625. [Google Scholar] [CrossRef]

















| Monitoring Point Number | Groundwater Depth (m) | ||
|---|---|---|---|
| Maximum Values | Minimum Value | Average Value | |
| 310120210002 | 5.14 | 5.05 | 5.10 |
| 310120210023 | 5.17 | 5.13 | 5.16 |
| 310120210019 | 5.75 | 5.56 | 5.70 |
| 310116210019 | 5.67 | 5.62 | 5.65 |
| Depth (cm) | Soil Capacity (g/cm3) | Saturated Water Content θs (cm3/cm3) | Field Water Holding Capacity (cm3/cm3) |
|---|---|---|---|
| 0–20 | 1.12 | 51.37 | 35.08 |
| 20–40 | 1.23 | 40.61 | 29.80 |
| 40–60 | 1.25 | 37.67 | 30.92 |
| 60–80 | 1.46 | 32.34 | 22.74 |
| 80–100 | 1.41 | 35.04 | 22.82 |
| Feddes’ Parameters | |
|---|---|
| PO (cm) | −10 |
| POpt (cm) | −25 |
| P2H (cm) | −500 |
| P2L (cm) | −800 |
| P3 (cm) | −8000 |
| r2H (cm/year) | 182.5 |
| r2L (cm/year) | 36.5 |
| BD | α (1/cm) | n | (cm/d) | l | ||
| 1.31 | 0.03 | 0.39 | 0.0132 | 1.485 | 26.5 | 0.5 |
| (cm) | (cm) | (cm2/d) | (cm2/d) | |||
| 2 | 0.1 | 3 | 0 | |||
| Simulation Scenario | Scenario Note | Simulation Scenario | Scenario Note |
|---|---|---|---|
| D0.5 | Pipe diameter Ø Buried depth D = 0.5 m | Pipe diameter Ø Buried depth D = 0.7 m | |
| D0.7 | Pipe diameter Ø Buried depth D = 0.7 m | ||
| D0.9 | Pipe diameter Ø Buried depth D = 0.9 m | Pipe diameter Ø Buried depth D = 0.7 m | |
| D1.1 | Pipe Diameter Ø Buried depth D = 1.1 m | ||
| D1.3 | Pipe Diameter Ø Buried depth D = 1.3 m | Pipe diameter Ø Buried depth D = 0.7 m | |
| D1.5 | Pipe diameter Ø Buried depth D = 1.5 m |
| VSL (Virtual Soil Layer) Parameters | |||||
|---|---|---|---|---|---|
| α | n | l | |||
| 0.033 | 0.334 | 0.012 | 1.493 | 0.026 | 0.5 |
Disclaimer/Publisher’s Note: The statements, opinions and data contained in all publications are solely those of the individual author(s) and contributor(s) and not of MDPI and/or the editor(s). MDPI and/or the editor(s) disclaim responsibility for any injury to people or property resulting from any ideas, methods, instructions or products referred to in the content. |
© 2024 by the authors. Licensee MDPI, Basel, Switzerland. This article is an open access article distributed under the terms and conditions of the Creative Commons Attribution (CC BY) license (https://creativecommons.org/licenses/by/4.0/).
Share and Cite
Wang, Y.; Sun, H.; Mo, Q.; Zhuo, C. Application of Hydrus-2D Model in Subsurface Drainage of Saline Soil in Coastal Forest Land—A Case Example of Fengxian, Shanghai. Sustainability 2024, 16, 4590. https://doi.org/10.3390/su16114590
Wang Y, Sun H, Mo Q, Zhuo C. Application of Hydrus-2D Model in Subsurface Drainage of Saline Soil in Coastal Forest Land—A Case Example of Fengxian, Shanghai. Sustainability. 2024; 16(11):4590. https://doi.org/10.3390/su16114590
Chicago/Turabian StyleWang, Yuying, Haiyan Sun, Qian Mo, and Chengrui Zhuo. 2024. "Application of Hydrus-2D Model in Subsurface Drainage of Saline Soil in Coastal Forest Land—A Case Example of Fengxian, Shanghai" Sustainability 16, no. 11: 4590. https://doi.org/10.3390/su16114590
APA StyleWang, Y., Sun, H., Mo, Q., & Zhuo, C. (2024). Application of Hydrus-2D Model in Subsurface Drainage of Saline Soil in Coastal Forest Land—A Case Example of Fengxian, Shanghai. Sustainability, 16(11), 4590. https://doi.org/10.3390/su16114590

