Abstract
This study compares the energetic and functional aspects of pneumatic and traditional disintegration methods during the vinification of Negroamaro grapes to produce ready-to-drink wine, focusing on sustainability and energy efficiency in winemaking. It addresses the critical need to reducing costs and environmental impact in the wine industry through improved energy efficiency and sustainable practices. The experimental tests conducted reveal that the pneumatic system exhibits advantages in terms of energy consumption, production time, and thermal homogenization during fermentation compared to the traditional system. Results indicate that the pneumatic system requires significantly lower energy consumption and shorter operating times during fermentation and pressing phases while maintaining consistent wine quality, highlighting its potential for more efficient and sustainable winemaking practices.
1. Introduction
“Sustainability” in the wine industry [1] encompasses various aspects, such as certification, responsible use of water, soil, and air, climate impact, energy efficiency, wildlife management, safe chemical usage, waste management, and the challenges of globalization. Improving energy efficiency is a critical objective to reduce costs and environmental impact in wineries: see [2,3], two papers strictly concerning the highlighted problem.
In sustainable wine production, key solutions include the reuse of CO2, responsible water management, the utilization of renewable energies, and the adoption of good oenological practices [4]. Furthermore, the adoption of renewable energies like solar power can help mitigate overheating during summer and reduce electrical load peaks [5,6]. In particular, combination of CHP (Cogeneration Heat and Power) with solar photovoltaic plants also represents an optimal compromise between cost and efficiency in wineries.
Various factors influence a winery’s energy consumption, including local climatic conditions, production technology, product mix, and the use of different bottling technologies [7,8,9].
Several mathematical models have been developed to simulate both plant working and the thermal behavior of grape must during fermentation to optimize the energy required for cooling. See, among others, some comprehensive papers on this subject: [10,11]. However, the practical application of these models is still limited. Energy efficiency can be assessed by considering various factors, such as climatic conditions, production technology, and the use of renewable energies. Wineries seek cost-effective and improvement solutions [12]). Winery design and improvement interventions can contribute to energy savings and CO2 emission reduction. The choice of location and layout of processing areas, leveraging gravity for loading and unloading, and reducing exposure of fermenters to sunlight, can lead to significant energy savings [13]. Climate control [14] and cold stabilization are other critical factors to consider to enhance energy efficiency, as well as the use of energy derived from renewable sources like photovoltaic panels. Often, the approach to energy savings, aimed at improving climate control efficiency, is evaluated with a simplistic approach that does not consider the real operational conditions of a winery, which are naturally influenced by daily and seasonal climatic changes. A detailed estimate of consumption is a fundamental step in initiating a genuine energy management program within existing facilities; with such an estimate, it is possible to define operational guidelines for significant improvement [15].
Attention to quality aspects in food production has led to a growing focus on wine processing phases, and, in particular, the interaction with mechanical components is considered a critical point in food processing. The success of red winemaking depends on the quality of compound extraction from the skins and sugar degradation.
From the point of view of the red winemaking process, after delivery to the winery accompanied by basic chemical and organoleptic analysis, the processes of destemming and crushing almost immediately follow, once carried out entirely by hand, now rarely non-mechanized. From here, the destemmed and crushed grapes are transferred to the tanks for vinification. In a very short time, yeast inoculation, possibly concurrent with lactic bacteria, is carried out to promote fermentation.
During maceration, the constituents of the solid parts of the grape cluster, which make up the grape skins, seeds, and potentially stems, dissolve in the must before, during, or after alcoholic fermentation. There are indeed technologies that separate the two moments of maceration and fermentation [16]. Tannins, anthocyanins, polysaccharides, and desired aromatic compounds present in the skins go into solution in the must and then into the wine. In any case, it is important to avoid excessive extractions of astringent or bitter tannins, as well as the formation of unwanted substances that could compromise the wine’s quality.
The onset of fermentation is indicated by the bubbling of carbon dioxide, an increase in temperature, and the emergence of the grape skins that aggregate to form a solid material layer called the “grape cap”. This mass of material is what the must draws from for color and tannins in relation to the alcohol that will develop. The cap must be effectively dispersed in the must to prevent it from solidifying and creating an area in contact with the air which would oxidize quickly and be susceptible to the action of aerobic microorganisms responsible for excessive acetic acid production. Dissolving the grape skins also promotes homogenization of temperatures inside the fermentation vessel, facilitating the proper progress of fermentation.
Regarding punching down, it currently involves the immersion and stirring of the grape cap using pneumatic pistons equipped with paddles installed on top of the fermenters.
However, both in pneumatic punching down and mechanical pumping over, heat tends to accumulate at the top of the fermentation vessel, causing a temperature increase when the must is sprayed over the grape cap. This has led to the search for innovative solutions.
In a pioneering study, ref. [17] explored the effect of an innovative system called a “breaking wave” on pneumatic tanks. This system uses modulated air jets to create a wave that breaks up the cap, enhancing the extraction of compounds from the skins. The results demonstrated a significant increase in the color intensity of wines obtained using this technique.
Another study, by [7], compared two circulation systems during the fermentation of Primitivo grapes with thin skins. One system used pneumatic cap breaking, while the other used traditional pump-overs. The pneumatic system proved advantageous in terms of production speed, fermentation rate, and reduced energy consumption. However, it was noted that overly vigorous pneumatic cap breaking might not be suitable for grapes with thin skins. There are also considerations regarding additional investment costs and the production of lees in slow fermentations. To achieve high-quality red wines, it is crucial to carefully manage the contact between the skins and the must during maceration, using traditional or innovative techniques based on the characteristics of the grapes and production goals.
Therefore, sustainability in the wine industry requires an integrated approach that considers various aspects such as responsible resource use, energy efficiency, and waste management. Sustainable technologies and practices can contribute to improving energy efficiency, reducing environmental impact, and ensuring product quality. Planning, monitoring, and continuous updates are essential to address challenges and achieve constant improvements in sustainable wine production.
In this work, an experimental study was conducted, comparing the pneumatic system and the traditional system from an energy, functional, and qualitative standpoint during the red winemaking of must obtained from Negramaro grapes, known for having some of the thickest skins among the Apulian cultivars.
2. Materials and Methods
The experimental tests were carried out at Cantine Due Palme, located in Cellino San Marco (BR), on two production lines of ready-to-drink Negramaro.
Both the lines have some common components, as shown in Table 1.
Table 1.
Common characteristics of the two vinification lines.
2.1. Vinifier with a Traditional System
The vinifier was produced by DE SILLA S.p.A. (San Donaci, Italy) and was filled with Negramaro grapes. The technical specifications of the vinification line are presented in Table 2.
Table 2.
Key characteristics of the vinification line with a traditional grape cap irrigation system for pump-overs.
The pump-over system used involves a backward-curved impeller electric pump that draws the grape wine-must from the bottom of the container and conveys it through an external pipeline to the top of the tank. Here, a diffuser equipped with a geared motor and inverter irrigates the grape cap. The grapes were destemmed: the contents of the silo were sent to a destemmer via a piston pump. The separated grape pomace was then forwarded to the feed hopper of a single-screw pump and subsequently to a pneumatic press. The fermented grape pomace extracted from the bottom of the vinifier was sent to another hopper via a scraper blade-driven extraction group. Finally, the separated wine was sent to a tank dedicated to the vinifier via another piston pump.
2.2. Vinifier with a Pneumatic System
The technical specifications of the vinification line are provided in Table 3. It uses the Air MiXing Modulated Injection punch-down technique, developed by Parsec s.r.l. (Osmannoro, Italy) of Sesto Fiorentino (FI).
Table 3.
Key characteristics of the vinification line regarding the tank with the AIRMIXING M.I.® system.
The technique employs an innovative system of a “breaking wave” pneumatic injection to punch down the grape cap during red grape maceration. It is based on a circular conduit positioned 8 m from the top of the vinifier, connected to a centralized compressed air network. From this conduit, four radial pipes of 50 cm length each enter the tank and terminate with four injection nozzles. Each nozzle is equipped with a quick-opening valve that opens for a few hundred milliseconds, creating a modulation of the opening times. They inject compressed air at 4–6 atm with a combination of pauses and variable time pulses. This reduces the total opening time of each nozzle (the total time being the sum of all modulation openings) and creates a much more effective mechanical action thanks to the mechanical resonance that these sequences and combinations generate. This winemaking approach aims to keep the cap constantly wet and soft, avoiding its compaction and hardening.
3. Experimental Tests
During the alcoholic fermentation process, several parameters were monitored to assess the efficiency and functionality of vinification. Must samples were taken at the beginning of the process, mid-fermentation, and before racking, and each sample underwent analysis to measure the alcohol content, total acidity, pH, optical density at 620 nm, and hue using WineScan™ SO2 equipment from FOSS.
The following performance indicators were also evaluated:
- -
- Temperatures inside the vinifiers.
- -
- Energy consumption for the whole process.
- -
- Vinification time.
- -
- Racking time.
- -
- Quantity of wine obtained, measured by assessing the wine level in two tanks, each one dedicated to the wine coming from each of the vinifiers.
The temperatures inside the vinifiers were monitored using probes placed under the cap and near the bottom, and the data were recorded on a PC using data acquisition software.
The air consumption in the vinifier equipped with a pneumatic system, for different phases, was calculated considering both the nozzle flow rates and open/close times.
A Power Quality Meter and Analyzer from Yokogawa was used to measure the active electrical power absorbed by the machinery motors involved in vinification.
Energy consumption was recorded by connecting the instrument’s probes to the power supply lines of each machine and measuring the actual usage time.
Finally, the alcohol content was evaluated at 24 h after cap breaking, at 72 h, and at the end of fermentation. In the latter case, the racking time was determined (the time elapsed from cap breaking to racking start) at an equivalent final alcohol content (approximately 12.00).
Triple sampling of the alcohol content was performed, and the results were subjected to variance analysis, and they were compared using the Tukey multiple range test with a significance level of 0.05.
4. Results and Discussion
Both vinifiers successfully completed the two fermentations according to the parameters set by the winery. The goal was to produce ready-to-drink wines primarily for bulk sale, without bottling, with the main focus on energy and production time savings.
As regards the vinifier using a traditional system, temperatures at the bottom were consistently within the range of 29 °C to 31 °C. However, near the grape cap there was an irregular trend, with minimum temperatures of approximately 27 °C during pump-overs and temperature spikes ranging from 31.5 °C to 34 °C.
As regards the vinifier using a pneumatic system, the must temperature after filling was 23 °C, with an initial increase and then remaining almost constant throughout the fermentation. Temperatures ranged between 28 °C and 32 °C both in the bottom and upper parts of the tank. The interventions of the pneumatic breaking system did not cause abrupt temperature variations.
The pneumatic system allows for better homogenization of temperatures throughout the must during vinification, limiting thermal fluctuations and stresses within the mass. This promotes steady alcoholic fermentation. In traditional vinifiers, especially in the grape cap region, higher thermal stresses occur, which can influence other parameters requiring adequate mixing.
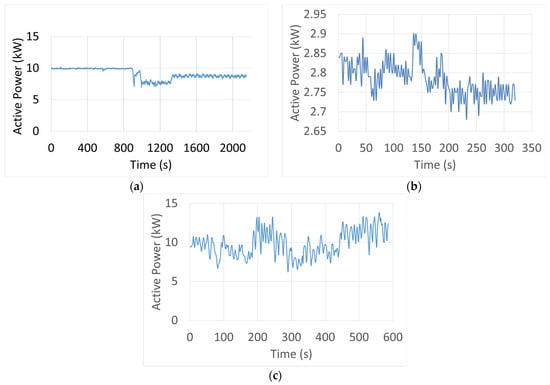
Energy consumption is also a crucial factor in the production cost of medium-quality wine. In the traditional pump-over system, both the pump and the diffuser operated for a total of 11 h, with an average power consumption of 8.45 kW. This corresponds to an electricity consumption of 92.95 kWh and a specific consumption of 0.09 kWh/hL of must (Table 4). The higher consumption was attributed to the pump, with occasional power peaks ranging from 6.92 to 7.45 kW (Figure 1a).
Table 4.
Energy and functional parameters of the vinification line using the pump-over system.
Figure 1.
Electrical power consumption of the machines used for pump-overs in the vinifier with the traditional grape cap irrigation system: (a) pump for pump-overs; (b) inverter for the diffuser.
Regarding the traditional system, the electrical power consumed by the pump for pump-overs exhibited relatively little variation, ranging between 7.0 kW and 7.4 kW. In contrast, the power consumed by the diffuser followed a cyclic pattern with two distinct levels of consumption: one at 1.8 kW and the other, significantly lower, at 0.9 kW (Figure 1b). These variations are due to the higher torque developed by the device at the beginning of its rotation.
In the pneumatic system, the only power consumption during fermentation is due to the interventions of the centralized compressor, with an average power of 37.70 kW (Table 5). This results in an energy consumption of 33.93 kWh and a specific consumption of 0.033 kWh/hL of must (Table 6). The specific consumption of the pneumatic system is approximately three times lower than that of the traditional system, thanks to the methodology used for grape cap breaking.
Table 5.
Parameters related to the compressed air delivery during the execution of the pneumatic grape cap breaking program.
Table 6.
Energy and functional parameters of the vinification line using the pneumatic system.
Moreover, the use of a centralized compressed air system enables matching of the energy needs of the entire winery, ensuring optimal compressor operation and a high-power factor (0.96n).
The racking of the pump-over vinifier lasted a total of 5 h (Table 4). The active power absorbed by the mentioned machines (see Figure 2) was essentially constant, except for the racking machine (Figure 2b), which exhibited consumption peaks, likely due to processing a mass with non-uniform solid content.
Figure 2.
Electrical power consumption of the machines in the racking line of the vinifier with the traditional pump-over system for grape cap irrigation: (a) piston pump to the racker; (b) fully loaded racker; (c) pump from the racker to the destination tank; (d) grape pomace extraction unit; (e) pump for grape pomace from the bottom of the vinifier to the pneumatic press.
The average active power absorbed by the line was 52.57 kW, resulting in an energy consumption of 262.85 kWh and a specific consumption of 0.25 kWh/hL of wine (Table 4).
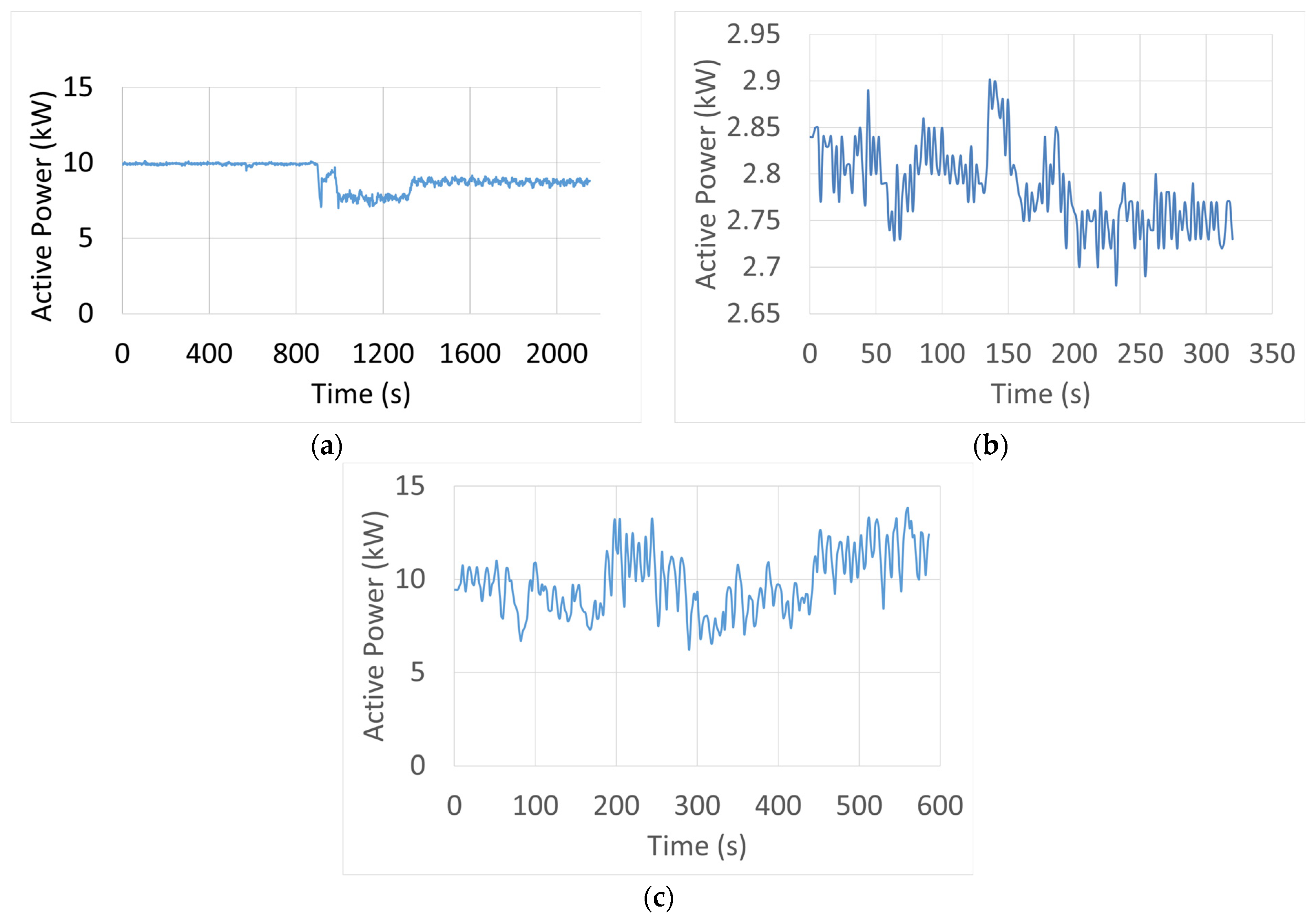
In the tank where pump-overs were performed, the grape pomace extraction unit had an absorbed power ranging from an initial value of 4.5 kW to a regime absorbed power of 2.5 kW (Figure 2d) and an average of 3.5 kW, while in the other vinifier, the absorbed power was on average 2.77 kW (Figure 3b). This difference could be attributed to a higher flow rate and lower fluidity of the mass discharged from the tank where pump-overs were performed. On the other hand, the single-screw pump exhibited higher average power consumption in the case of the product vinified with the pneumatic system, 9.5 kW (Figure 3a) compared to 6.5 kW (Figure 2e), likely due to a higher flow rate of the processed product.
Figure 3.
Electrical power consumption of the machines in the racking line of the vinifier with the AIRMIXING M.I.® System: (a) piston pump for moving wine and grape pomace from the vinifier to the pneumatic press; (b) grape pomace extraction unit in the vinifier; (c) pump from the vinifier to the pneumatic press.
Based on the overall results related to the racking phase, it can be stated that the pneumatic system produced a more homogeneous and liquid mass that was moved with fewer machines, resulting in lower electrical consumption and approximately 1 h and 30 min of lead time compared to the traditional system. At this stage, it is not possible to make a comparison between individual machines because the lines and the quantity of product treated are substantially different.
Once at the press, the grape pomace coming from the vinifier with the traditional pump-over system underwent a draining phase lasting 1 h. In this phase, the electrical power consumption was 10.27 kW, the electricity consumption was 10.27 kWh, and the specific consumption was 0.01 kWh/hL of wine (Table 4). In the case of the vinifier with the pneumatic system, the entire content was sent to the press and underwent a draining phase lasting 4 h and 15 min. The electrical power consumption was 10.31 kW, the electricity consumption was 41.24 kWh, and the specific consumption was 0.04 kWh/hL of wine (Table 6). Therefore, in this phase, the specific energy consumption appeared to be quite low in both cases, but it was influenced by the time-varying power consumption.
From the tank of the vinifier with the pneumatic system, a much more liquid mass was received, as confirmed by the trend of active power consumption during the draining phase (Figure 4—bottom left). It can be observed that the draining of the mass was characterized by very regular and stable power consumption over time, stabilizing at values ranging from 12.0 kW to 16.0 kW due to nearly continuous operation of the rotating cage. In contrast, during the processing of the wine-must from the fermenter subjected to pump-overs, the phases in which the rotation of the cage was interrupted were much longer since the working mass was less liquid, and the machine, under normal operating conditions, consumed more power, 19.0–25.0 kW (Figure 4—top left).
Figure 4.
Electrical power consumption of the pneumatic press during the draining phase (left column) and the pressing phase (right column). Top row: pomace from the fermenter with the traditional pump-over system; bottom row: pomace from the fermenter with the pneumatic system.
In the case of the pneumatic system, the draining of the mass was characterized by consistent power consumption over time, while in the traditional system, interruptions in the rotation of the cage were longer due to the less liquid consistency of the mass.
It can be stated that the pneumatic system shows advantages in terms of mass homogeneity, a lower number of machines used, lower power consumption, and shorter processing times compared to the traditional system.
The pressing phase, set with the same parameters for both vinifications, lasted 2 h and 20 min in both lines. The product obtained was sent to the final tank through a piston pump controlled by the float in the press collection tank.
In the fermenter equipped with the pump-over system, the press had an average active power consumption of 47.14 kW, consuming 106.06 kWh of electrical energy, with a specific consumption of 0.09 kWh/hL of wine (Table 4). These results are like those obtained in the fermenter with the pneumatic system, which had an average active power consumption of 40.47 kW, consuming 91.06 kWh of electrical energy, with a specific consumption of 0.08 kWh/hL of wine (Table 6, Figure 4—right). From the results of this phase, it can be noted that energy consumption in the two lines is influenced by the presence of liquid in the mass to be treated. When the liquid phase is higher, energy consumption is lower, penalizing the traditional system, while when the product to be treated is similar, there are no significant differences in energy consumption.
Overall, the line with the traditional pump-over system had a specific energy consumption of 0.44 kWh/hL of wine (Table 4), which is nearly twice the specific consumption of 0.23 kWh/hL of wine (Table 6) in the line with the pneumatic system.
During the experimental tests, the fermentations were concluded when similar parameters were reached in both fermenters, resulting in similar “ready-to-drink” wines for both fermenters. This type of wine is intended for a mid-range placement in the market, to be marketed quickly and at affordable prices. Table 7 shows that at 24 and 72 h from the initial cap breaking, there is no significant difference in alcohol content values between the two fermenters. On the other hand, at the end of fermentation (i.e., at the same alcohol content, about 12.00), it is evident that the fermenter with the pneumatic system allows for a significant reduction in fermentation time (16 h).
Table 7.
Alcohol content and sampling time for the musts in the two fermenters: start of fermentation.
These results are consistent with a previous study conducted on Primitivo grapes, which have thinner skins [7]. In that case as well, the pneumatic system showed more significant differences in energy consumption, during both fermentation and the pressing phase, likely because it allows for more energetic disintegration of the cap.
This highlights the functional and energy advantages of the pneumatic system, which provides favorable performance while maintaining the same quality for “ready-to-drink” wine.
5. Conclusions
Modern winemaking techniques must ensure food safety and comply to principles of energy saving and environmental sustainability. Modern vinifiers offer advantages in managing fermentation parameters, with the possibility of remote monitoring through sensors. Studies are focused on the technology of mass movement during fermentation and the operation of pneumatic presses to simplify and expedite the winemaking process without compromising quality standards.
In this experimental study, two winemaking lines with different grape cap management systems were compared: the pneumatic cap disintegration system and the traditional pumping-over system. From an energy perspective, the most significant differences were observed during fermentation and pressing. The pneumatic system required lower energy consumption compared to the traditional system in both phases, approximately half of the traditional system overall.
From a thermal perspective, the pneumatic system allows for better homogenization of temperatures during fermentation, reducing thermal fluctuations and enabling a more regular alcoholic fermentation. This result is particularly important for a winery in Southern Italy, where energy and water consumption for traditional mass conditioning can be quite high.
The results obtained are consistent with a previous study conducted on Primitivo grapes, which had thinner skins compared to Negramaro. In particular, the pneumatic system allowed for earlier pressing by 16 h in the present study, while achieving the same final wine characteristics. However, the differences in energy consumption are less significant during both fermentation and pressing, likely due to the different characteristics of the grape skins.
In conclusion, winemaking with the pneumatic system offers various energy and functional advantages, contributing to a more efficient and sustainable winemaking process.
Author Contributions
Conceptualization, F.G. and B.B.; Methodology, F.G. and B.B.; Software, F.C.; Validation, F.G. and F.C.; Formal analysis, F.G., F.C. and B.B.; Investigation, F.C.; Data curation, F.G. and B.B.; Writing–original draft, F.C. and B.B.; Writing–review & editing, F.G.; Visualization, C.P.; Supervision, F.G. and B.B.; Funding acquisition, F.G. All authors have read and agreed to the published version of the manuscript.
Funding
This research received no external funding.
Data Availability Statement
Data are contained within the article.
Conflicts of Interest
The authors declare no conflict of interest.
References
- Baiano, A. An Overview on Sustainability in the Wine Production Chain. Beverages 2021, 7, 15. [Google Scholar] [CrossRef]
- Genc, M.; Genc, S.; Goksungur, Y. Exergy analysis of wine production: Red wine production process as a case study. Appl. Therm. Eng. 2017, 117, 511–521. [Google Scholar] [CrossRef]
- Perone, C.; Bianchi, B.; Catalano, F.; Orsino, M. Experimental Evaluation of Functional and Energy Per-formance of Pneumatic Oenological Presses for High Quality White Wines. Sustainability 2022, 14, 8033. [Google Scholar] [CrossRef]
- Manan, Z.A.; Nawi, W.N.R.M.; Alwi, S.R.W.; Klemeš, J.J. Advances in Process Integration research for CO2 emission reduction—A review. J. Clean. Prod. 2017, 167, 1–13. [Google Scholar] [CrossRef]
- Kasaeian, A.; Nouri, G.; Ranjbaran, P.; Wen, D. Solar collectors and photovoltaics as combined heat and power systems: A critical review. Energy Convers. Manag. 2018, 156, 688–705. [Google Scholar] [CrossRef]
- Malvoni, M.; Congedo, P.M.; Laforgia, D. Analysis of Energy Consumption: A Case Study of an Italian Winery. Energy Procedia 2017, 126, 227–233. [Google Scholar] [CrossRef]
- Catalano, F.; Romaniello, R.; Orsino, M.; Perone, C.; Bianchi, B.; Giametta, F. Experimental Tests in Production of Ready-to-Drink Primitive Wine with Different Modes of Circulation of the Fermenting Must. Appl. Sci. 2023, 13, 5941. [Google Scholar] [CrossRef]
- Kubule, A.; Zogla, L.; Ikaunieks, J.; Rosa, M. Highlights on Energy Efficiency Improvements: A Case of a Small Brewery. J. Clean. Prod. 2016, 138, 275–286. [Google Scholar] [CrossRef]
- Lin, Z.; Xie, Q.; Qian, Q.; Zhang, T.; Zhang, J.; Zhuang, J.; Wang, W. A Real-time Realization Method for the Pneumatic Positioning System of the Industrial Automated Production Line Using Low-cost on–off Valves. Actuators 2021, 10, 260. [Google Scholar] [CrossRef]
- Colombié, S.; Malherbe, S.; Sablayrolles, J.-M. Modeling of Heat Transfer in Tanks during Wine-Making Fermentation. Food Control. 2007, 18, 953–960. [Google Scholar] [CrossRef]
- le Roux, J.; Purchas, K.; Nell, B. Refrigeration Requirements for Precooling and Fermentation Control in Wine Making. S. Afr. J. Enol. Vitic. 2017, 7, 6–13. [Google Scholar] [CrossRef][Green Version]
- Bianchi, B.; Molino, B.; Catalano, F.; Giametta, F.; Molino, A.J.; Ambrosone, L. A Novel Approach to Optimize the Industrial Process of Membrane Concentration of Grape Musts. Chemengineering 2023, 7, 48. [Google Scholar] [CrossRef]
- Mainardis, M.; Gubiani, R. Energy Use and Management in the Winery. In Improving Sustainable Viticulture and Winemaking Practices; Elsevier: Amsterdam, The Netherlands, 2022; pp. 221–238. [Google Scholar] [CrossRef]
- Panaras, G.; Tzimas, P.; Tolis, E.I.; Papadopoulos, G.; Afentoulidis, A.; Souliotis, M. Combined Investigation of Indoor Climate Parameters and Energy Performance of a Winery. Appl. Sci. 2021, 11, 593. [Google Scholar] [CrossRef]
- Catrini, P.; Panno, D.; Cardona, F.; Piacentino, A. Characterization of cooling loads in the wine industry and novel seasonal indicator for reliable assessment of energy saving through retrofit of chillers. Appl. Energy 2020, 266, 114856. [Google Scholar] [CrossRef]
- Ribéreau-Gayon, P.; Dubourdie, D.; Donèche, B.; Lovaud, A. Handbook of Enolgy; John Wiley Sons, Ltd.: Hoboken, NJ, USA, 2006; ISBN 0-470-01034-7. [Google Scholar]
- Mencarelli, F. L’effetto Ad Onde Disgreganti; VVQ Vigne, Vini e Qualità: Milan, Italy, 2020; Volume 5, pp. 14–17. (In Italian) [Google Scholar]
Disclaimer/Publisher’s Note: The statements, opinions and data contained in all publications are solely those of the individual author(s) and contributor(s) and not of MDPI and/or the editor(s). MDPI and/or the editor(s) disclaim responsibility for any injury to people or property resulting from any ideas, methods, instructions or products referred to in the content. |
© 2024 by the authors. Licensee MDPI, Basel, Switzerland. This article is an open access article distributed under the terms and conditions of the Creative Commons Attribution (CC BY) license (https://creativecommons.org/licenses/by/4.0/).



