Does Corporate Behavior Related to the Overseas Market Promote Enterprises’ Green Transformation?—Evidence from China
Abstract
1. Introduction
2. Literature Review and Research Hypothesis
2.1. Corporate Behavior Related to the Overseas Market and Green Transformation
2.1.1. Research on the Corporate Behavior Related to the Overseas Market
2.1.2. Research on the Corporate Green Transformation
2.1.3. Corporate Behavior Related to the Overseas Market and Green Transformation
2.2. Analysis of Heterogeneity
2.2.1. The Heterogeneity of the Enterprise Ownership
2.2.2. The Heterogeneity of the Motivation of Enterprise Green Transformation
3. Research Design
3.1. Sample Selection and Data Sources
3.2. Variable Setting
- (1)
- Dependent variable
- (2)
- Key explanatory variable
- (3)
- Control variable
3.3. Model Setting
4. Empirical Analysis
4.1. Baseline Regression Analysis
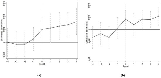
4.2. Placebo Test
4.3. Robustness Tests
- (1)
- Consider the self-selection bias
- (2)
- Eliminate the interference of relevant samples
- (3)
- Industry adjustments for the explained variables
4.4. Mechanism Regression
4.5. Heterogeneity Analysis
- (1)
- Distinguish the form of ownership of listed companies
- (2)
- Further evaluation based on the motivation behind corporate environmental governance
5. Discussion
6. Conclusions
Author Contributions
Funding
Institutional Review Board Statement
Informed Consent Statement
Data Availability Statement
Acknowledgments
Conflicts of Interest
References
- Wang, C.H. An environmental perspective extends market orientation: Green innovation sustainability. Bus. Strategy Environ. 2020, 29, 3123–3134. [Google Scholar] [CrossRef]
- Sahoo, S.; Kumar, A.; Upadhyay, A. How do green knowledge management and green technology innovation impact corporate environmental performance? Understanding the role of green knowledge acquisition. Bus. Strategy Environ. 2023, 32, 551–569. [Google Scholar] [CrossRef]
- Liu, L.Y.; Wang, T.; Wu, Y. Paths and Constraining Factors of Green Finance in Promoting High-Quality Development of Export Enterprises. Intertrade 2023, 9, 75–86. [Google Scholar]
- Feng, H.; Wang, F.; Song, G.; Liu, L. Digital Transformation on Enterprise Green Innovation: Effect and Transmission Mechanism. Int. J. Environ. Res. Public Health 2022, 19, 10614. [Google Scholar] [CrossRef] [PubMed]
- Hu, Z.Y.; Zhou, J.K.; Li, Y. Corporate behavior related to the overseas market and green technology innovation under the dual circulation development pattern. China Popul. Resour. Environ. 2023, 33, 16–26. [Google Scholar]
- Lanoie, P.; Laurent-Lucchetti, J.; Johnstone, N.; Ambec, S. Environmental Policy, Innovation and Performance: New Insights on the Porter Hypothesis. J. Econ. Manag. Strategy 2011, 20, 803–842. [Google Scholar] [CrossRef]
- Jing, W.M.; Zhang, L. Environmental Regulation, Economic Opening and China’s Industrial Green Technology Process. Econ. Res. J. 2014, 9, 34–47. [Google Scholar]
- Kafouros, M.I.; Buckley, P.J.; Clegg, J. The Effects of Global Knowledge Reservoirs on the Productivity of Multinational Enterprises: The Role of International Depth and Breadth. Res. Policy 2012, 41, 848–861. [Google Scholar] [CrossRef]
- Phene, A.; Almeida, P. Innovation in Multinational Subsidiaries: The Role of Knowledge Assimilation and Subsidiary Capabilities. J. Int. Bus. Stud. 2008, 39, 901–919. [Google Scholar] [CrossRef]
- Schaltegger, S.; Wagner, M. Sustainable Entrepreneurship and Sustainability Innovation: Categories and Interactions. Bus. Strategy Environ. 2011, 20, 222–237. [Google Scholar] [CrossRef]
- Wan, P.B.; Yang, M.; Chen, L. How Do Environmental Technology Standards Affect the Green Transition of China’s Manufacturing Industry-A Perspective from Technological Transformation. China Ind. Econ. 2021, 9, 118–136. [Google Scholar]
- Yu, L.C.; Zhang, W.G.; Bi, Q. The Study on the Backward Forcing Effect of Environmental Tax on Corporate Green Transformation. China Popul. Resour. Environ. 2019, 7, 112–120. [Google Scholar]
- Chen, G.; Ding, S.; Zhao, X. China’s Green Finance Policy, Financing Costs, and Green Transformation of Enterprises: From the Perspective of the Central Bank’s Collateral Policy. Finac. Res 2021, 12, 75–95. [Google Scholar]
- Lu, Y.; Gao, Y.; Zhang, Y. Can the Green Finance Policy Force the Green Transformation of High-polluting Enterprises? A Quasi-natural Experiment Based on “Green Credit Guidelines”. Energy Econ. 2022, 114, 106265. [Google Scholar] [CrossRef]
- Cui, G.H.; Jiang, Y.B. The Influence of Environmental Regulation on the Behavior of Enterprise Environmental Governance: Based on a Quasi-Natural Experiment of New Environmental Protection Law. Bus. Manag. J. 2019, 41, 54–72. [Google Scholar]
- Chen, M.; Song, L.N.; Zhu, Y.S.; Liu, C.H. Does Green Finance Promote the Green Transformation of China’s Manufacturing Industry? Sustainability 2023, 15, 6614. [Google Scholar] [CrossRef]
- Kawai, N.; Strange, R.; Zucchella, A. Stakeholder Pressures, EMS Implementation, and Green Innovation in MNC Overseas Subsidiaries. Int. Bus. Rev. 2018, 27, 933–946. [Google Scholar] [CrossRef]
- Xie, X.M.; Han, Y.H. How can Local Manufacturing Enterprises Achieve Luxuriant Transformation in Green Innovation? A Multi-case Study Based on Attention-based View. J. Manag. World 2022, 38, 76–106. [Google Scholar]
- Wang, F.Z.; Liu, X.L.; Zhang, L.; Cheng, W.C. Does digitalization promote green technology innovation in resource-based enterprises? Stud. Sci. Sci 2022, 40, 332–344. [Google Scholar]
- Zheng, S.; Jin, S. Can Enterprises in China Achieve Sustainable Development through Green Investment? Int. J. Environ. Res. Public Health 2023, 20, 1787. [Google Scholar] [CrossRef]
- Wang, Q.-J.; Shen, Q.; Geng, Y.; Li, D.-Y. Does Overseas Investment Raise Corporate Environmental Protection? Evidence from Chinese A-List Companies. Int. J. Environ. Res. Public Health 2022, 19, 837. [Google Scholar] [CrossRef] [PubMed]
- Guo, Y.; Xia, X.; Zhang, S.; Zhang, D. Environmental Regulation, Government R&D Funding and Green Technology Innovation: Evidence from China Provincial Data. Sustainability 2018, 10, 940. [Google Scholar] [CrossRef]
- Hong, M.; Li, Z.; Drakeford, B. Do the Green Credit Guidelines Affect Corporate Green Technology Innovation? Empirical Research from China. Int. J. Environ. Res. Public Health 2021, 18, 1682. [Google Scholar] [CrossRef] [PubMed]
- Chan, R.Y.K.; Lai, J.W.M.; Kim, N. Strategic Motives and Performance Implications of Proactive Versus Reactive Environmental Strategies in Corporate Sustainable Development. Bus. Strategy Environ. 2022, 31, 2127–2142. [Google Scholar] [CrossRef]
- Orazalin, N.; Mahmood, M. Toward Sustainable Development: Board Characteristics, Country Governance Quality, and Environmental Performance. Bus. Strategy Environ. 2021, 30, 3569–3588. [Google Scholar] [CrossRef]
- Neary, J.P. Cross-border Mergers as Instruments of Comparative Advantage. Rev. Econ. Stud. 2007, 74, 1229–1257. [Google Scholar] [CrossRef]
- Wang, S. Impact of FDI on energy efficiency: An analysis of the regional discrepancies in China. Nat. Hazards 2017, 85, 1209–1222. [Google Scholar] [CrossRef]
- Hojnik, J.; Ruzzier, M. What Drives Eco-innovation? A Review of an Emerging Literature. Environ. Innov. Soc. Transit. 2016, 19, 31–41. [Google Scholar] [CrossRef]
- Wang, X.; Zhang, X.; Zhu, R. The Value Creation Effect of “Environmental Supervision” from the Perspective of Enterprise Green Innovation: A Quasi-experimental Study Based on Environmental Interviews. Sci. Res. Manag. 2021, 42, 102–111. [Google Scholar]
- Stiebale, J. Cross-border M&As and Innovative Activity of Acquiring and Target Firms. J. Int. Econ. 2016, 99, 1–15. [Google Scholar]
- Ball, C.; Kittler, M. Removing environmental market failure through support mechanisms: Insight from green star-ups in the British, French and German energy sectors. Small Bus. Econ. 2019, 52, 831–844. [Google Scholar] [CrossRef]
- Zhu, Q.; Geng, Y.; Lai, K. Barriers to promoting Eco-industrial parks development in China: Perspectives from senior officials at national industrial parks. J. Ind. Ecol 2015, 19, 457–467. [Google Scholar] [CrossRef]
- Huang, Z.; Liao, G.; Li, Z. Loaning scale and government subsidy for promoting green innovation. Technol. Forecast. Soc. Change 2019, 144, 148–156. [Google Scholar] [CrossRef]
- Birkinshaw, J.; Lingblad, M. Intrafirm Competition and Charter Evolution in the Multibusiness Firm. Organ. Sci. 2005, 16, 674–686. [Google Scholar] [CrossRef]
- Castellani, D.; Montresor, S.; Schubert, T.; Vezzani, A. Multinationality, R&D and productivity: Evidence from the top R&D investors worldwide. Int. Bus. Rev. 2017, 26, 405–416. [Google Scholar]
- Dawkins, C.; Fraas, J.W. Coming Clean: The Impact of Environmental Performance and Visibility on Corporate Climate Change Disclosure. J. Bus. Ethics 2011, 100, 303–322. [Google Scholar] [CrossRef]
- Huang, J.W.; Li, Y.H. How Resource Alignment Moderates the Relationship Between Environmental Innovation Strategy and Green Innovation Performance. J. Bus. Ind. Mark. 2018, 33, 316–324. [Google Scholar] [CrossRef]
- Su, C.; Kong, L.S.; Ciabuschi, F. Reverse Innovation Transfer in Chinese MNCs: The Role of Political Ties and Headquarters. J. Int. Manag. 2021, 27, 100829. [Google Scholar] [CrossRef]
- Zhang, J.P.; Li, L.Z. An empirical study on the impact of green finance and green policies on the green transformation of entity enterprises. China Popul. Resour. Environ. 2023, 33, 47–60. [Google Scholar]
- Lv, C.C.; Shao, C.H.; Li, J.J. Green technology innovation and financial development: Do environmental regulation and innovation output matter? Energy Econ. 2021, 98, 105237. [Google Scholar] [CrossRef]
- Tang, C.; Xu, Y.Y.; Hao, Y.; Wu, H.T.; Xue, Y. What is the role of telecommunications infrastructure construction in green technology innovation? A firm-level analysis for China. Energy Econ. 2021, 103, 105576. [Google Scholar] [CrossRef]
- Ma, Y.; Zhang, Q.; Yin, Q. Top management team faultlines, green technology innovation and firm financial performance. J. Environ. Manag. 2021, 285, 112095. [Google Scholar] [CrossRef]
- Pan, A.L.; Liu, X.; Qiu, J.L.; Shen, Y. Can Green M&A of Heavy Polluting Enterprises Achieve Substantial Transformation under the Pressure of Media. China Ind. Econ. 2019, 371, 174–192. [Google Scholar]
- Ali, K.; Nadeem, M.; Pandey, R. Do Capital Markets Reward Corporate Climate Change Actions? Evidence from the Cost of Debt. Bus. Strategy Environ. 2022, 32, 3417–3431. [Google Scholar] [CrossRef]
- Baskaran, A.; Chandran VG, R.; Rajaghantham, D. Exploring SME Environmental Behaviour and Practice: The Case of Malaysia. Dev. Policy Rev. 2023, 41, 1–20. [Google Scholar] [CrossRef]
- Liu, B.; Lu, J.R.; Ju, T. Formalism or Substantialism: Research on Green Innovation under Soft Market Supervision of ESG Rating. Nankai Bus. Rev. 2023, 26, 1–24. [Google Scholar]
- Wang, S.; Ji, G.; Zhou, H. Environmental Will, Environmental Behavior and Knowledge Sharing: An Empirical Study Based on Resource-Based Enterprises. Pol. J. Environ. Stud. 2021, 30, 5833–5847. [Google Scholar] [CrossRef]
- Morck, R.; Yeung, B.; Zhao, M. Perspectives on China’s outward foreign direct investment. J. Int. Bus. Stud. 2008, 39, 337–350. [Google Scholar] [CrossRef]
- Abdo, A.B.; Li, B.; Zhang, X.; Lu, J.; Rasheed, A. Influence of FDI on environmental pollution in selected Arab countries: A spatialeconometric analysis perspective. Environ. Sci. Pollut. Res 2020, 27, 28222–28246. [Google Scholar] [CrossRef]
- Liu, Q.; Wang, S.; Zhang, W.; Zhan, D.; Li, J. Does foreign direct investment affect environmental pollution in China’s cities? A spatial econometric perspective. Sci. Total Environ. 2018, 613, 521–529. [Google Scholar] [CrossRef]
- Chen, H.; Zhu, H.; Sun, T.; Chen, X.; Wang, T.; Li, W. Does Environmental Regulation Promote Corporate Green Innovation? Empirical Evidence from Chinese Carbon Capture Companies. Sustainability 2023, 15, 1640. [Google Scholar] [CrossRef]
- Berrone, P.; Fosfuri, A.; Gelabert, L. Necessity as the Mother of Green Inventions: Institutional Pressures and Environmental Innovations. Strateg. Manag. J. 2013, 34, 891–909. [Google Scholar] [CrossRef]
- Ning, L.; Wang, F. Does FDI bring environmental knowledge spillovers to developing countries? The role of the local industrialstructure. Environ. Resour. Econ 2018, 71, 381–405. [Google Scholar] [CrossRef]
- Rafindadi, A.A.; Muye, I.M.; Kaita, R.A. The effects of FDI and energy consumption on environmental pollution in predominantly resource-based economies of the GCC. Sustain. Energy Technol. Assess. 2018, 25, 126–137. [Google Scholar] [CrossRef]
- Sabir, S.; Qayyum, U.; Majeed, T. FDI and environmental degradation: The role of political institutions in South Asian countries. Environ. Sci. Pollut. Res. 2020, 27, 32544–32553. [Google Scholar] [CrossRef]
- Brown, J.R.; Martinsson, G.; Thomann, C. Can Environmental Policy Encourage Technical Change? Emissions Taxes and R&D Investment in Polluting Firms. Rev. Financ. Stud 2022, 35, 4518–4560. [Google Scholar]
- Leiter, A.M.; Parolini, A.; Winner, H. Environmental Regulation and Investment: Evidence from European Industry Data. Ecol. Econ. 2011, 70, 759–770. [Google Scholar] [CrossRef]
- Sapkota, P.; Bastola, U. Foreign direct investment, income, and environmental pollution in developing countries: Panel data analysis of Latin America. Energy Econ. 2017, 64, 206–212. [Google Scholar] [CrossRef]
- Bhujabal, P.; Sethi, N.; Padhan, P.C. ICT, foreign direct investment and environmental pollution in major Asia Pacific countries. Environ. Sci. Pollut. Res 2021, 28, 42649–42669. [Google Scholar] [CrossRef]
- Bildirici, M.; Gokmenoglu, S.M. The impact of terrorism and FDI on environmental pollution: Evidence from Afghanistan, Iraq, Nigeria, Pakistan, Philippines, Syria, Somalia, Thailand and Yemen. Environ. Impact Assess. Rev. 2020, 81, 106340. [Google Scholar] [CrossRef]
- Hering, L.; Poncet, S. Environmental Policy and Exports: Evidence from Chinese Cities. J. Environ. Econ. Manag. 2014, 68, 296–318. [Google Scholar] [CrossRef]
- Chen, Z.Y.; Hamilton, T. What is Driving Corporate Social and Environmental Responsibility in China: An Evaluation of Legacy Effects, Organizational Characteristics, and Transnational Pressures. Geoforum 2020, 110, 116–124. [Google Scholar] [CrossRef]
- Allet, M.; Huddon, M. Green microfinance: Characteristics of microfinance institutions involved in environmental management. J. Bus. Ethics 2015, 126, 395–414. [Google Scholar] [CrossRef]
- Zuo, M.; Wu, T. Does Environmental Credit Rating Promote Green Innovation in Enterprises? Evidence from Heavy Polluting Listed Companies in China. Int. J. Environ. Res. Public Health 2022, 19, 13617. [Google Scholar] [CrossRef] [PubMed]
- Blanco, L.; Gonzalez, F.; Ruiz, I. The impact of FDI on CO2 emissions in Latin America. Oxf. Dev. Stud. 2013, 41, 104–121. [Google Scholar] [CrossRef]
- Albulescu, C.T.; Tiwari, A.K.; Yoon, S.M.; Kang, S.H. FDI, income, and environmental pollution in Latin America: Replication and extension using panel quantiles regression analysis. Energy Econ. 2019, 84, 104504. [Google Scholar] [CrossRef]
- Demena, B.A.; Afesorgbor, S.K. The effect of FDI on environmental emissions: Evidence from a meta-analysis. Energy Policy 2020, 138, 111192. [Google Scholar] [CrossRef]
- Hao, Y.; Wu, Y.; Wu, H.; Ren, S. How do FDI and technical innovation affect environmental quality? Evidence from China. Environ. Sci. Pollut. Res. 2020, 27, 7835–7850. [Google Scholar] [CrossRef]



| Type | Variable | Variable Meaning | Computing Method |
|---|---|---|---|
| Dependent variables | EPI | Enterprise environmental protection investment | The amount of environmental investment incurred divided by the total assets at the conclusion of the period |
| lnPatent | Enterprise green technology innovation | The number of green patent applications filed by the enterprise this year has gone up to 1, and the logarithm is taken | |
| Key explanatory variable | Ovse | Corporate behavior related to the overseas market | If there is an overseas association behavior, Ovse = 1; otherwise, Ovse = 0 |
| Control variable | Size | The size of the enterprise | The natural logarithm of total assets at the end of the period |
| Lev | Asset liability ratio | Total liabilities at the end of the period divided by total assets at the end of the period | |
| Age | Age at market | The natural logarithm of the number of years of listing as of the current period | |
| Growth | Growth ability | Growth rate of operating income | |
| ROA | Profitability | Net profit divided by average total assets | |
| Soe | Nature of property rights | According to the nature of the ultimate controller, if it is a state-owned unit, Soe = 1; otherwise, Soe = 0 | |
| Agencost | Agency costs | Administrative expenses divided by revenue from principal operations | |
| Cflow | Cash flow from operating activities | Net cash flow from operating activities divided by total assets at the end of the period | |
| Tangibility | Capital intensity | Net fixed assets divided by total assets at the end of the period | |
| Top1 | Concentration of shareholding | The shareholding ratio of the largest shareholder | |
| Intermediate variables | Envres | Awareness of environmental responsibility | It is measured by the annual environmental responsibility score in the corporate social responsibility score of http://stockdata.stock.hexun.com/zrbg/Plate.aspx?date=2010-12-31 (accessed on 10 March 2022) |
| Tfp | Enterprise productivity | The Tfp_lp is calculated by reference to the method |
| Variable | Mean | Standard Deviation | Min | Median | Max |
|---|---|---|---|---|---|
| EPI | 0.36 | 0.41 | 0.00 | 0.17 | 2.49 |
| lnPatent | 0.78 | 1.23 | 0.00 | 1.93 | 4.12 |
| Size | 22.81 | 1.26 | 19.98 | 22.48 | 26.28 |
| Lev | 0.48 | 0.24 | 0.05 | 0.55 | 0.98 |
| Age | 2.94 | 0.26 | 2.19 | 2.96 | 3.45 |
| Growth | 0.11 | 0.32 | −0.51 | 0.10 | 1.31 |
| ROA | 0.03 | 0.06 | −0.24 | 0.03 | 0.27 |
| Soe | 0.59 | 0.49 | 0.00 | 0.47 | 1.00 |
| Agencost | 0.04 | 0.02 | 0.01 | 0.04 | 0.13 |
| Cflow | 0.05 | 0.07 | −0.19 | 0.05 | 0.27 |
| Tangibility | 0.32 | 0.17 | 0.01 | 0.31 | 0.70 |
| Top1 (%) | 0.36 | 0.15 | 0.09 | 0.35 | 0.77 |
| Variable | EPI | lnPatent |
|---|---|---|
| Ovse | 0.067 ** (0.037) | 0.197 *** (0.009) |
| Size | 0.035 ** (−0.062) | 0.492 *** (0.003) |
| Lev | −0.097 (−0.579) | −0.263 (−0.614) |
| Age | −0.048 (−0.428) | −0.482 *** (−0.003) |
| Growth | −0.046 (−1.324) | 0.047 (0.342) |
| ROA | −0.396 (−1.611) | −0.368 ** (−0.004) |
| Soe | −0.069 (−0.201) | −0.063 (−1.009) |
| Agencost | 1.784 *** (0.008) | 3.176 *** (0.005) |
| Cflow | −0.062 (−0.087) | −0.408 * (0.094) |
| Tangibility | 0.385 *** (0.005) | −0.814 *** (−0.004) |
| Top1 | −0.085 (−0.319) | 0.069 (0.358) |
| Constant | 0.482 ** (0.037) | −3.976 *** (−0.006) |
| Individual effect | YES | YES |
| Time effect | YES | YES |
| N | 3276 | 3276 |
| adj.R2 | 0.184 | 0.263 |
| Variable | (1) | (2) |
|---|---|---|
| EPI | lnPatent | |
| Ovse | 0.062 * (0.038) | 0.295 ** (0.049) |
| Constant | −3.593 *** (1.395) | −0.963 *** (0.092) |
| Control variable | YES | YES |
| Individual effect | YES | YES |
| Time effect | YES | YES |
| N | 3276 | 3276 |
| adj.R2 | 0.723 | 0.326 |
| Variable | EPI | lnPatent |
|---|---|---|
| Ovse | 0.053 * (0.011) | 0.221 *** (0.029) |
| Constant | −2.258 *** (0.286) | −9.894 *** (0.683) |
| Control variable | YES | YES |
| Individual effect | YES | YES |
| Time effect | YES | YES |
| N | 2793 | 2793 |
| adj.R2 | 0.155 | 0.406 |
| Variable | Adj-EPI | Adj-lnPatent |
|---|---|---|
| Ovse | 0.057 ** (0.118) | 0.211 *** (0.027) |
| Constant | −0.642 ** (0.127) | −9.739 *** (0.369) |
| Control variable | YES | YES |
| Individual effect | YES | YES |
| Time effect | YES | YES |
| N | 3276 | 3276 |
| adj.R2 | 0.184 | 0.280 |
| Variable | Consider the Impact Path of Productivity | Consider the Impact Pathways of Environmental Responsibility Awareness | ||
|---|---|---|---|---|
| TFP_lp | EPI | Envres | EPI | |
| Ovse | 0.026 *** (0.008) | 0.030 * (0.017) | 0.332 ** (0.095) | 0.067 ** (0.035) |
| lnMPK | 0.006 (0.003) | |||
| Envres | 0.005 * (0.074) | |||
| Constant | −0.862 ** (0.117) | −9.357 *** (0.184) | −1.044 ** (0.083) | −10.826 *** (0.284) |
| Control variable | YES | YES | YES | YES |
| Individual effect | YES | YES | YES | YES |
| Time effect | YES | YES | YES | YES |
| N | 3276 | 3276 | 3276 | 3276 |
| adj.R2 | 0.723 | 0.326 | 0.546 | 0.298 |
| Variable | Consider Following the Impact Path of Cost Reduction | Consider the Impact Pathways of Environmental Responsibility Awareness | ||
|---|---|---|---|---|
| TFP_lp | lnPatent | Envres | lnPatent | |
| Ovse | 0.026 *** (0.008) | 0.037 *** (0.026) | 0.332 ** (0.095) | 0.015 *** (0.006) |
| lnMPK | 0.021 ** (0.007) | |||
| Envres | 0.006 ** (0.046) | |||
| Constant | −0.593 ** (0.083) | −10.384 *** (0.284) | −0.872 ** (0.974) | −11.386 *** (0.036) |
| Control variable | YES | YES | YES | YES |
| Individual effect | YES | YES | YES | YES |
| Time effect | YES | YES | YES | YES |
| N | 3276 | 3276 | 3276 | 3276 |
| adj.R2 | 0.723 | 0.326 | 0.546 | 0.298 |
| Variable | EPI | lnPatent |
|---|---|---|
| Owner_Ovse | 0.211 *** (0.004) | 0.036 *** (0.006) |
| Owner | 0.306 *** (0.100) | 0.087 *** (0.030) |
| Ovse | 0.01 (0.041) | 0.011 (0.012) |
| Constant | −4.788 *** (0.771) | −0.885 *** (0.187) |
| Control variable | YES | YES |
| Individual effect | YES | YES |
| Time effect | YES | YES |
| N | 3276 | 3276 |
| adj.R2 | 0.268 | 0.217 |
| Variable | EPI | lnPatent | ||
|---|---|---|---|---|
| L-ROA | H-ROA | L-ROA | H-ROA | |
| Ovse | 0.091 * (4.894) | 0.069 ** (−2.103) | 0.361 (3.558) | 0.205 ** (3.818) |
| Constant | 0.359 (0.833) | −0.714 (−1.134) | −8.372 *** (−8.571) | −7.382 *** (−6.956) |
| Control variable | YES | YES | YES | YES |
| Individual effect | YES | YES | YES | YES |
| Time effect | YES | YES | YES | YES |
| N | 1842 | 1434 | 1842 | 1434 |
| adj.R2 | 0.278 | 0.247 | 0.386 | 0.361 |
Disclaimer/Publisher’s Note: The statements, opinions and data contained in all publications are solely those of the individual author(s) and contributor(s) and not of MDPI and/or the editor(s). MDPI and/or the editor(s) disclaim responsibility for any injury to people or property resulting from any ideas, methods, instructions or products referred to in the content. |
© 2024 by the authors. Licensee MDPI, Basel, Switzerland. This article is an open access article distributed under the terms and conditions of the Creative Commons Attribution (CC BY) license (https://creativecommons.org/licenses/by/4.0/).
Share and Cite
Li, Z.; Zhou, Q. Does Corporate Behavior Related to the Overseas Market Promote Enterprises’ Green Transformation?—Evidence from China. Sustainability 2024, 16, 4362. https://doi.org/10.3390/su16114362
Li Z, Zhou Q. Does Corporate Behavior Related to the Overseas Market Promote Enterprises’ Green Transformation?—Evidence from China. Sustainability. 2024; 16(11):4362. https://doi.org/10.3390/su16114362
Chicago/Turabian StyleLi, Zezhong, and Qian Zhou. 2024. "Does Corporate Behavior Related to the Overseas Market Promote Enterprises’ Green Transformation?—Evidence from China" Sustainability 16, no. 11: 4362. https://doi.org/10.3390/su16114362
APA StyleLi, Z., & Zhou, Q. (2024). Does Corporate Behavior Related to the Overseas Market Promote Enterprises’ Green Transformation?—Evidence from China. Sustainability, 16(11), 4362. https://doi.org/10.3390/su16114362

