Next Article in Journal
Scenario Analysis of CO2 Reduction Potentials from a Carbon Neutral Perspective
Next Article in Special Issue
Choice between Sustainable versus Conventional Investments—Relative Efficiency Analysis from Global and Regional Stock Markets
Previous Article in Journal
Knowledge Element Relationship and Value Co-Creation in the Innovation Ecosystem
Previous Article in Special Issue
Drifting from the Sustainable Development Goal: Style Drift in ESG Funds
 
 
Font Type:
Arial Georgia Verdana
Font Size:
Aa Aa Aa
Line Spacing:
Column Width:
Background:
Article

Dual Environmental, Social, and Governance (ESG) Index for Corporate Sustainability Assessment Using Blockchain Technology

1
Department of Systems Engineering, Cornell University, Ithaca, NY 14850, USA
2
Nari Group Co., Ltd., Nanjing 210031, China
3
College of Economics, Shenzhen University, Shenzhen 518000, China
4
Department of Industrial and Systems Engineering, The Hong Kong Polytechnic University, Hung Hom, Hong Kong, China
*
Author to whom correspondence should be addressed.
Sustainability 2024, 16(10), 4272; https://doi.org/10.3390/su16104272
Submission received: 24 April 2024 / Revised: 13 May 2024 / Accepted: 15 May 2024 / Published: 19 May 2024
(This article belongs to the Special Issue Environmental, Social and Governance (ESG) Performance Assessment)

Abstract

Investors are increasingly relying on Environmental, Social, and Governance (ESG) indexes to obtain a third-party assessment of corporate sustainability performance. Various ESG indexes are, therefore, released by prominent rating agencies, including MSCI, Sustainalytics, Refinitiv, etc. However, existing ESG indexes overvalue the usage of massive ESG metrics while ignoring various ESG disclosure levels, leading to critical issues such as limited company coverage, inflexible ESG framework, and obscure assessment processes. This paper proposes a novel Dual ESG Index (DESGI) model using blockchain technology to provide a flexible and transparent corporate sustainability assessment. Firstly, the DESGI model is developed by analogy to the rationale and concepts of the academic credit system due to its advantages of scalability and flexibility. Secondly, blockchain is used to build a transparent environment for ESG assessment. Thirdly, the smart contract and crypto token, as the core blockchain constructs, are used to achieve the dual-dimensional ESG depth and width assessment using ESG GPA and ESG credit, respectively. Finally, a case study is carried out to validate the DESGI by using real-life ESG data and comparing it with four existing ESG indexes. Several managerial implications are also found: (1) DESGI can expand the scope of companies evaluated by ESG criteria regardless of company size or scale; (2) DESGI provides a good potential to fight against greenwashing through the blockchain-based traceability; (3) DESGI can identify the ESG elites who disclose fewer ESG metrics but with excellent ESG performances, which can hardly be achieved using traditional ESG indexes.

1. Introduction

The Environmental, Social, and Governance (ESG) market has drawn much attention from listed companies, rating agencies, investors, and stakeholders alike [1]. From a lifecycle perspective, we can break down the ESG market into three main fields: ESG reporting, ESG rating, and ESG investing. First, ESG reporting is carried out by the companies to disclose the relevant ESG information with the key objectives of complying with the regulatory requirements and keeping a good sustainability reputation [2,3]. Second, ESG rating, released by ESG rating agencies, plays the role of an intermediary between listed companies and investors by measuring the ESG performances of listed companies and providing investment guides for investors [4]. Thirdly, ESG investing usually integrates ESG performances into the investment portfolio with the objectives of earning the green alpha and balancing financial return and risks [5,6,7]. In this article, we focus on the second field—ESG rating, which screens the corporate sustainability performances using ESG criteria.
ESG assessment, also known as ESG rating, assesses a corporate sustainability performance in the natural environment, social conditions, and governance practices [8,9]. The primary goal of ESG rating is to capture the corporate ESG performance so that the investors can integrate the rating data into their business analysis and valuation tools [5]. The functions of ESG rating contain three aspects: (1) Reducing the non-financial information asymmetry between listed companies and investors; (2) providing investors with credible rating services; (3) promoting the financial assets allocation within considerable risks. With the increasing awareness of the importance of ESG rating, both research bodies and industrial institutions have explored ESG rating solutions.
Previous studies present some representative ESG assessment solutions from both industrial and academic fields. In the industrial field, Morgan Stanley Capital International (MSCI) developed a rule-based ESG Index (CCC–AAA) [10]. Refinitiv [11] provided an expert-based ESG index (D–A). Similarly, Sustainalytics [12] developed an expert-based ESG Risk Index (Negligible–Severe) to measure a company’s exposure and management of industry-specific ESG risks. In the academic field, researchers also contribute to various ESG assessment methodologies. For example, Zhou et al. [13] developed a composite sustainability index to achieve the best combination for a normalization–weighting–aggregation scheme. More recently, Sokolov et al. [14] proposed an approach to constructing the ESG index using news and social media data combined with deep learning techniques for Natural Language Processing. Despite many merits provided by the existing ESG indexes, there are still the following observed challenges:
  • Limited company coverage. According to the investigation by the OECD [15], the current ESG rating methodologies consist of a unified framework with hundreds of ESG metrics. However, these methodologies somehow ignore various ESG disclosure levels due to differences in industries, geographies, company sizes, etc. [16,17,18]. Large listed companies usually have the abundant resources, capacities, or even the necessity to disclose all the hundreds of ESG metrics to avoid cross-country laws risks or comply with multiple regulations by stock markets [17,19]. In contrast, small or middle-size listed companies only disclose parts of ESG information to meet the basic ESG regulation, let alone the non-listed companies [17,20,21]. As a result, the current ESG rating remains at a limited scope;
  • Inflexible ESG framework. Different from the credit rating framework focusing on finance-related data [22], the ESG rating framework has a wider scope covering environmental, social, and governance data from the listed companies. A typical ESG rating framework has characteristics such as multi-layer, multi-type, and multi-correlation [23]. This means that the weights of the ESG metrics are usually fixed through experts’ knowledge and the analytic hierarchy process [24,25]. It is inflexible to update (e.g., add, delete, modify) the ESG metrics in SESGIs’ rating framework since the ESG metrics are mutually related and affected. Therefore, it is necessary to develop a flexible ESG rating framework to reflect the dynamic sustainability assessment requirements;
  • Obscured ESG assessment processes. According to S&P Global [26], transparent ESG scoring is an essential tool for market participants to evaluate and optimize their societal impact. However, ESG rating processes have been long questioned as an obscure process due to the lack of ESG data traceability and reliability. As a result, ESG rating agencies face barriers such as insufficient quality of ESG data, ESG greenwashing, etc. [27,28]. Therefore, it is necessary to develop a transparent solution to store, integrate, and share ESG data.
To overcome the challenges, this paper introduces a Dual ESG Index (DESGI) for corporate sustainability assessment using blockchain technology. Firstly, the theoretical DESGI model, which borrows the rationale and concepts from the academic credit system, combines ESG credit and ESG GPA, measuring the depth and width of corporate sustainability performance. It brings advantages such as scalability and flexibility into ESG rating [29]. Secondly, the use of blockchain ensures reliable ESG data storage and sharing among ESG stakeholders due to its advantageous features, such as traceability and transparency [30]. Moreover, as the core blockchain constructs, the smart contract is used to provide a reliable rule-based ESG GPA assessment due to advantages such as automatic execution and high reliability, while the crypto token is used for ESG credit assessment to quantify the width of ESG disclosure. Thirdly, the case study is conducted using real ESG data from 80 textile and apparel companies in 2021 to verify the feasibility of the blockchain-based DESGI. Finally, sensitivity analysis is conducted to verify the stability and feasibility of the DESGI model, as well as to benchmark the DESGI merits and deficiencies. Therefore, the objectives of this paper are as follows:
  • To develop the DESGI model for enriching the ESG assessment dimensions by borrowing key concepts from the academic credit system;
  • To build a blockchain-based DESGI framework to provide a transparent ESG assessment;
  • To use smart contracts and crypto tokens to assess ESG GPA and ESG credit for measuring the depth and width of corporate sustainability performance;
  • To conduct a case study to verify the feasibility of the proposed DESGI model.
The rest of this paper is organized as follows. Section 2 presents the literature review of the ESG assessment and blockchain-based sustainability application. Section 3 presents the modeling of the DESGI. Section 4 presents the DESGI implementation using blockchain technology. The case study is presented in Section 5. Section 6 discusses the conclusion and future research.

2. Literature Review

2.1. ESG Assessment

ESG assessment, also known as ESG rating, assesses a firm’s performance in the natural environment, social conditions, and governance practices [8]. The typical ESG assessment methodologies are summarized from two streamlines: academic research and industrial practice.
From an academic perspective, ESG assessment shares similar concepts with sustainability assessment, sustainability index, ESG index, etc. [31,32,33]. For example, Zhou, Tokos, Krajnc, and Yang [13] developed a composite sustainability index using distance to a reference–benefit of the doubt–linear aggregation. Ahi, Searcy, and Jaber [34] proposed a probabilistic model for assessing corporate sustainability performance where variables used to measure performance are dependent on one another. More recently, Sokolov et al. [35] proposed an approach to automatically convert unstructured text data into ESG scores by using deep learning for natural language processing. García et al. developed a rough set model to relate ESG scores to corporate financial performance measures [36] and analyze the trade-off between return, risk, and corporate social responsibility using a non-dominated sorting genetic algorithm II [37]. From a macro perspective, Athari found an interesting phenomenon that the sovereign ESG also makes an impact on a firm’s stability and profitability [38,39]. Admittedly, DESGI can be applied to the sovereign ESG assessment. However, the focus of this paper is to introduce the DESGI methodology using corporate sustainability performance as a demo case.
From an industrial perspective, ESG rating agencies have developed representative ESG assessment methodologies from an industrial practice perspective. For example, MSCI [10] develops a rule-based ESG Index with the consideration of annual ESG reports and daily media sources. Refinitiv [11] provides an expert-based ESG index combining annual ESG data and regular ESG controversial data. Similarly, Sustainalytics [12] develops an expert-based ESG Risk Index to measure a company’s exposure and management of industry-specific ESG risks, ESG score/index. These ESG assessment methodologies share similarities including similar data sources, ESG controversies consideration, and industry-specific weighting, which provides the advantages of simplicity and high efficiency.

2.2. Blockchain-Based Sustainability Application

Blockchain, as a distributed ledger, is a time-stamped series of decentralized and immutable data records [40]. The blockchain-based sustainability application has been explored by many scholars, among which some representative studies are reviewed as follows.
To explore the prospects of blockchain in sustainability applications, some researchers discussed the concerns about blockchain’s scalability and massive energy consumption [41,42,43]. But, these concerns are usually related to Bitcoin or Ethereum-based blockchain. This paper uses Hyperledger Fabric due to its advantages, such as scalability and flexibility [44]. Moreover, we use the Raft as the consensus algorithm, which would be less energy-intensive [45]. On the other hand, to highlight the benefits of blockchain-based supply chain management, Mukherjee et al. [46] identified the key benefits are data privacy, decentralization, immutability of data, smart contracts, improved sustainability, the building of resilient supply chains, transparency, and shared databases. Shojaei, Wang, and Fenner [47] proposed a blockchain information system to perform as an infrastructure to evaluate built asset sustainability accurately.
From the two streams of literature reviewed, the key observations are made as follows: (1) The existing literature on ESG rating mainly focuses on a single-dimension weighted sum of a unified ESG framework, which lacks the flexibility and wider company coverage considering the varied ESG disclosure levels by listed companies; (2) existing research on blockchain-based sustainability application is still at the infancy stage despite many insightful blockchain framework proposals. To fill this gap, this research aims to develop a DESGI model for corporate sustainability assessment using Hyperledger Fabric.

3. Modeling of Dual ESG Index

This section introduces the modeling of the DESGI by integrating ESG credit and ESG GPA. First, we provide an analogy between academic credit and the ESG ecosystem, and we analyze the advantages and disadvantages of the academic credit system for its application to the ESG ecosystem. Second, we define the DESGI concepts such as ESG degree, ESG GPA, and ESG credit. Third, the DESGI fusion model is built using ESG credit and ESG GPA.

3.1. Analogy from Academic Credit System to ESG Ecosystem

The academic credit system can be traced back to Germany in the early 1900s when educator Humboldt put forward the propositions of “freedom of teaching” and “freedom of learning” [48]. The academic credit system allows students to choose from the prescribed courses [49]. Two key dimensions measure the course performance: GPA and credits. GPA measures the depth/quality of the holistic course performance, while credit measures the width of course performance. Moreover, an academic degree is somehow determined by the accumulated course credits.
To borrow the rationales and concepts from the academic credit system into the ESG ecosystem, we made an analogy between the academic credit system and the ESG ecosystem, as shown in Figure 1. In the academic credit system, the students need to enroll in the relevant courses and take the exams while the teachers assess the student’s academic performance. Moreover, total course credits and GPA are two key criteria to evaluate the students’ academic performances. In the ESG ecosystem, likewise, the listed companies need to select relevant ESG metrics and conduct ESG reporting, while the ESG rating agencies assess the ESG index of the listed companies. Therefore, both systems share many similarities, and some concepts could be mirrored below:
  • Curriculum vs. ESG guide/framework. The curriculum refers to the guidelines provided by an education board for a student in a specific faculty while undergoing a particular program. The ESG guides/frameworks refer to the guidelines provided by international organizations or stock exchanges for listed companies to conduct ESG reporting, such as the Global Reporting Initiative (GRI), Sustainability Accounting Standards Board (SASB), Task Force on Climate-Related Financial Disclosures (TCFD), etc.;
  • Course vs. ESG metrics. The course refers to the subjects taken by students, such as linear algebra. The ESG metrics refer to the ESG elements in the middle level, such as energy consumption;
  • Credit vs. Weight. Credit refers to a unit that gives weight to an academic course taken at a school or other educational institution. The weight of ESG metrics is used to measure the comparative importance of ESG metrics. They share a similar function but are different in value range;
  • GPA vs. ESG index. The overall GPA is obtained by integrating each course’s GPA, just as the ESG index is calculated from the ESG metrics performance.
Through the analogy, the academic credit system is applicable to the ESG rating. Moreover, the major advantages and disadvantages of applying the academic credit system to ESG rating are identified from previous studies. On the one hand, the advantages that can bring to the ESG rating include flexibility in the ESG assessment framework [29], adaptability to listed companies in different scales and industries [50], rigor in disclosing necessary ESG metrics [51], and dual-dimension assessment (credit and GPA) [52]. On the other hand, the disadvantage that can be transformed into an ESG rating is the increased complexities in ESG rating. For example, compared with traditional single-dimension assessment, the DESGI needs to first confirm how many ESG metrics the listed companies have disclosed and then calculate how many ESG GPA/credits the listed companies can obtain according to the ESG metrics categories. In summary, the DESGI framework can bring more benefits such as flexible ESG assessment framework, broadened company coverage, comprehensive ESG assessment despite the increased assessment complexity.

3.2. Definition of Key DESGI Concepts

Table 1 presents the credit and GPA-inspired ESG concepts based on the analogical reasoning method. Most credit and GPA-inspired ESG concepts can directly map with the concepts of the ESG ecosystem, such as ESG guide, ESG metrics, etc. But, two novel ESG concepts are inferred and defined: ESG degree and ESG course category, which do not exist in the traditional ESG ecosystem.
An academic degree is useful to provide employers with the recognition of students’ professional levels. Likewise, an ESG degree, as a positioning indicator, is designed to provide an incremental hierarchical ESG framework with four levels, including a diploma, bachelor’s, master’s, and doctorate degree. For example, investors require an ESG master’s degree or above when investing in high-polluting manufacturing industries. The ESG degree is assessed by ESG rating agencies based on the earned ESG credits. The higher the ESG degree is, the wider the ESG disclosure is.

3.3. DESGI Model

Figure 2 presents the DESGI fusion workflow through the ESG credit and GPA. The left side of Figure 2 shows the ESG credit assessment. To assess if the listed company can obtain the ESG credits, the ESG rating agency (rater, in short) needs firstly to acquire ESG reports from the blockchain system. Then, the rater selects the newest version ESG curriculum to guide the assessment activities. In addition, the ESG courses are enrolled into the five ESG course categories using the data in ESG reports. Thus, the selected ESG credits by the listed companies could be determined based on the enrolled ESG courses. The eligible ESG courses will be sent to conduct the GPA assessment. If the courses’ GPA value is no less than one, the relevant ESG credits will be distributed to the listed company. The middle side of Figure 2 presents the ESG GPA assessment. To calculate the overall ESG-GPA, there are four steps: ESG data preprocessing, smart contract creation for ESG course assessment, GPA calculation of ESG course, and overall ESG GPA calculation.
The right side of Figure 2 provides the DESGI fusion process using ESG credit and ESG GPA. Equation (1) presents the model to calculate the DESGI following the Hurwicz criterion principle [53].
D E S G I = α × C r e d i t 50 + β × G P A
where α and β refer to the adjustive parameters of the ESG credit and ESG GPA, respectively. The adjustive parameters could be determined by investor preferences. C r e d i t refers to all the ESG credits obtained by a listed company. G P A refers to the overall ESG GPA of a listed company.
The obtained values of ESG credits are divided into four ESG degrees, including diplomas, bachelor’s, master’s, and doctorate. For example, once the obtained ESG credits are between 100 to 150, the listed company can obtain the ESG bachelor’s degree. To normalize the effect between ESG credit and GPA in DESGI, the values of ESG credits are divided by 50, which is the minimum number of credits required by the ESG diploma. The ESG GPA adopts the 4.0 credit mechanism, which is like the university GPA system. At the same time, the GPA values are divided into four levels: Fail, Pass, Good, and Excellent. The red area in the Figure refers to that the listed companies have ESG credits between 100 to 150 as a “Bachelor” degree and obtain an ESG GPA value between 2.0 to 3.0 as a “Good” level.

4. Framework of Blockchain-Based DESGI

Figure 3 presents the framework of the blockchain-based DESGI, which inherited the blockchain infrastructure and apparel scenario from previous research [33]. The blockchain-based DESGI framework consists of three main layers: ESG data sources, key blockchain-based DESGI, and key users.
Firstly, ESG data sources are collected from the apparel factory. According to the initial investigation in the collaborating apparel company, the ESG data are usually collected with two methods: IoT technologies for environmental data collection (e.g., smart electricity meter, smart water meter, etc.) and enterprise information systems for the social and governance data collection, such as Enterprise Resources Planning (ERP), Manufacturing Execution System (MES), and Human Resources System (HRS).
Secondly, the blockchain-based DESGI is built based on the Hyperledger Fabric due to its advantages of flexibility and high efficiency. The core blockchain constructs include distributed ledger, smart contract, crypto token, blockchain monitoring, and Interplanetary File System (IPFS). The blockchain ledger is used to store and share ESG data among ESG stakeholders in an immutable and transparent manner. The smart contract is used to assess the ESG GPA based on the predefined ESG rules. The crypto token is used to quantify the ESG credits obtained by the listed companies. Blockchain monitoring is developed based on Hyperledger Explorer. IPFS is used as a repository for large-size files, such as ESG reports, real-time environmental data, etc. Finally, DESGI is integrated by ESG GPA, ESG credits, and investor preference parameters.
Thirdly, ESG assessment service is designed for a certain type of user, including DESGI fusion service, rule-based ESG GPA assessment service, and performance-based ESG credit assessment service. For instance, the DESGI fusion service is designed for external ESG stakeholders (e.g., investors) to present the overall E-S-G-DESGI performance, check the historical DESGI performance, and compare the peer DESGI performance. In contrast, rule-based ESG GPA assessment services and performance-based ESG credit assessment services are backed services enabled by smart contracts.

4.1. ESG GPA Assessment Using Smart Contract

Inspired by the academic GPA assessment method, Equation (2) shows the assessment of the overall ESG GPA:
E S G G P A i = C j × G i j C j
where E S G G P A i refers to the overall ESG GPA of the i t h company, C j refers to the credit of j t h ESG course, G i j refers to the j t h ESG course of the i t h company.
Figure 4 presents the ESG GPA assessment using the rule-based versioning smart contract. The left side of the Figure discusses the creation of the versioning smart contract for ESG GPA assessment processes, including smart contract definition, configuration, deployment, and execution. The ESG GPA assessment rules borrow the practices in the academic credit system. For example, only the top 5% of listed companies obtain a GPA “of 4.0”, and the listed companies ranging from 5% to 15% obtain a GPA “of 3.5”, etc., which provides the ranking foundation for ESG course assessment. The right side of the Figure presents the code sample of the versioning smart contract for the ESG GPA assessment. The input of the smart contract is the ESG data, while the output is the ESG GPA. There are five steps to achieve the smart contract-enabled ESG GPA assessment:
  • Step 1: Standardize the ESG course. There are ESG data types, including string, numerical, and Boolean. It is necessary to standardize the raw ESG data in the ESG course;
  • Step 2: Rank the ESG data. The rule-based ranking method provides a foundation to distinguish ESG performances based on grade proportions. Therefore, the ESG courses are evaluated by this simple but effective approach;
  • Step 3: Give the grade point to listed companies based on the ranking. The ESG course GPA will be distributed to each listed company using the smart contract rules from the ranking results;
  • Step 4: Repeat Step 1 to Step 3 until all ESG data are assessed;
  • Step 5: Calculate the overall ESG GPA using G P A = C j   ×   G j C j , in which C j refers to the selected ESG credits assessed by the rater.

4.2. ESG Credit Assessment Using Crypto Token

Figure 5 presents the workflow of ESG credit assessment using crypto tokens. It includes two processes: ESG credit assessment and ESG degree assessment. ESG credit assessment determines how many crypto tokens the listed company can earn according to the passed ESG courses’ credits. Based on the ESG credits assessment, the ESG degree assessment determines which types of ESG degrees confer to the listed companies to demonstrate the ESG disclosure levels.
To assess the ESG credits obtained by a listed company, there are five steps. Firstly, we need to confirm the ESG courses selected by the listed company. Secondly, the ESG GPAs of these selected ESG courses are uploaded into the ESG GPA verifier. Notably, the ESG GPA verifier has a system administrator with massive mined crypto tokens, and it is used to assess if the ESG GPA value is no less than one. If the ESG GPA value is not less than one, the system administrator will transfer the tokens to the listed company according to the ESG course’s credits. At the same time, the transaction of the passed ESG course by the listed company will be sent to the ledger, while the “World State” will be updated to record the accumulated ESG credits in the listed company account. If the ESG GPA value is less than one, the system administrator will send a transaction to the ledger to record the failed ESG course of the listed company, while the “World State” will not be updated since there is no token transferring.
To assess the ESG degree, the smart contract needs to verify the total ESG credits obtained by the listed company. As designed in Figure 2, the threshold of ESG credits for ESG bachelor, master, and doctorate degrees are 100, 150, and 200, respectively. Moreover, certain requirements can be checked such as the minimum credits requirements in the compulsory course category, which are beneficial to fight greenwashing. Finally, the listed company can be conferred with the relevant ESG degree as a certificate to demonstrate its width of ESG disclosure level.

5. Case Study

The textile and apparel industry is considered to be one of the world’s most polluting industries, where various ESG challenges are met e.g., hazardous waste, carbon emission, and even child labor, etc. Motivated by this consideration, the research team, along with the collaborating companies in the textile and apparel industry, work together on an ongoing blockchain ESG project to lead the industry towards a transparent ESG rating environment and benchmark ESG performances. Therefore, the case study selects the textile and apparel industry to verify the feasibility of DESGI.

5.1. ESG Data Source

ESG data source is collected from ESG reports of 80 textiles and apparel listed companies in 2021. These companies are selected based on three considerations: (1) wide geographic varieties; (2) varied market capabilities; (3) maximum overlapped companies with existing ESG ratings. The collected raw ESG data are accessible using the GitHub link (https://github.com/Levis62/DESGI-dataset.git), (accessed on 20 April 2023). After the ESG data collection, Table 2 shows the ESG data preprocessing methods.
The ESG data can be categorized into three types: Numerical, Boolean, and String. Firstly, numerical data contain the KPIs with two value types: benefit criteria (the larger, the better) and cost criteria (the smaller, the better). Secondly, Boolean data refer to the KPIs with an answer such as disclosed/non-disclosed, yes/no, and true/false. Thirdly, string data refer to the descriptive ESG data, such as product responsibility, anti-corruption, etc. The three types of ESG data are preprocessed using the following methods:
  • The numerical KPI is transformed into the data intensity to make the data comparable. The data intensity provides an equal comparison regardless of company scale and unit standard. For example, GHG emission intensity is calculated using the total GHG emission value to divide the total revenue;
  • The Boolean KPI refers to the ESG criteria that are disclosed or not. The disclosed data are represented by “1”, while the non-disclosed data are represented by “0”;
  • The string KPI refers to the descriptive ESG data. The string data are classified into three categories: hard information, soft information, and missing information. Currently, the classification of the three categories of ESG criteria is confirmed manually.
After the data preprocessing, the standardized ESG data will be uploaded into the blockchain system. Then, the predefined smart contracts handle the standardized ESG data based on predefined ESG GPA rules. Finally, listed companies can obtain relevant E-S-G GPA and credits.
To achieve the DESGI assessment, we construct the three ESG curriculums for ESG bachelor, master, and doctorate degrees in the textiles and apparel industry, which can be checked in the below link (https://github.com/Levis62/DESGI-dataset.git), (accessed on 20 April 2023). Inspired by [54], the design principle of the ESG curriculums is “The higher the ESG degree is, the more ESG courses are needed”. Specifically, (1) ESG bachelor’s curriculum contains the basic quantities of ESG courses required by the stock exchange; (2) ESG master’s curriculum contains the middle quantities of ESG courses by inheriting the ESG bachelor’s curriculum and referencing the GRI Sustainability Reporting Standards due to its wide adoption in ESG industry; (3) ESG doctorate curriculum contains the most quantities of ESG courses by inheriting the ESG master’s curriculum and referencing SASB standards since it provides industry/sector-specific ESG disclosures. As a result, the three ESG curriculums construct the incremental ESG framework. To demonstrate the feasibility of the DESGI, an assumption is made: the credit of all ESG courses is equal to 6. The impact of different ESG credits on the ESG course will be conducted using sensitivity analysis. For applying the DESGI model in other industries, the ESG curriculums need to be updated according to industry standards. The higher the ESG degree is, the more industrial ESG metrics are involved. But, the DESGI assessment principle and methodology will stay the same as the textiles and apparel industry.

5.2. Blockchain-Based DESGI Implementation

Based on the framework proposed in Section 4, this section presents the blockchain-based DESGI implementation, including the prerequisites, development and deployment environments, and technologies used for the development and deployment of the blockchain-based DESGI.
Table 3 presents the development and deployment environments for the blockchain-based DESGI. In the development stage, Visual Studio Code is used as the integrated development environment, based on the development method of back-end and front-end separation, to accelerate the development process. We chose Hyperledger Fabric 2.2 as a back-end platform because it is a long-time support distributed ledger solution with high degrees of confidentiality, flexibility, and scalability. In the front end, we use the React.js framework to develop various DESGI services, which can be checked in the following sections. In the deployment stage, the blockchain-based DESGI is deployed in Ubuntu Linux 20.04 (64 bits, 4 CPUs, 4 GB RAM, 40 GB ROM). The DESGI contains three nodes, including the listed company node, ESG rater node, and platform servicer node. The behavior of the BESG platform is monitored by Hyperledger Explorer. We have set the consensus algorithm as Raft due to its high performance.
Figure 6 presents the interaction between the DESGI service and the Hyperledger blockchain. The top side of Figure 6 shows the front-end interface of the DESGI service. It is designed to track ESG performances from historical and peer perspectives. The ESG raters can easily check the DESGI performances of a specific company and compare these performances with its peers by clicking the “View”, and “Compare” buttons. Notably, the front-end interface includes the DESGI performances of 80 listed textile companies, including ESG GPA, ESG credits, DESGI, etc. The adjustable investor preferences (α and β) are used to integrate the ESG GPA and ESG credits into the DESGI. The total ESG credits are quantified by the blockchain token based on the obtained ESG course credits so as to determine the final ESG degrees. The bottom side of Figure 6 shows the blockchain monitor, which is the back-end of DESGI. It monitors the blockchain running conditions, such as block numbers, transaction numbers, nodes, transaction details, etc. The user of the blockchain monitor is the platform service provider with high access control rights.

5.3. Results Analysis of DESGI

To analyze the DESGI results, we have deeply investigated the DESGIs of the listed companies from three perspectives: DESGI performance, regional distribution, and company size.
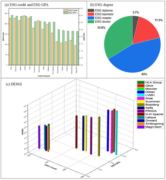
From the DESGI performance perspective, Figure 7 shows the typical assessment results of 15 companies from 80 listed companies in terms of ESG credits, ESG GPAs, and DESGIs. The 15 companies include five top, five middle, and five bottom DESGI performances, respectively. There are three sub-phenomena based on the observation of Figure 7. Firstly, higher ESG credits do not mean a higher ESG GPA, but lower ESG credits mean a lower ESG GPA. This could be explained by the fact that the companies with bottom ESG credits have covered fewer ESG courses below the basic requirements of the ESG guide, so their ESG GPAs will be affected due to the data missing in core ESG courses. It suggests that the wider ESG disclosures by listed companies do not mean a good ESG performance, but fewer ESG disclosures will certainly affect ESG performance. Secondly, a higher ESG degree often means higher DESGI. The ESG degree is determined by the obtained ESG credits. A higher ESG degree means more ESG credits, which implies more ESG consciousness from the listed company’s board. As a result, the listed companies holding an ESG master’s/doctorate degree often have a better ESG performance than the companies holding an ESG bachelor/diploma. It provides insight for the listed companies that hold ESG diplomas to improve their ESG consciousness and strategies. Thirdly, most listed companies obtain ESG master’s and doctorate degrees. It means that, in the selected listed companies, most companies not only follow the ESG guide required by the stock exchange but also have higher ESG standards in ESG reporting.
From the regional distribution perspective, Figure 8a shows the DESGI performances of the listed companies among six regions, including East Asia, the European Union, North America, South and Southern Asia, the United Kingdom, and West Asia. Three observations could be made. Firstly, the listed companies with the top DESGI performances (e.g., DESGI is larger than 4.0) are located in European Union countries, such as Germany, France, and Italy. At the same time, the listed companies in the European Union also show the highest average DESGI performance as “3.52”. It indicates that listed companies in European countries have a holistic high performance over their peers in other regions. They have probably benefited from the multiple laws/rules to regulate business sustainability behaviors. Secondly, the listed companies with the bottom DESGI performances are mainly located in East Asia and Southeast Asian countries such as China, Malaysia, and Thailand. Moreover, the average DESGI performances of listed companies in East Asia and South and Southeast Asia are 3.14 and 3.13, respectively. This indicates that these developing economies need to pay more attention to their business sustainability policies and that there are fewer same-level regulations in Europe in the emerging South Asian markets. Thirdly, the listed companies in North America and the United Kingdom have middle-level DESGI performances of 3.29 and 3.46, respectively. The listed companies in West Asia only have two samples, which are not representative enough to discuss at this stage.
From the company size perspective, we divide the listed companies into three categories based on their market capitalization, as shown in Figure 8b. Among the 80 listed companies, 34 small companies refer to market capitalization below 1000 million US dollars, 29 middle companies refer to their market capitalization between 1000 to 10,000 million US dollars, and 17 large companies refer to their market capitalization over 10,000 million US dollars. Two observations are made based on Figure 8b. On the one hand, it is obvious that large companies not only lead the best DESGI performances but also have the highest average DESGI value of 3.68. Moreover, there is no large company obtaining DESGI values below 3.0. In contrast, 42% of small companies and 21% of middle companies have DESGI values below 3.0. It indicates that large companies have ESG advantages over small and middle companies in terms of resources and capacities. On the other hand, small companies have the lowest average DESGI value of 3.08. However, interestingly, there is still a small company, “Geox SPA”, that has a high DESGI value of 4.04. It indicates that the DESGI can help to identify the good ESG performances from small companies, which are useful to build brand value and attract potential sustainable funding.

5.4. Sensitivity Analysis

The sensitivity analysis is conducted with three objectives: (1) to verify the stability of the proposed DESGI; (2) to discover the potential ESG insights for decision-makers; (3) to validate the DESGI results by comparing them with existing ESG indexes. The sensitivity analysis is organized into three sections. The first section analyzes the influence of the change of the ESG credits on typical ESG criteria, such as GHG emission, supply chain management, anti-corruption, etc. The second section studies the influence of the change in investor preference. The third section compares the DESGI with existing ESG indexes.

5.4.1. Analysis of the Impact of Changing Credits for the ESG Course

The impact of the changing credits for the ESG courses/criteria is analyzed among 15 listed companies, as shown in Figure 9. The 15 companies include companies with 5 top, five middle, and five bottom DESGI performances. Moreover, we selected nine typical ESG courses, including three environmental courses, three social courses, and three governance courses. The credits of ESG courses are formed by scaling the original credit value as [1,3,6,9,12]. In the meantime, the credit values of the remaining ESG courses stay the same as 6.
Based on Figure 9, we observe two interesting phenomena. Firstly, most companies show an increasing DESGI trend as the increasing credits range from 1 to 12. Because increasing credits for ESG courses positively impacts the DESGI value. Secondly, there are different increase rates of DESGI among listed companies. Because GPA value is the increase rate of DESGI, different listed companies usually have different GPA values. Thirdly, it also exists the listed companies which are not sensitive to the changing credits of ESG courses. This is because the listed companies failed in the ESG courses or they did not select the ESG courses, leading to different ESG degrees.

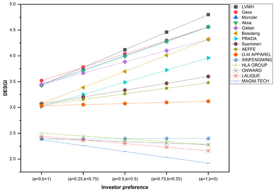
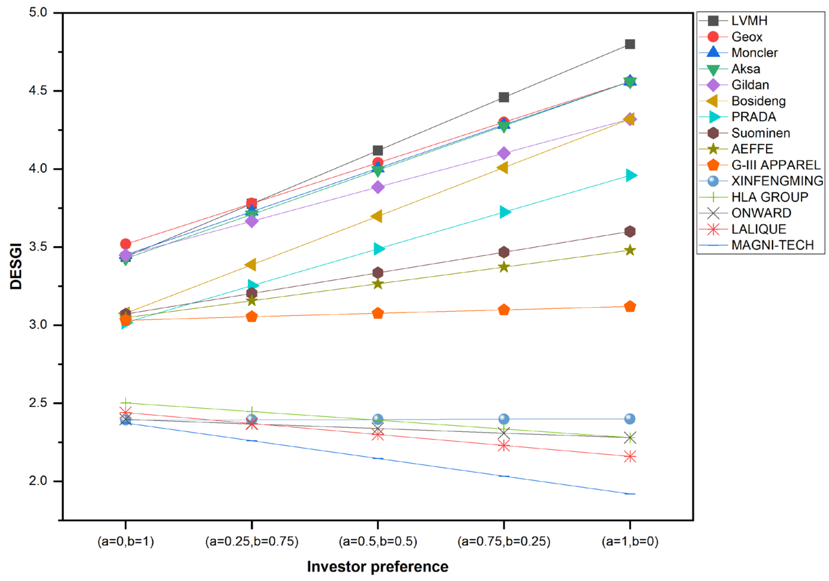
5.4.2. Analysis of the Impact of Investor Preference Parameter

The impact of investor preference on DESGI is analyzed by adjusting two investor preference parameters among the listed companies. The investor preference parameters (α, β) are set in five groups as (1, 0), (0.75, 0.25), (0.5, 0.5), (0.25, 0.75), (0, 1). For example, α = 1 and β = 0 represent the investor only emphasizes the ESG credits, while α = 0 and β = 1 represent the investor emphasizes the ESG GPA, which is basically the same as traditional ESG assessment methodologies.
Figure 10 presents DESGI sensitivity analysis from different investors’ perspectives. Based on Figure 10, there are two key phenomena: (1) The DESGI of each company presents a linear change. Since the changes of α and β represent a different weight combination of ESG credit and ESG GPA, therefore, the DESGI value changes linearly between the ESG credit value and ESG GPA value. (2) Different investors may select different listed companies as the preferred investment portfolio. For example, when α = 0 and β = 1, Geox can be the best candidate, while when α = 0.5 and β = 0.5, LVMH can be the best candidate. In return, it provides the listed companies with useful insight to make suitable ESG strategies for the trade-off between ESG depth and width in ESG disclosures.

5.4.3. Correlation Analysis

To validate the feasibility of the proposed DESGI, Table 3 presents the Spearman correlation analysis between the proposed DESGI and existing ESG indices. The Spearman correlation coefficient is selected due to the advantages of no preference for the sample distribution or sample volumes. DESGI focuses on 80 listed companies from the textiles and apparel industry, among which Bloomberg ESG rating has covered 46 listed companies, Sustainalytics has covered 30 listed companies, S&P Global has covered 56 listed companies, and Refinitiv has covered 69 listed companies. Therefore, the Spearman coefficient is calculated based on the mutual ESG scores.
Three observations could be made based on Table 4. Firstly, most ESG rating results share a strong correlation since the Spearman coefficient value is larger than 0.6. It indicates that the mainstream ESG rating agencies share consistent ESG assessment results in the textiles and apparel industry. Secondly, Sustainalytics has the lowest correlation with other ESG rating results. This phenomenon could be explained by the fact that Sustainalytics aims to reveal the ESG risks of listed companies, which has a big difference in ESG assessment framework/metrics with other ESG rating methodologies. Thirdly, most existing ESG Indexes (e.g., Bloomberg, S&P Global, Refinitiv) have a strong correlation with the DESGI ranging from 0.646 to 0.726. This result could demonstrate that there is a good consistent level between DESGI and existing ESG indexes.

5.5. Discussion and Implication

Based on the case study, three key findings and the implications are summarized. They could be useful for various ESG stakeholders to optimize ESG strategic and operational decisions.
Firstly, the DESGI performances of textile companies present two interesting features: regional differences and company-size differences. On the one hand, the DESGI performances of textiles and apparel companies in Europe are usually more advantageous than those in developing areas, such as China, Malaysia, and Thailand. This indicates that European areas usually have stricter ESG requirements rather other regions. From a national ESG policy view, more ESG policies are needed in East and Southeast Asia. On the other hand, large multinational companies usually perform better in relation to ESG credits rather than DESGI performances. Large multinational companies tend to issue more ESG information to avoid potential law risks since they have many overseas businesses.
Secondly, DESGI provides a comprehensive ESG measurement by integrating the ESG credits and ESG GPAs. Through the investor preference parameters, the DESGI not only contains the function of traditional ESG rating using a weighted sum of ESG metrics but also provides a width and depth measurement by integrating ESG credits and ESG GPA. As a result, the DESGI broadens the scope of assessed companies by layering them into different ESG degrees since they have different ESG disclosure levels.
Thirdly, blockchain provides a reliable and transparent DESGI assessment service. A smart contract is used to achieve the rule-based ESG GPA assessment, while the crypto token is used to quantify the ESG credit assessment. Moreover, compared with the traditional centralized database, blockchain offers transparency and traceability from raw ESG data collection to ESG score generation, which provides the potential to fight greenwashing.

6. Conclusions

This paper introduces a DESGI model by borrowing the rationale and concepts from the academic credit system. Through the analogy from the academic credit system to the ESG ecosystem, we develop the DESGI model by integrating ESG credits and ESG GPA. Blockchain-based DESGI is implemented using Hyperledger Fabric, in which smart contracts and crypto tokens are used for ESG GPA assessment and ESG credit assessment, respectively. Based on real ESG data from textiles and apparel 80 listed companies in 2021, the case study is carried out to verify the feasibility and stability of the proposed DESGI model. The sensitivity analysis proves the stability of the DESGI model to reflect the ESG performances with different investment preferences, while the correlation analysis presents the strong correlation between DESGI and existing ESG indexes.
Three contributions of this paper are summarized as follows: (1) This paper contributes a novel DESGI model by integrating a dual-dimensional ESG assessment in terms of ESG depth and width. It not only measures the depth of corporate ESG disclosures using ESG GPA but also quantifies the width of corporate ESG disclosures using ESG credits. Compared with traditional ESG Indexes, the DESGI provides a more comprehensive ESG measurement. (2) DESGI enables a flexible ESG assessment framework, which greatly expands the scopes of companies evaluated by ESG criteria. Traditional ESG frameworks are constructed using a united hierarchical framework with hundreds of ESG metrics, which usually focus on the minority of large-size listed companies. DESGI provides hierarchical ESG frameworks by introducing ESG degree (bachelor’s, master’s, and doctorate) concepts considering the different ESG disclosure levels of companies. As a result, not only can more companies be measured by the DESGI framework, but DESGI can also identify the ESG elites who disclose fewer ESG metrics but with excellent ESG performances. This is meaningful in real-world applications, especially for small or middle enterprises (SMEs) to seek sustainable investment. Because SMEs may not have abundant resources for massive ESG metrics disclosures. By adopting DESGI, the SMEs can select a suitable DESIGN framework to disclose the ESG metrics with an acceptable economic and manpower input. (3) Blockchain-based DESGI is proven feasible through the case study using real ESG data. Compared with the previous centralized databases, blockchain provides transparency and traceability for ESG stakeholders, which provides the potential to fight greenwashing.
Future research could be extended from three aspects. Firstly, varied ESG credits are worthy of being explored. It is worth exploring the impact of different ESG course credits on DESGI, which is more practical to real ESG rating scenarios. Secondly, data-driven ESG analytics can provide a great advantage in revealing ESG data insights. More ESG historical data are needed to confirm the ESG credits without subjective preferences under the DESGI framework. Thirdly, real-time ESG risk assessment could be integrated into the DESGI framework. The ESG risk events could happen to a listed company at any time. It is necessary to advance the DESGI to timely reflect the ESG risk index of the listed companies.

Author Contributions

X.L.: Conceptualization, Methodology, Writing—Original Draft. W.L.: Investigation, Validation. Y.F.: Supervision, Writing—Review and Editing. G.Q.H.: Project administration, Supervision, Writing—Review and Editing. All authors have read and agreed to the published version of the manuscript.

Funding

Our work is financially supported by the Guangdong Basic and Applied Basic Research Foundation (No. 2022A1515010232), the Innovation and Technology Fund (No. ITP/021/20LP), the HKR RGC TRS project (No. T32-707/22-N), Philosophy and Social Science Planning Project of Guangdong Province (No. GD22XYJ33), and Shenzhen “Fourteenth Five-Year Plan” educational scientific planning project (No. dwzz22156).

Institutional Review Board Statement

Not applicable.

Informed Consent Statement

Not applicable.

Data Availability Statement

The authors confirm that the data supporting the findings of this study are available within the article.

Conflicts of Interest

Author Wenbiao Liang was employed by the company Nari Group Co., Ltd. The remaining authors declare that the research was conducted in the absence of any commercial or financial relationships that could be construed as a potential conflict of interest.

References

  1. Eccles, R.G.; Klimenko, S. The investor revolution. Harv. Bus. Rev. 2019, 97, 106–116. [Google Scholar]
  2. Opferkuch, K.; Caeiro, S.; Salomone, R.; Ramos, T.B. Circular economy disclosure in corporate sustainability reports: The case of European companies in sustainability rankings. Sustain. Prod. Consum. 2022, 32, 436–456. [Google Scholar] [CrossRef]
  3. Giannopoulos, G.; Kihle Fagernes, R.V.; Elmarzouky, M.; Afzal Hossain, K.A.B.M. The ESG Disclosure and the Financial Performance of Norwegian Listed Firms. J. Risk Financ. Manag. 2022, 15, 237. [Google Scholar] [CrossRef]
  4. Christensen, D.M.; Serafeim, G.; Sikochi, A. Why is corporate virtue in the eye of the beholder? The case of ESG ratings. Account. Rev. 2022, 97, 147–175. [Google Scholar] [CrossRef]
  5. Giese, G.; Lee, L.-E.; Melas, D.; Nagy, Z.; Nishikawa, L. Foundations of ESG investing: How ESG affects equity valuation, risk, and performance. J. Portf. Manag. 2019, 45, 69–83. [Google Scholar] [CrossRef]
  6. Zhang, X.; Zhao, X.; Qu, L. Do green policies catalyze green investment? Evidence from ESG investing developments in China. Econ. Lett. 2021, 207, 110028. [Google Scholar] [CrossRef]
  7. Alda, M. The environmental, social, and governance (ESG) dimension of firms in which social responsible investment (SRI) and conventional pension funds invest: The mainstream SRI and the ESG inclusion. J. Clean. Prod. 2021, 298, 126812. [Google Scholar] [CrossRef]
  8. Tang, D.Y.; Yan, J.; Yao, C.Y. The Determinants of ESG Ratings: Rater Ownership Matters. In Proceedings of the Paris December 2021 Finance Meeting EUROFIDAI-ESSEC, Online, 16 December 2021. [Google Scholar] [CrossRef]
  9. Stubbs, W.; Rogers, P. Lifting the veil on environment-social-governance rating methods. Soc. Responsib. J. 2013, 9, 622–640. [Google Scholar] [CrossRef]
  10. MSCI. MSCI ESG Ratings Methodology. Available online: https://www.msci.com/documents/1296102/21901542/MSCI+ESG+Ratings+Methodology+-+Exec+Summary+Nov+2020.pdf (accessed on 15 December 2023).
  11. Refinitiv. Environmental, Social and Governance (Esg) Scores from LSEG; LSEG Data & Analytics: Toronto, ON, Canada, 2020; Available online: https://www.refinitiv.com/content/dam/marketing/en_us/documents/methodology/refinitiv-esg-scores-methodology.pdf (accessed on 15 December 2023).
  12. Sustainalytics. ESG Risk Ratings Methodology. Available online: https://www.sustainalytics.com/esg-data (accessed on 1 December 2023).
  13. Zhou, L.; Tokos, H.; Krajnc, D.; Yang, Y. Sustainability performance evaluation in industry by composite sustainability index. Clean Technol. Environ. Policy 2012, 14, 789–803. [Google Scholar] [CrossRef]
  14. Sokolov, A.; Caverly, K.; Mostovoy, J.; Fahoum, T.; Seco, L. Weak Supervision and Black-Litterman for Automated ESG Portfolio Construction. J. Financ. Data Sci. 2021, 3, 129–138. [Google Scholar] [CrossRef]
  15. Boffo, R.; Patalano, R. ESG Investing: Practices, Progress and Challenges; OECD Paris: Paris, France, 2020. [Google Scholar]
  16. Louche, C.; Delautre, G.; Pimentel, G.B. Assessing companies’ practices on decent work: An analysis of ESG rating methodologies. Int. Labour Rev. 2022, 162, 69–97. [Google Scholar] [CrossRef]
  17. Drempetic, S.; Klein, C.; Zwergel, B. The Influence of Firm Size on the ESG Score: Corporate Sustainability Ratings Under Review. J. Bus. Ethics 2019, 167, 333–360. [Google Scholar] [CrossRef]
  18. Serafeim, G. ESG: Hyperboles and Reality; Harvard Business School: Boston, MA, USA, 2021; pp. 22–31. [Google Scholar]
  19. Abdul Rahman, R.; Alsayegh, M.F. Determinants of Corporate Environment, Social and Governance (ESG) Reporting among Asian Firms. J. Risk Financ. Manag. 2021, 14, 167. [Google Scholar] [CrossRef]
  20. Tsang, Y.P.; Fan, Y.; Feng, Z.P. Bridging the gap: Building environmental, social and governance capabilities in small and medium logistics companies. J. Environ. Manag. 2023, 338, 117758. [Google Scholar] [CrossRef] [PubMed]
  21. Ortiz-Martínez, E.; Marín-Hernández, S.; Santos-Jaén, J.-M. Sustainability, corporate social responsibility, non-financial reporting and company performance: Relationships and mediating effects in Spanish small and medium sized enterprises. Sustain. Prod. Consum. 2023, 35, 349–364. [Google Scholar] [CrossRef]
  22. Chen, Y.-S.; Cheng, C.-H. Hybrid models based on rough set classifiers for setting credit rating decision rules in the global banking industry. Knowl. -Based Syst. 2013, 39, 224–239. [Google Scholar] [CrossRef]
  23. Park, S.R.; Jang, J.Y. The impact of ESG management on investment decision: Institutional investors’ perceptions of country-specific ESG criteria. Int. J. Financ. Stud. 2021, 9, 48. [Google Scholar] [CrossRef]
  24. King, C.W. An integrated biophysical and economic modeling framework for long-term sustainability analysis: The HARMONEY model. Ecol. Econ. 2020, 169, 106464. [Google Scholar] [CrossRef]
  25. Sood, K.; Pathak, P.; Jain, J.; Gupta, S. How does an investor prioritize ESG factors in India? An assessment based on fuzzy AHP. Manag. Financ. 2022, 49, 66–87. [Google Scholar] [CrossRef]
  26. Peterson, D.L. Transparency and Impact: The Essential Principles of ESG. Available online: https://www.spglobal.com/esg/insights/transparency-and-impact (accessed on 21 March 2022).
  27. de Freitas Netto, S.V.; Sobral, M.F.F.; Ribeiro, A.R.B.; Soares, G.R.d.L. Concepts and forms of greenwashing: A systematic review. Environ. Sci. Eur. 2020, 32, 19. [Google Scholar] [CrossRef]
  28. Dmuchowski, P.; Dmuchowski, W.; Baczewska-Dabrowska, A.H.; Gworek, B. Environmental, social, and governance (ESG) model; impacts and sustainable investment—Global trends and Poland’s perspective. J. Environ. Manag. 2023, 329, 117023. [Google Scholar] [CrossRef]
  29. Hasan, M.; Parvez, M. Choice-Based Credit System in India: Pros and Cons. J. Educ. Pract. 2015, 6, 30–33. [Google Scholar]
  30. Yontar, E. Critical success factor analysis of blockchain technology in agri-food supply chain management: A circular economy perspective. J. Environ. Manag. 2023, 330, 117173. [Google Scholar] [CrossRef] [PubMed]
  31. Kaldas, O.; Shihata, L.A.; Kiefer, J. An index-based sustainability assessment framework for manufacturing organizations. Procedia CIRP 2021, 97, 235–240. [Google Scholar] [CrossRef]
  32. Tuni, A.; Rentizelas, A.; Chinese, D. An integrative approach to assess environmental and economic sustainability in multi-tier supply chains. Prod. Plan. Control. 2019, 31, 861–882. [Google Scholar] [CrossRef]
  33. Liu, X.; Yang, Y.; Jiang, Y.; Fu, Y.; Zhong, R.Y.; Li, M.; Huang, G.Q. Data-driven ESG assessment for blockchain services: A comparative study in textiles and apparel industry. Resour. Conserv. Recycl. 2023, 190, 106837. [Google Scholar] [CrossRef]
  34. Ahi, P.; Searcy, C.; Jaber, M.Y. A Quantitative Approach for Assessing Sustainability Performance of Corporations. Ecol. Econ. 2018, 152, 336–346. [Google Scholar] [CrossRef]
  35. Sokolov, A.; Mostovoy, J.; Ding, J.; Seco, L. Building Machine Learning Systems for Automated ESG Scoring. J. Impact ESG Investig. 2021, 1, 39–50. [Google Scholar] [CrossRef]
  36. García, F.; González-Bueno, J.; Guijarro, F.; Oliver, J. Forecasting the Environmental, Social, and Governance Rating of Firms by Using Corporate Financial Performance Variables: A Rough Set Approach. Sustainability 2020, 12, 3324. [Google Scholar] [CrossRef]
  37. García García, F.; Gankova-Ivanova, T.; González-Bueno, J.; Oliver-Muncharaz, J.; Tamosiuniene, R. What is the cost of maximizing ESG performance in the portfolio selection strategy? The case of The Dow Jones Index average stocks. Enterpreneurship Sustain. Issues 2022, 9, 178–192. [Google Scholar] [CrossRef]
  38. Athari, S.A. Does the sovereign environmental, social, and governance sustainability activities jeopardize the banking sector’s stability: Evidence from the Arab economies. Sustain. Futures 2024, 7, 100204. [Google Scholar] [CrossRef]
  39. Athari, S.A.; Saliba, C.; Abboud, E.; El-Bayaa, N. Examining the Quadratic Impact of Sovereign Environmental, Social, and Governance Practices on Firms’ Profitability: New Insights from the Financial Industry in Gulf Cooperation Council Countries. Sustainability 2024, 16, 2783. [Google Scholar] [CrossRef]
  40. Nakamoto, S. Bitcoin: A Peer-to-Peer Electronic Cash System. 2009. Available online: https://git.dhimmel.com/bitcoin-whitepaper/ (accessed on 31 October 2008).
  41. Alshahrani, H.; Islam, N.; Syed, D.; Sulaiman, A.; Al Reshan, M.S.; Rajab, K.; Shaikh, A.; Shuja-Uddin, J.; Soomro, A. Sustainability in Blockchain: A Systematic Literature Review on Scalability and Power Consumption Issues. Energies 2023, 16, 1510. [Google Scholar] [CrossRef]
  42. Xie, J.; Yu, F.R.; Huang, T.; Xie, R.; Liu, J.; Liu, Y. A Survey on the Scalability of Blockchain Systems. IEEE Netw. 2019, 33, 166–173. [Google Scholar] [CrossRef]
  43. Khan, D.; Jung, L.T.; Hashmani, M.A. Systematic Literature Review of Challenges in Blockchain Scalability. Appl. Sci. 2021, 11, 9372. [Google Scholar] [CrossRef]
  44. Ucbas, Y.; Eleyan, A.; Hammoudeh, M.; Alohaly, M. Performance and Scalability Analysis of Ethereum and Hyperledger Fabric. IEEE Access 2023, 11, 67156–67167. [Google Scholar] [CrossRef]
  45. Raghav; Andola, N.; Venkatesan, S.; Verma, S. PoEWAL: A lightweight consensus mechanism for blockchain in IoT. Pervasive Mob. Comput. 2020, 69, 101291. [Google Scholar] [CrossRef]
  46. Mukherjee, A.A.; Singh, R.K.; Mishra, R.; Bag, S. Application of blockchain technology for sustainability development in agricultural supply chain: Justification framework. Oper. Manag. Res. 2021, 15, 46–61. [Google Scholar] [CrossRef]
  47. Shojaei, A.; Wang, J.; Fenner, A. Exploring the feasibility of blockchain technology as an infrastructure for improving built asset sustainability. Built Environ. Proj. Asset Manag. 2019, 10, 184–199. [Google Scholar] [CrossRef]
  48. Harris, J. Brief History of American Academic Credit System: A Recipe for Incoherence in Student Learning; ERIC: Washington, DC, USA, 2002. [Google Scholar]
  49. Aithal, P.; Kumar, P. Analysis of choice based credit system in higher education. Int. J. Eng. Res. Mod. Educ. 2016, 1, 278–284. [Google Scholar] [CrossRef]
  50. Chan, B.; Keat, O.B. Academic Credit System in Contributing to Online Self-Regulated Learning in China. J. Manag. Sci. 2020, 18, 66–71. [Google Scholar] [CrossRef]
  51. Henrich, J. Competency-based education: The employers’ perspective of higher education. J. Competency-Based Educ. 2016, 1, 122–129. [Google Scholar] [CrossRef]
  52. Biswas, S. Choices Based Credit System (CBCS)—An analytical study. Int. J. Res. Anal. Rev. 2018, 5, 1362–1368. [Google Scholar]
  53. Hurwicz, L. The generalized Bayes minimax principle: A criterion for decision making under uncertainty. Cowles Comm. Discuss. Paper Stat. 1951, 335, 1950. [Google Scholar]
  54. Rahdari, A.H.; Anvary Rostamy, A.A. Designing a general set of sustainability indicators at the corporate level. J. Clean. Prod. 2015, 108, 757–771. [Google Scholar] [CrossRef]
Figure 1. The analogy between the academic credit system and the ESG ecosystem.
Figure 1. The analogy between the academic credit system and the ESG ecosystem.
Sustainability 16 04272 g001
Figure 2. DESGI fusion workflow through ESG credit and GPA.
Figure 2. DESGI fusion workflow through ESG credit and GPA.
Sustainability 16 04272 g002
Figure 3. Blockchain-based DESGI framework.
Figure 3. Blockchain-based DESGI framework.
Sustainability 16 04272 g003
Figure 4. ESG GPA assessment using a rule-based versioning smart contract.
Figure 4. ESG GPA assessment using a rule-based versioning smart contract.
Sustainability 16 04272 g004
Figure 5. The workflow of ESG credit assessment using crypto tokens.
Figure 5. The workflow of ESG credit assessment using crypto tokens.
Sustainability 16 04272 g005
Figure 6. The implementation of blockchain-based DESGI service.
Figure 6. The implementation of blockchain-based DESGI service.
Sustainability 16 04272 g006
Figure 7. The typical assessment results of the ESG credits, ESG GPAs, ESG Degrees, and DESGI.
Figure 7. The typical assessment results of the ESG credits, ESG GPAs, ESG Degrees, and DESGI.
Sustainability 16 04272 g007
Figure 8. The DESGI performances among different regional distribution and different-size listed companies.
Figure 8. The DESGI performances among different regional distribution and different-size listed companies.
Sustainability 16 04272 g008
Figure 9. Impact of changing ESG credits on DESGI.
Figure 9. Impact of changing ESG credits on DESGI.
Sustainability 16 04272 g009
Figure 10. DESGI sensitivity analysis from different investors’ perspectives.
Figure 10. DESGI sensitivity analysis from different investors’ perspectives.
Sustainability 16 04272 g010
Table 1. Definition of credit and GPA-inspired ESG concepts.
Table 1. Definition of credit and GPA-inspired ESG concepts.
No.Credit and GPA-Inspired ESG ConceptDefinition
1ESG curriculumRefers to the guidelines with detailed requirements for an ESG degree
2ESG degreeRefers to a positioning indicator to demonstrate the ESG disclosure level
3ESG courseRefers to the ESG metrics with their KPIs
4ESG course categoryDistinguishes the ESG course into different course categories, such as compulsory courses and elective courses.
5ESG creditRefers to the weight of an ESG course
6ESG GPARefers to the overall GPA of all selected ESG courses
Table 2. The ESG data preprocessing and GPA assessment methods.
Table 2. The ESG data preprocessing and GPA assessment methods.
StageData TypeTypical KPIs/CoursesMethod of Data Transformation
Stage I: ESG data preprocessingNumerical KPI
KPI A1.2-GHG emission
KPI B3.1-The percentage of employees trained by gender and employee category
Step 1: Unit standardization;
Step 2: Data intensity transformation
Boolean KPI
KPI A2.2.1-Is there any issue in sourcing water
S c o r e b = 1 ,   v a l u e = D i s c l o s e d / Y e s 0 ,   v a l u e = N u l l / N o
String KPI
KPI B1.1-Total workforce by gender, employment type, age group, and geographical region
S c o r e s = 1 ,   v a l u e = H a r d   i n f o r m a t i o n 0.5 , v a l u e = S o f t   i n f o r m a t i o n 0 ,   v a l u e = N o n d i s c l o s e d / N u l l
Stage II: ESG GPA assessmentThe course with quantitative ESG KPI(s)
A1 GHG emission
Step 1: Rank the quantitative ESG KPIs;
Step 2: Distribute the courses’ GPAs
The course with qualitative ESG KPI(s),
B3 Development and Training
Step   1 :   Calculate   the   disclosure   rate :   D i s c l o s u r e R a t e = N u m b e r s   o f   D i s c l o s e d   K P I s N u m b e r s   o f   T o t a l   K P I s ;
Step 2: Rank the disclosure rate;
Step 3: Distribute the courses’ GPAs
The course with both quantitative and qualitative ESG KPIs
B2 Health and Safety
Step 1: Separate the course KPIs into quantitative KPIs and qualitative KPIs;
Step 2: Process course KPIs using the combined methods above two;
Step 3: Integrate the GPAs of partial quantitative and qualitative ESG KPIs
Table 3. Development and deployment environment for the blockchain-based DESGI.
Table 3. Development and deployment environment for the blockchain-based DESGI.
Implementation StageComponentDescription
DevelopmentIntegrated Development EnvironmentVisual Studio Code
Back-endHyperledger Fabric 2.2
Node.js V0.5.16
Blockchain Monitor: Hyperledger Explorer
Front-end React.js Framework
Operating SystemWindows 10, 64-bit
DeploymentListed company node, ESG rater node, platform servicer nodeUbuntu Linux 20.04 (64 bits, 4 CPUs, 4 GB RAM, 40 GB ROM)
Consensus AlgorithmRaft
Blockchain EnvironmentHyperledger Fabric 2.2
Table 4. Spearman correlation among the DESGI and existing ESG Indexes.
Table 4. Spearman correlation among the DESGI and existing ESG Indexes.
BloombergSustainalyticsS&P GlobalRefinitivDESGI
Bloomberg10.6820.7660.7130.693
Sustainalytics--10.3670.4880.570
S&P Global----10.7970.646
Refinitiv------10.724
DESGI--------1
Disclaimer/Publisher’s Note: The statements, opinions and data contained in all publications are solely those of the individual author(s) and contributor(s) and not of MDPI and/or the editor(s). MDPI and/or the editor(s) disclaim responsibility for any injury to people or property resulting from any ideas, methods, instructions or products referred to in the content.

Share and Cite

MDPI and ACS Style

Liu, X.; Liang, W.; Fu, Y.; Huang, G.Q. Dual Environmental, Social, and Governance (ESG) Index for Corporate Sustainability Assessment Using Blockchain Technology. Sustainability 2024, 16, 4272. https://doi.org/10.3390/su16104272

AMA Style

Liu X, Liang W, Fu Y, Huang GQ. Dual Environmental, Social, and Governance (ESG) Index for Corporate Sustainability Assessment Using Blockchain Technology. Sustainability. 2024; 16(10):4272. https://doi.org/10.3390/su16104272

Chicago/Turabian Style

Liu, Xinlai, Wenbiao Liang, Yelin Fu, and George Q. Huang. 2024. "Dual Environmental, Social, and Governance (ESG) Index for Corporate Sustainability Assessment Using Blockchain Technology" Sustainability 16, no. 10: 4272. https://doi.org/10.3390/su16104272

APA Style

Liu, X., Liang, W., Fu, Y., & Huang, G. Q. (2024). Dual Environmental, Social, and Governance (ESG) Index for Corporate Sustainability Assessment Using Blockchain Technology. Sustainability, 16(10), 4272. https://doi.org/10.3390/su16104272

Note that from the first issue of 2016, this journal uses article numbers instead of page numbers. See further details here.

Article Metrics

Back to TopTop