Evolutionary Game Analysis of Governments’ and Enterprises’ Carbon-Emission Reduction
Abstract
1. Introduction
2. Literature Review
2.1. Game on Carbon-Emission Reduction between Governments and Enterprises
2.2. Evolutionary Game on Carbon-Emission Reduction between Governments and Enterprises
2.3. Incentives and Penalties for Enterprises
3. Problem Statement
4. Game Models under the Reward-and-Punishment Mechanism
4.1. Evolutionary Game Model
4.2. The Solution of Evolutionary Stability Strategy
5. Game Models under Peer Incentives
5.1. Evolutionary Game Model
5.2. The Solution of Evolutionary Stability Strategy
6. Numerical Simulation
7. Conclusions
- (1)
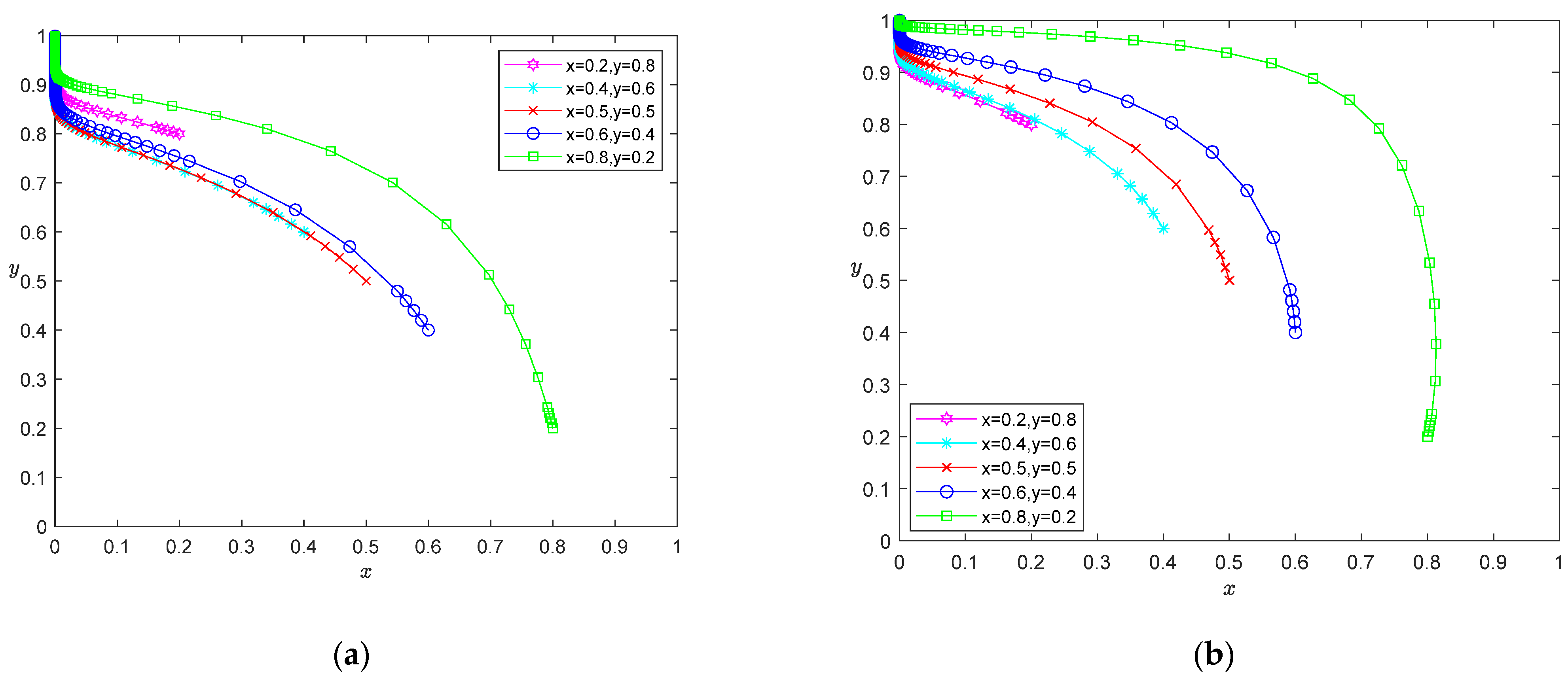
- Governments’ rewards and penalties, peer-incentive funds, the costs of government regulation, and the costs of enterprises’ carbon-emission reduction play a key role in the behavioral decisions of governments and enterprises. Governments’ penalties for enterprises with negative carbon-emission reduction, the ratio composition of bonuses, peer-incentive funds, and the environmental benefits generated by enterprises with positive emission reduction have a positive effect on enterprises’ carbon-emission reduction, but the governments’ regulatory costs play an inverse inhibitory effect on enterprises’ carbon-emission reduction, which suggests that governments should reduce the regulatory costs of enterprises, increase the penalties for enterprises with negative carbon-emission reduction within a reasonable range, and increase the pressure of environmental regulation and carbon emission costs. The impacts of enterprises’ emission reduction costs and market profits on enterprises’ carbon-emission reduction are an inverted U-shape.
- (2)
- Peer incentives make enterprises more inclined to choose positive carbon-emission-reduction strategies and governments more inclined to choose positive regulation strategies. A sufficiently large peer fund can always encourage enterprises to choose positive carbon reduction emission strategies, while governments choose positive regulation strategies. The larger the peer-incentive fund invested by enterprises, the more willing enterprises will be to respond to the call of governments for positive carbon-emission reduction, and in order not to lose their profits, they will choose positive carbon-emission reduction. At the same time, governments will more often check the carbon emissions of enterprises in order to live up to their trust.
- (3)
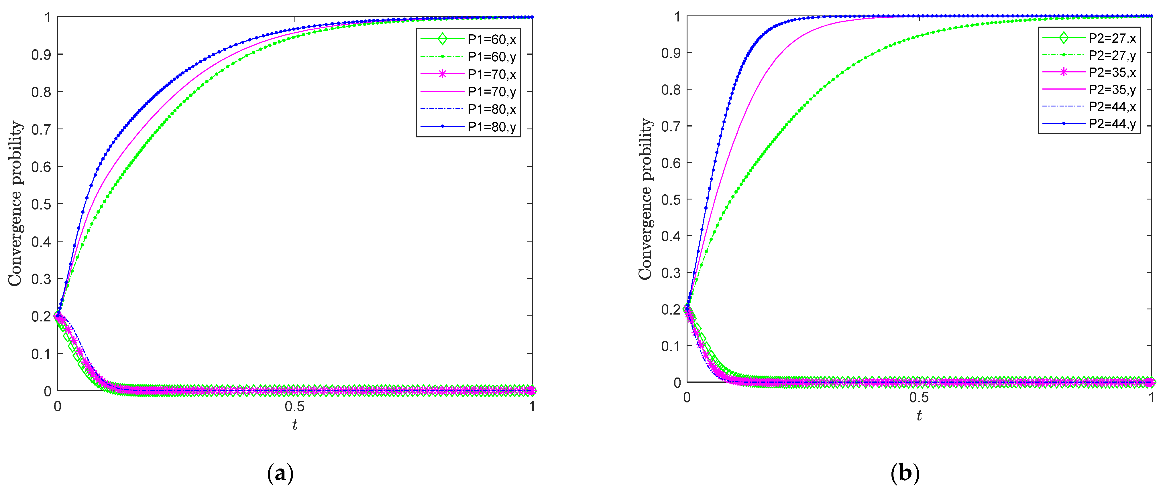
- Both the reward-and-punishment mechanism and peer incentives are effective in promoting positive carbon-emission reduction by enterprises. Peer incentives are more effective in promoting the positive emission reduction of enterprises compared with rewards and punishments. Governments can positively guide enterprises through rewards, punishments, and the peer-incentive fund, which can effectively encourage enterprises to reduce carbon emissions in the long term. Compared with the reward-and-punishment mechanism, the peer-incentive fund has higher parameter sensitivity and is more effective in encouraging enterprises to reduce carbon emissions. By adjusting the peer-incentive fund, the proportion composition of the bonus, and the costs of regulation, governments can balance the financial expenditures so that both parties can form a good evolutionary equilibrium.
- (1)
- Governments should make comprehensive use of economic instruments such as rewards and punishments to encourage enterprises to positively reduce carbon emissions. Due to the high cost of technological innovation and green production, enterprises have a low willingness for energy-saving and low-carbon transformation, so the governments can increase the rewards for enterprises of positive carbon-emission reduction, such as increasing subsidies, giving more favorable loan conditions to emission reduction enterprises, and publicizing emission reduction enterprises in the society, etc. Governments can increase penalties on negative-emission-reduction enterprises, such as fines and environmental taxes, so that enterprises can enjoy the benefits of emission reduction and realize the severity of the penalty for negative emission reduction so that they can more consciously implement emission reduction actions.
- (2)
- The governments should rationalize the peer-incentive fund and subsidy coefficient to enhance the attractiveness of peer incentives. The governments should set the peer fund as high as possible to incentivize enterprises to positively reduce carbon emissions. The larger the peer fund invested by enterprises, the more willing they will be to respond to the call from governments for positive carbon-emission reduction, and enterprises will choose to positively reduce carbon emissions in order not to lose profits. At the same time, within acceptable limits, governments should increase subsidies to enterprises that positively participate in carbon-emission reduction, so as to better mobilize the enthusiasm of enterprises to reduce emissions and increase the amount of carbon-emission reduction by enterprises.
- (3)
- Governments should keep the cost of regulation within a reasonable range. If the costs of government regulation are reduced, governments will be able to enhance the initial willingness to regulate enterprises, thus improving the efficiency of regulation. The higher initial willingness of governments will promote the carbon-emission reduction of governments and enterprises to reach the optimal strategic state faster. When the costs of regulation decrease, enterprises will think that the initial willingness of governments to regulate is stronger in the game process, and then they will think that governments are more likely to choose the positive regulatory strategy. When governments adopt positive regulatory strategies, enterprises can get rewards for positive carbon-emission reduction. Rational enterprises will choose positive carbon-emission reduction through judgment, and the reduction of carbon emissions will help our country achieve its dual-carbon goal more quickly.
Author Contributions
Funding
Institutional Review Board Statement
Informed Consent Statement
Data Availability Statement
Conflicts of Interest
References
- BP Statistical Review of World Energy 2023, 72nd ed.; Energy Institute Statistical Review: London, UK, 2023.
- Sun, Z.; Wang, W.; Zhu, W.; Ma, L.; Dong, Y.; Lu, J. Evolutionary game analysis of coal enterprise resource integration under government regulation. Environ. Sci. Pollut. Res. 2022, 29, 7127–7152. [Google Scholar] [CrossRef]
- Lin, B.; Zhang, A. Impact of government subsidies on total factor productivity of energy storage enterprises under dual-carbon targets. Energy Policy 2024, 187, 114046. [Google Scholar] [CrossRef]
- Romasheva, N.; Ilinova, A. CCS projects: How regulatory framework influences their deployment. Resources 2019, 8, 181. [Google Scholar] [CrossRef]
- Beck, L. The US Section 45Q Tax Credit for Carbon Oxide Sequestration: An Update; Global CCS Institute: Melbourne, Australia, 2020. [Google Scholar]
- SDE++ 2021. Stimulation of Sustainable Energy Production and Climate Transitio. Available online: https://www.rvo.nl/sites/default/files/2023-08/Brochure%20SDE%2B%2B%202021%20-%20oktober%202021.pdf (accessed on 5 October 2021).
- Wagner, A.; Fischer-Kreer, D. The role of CEO regulatory focus in increasing or reducing corporate carbon emissions. Bus. Strategy Environ. 2023, 33, 1051–1065. [Google Scholar] [CrossRef]
- Wang, C.; Wang, W.; Huang, R. Supply chain enterprise operations and government carbon tax decisions considering carbon emission. J. Clean. Prod. 2017, 152, 271–280. [Google Scholar] [CrossRef]
- Zhang, X.; Xie, J.; Rao, R.; Liang, Y. Policy incentives for the adoption of electric vehicles across countries. Sustainability 2014, 6, 8056–8078. [Google Scholar] [CrossRef]
- Energy Policy Act of 2005; U.S. Department of Energy: Washington, DC, USA, 2005. Available online: http://www.afdc.energy.gov/laws/epact_2005 (accessed on 25 June 2014).
- Energy Independence and Security Act of 2007; U.S. Department of Energy: Washington, DC, USA, 2007. Available online: http://www.afdc.energy.gov/laws/eisa.html (accessed on 27 June 2014).
- The Carbon Capture and Storage Infrastructure Fund: An Update on Its Design. Available online: https://www.gov.uk/government/publications/design-of-the-carbon-capture-and-storage-ccs-infrastructure-fund/the-carbon-capture-and-storage-infrastructure-fund-an-update-on-its-design-accessible-webpage (accessed on 16 December 2022).
- Zero-Emission Vehicle Standards for 2018 and Subsequent Model Year Passenger Cars, Light-Duty Trucks, and Medium-Duty Vehicles. Available online: https://ww2.arb.ca.gov/sites/default/files/barcu/regact/2012/zev2012/fro2rev.pdf (accessed on 22 March 2012).
- Luo, Z.; Chen, X.; Wang, X. The role of co-opetition in low carbon manufacturing. Eur. J. Oper. Res. 2016, 253, 392–403. [Google Scholar] [CrossRef]
- Guo, L.; Zhang, Q.; Wu, J.; Gonzalez, E.D.S. An evolutionary game model of manufacturers and consumers’ behavior strategies for green technology and government subsidy in supply chain platform. Comput. Ind. Eng. 2024, 189, 109918. [Google Scholar] [CrossRef]
- Chen, W.; Hu, Z. Using evolutionary game theory to study governments and manufacturers’ behavioral strategies under various carbon taxes and subsidies. J. Clean. Prod. 2018, 201, 123–141. [Google Scholar] [CrossRef]
- Deng, J.; Su, C.; Zhang, Z.; Wang, X.; MA, J.; Wang, C. Evolutionary game analysis of chemical enterprises’ emergency management investment decision under dynamic reward and punishment mechanism. J. Loss Prev. Process Ind. 2024, 87, 105230. [Google Scholar] [CrossRef]
- Wang, Z.; Wang, Q.; Chen, B.; Wang, Y. Evolutionary game analysis on behavioral strategies of multiple stakeholders in e-waste recycling industry. Resour. Conserv. Recycl. 2020, 155, 104618. [Google Scholar] [CrossRef]
- Hafezalkotob, A. Competition of two green and regular supply chains under environmental protection and revenue seeking policies of government. Comput. Ind. Eng. 2015, 82, 103–114. [Google Scholar] [CrossRef]
- Yenipazarli, A. Managing new and remanufactured products to mitigate environmental damage under emissions regulation. Eur. J. Oper. Res. 2016, 249, 117–130. [Google Scholar] [CrossRef]
- Li, G.; Zheng, H.; Ji, X.; Li, H. Game theoretical analysis of firms’ operational low-carbon strategy under various cap-and-trade mechanisms. J. Clean. Prod. 2018, 197, 124–133. [Google Scholar] [CrossRef]
- Zhang, S.; Wang, C.; Yu, C.; Ren, Y. Governmental cap regulation and manufacturer’s low carbon strategy in a supply chain with different power structures. Comput. Ind. Eng. 2019, 134, 27–36. [Google Scholar] [CrossRef]
- Zhang, Y.; Hong, Z.; Chen, Z.; Glock, G. Tax or subsidy? Design and selection of regulatory policies for remanufacturing. Eur. J. Oper. Res. 2020, 287, 885–900. [Google Scholar] [CrossRef]
- Wang, J.; Song, Y.; Li, M.; Yuan, C.; Guo, F. Study on low-carbon technology innovation strategies through government–university–enterprise cooperation under carbon trading policy. Sustainability 2022, 14, 9381. [Google Scholar] [CrossRef]
- Wu, B.; Liu, P.; Xu, X. An evolutionary analysis of low-carbon strategies based on the government–enterprise game in the complex network context. J. Clean. Prod. 2017, 141, 168–179. [Google Scholar] [CrossRef]
- Zhang, C.; Zhang, X. Evolutionary game analysis of air pollution co-investment in emission reductions by steel enterprises under carbon quota trading mechanism. J. Environ. Manag. 2022, 317, 115376. [Google Scholar] [CrossRef] [PubMed]
- Meng, L.; Liu, K.; He, J.; Han, C.; Liu, P. Carbon emission reduction behavior strategies in the shipping industry under government regulation: A tripartite evolutionary game analysis. J. Clean. Prod. 2022, 378, 134556. [Google Scholar] [CrossRef]
- Shi, T.; Han, F.; Chen, L.; Shi, J.; Xiao, H. Study on value co-creation and evolution game of low-carbon technological innovation ecosystem. J. Clean. Prod. 2023, 414, 137720. [Google Scholar] [CrossRef]
- Fan, R.; Dong, L.; Yang, W.; Sun, J. Study on the optimal supervision strategy of government low-carbon subsidy and the corresponding efficiency and stability in the small-world network context. J. Clean. Prod. 2017, 168, 536–550. [Google Scholar] [CrossRef]
- Zhang, S.; Wang, C.; Yu, C. The evolutionary game analysis and simulation with system dynamics of manufacturer’s emissions abatement behavior under cap-and-trade regulation. Appl. Math. Comput. 2019, 355, 343–355. [Google Scholar] [CrossRef]
- Xu, J.; Cao, J.; Wang, Y.; Shi, X.; Zeng, J. Evolutionary game on government regulation and green supply chain decision-making. Energies 2020, 13, 620. [Google Scholar] [CrossRef]
- Li, F.; Guo, Y.; Dong, T.; Liu, B.; Geng, X. Tripartite evolutionary game analysis on corporate carbon reduction decisions considering dual supervision under carbon trading. Comput. Ind. Eng. 2024, 187, 109786. [Google Scholar] [CrossRef]
- Liu, C.; Huang, W.; Yang, C. The evolutionary dynamics of China’s electric vehicle industry–taxes vs. subsidies. Comput. Ind. Eng. 2017, 113, 103–122. [Google Scholar] [CrossRef]
- Liao, D.; Tan, B. An evolutionary game analysis of new energy considering carbon tax in post-subsidy era. Energy 2023, 264, 24–33. [Google Scholar] [CrossRef]
- Zheng, P.; Pei, W.; Pan, W. Impact of different carbon tax conditions on the behavioral strategies of new energy vehicle manufacturers and governments-A dynamic analysis and simulation based on prospect theory. J. Clean. Prod. 2023, 407, 137132. [Google Scholar] [CrossRef]
- Cohen, M.; Lobel, R.; Perakis, G. The impact of demand uncertainty on consumer subsidies for green technology adoption. Manag. Sci. 2016, 62, 1235–1258. [Google Scholar] [CrossRef]
- Zhou, H.; Liu, M.; Tan, Y. Long-term emission reduction strategy in a three-echelon supply chain considering government intervention and Consumers’ low-carbon preferences. Comput. Ind. Eng. 2023, 186, 109697. [Google Scholar] [CrossRef]
- Aflaki, S.; Netessine, S. Strategic investment in renewable energy sources: The effect of supply intermittency. Manuf. Serv. Oper. Manag. 2017, 19, 489–507. [Google Scholar] [CrossRef]
- Krass, D.; Nedorezov, T.; Ovchinnikov, A. Environmental taxes and the choice of green technology. Prod. Oper. Manag. 2013, 22, 1035–1055. [Google Scholar] [CrossRef]
- Mahmoudi, R.; Rasti-Barzoki, M. Sustainable supply chains under government intervention with a real-world case study: An evolutionary game theoretic approach. Comput. Ind. Eng. 2018, 116, 130–143. [Google Scholar] [CrossRef]
- Lessmann, C.; Kramer, N. The effect of cap-and-trade on sectoral emissions: Evidence from California. Energy Policy 2024, 188, 114066. [Google Scholar] [CrossRef]
- Zhang, L.; Ren, J.; Zhang, G. Optimal dynamic strategy for emission reduction and operation considering hybrid carbon policy with carbon tax and cap-and-trade. Comput. Ind. Eng. 2024, 187, 109820. [Google Scholar] [CrossRef]
- Drake, D.F.; Kleindorfer, P.R.; Van Wassenhove, L.K. Technology choice and capacity portfolios under emissions regulation. Prod. Oper. Manag. 2016, 25, 1006–1025. [Google Scholar] [CrossRef]
- Song, X.; Shen, M.; Lu, Y.; Shen, L.; Zhang, H. How to effectively guide carbon reduction behavior of building owners under emission trading scheme? An evolutionary game-based study. Environ. Impact Assess. Rev. 2021, 90, 106624. [Google Scholar] [CrossRef]
- An, S.; Li, B.; Song, D.; Chen, X. Green credit financing versus trade credit financing in a supply chain with carbon emission limits. Eur. J. Oper. Res. 2021, 292, 125–142. [Google Scholar] [CrossRef]
- Chen, Y.; Li, L. Differential game model of carbon emission reduction decisions with two types of government contracts: Green funding and green technology. J. Clean. Prod. 2023, 389, 135847. [Google Scholar] [CrossRef]
- Yang, C.; Zhang, B.; Charness, G.; Li, C.; Lien, J.W. Endogenous rewards promote cooperation. Proc. Natl. Acad. Sci. USA 2018, 115, 9968–9973. [Google Scholar] [CrossRef]
- Dohmen, T.; Falk, A. Performance pay and multidimensional sorting: Productivity, preferences, and gender. Am. Econ. Rev. 2011, 101, 556–590. [Google Scholar] [CrossRef]
- Bandiera, O.; Barankay, I.; Rasul, I. Team incentives: Evidence from a firm level experiment. J. Eur. Econ. Assoc. 2013, 11, 1079–1114. [Google Scholar] [CrossRef]
- Yang, F. Peer-dependent incentives and prepaid bonuses: An experimental investigation of productivity improvement. J. Behav. Exp. Econ. 2019, 81, 152–163. [Google Scholar] [CrossRef]
- Xia, X.; Zeng, X.; Wang, W.; Liu, C.; Li, X. Carbon constraints and carbon emission reduction: An evolutionary game model within the energy-intensive sector. Expert Syst. Appl. 2024, 244, 122916. [Google Scholar] [CrossRef]
- Jiang, B.; Wang, X.; Xue, H.; Li, J.; Gong, Y. An evolutionary game model analysis on emission control areas in China. Mar. Policy 2020, 118, 104010. [Google Scholar] [CrossRef]
- Weinstein, M.I. Lyapunov stability of ground states of nonlinear dispersive evolution equations. Commun. Pure Appl. Math. 1986, 39, 51–67. [Google Scholar] [CrossRef]
- Kosfeld, M.; von Siemens, F.A. Competition, cooperation, and corporate culture. RAND J. Econ. 2011, 42, 23–43. [Google Scholar] [CrossRef]
- Madani, K.; Farhidi, F.; Gholizadeh, S. Bargaining power in cooperative resource allocations games. Algorithms 2022, 15, 445. [Google Scholar] [CrossRef]








| Reference | Subsidy | Tax | Cap-and-Trade | Peer Incentive |
|---|---|---|---|---|
| Cohen et al. [36] | √ | |||
| Aflaki and Netessine [38] | √ | |||
| Krass et al. [39] | √ | √ | ||
| Mahmoudi and Rasti-Barzoki [40] | √ | √ | ||
| Shi et al. [28] | √ | √ | ||
| Zhang et al. [23] | √ | √ | ||
| Liao and Tan [34] | √ | √ | ||
| Song et al. [44] | √ | √ | ||
| Drake et al. [43] | √ | √ | ||
| Li et al. [32] | √ | √ | ||
| Yang et al. [47] | √ | |||
| Yang [50] | √ | |||
| This study | √ | √ | √ | √ |
| Parameters | Definitions |
|---|---|
| Environmental benefits when enterprises positively reduce carbon emissions | |
| Environmental benefits when enterprises negatively reduce carbon emissions | |
| Costs for enterprises to positively reduce carbon emissions | |
| Costs for enterprises to negatively reduce carbon emissions | |
| Fines for enterprises with negative carbon-emission reduction when governments positively regulate | |
| Fines for enterprises with negative carbon-emission reduction when governments negatively regulate | |
| Costs for governments to positively regulate | |
| Costs for governments to negatively regulate | |
| Market benefits when enterprises positively reduce carbon emissions | |
| Market benefits when enterprises negatively reduce carbon emissions | |
| Governmental incentives for enterprises to positively reduce carbon emissions | |
| Peer-incentive bonus | |
| Subsidy coefficient based on environmental benefits | |
| Subsidy coefficient based on peer incentive bonus | |
| Environmental losses of governments when enterprises negatively reduce carbon emissions |
| Strategy | Enterprises | ||
|---|---|---|---|
| Governments | Positive regulation | ||
| Negative regulation | |||
| Case | Equilibrium Point | Local Stability | ||||
|---|---|---|---|---|---|---|
| and | + | − | ESS | |||
| − | uncertain | saddle point | ||||
| uncertain | uncertain | saddle point | ||||
| uncertain | uncertain | saddle point | ||||
| uncertain | 0 | / | unstable | |||
| uncertain | uncertain | saddle point | ||||
| + | − | ESS | ||||
| uncertain | uncertain | saddle point | ||||
| uncertain | uncertain | saddle point | ||||
| uncertain | 0 | / | unstable | |||
| and | uncertain | uncertain | saddle point | |||
| uncertain | uncertain | saddle point | ||||
| + | − | ESS | ||||
| uncertain | uncertain | saddle point | ||||
| uncertain | 0 | / | unstable |
| Strategy | Enterprises | ||
|---|---|---|---|
| Governments | Positive regulation | ||
| Negative regulation | |||
| Case | Equilibrium Point | Local Stability | ||||
|---|---|---|---|---|---|---|
| and | + | − | ESS | |||
| uncertain | uncertain | saddle point | ||||
| uncertain | uncertain | saddle point | ||||
| uncertain | uncertain | saddle point | ||||
| uncertain | 0 | / | unstable | |||
| and | uncertain | uncertain | saddle point | |||
| + | − | ESS | ||||
| uncertain | uncertain | saddle point | ||||
| uncertain | uncertain | saddle point | ||||
| uncertain | 0 | / | unstable | |||
| and | uncertain | uncertain | saddle point | |||
| uncertain | uncertain | saddle point | ||||
| + | − | ESS | ||||
| uncertain | uncertain | saddle point | ||||
| uncertain | 0 | / | unstable | |||
| and | uncertain | uncertain | ESS | |||
| uncertain | uncertain | saddle point | ||||
| uncertain | uncertain | saddle point | ||||
| + | − | saddle point | ||||
| uncertain | 0 | / | unstable |
Disclaimer/Publisher’s Note: The statements, opinions and data contained in all publications are solely those of the individual author(s) and contributor(s) and not of MDPI and/or the editor(s). MDPI and/or the editor(s) disclaim responsibility for any injury to people or property resulting from any ideas, methods, instructions or products referred to in the content. |
© 2024 by the authors. Licensee MDPI, Basel, Switzerland. This article is an open access article distributed under the terms and conditions of the Creative Commons Attribution (CC BY) license (https://creativecommons.org/licenses/by/4.0/).
Share and Cite
Li, J.; Gao, L.; Tu, J. Evolutionary Game Analysis of Governments’ and Enterprises’ Carbon-Emission Reduction. Sustainability 2024, 16, 4216. https://doi.org/10.3390/su16104216
Li J, Gao L, Tu J. Evolutionary Game Analysis of Governments’ and Enterprises’ Carbon-Emission Reduction. Sustainability. 2024; 16(10):4216. https://doi.org/10.3390/su16104216
Chicago/Turabian StyleLi, Jingming, Leifu Gao, and Jun Tu. 2024. "Evolutionary Game Analysis of Governments’ and Enterprises’ Carbon-Emission Reduction" Sustainability 16, no. 10: 4216. https://doi.org/10.3390/su16104216
APA StyleLi, J., Gao, L., & Tu, J. (2024). Evolutionary Game Analysis of Governments’ and Enterprises’ Carbon-Emission Reduction. Sustainability, 16(10), 4216. https://doi.org/10.3390/su16104216
