Effect of Physico-Chemical Properties Induced by N, P Co-Doped Biomass Porous Carbon on Nitrous Oxide Adsorption Performance
Abstract
1. Introduction
2. Materials and Methods
2.1. Preparation of N-P Co-Doped Biomass Porous Carbon
2.2. Characterization of Materials
2.3. Gas Phase Adsorption Test
3. Results and Discussion
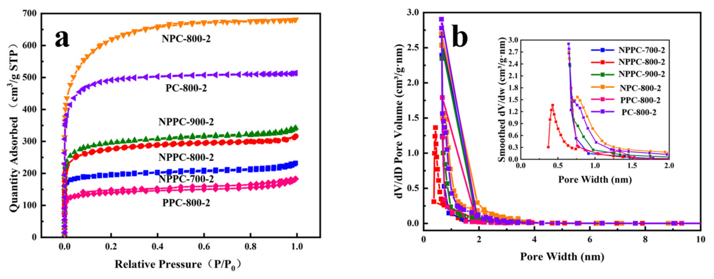
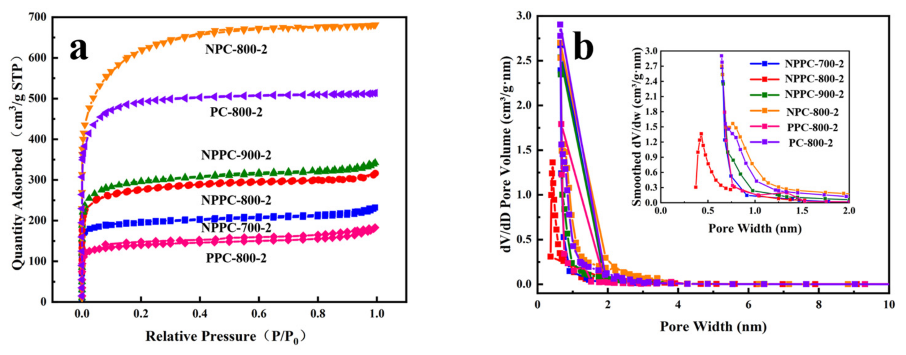
3.1. NPPCs Characterization
3.2. N2O Adsorption Evaluation
3.2.1. Adsorption Performance
3.2.2. Fitting of Dynamic Adsorption Model
3.2.3. Adsorption Mechanism
4. Conclusions
Author Contributions
Funding
Institutional Review Board Statement
Informed Consent Statement
Data Availability Statement
Conflicts of Interest
References
- Daly, E.J.; Hernandez-Ramirez, G.; Congreves, K.A.; Clough, T.; Voigt, C.; Harris, E.; Ruser, R. Soil Organic Nitrogen Priming to Nitrous Oxide: A Synthesis. Soil Biol. Biochem. 2024, 189, 109254. [Google Scholar] [CrossRef]
- Hu, H.W.; Chen, D.; He, J.Z. Microbial Regulation of Terrestrial Nitrous Oxide Formation: Understanding the Biological Pathways for Prediction of Emission Rates. FEMS Microbiol. Rev. 2015, 39, 729–749. [Google Scholar] [CrossRef] [PubMed]
- Liu, Z.; Luo, J.; Peng, Y.; Yang, Y.; Zeng, Z.; Li, L. Preparation of Phosphorus-Containing Porous Carbon by Direct Carbonization for Acetone Adsorption. Colloids Surf. Asp. 2020, 606, 125431. [Google Scholar] [CrossRef]
- Pauleta, S.R.; Carepo, M.S.P.; Moura, I. Source and Reduction of Nitrous Oxide. Coord. Chem. Rev. 2019, 387, 436–449. [Google Scholar] [CrossRef]
- Wan, J.; Tokunaga, T.K.; Brown, W.; Newman, A.W.; Dong, W.; Bill, M.; Beutler, C.A.; Henderson, A.N.; Harvey-Costello, N.; Conrad, M.E.; et al. Bedrock Weathering Contributes to Subsurface Reactive Nitrogen and Nitrous Oxide Emissions. Nat. Geosci. 2021, 14, 217–224. [Google Scholar] [CrossRef]
- Zhang, H.; Deng, Q.; Schadt, C.W.; Mayes, M.A.; Zhang, D.; Hui, D. Precipitation and Nitrogen Application Stimulate Soil Nitrous Oxide Emission. Nutr. Cycl. Agroecosyst. 2021, 120, 363–378. [Google Scholar] [CrossRef]
- Chen, D.L.; Wang, N.; Wang, F.F.; Xie, J.; Zhong, Y.; Zhu, W.; Johnson, J.K.; Krishna, R. Utilizing the Gate-Opening Mechanism in ZIF-7 for Adsorption Discrimination between N2O and CO2. J. Phys. Chem. C 2014, 118, 17831–17837. [Google Scholar] [CrossRef]
- Goel, C.; Kaur, H.; Bhunia, H.; Bajpai, P.K. Carbon Dioxide Adsorption on Nitrogen Enriched Carbon Adsorbents: Experimental, Kinetics, Isothermal and Thermodynamic Studies. J. CO2 Util. 2016, 16, 50–63. [Google Scholar] [CrossRef]
- Rangel-Sequeda, J.; Loredo-Cancino, M.; Agueda Maté, V.I.; Delgado Dobladez, J.A.; De Haro-Del Rio, D.A.; Salazar-Rábago, J.J.; Soto-Regalado, E. Synthesis of Zeolite-Templated Carbonaceous Materials Doped with Nitrogen for Carbon Dioxide Adsorption. Water. Air. Soil Pollut. 2021, 232, 253. [Google Scholar] [CrossRef]
- Xiao, F.; Gámiz, B.; Pignatello, J.J. Adsorption and Desorption of Nitrous Oxide by Raw and Thermally Air-Oxidized Chars. Sci. Total Environ. 2018, 643, 1436–1445. [Google Scholar] [CrossRef]
- Suo, W.; Sun, S.; Liu, N.; Li, X.; Wang, Y. The Adsorption and Dissociation of N2O on CuO(111) Surface: The Effect of Surface Structures. Surf. Sci. 2020, 696, 121596. [Google Scholar] [CrossRef]
- Wang, L.; Lin, C.; Boldog, I.; Yang, J.; Janiak, C.; Li, J. Inverse Adsorption Separation of N2O/CO2 in AgZK-5 Zeolite. Angew. Chem. Int. Ed. 2024, 63, e202317435. [Google Scholar] [CrossRef] [PubMed]
- Xiong, S.; Chen, J.; Huang, N.; Yang, S.; Peng, Y.; Li, J. Balance between Reducibility and N2O Adsorption Capacity for the N2O Decomposition: CuxCoy Catalysts as an Example. Environ. Sci. Technol. 2019, 53, 10379–10386. [Google Scholar] [CrossRef] [PubMed]
- Asif, M.; Suleman, M.; Haq, I.; Jamal, S.A. Post-combustion CO2 Capture with Chemical Absorption and Hybrid System: Current Status and Challenges. Greenhouse Gases Sci. Technol. 2018, 8, 998–1031. [Google Scholar] [CrossRef]
- Julio, A.A.V.; Castro-Amoedo, R.; Maréchal, F.; González, A.M.; Escobar Palacio, J.C. Exergy and Economic Analysis of the Trade-off for Design of Post-Combustion CO2 Capture Plant by Chemical Absorption with MEA. Energy 2023, 280, 128004. [Google Scholar] [CrossRef]
- Xie, H.; Liang, B.; Yue, H.; Wang, Y. Carbon Dioxide Capture by Electrochemical Mineralization. Chem 2018, 4, 24–26. [Google Scholar] [CrossRef]
- Harris, S.J.; Liisberg, J.; Xia, L.; Wei, J.; Zeyer, K.; Yu, L.; Barthel, M.; Wolf, B.; Kelly, B.F.J.; Cendón, D.I.; et al. N2O Isotopocule Measurements Using Laser Spectroscopy: Analyzer Characterization and Intercomparison. Atmos. Meas. Tech. 2020, 13, 2797–2831. [Google Scholar] [CrossRef]
- Legorreta, J.R.; Yousif, F.B.; Escalona, J.; Rivera, M.; López-Patiño, J.; Fuentes, B.E.; Martínez, H. Measurements of Electron Density, Temperature, and Absolute Metastable 1s3 and 1s5 States of Ar in Ar–CO DC Discharge Employing Emission Spectroscopy. IEEE Trans. Plasma Sci. 2023, 51, 2302–2308. [Google Scholar] [CrossRef]
- Zhang, X.; Song, Z.; Gani, R.; Zhou, T. Comparative Economic Analysis of Physical, Chemical, and Hybrid Absorption Processes for Carbon Capture. Ind. Eng. Chem. Res. 2020, 59, 2005–2012. [Google Scholar] [CrossRef]
- Du, J.; Chu, X.; Ren, F.; Zheng, S.; Shao, Z. Study on CO2 Adsorption Performance of Biocarbon Synthesized in Situ from Nitrogen-Rich Biomass Pomelo Peel. Fuel 2023, 352, 129163. [Google Scholar] [CrossRef]
- Li, W.; Huang, T.; Huang, W.; Gao, L.; Li, K.; Niu, Q.; Li, J.; Lu, Q. Preparation of Nitrogen-Doped Activated Carbon from Bio-Oil Residue for Efficient CO2 Adsorption. Ind. Crops Prod. 2024, 210, 118097. [Google Scholar] [CrossRef]
- Chen, Y.; Zhang, X.; Chen, W.; Yang, H.; Chen, H. The Structure Evolution of Biochar from Biomass Pyrolysis and Its Correlation with Gas Pollutant Adsorption Performance. Bioresour. Technol. 2017, 246, 101–109. [Google Scholar] [CrossRef]
- Wang, W.; Yang, S.; Yang, Z.; Zhang, A. Development of Waste Straw Modified Material to Reduce Soil N2O Emission: An Application Strategy for Adsorption of Functional Groups. Ind. Crops Prod. 2023, 203, 117192. [Google Scholar] [CrossRef]
- Liu, H.; Li, Y.; Pan, B.; Zheng, X.; Yu, J.; Ding, H.; Zhang, Y. Pathways of Soil N2O Uptake, Consumption, and Its Driving Factors: A Review. Environ. Sci. Pollut. Res. 2022, 29, 30850–30864. [Google Scholar] [CrossRef] [PubMed]
- Yang, X.; Jiang, D.; Cheng, X.; Yuan, C.; Wang, S.; He, Z.; Esakkimuthu, S. Adsorption Properties of Seaweed-Based Biochar with the Greenhouse Gases (CO2, CH4, N2O) through Density Functional Theory (DFT). Biomass Bioenerg. 2022, 163, 106519. [Google Scholar] [CrossRef]
- Wu, T.; Shen, Y.; Feng, L.; Tang, Z.; Zhang, D. Adsorption Properties of N2O on Zeolite 5A, 13X, Activated Carbon, ZSM-5, and Silica Gel. J. Chem. Eng. Data 2019, 64, 3473–3482. [Google Scholar] [CrossRef]
- Yang, C.; Cao, Y.; Plessow, P.N.; Wang, J.; Nefedov, A.; Heissler, S.; Studt, F.; Wang, Y.; Idriss, H.; Mayerhöfer, T.G.; et al. N2O Adsorption and Photochemistry on Ceria Surfaces. J. Phys. Chem. C 2022, 126, 2253–2263. [Google Scholar] [CrossRef]
- Lu, B.; Wu, F.; Yin, Z.; He, C.; Qian, J.; Mao, Y.; You, X.; Lin, G.; Yang, X.; Huang, B. Activation of Peroxymonosulfate by Tannin-Derived Porous Carbon for Enhanced Bisphenol A Degradation: Synergistic Effect of Surface Nitrogen and Oxygen Functional Groups. Appl. Surf. Sci. 2023, 640, 158308. [Google Scholar] [CrossRef]
- Luo, J.; Liu, B.; Shi, R.; Guo, Y.; Feng, Q.; Liu, Z.; Li, L.; Norinaga, K. The Effects of Nitrogen Functional Groups and Narrow Micropore Sizes on CO2 Adsorption onto N-Doped Biomass-Based Porous Carbon under Different Pressure. Micropor. Mesopor. Mat. 2021, 327, 111404. [Google Scholar] [CrossRef]
- Alabadi, A.; Abbood, H.A.; Li, Q.; Jing, N.; Tan, B. Imine-Linked Polymer Based Nitrogen-Doped Porous Activated Carbon for Efficient and Selective CO2 Capture. Sci. Rep. 2016, 6, 38614. [Google Scholar] [CrossRef]
- Wu, R.; Hang, Y.; Li, J.; Bao, A. Preparation of Biomass-derived Phosphorus-doped Microporous Carbon Material and Its Application in Dye Adsorption and CO2 Capture. Surf. Interface Anal. 2022, 54, 881–891. [Google Scholar] [CrossRef]
- Gong, L.; Hang, Y.; Li, J.; Dai, G.; Bao, A. Simple Fabrication of a Phosphorus-doped Hierarchical Porous Carbon via Soft-template Method for Efficient CO2 Capture. Surf. Interface Anal. 2022, 54, 899–908. [Google Scholar] [CrossRef]
- Leng, L.; Xu, S.; Liu, R.; Yu, T.; Zhuo, X.; Leng, S.; Xiong, Q.; Huang, H. Nitrogen Containing Functional Groups of Biochar: An Overview. Bioresour. Technol. 2020, 298, 122286. [Google Scholar] [CrossRef]
- Puziy, A.M.; Poddubnaya, O.I. The Properties of Synthetic Carbon Derived from Nitrogen- and Phosphorus-Containing Polymer. Carbon 1998, 36, 45–50. [Google Scholar] [CrossRef]
- Puziy, A.M.; Poddubnaya, O.I.; Gawdzik, B.; Tascón, J.M.D. Phosphorus-Containing Carbons: Preparation, Properties and Utilization. Carbon 2020, 157, 796–846. [Google Scholar] [CrossRef]
- Xiao, J.; Wang, Y.; Zhang, T.C.; Ouyang, L.; Yuan, S. Phytic Acid-Induced Self-Assembled Chitosan Gel-Derived N, P–Co-Doped Porous Carbon for High-Performance CO2 Capture and Supercapacitor. J. Power Sources 2022, 517, 230727. [Google Scholar] [CrossRef]
- Khoshk Rish, S.; Tahmasebi, A.; Wang, R.; Dou, J.; Yu, J. Formation Mechanism of Nano Graphitic Structures during Microwave Catalytic Graphitization of Activated Carbon. Diam. Relat. Mater. 2021, 120, 108699. [Google Scholar] [CrossRef]
- Devi, T.G.; Kannan, M.P. X-Ray Diffraction (XRD) Studies on the Chemical States of Some Metal Species in Cellulosic Chars and the Ellingham Diagrams. Energy Fuels 2007, 21, 596–601. [Google Scholar] [CrossRef]
- Roy, D.; Kanojia, S.; Mukhopadhyay, K.; Eswara Prasad, N. Analysis of Carbon-Based Nanomaterials Using Raman Spectroscopy: Principles and Case Studies. Bull. Mater. Sci. 2021, 44, 31. [Google Scholar] [CrossRef]
- Dartois, E.; Jallat, A.; Alata, I.; Gavilan, L.; Cruz-Diaz, G.A.; Chabot, M.; Beroff, K.; Muñoz Caro, G.M. UV Photolysis of Hydrogenated Amorphous Carbons of Astrophysical Interest. Polycycl. Aromat. Comp. 2017, 37, 94–100. [Google Scholar] [CrossRef]
- Samancı, M.; Daş, E.; Bayrakçeken Yurtcan, A. Carbon Aerogel and Their Polypyrrole Composites Used as Capacitive Materials. Int. J. Energy Res. 2021, 45, 1729–1747. [Google Scholar] [CrossRef]
- Xiao, F.; Chen, Z.; Wu, H.; Wang, Y.; Cao, E.; Lu, X.; Wu, Y.; Ren, Z. Phytic acid-guided ultra-thin N, P co-doped carbon coated carbon nanotubes for efficient all-pH electrocatalytic hydrogen evolution. Nanoscale 2019, 11, 23027–23034. [Google Scholar] [CrossRef]
- Cui, X.; Jiang, Y.; He, Z.; Liu, Z.; Yang, X.; Wan, J.; Liu, Y.; Ma, F. Preparation of tank-like resin-derived porous carbon sphere for supercapacitor: The influence of KOH activator and activation temperature on structure and performance. Diam. Relat. Mater. 2023, 136, 110054. [Google Scholar] [CrossRef]
- Cordero-Lanzac, T.; Rosas, J.M.; García-Mateos, F.J.; Ternero-Hidalgo, J.J.; Palomo, J.; Rodríguez-Mirasol, J.; Cordero, T. Role of Different Nitrogen Functionalities on the Electrochemical Performance of Activated Carbons. Carbon 2018, 126, 65–76. [Google Scholar] [CrossRef]
- Cao, D.; Ji, Y.; Liu, L.; Li, L.; Li, L.; Feng, X.; Zhu, J.; Lu, X.; Mu, L. A Facile and Green Strategy to Synthesize N/P Co-Doped Bio-Char as VOCs Adsorbent: Through Efficient Biogas Slurry Treatment and Struvite Transform. Fuel 2022, 322, 124156. [Google Scholar] [CrossRef]
- Fan, Y.; Wang, H.; Deng, L.; Wang, Y.; Kang, D.; Li, C.; Chen, H. Enhanced Adsorption of Pb(II) by Nitrogen and Phosphorus Co-Doped Biochar Derived from Camellia Oleifera Shells. Environ. Res. 2020, 191, 110030. [Google Scholar] [CrossRef]
- Lin, M.; Li, F.; Li, X.; Rong, X.; Oh, K. Biochar-Clay, Biochar-Microorganism and Biochar-Enzyme Composites for Environmental Remediation: A Review. Environ. Chem. Lett. 2023, 21, 1837–1862. [Google Scholar] [CrossRef]
- Li, M.; Xiao, R. Preparation of a Dual Pore Structure Activated Carbon from Rice Husk Char as an Adsorbent for CO2 Capture. Fuel Process. Technol. 2019, 186, 35–39. [Google Scholar] [CrossRef]
- Serafin, J.; Dziejarski, B. Activated Carbons—Preparation, Characterization and Their Application in CO2 Capture: A Review. Environ. Sci. Pollut. Res. 2023; ahead of print. [Google Scholar] [CrossRef]
- Ouzzine, M.; Serafin, J.; Sreńscek-Nazzal, J. Single Step Preparation of Activated Biocarbons Derived from Pomegranate Peels and Their CO2 Adsorption Performance. J. Anal. Appl. Pyrol. 2021, 160, 105338. [Google Scholar] [CrossRef]
- Feng, Y.; Chen, Y.; Fang, Y.; Feng, X. N, P-co-doped three-dimensional porous carbon nanocomposites for lithium–sulfur batteries. Sci. Sin. Chim. 2023, 53, 217–226. [Google Scholar] [CrossRef]
- Nandi, R.; Jha, M.K.; Guchhait, S.K.; Sutradhar, D.; Yadav, S. Impact of KOH Activation on Rice Husk Derived Porous Activated Carbon for Carbon Capture at Flue Gas alike Temperatures with High CO2/N2 Selectivity. ACS Omega 2023, 8, 4802–4812. [Google Scholar] [CrossRef] [PubMed]
- Jiang, M.; Yang, K.; Liu, Y.; Yao, L. Density Functional Theory of NO2 and N2O Adsorption on the Transition Metal Modified TiO2 Surface. Chem. Phys. Lett. 2024, 834, 140977. [Google Scholar] [CrossRef]
- Liu, Z.; Cheng, X.; Yang, Y.; Jia, H.; Bai, B.; Zhao, L. DFT Study of N2O Adsorption onto the Surface of M-Decorated Graphene Oxide (M = Mg, Cu or Ag). Materials 2019, 12, 2611. [Google Scholar] [CrossRef] [PubMed]










| Samples | Element Content (wt.%) | |||
|---|---|---|---|---|
| C | O | N | P | |
| NPPC-800-2 | 83.96 | 9.15 | 4.17 | 0.62 |
| NPC-800-2 | 81.36 | 12.51 | 1.52 | - |
| PPC-800-2 | 85.01 | 10.69 | - | 0.98 |
| PC-800-2 | 84.39 | 11.89 | - | - |
| Samples | SBET (m2∙g−1) | Smic (m2∙g−1) | VT (cm3∙g−1) | Vmic (cm3∙g−1) | Vmes (cm3∙g−1) | d (nm) |
|---|---|---|---|---|---|---|
| NPPC-700-2 | 761 | 666 | 0.35 | 0.25 | 0.09 | 1.87 |
| NPPC-800-2 | 1038 | 810 | 0.48 | 0.31 | 0.13 | 1.85 |
| NPPC-900-2 | 1116 | 969 | 0.52 | 0.38 | 0.13 | 1.87 |
| NPC-800-2 | 2223 | 1945 | 1.05 | 0.82 | 0.32 | 1.85 |
| PPC-800-2 | 535 | 453 | 0.28 | 0.17 | 0.09 | 2.09 |
| PC-800-2 | 1852 | 1705 | 0.79 | 0.686 | 0.10 | 1.69 |
| NPPCs | Yoon–Nelson Fitting Parameters | Thomas Fitting Parameters | ||||||
|---|---|---|---|---|---|---|---|---|
| t0.5 (Experiment)/ min | R2 | q (Experiment)/ mmol∙g−1 | R2 | |||||
| KYN/min−1 | τ (Theory)/min | KTh × 10−5/ m3·min−1·mg−1 | q0 (Theory)/ mmol∙g−1 | |||||
| NPPC-700-2 | 0.3401 | 11.94 | 11.65 | 0.9893 | 0.4119 | 0.5397 | 0.576 | 0.9846 |
| NPPC-800-2 | 0.5148 | 17.96 | 17.81 | 0.9994 | 0.5999 | 0.8337 | 0.839 | 0.9965 |
| NPPC-900-2 | 1.1157 | 8.993 | 8.422 | 0.9972 | 1.3631 | 0.4225 | 0.414 | 0.9923 |
| NPPC-800-0 | 0.9548 | 4.083 | 3.502 | 0.9732 | 1.2802 | 0.1935 | 0.241 | 0.9827 |
| NPPC-800-1 | 0.3986 | 5.391 | 4.705 | 0.9541 | 0.5280 | 0.2292 | 0.282 | 0.9613 |
| NPPC-800-3 | 0.8984 | 9.411 | 8.956 | 0.9982 | 1.3661 | 0.4475 | 0.442 | 0.9845 |
| NPC-800-2 | 0.7639 | 9.652 | 9.404 | 0.9978 | 1.2268 | 0.4558 | 0.459 | 0.9934 |
| PPC-800-2 | 0.3608 | 11.82 | 11.83 | 0.9869 | 0.4342 | 0.5349 | 0.571 | 0.9864 |
| PC-800-2 | 1.3544 | 6.701 | 7.326 | 0.9994 | 1.3559 | 0.3182 | 0.319 | 0.9901 |
| System | Ead (kJ∙mol−1) | de (Å) |
|---|---|---|
| Graphene | −0.87 | 2.479 |
| Pyrrole | −1.35 | 1.809 |
| (CO)2-P(O)(OH) | −2.51 | 1.786 |
| Pyrrole and (CO)2-P(O)(OH) | −3.39 | 1.623 |
Disclaimer/Publisher’s Note: The statements, opinions and data contained in all publications are solely those of the individual author(s) and contributor(s) and not of MDPI and/or the editor(s). MDPI and/or the editor(s) disclaim responsibility for any injury to people or property resulting from any ideas, methods, instructions or products referred to in the content. |
© 2024 by the authors. Licensee MDPI, Basel, Switzerland. This article is an open access article distributed under the terms and conditions of the Creative Commons Attribution (CC BY) license (https://creativecommons.org/licenses/by/4.0/).
Share and Cite
Gong, X.; Liu, Z.; Mou, J.; Wang, J. Effect of Physico-Chemical Properties Induced by N, P Co-Doped Biomass Porous Carbon on Nitrous Oxide Adsorption Performance. Sustainability 2024, 16, 4120. https://doi.org/10.3390/su16104120
Gong X, Liu Z, Mou J, Wang J. Effect of Physico-Chemical Properties Induced by N, P Co-Doped Biomass Porous Carbon on Nitrous Oxide Adsorption Performance. Sustainability. 2024; 16(10):4120. https://doi.org/10.3390/su16104120
Chicago/Turabian StyleGong, Xiyue, Zheng Liu, Jingxian Mou, and Jiaying Wang. 2024. "Effect of Physico-Chemical Properties Induced by N, P Co-Doped Biomass Porous Carbon on Nitrous Oxide Adsorption Performance" Sustainability 16, no. 10: 4120. https://doi.org/10.3390/su16104120
APA StyleGong, X., Liu, Z., Mou, J., & Wang, J. (2024). Effect of Physico-Chemical Properties Induced by N, P Co-Doped Biomass Porous Carbon on Nitrous Oxide Adsorption Performance. Sustainability, 16(10), 4120. https://doi.org/10.3390/su16104120
